Abstract
The electrochemical reduction mechanism of Mn in LiMn2O4 in molten salt was studied. The results show that in the NaCl-CaCl2 molten salt, the process of reducing from Mn (IV) to manganese is: Mn (IV)→Mn (III)→Mn (II)→Mn. LiMn2O4 reacts with molten salt to form CaMn2O4 after being placed in molten salt for 1 h. The reaction of reducing CaMn2O4 to Mn is divided into two steps: Mn (III)→Mn (II)→Mn. The results of constant voltage deoxidation experiments under different conditions show that the intermediate products of LiMn2O4 reduction to Mn are CaMn2O4, MnO, and (MnO)x(CaO)(1−x). As the reaction progresses, x gradually decreases, and finally the Mn element is completely reduced under the conditions of 3 V for 9 h. The CaO in the product can be removed by washing the sample with deionized water at 0 °C.
1. Introduction
As a new type of energy storage material, lithium-ion batteries have the advantages of high energy, high power density, and long service life [1], and have become the power source for various electronic products and vehicles [2]. Lithium manganate with spinel structure has many advantages and is one of the most promising anode materials for lithium-ion batteries [3,4,5]. With the large-scale application of lithium manganate batteries, the cumulative amount of waste lithium manganate batteries is bound to increase year by year. In 2020, the total amount of retired power batteries of the new energy vehicles in China will exceed 200,000 tons, and it is expected to reach to nearly 800,000 tons by 2025 [6], for which a significant proportion are lithium manganese oxide batteries. Although some scholars are committed to researching materials with self-healing properties to extend the life of lithium-ion batteries [7,8], waste lithium manganate batteries contain metal elements with high added value such as manganese and lithium, and their recycling will produce good economic and social benefits. Lithium-ion battery recycling process is mainly divided into fire and wet recycling technology [9]. Tang et al. used vacuum pyrolysis to recover lithium and cobalt in lithium-ion batteries, and the recovery rates reached over 93% and 99%, respectively [10]. Zhuang et al. used a mixture of phosphoric acid and citric acid as the leaching solution to recover LiNi0.5Co0.2Mn0.3O2, the leaching rate of lithium reached 100%, while the leaching rates of nickel, cobalt, and manganese are 93.38%, 91.63%, and 92.00% [11], respectively. The condition of pyrometallurgical recovery is higher temperature, while many of the pollutants such as exhaust gas are produced [12,13]. Then the purification equipment, which causes a sharp increase in cost, and many valuable metals will enter the slag, which then causes a great loss [14]. Wet recycling produces a large amount of acid-base liquid waste [15,16], and the selectivity is too low [17]. Due to the advantages of its concise process, easy access to equipment, cleanliness, conductivity, productivity, high current density, and precise reduction [18,19,20], the molten salt recovery process has been used to recover aluminum, calcium, magnesium, sodium potassium, and other metals [21]. The use of the molten salt method to recover metal manganese in the cathode materials of waste lithium manganate batteries overcomes the problems of inefficient and secondary pollution of the traditional recovery process, thereby making great contributions to energy supply and resource recycling [22,23]. Using the coupling of electrochemical reaction and chemical reaction [24], manganese was extracted from the waste lithium manganate cathode, the kinetic process of the reduction of manganese ions in lithium manganate to elemental manganese was studied, and the electrochemical mechanism of manganese was understood.
2. Experimental Methods
Put LiMn2O4 into a graphite crucible with an outer diameter of 15 mm, an inner diameter of 8 mm, and a depth of 12 mm. Wrapped the graphite crucible with a wire mesh and placed it in the NaCl-CaCl2 molten salt at 750 °C. During the whole process, high-purity argon gas was injecting into the furnace for protection after the temperature was kept constant for a certain period of time (0.1 h, 0.5 h, 1 h, 1.5 h), the graphite crucible containing the LiMn2O4 sample was taken out, quenched and cleaned, and the sample was subjected to X-ray diffraction inspection.
The electrodes used in the electrochemical experiment are working electrode (platinum wire, Φ = 0.5 mm, 99.999%), auxiliary electrode (high purity graphite, Φ = 12 mm), and standard reference electrode (Ag/AgCl). Mixed the molten salt of XCaCl2:XNaCl = 1:1 evenly, placed it in a corundum crucible, and put them in a drying box and dried it under vacuum at 200 °C for 4 h first, then moved the crucible to a tubular resistance furnace and heated it up at a rate of 5 °C/min. When the temperature reached 750 °C, kept the temperature constant for 1 h. Inserted the three electrodes in the NaCl-CaCl2 molten salt, and performed electrochemical detection on the pure NaCl-CaCl2 molten salt system without external conditions. After the measurement is over, the electrode was taken out, 2 g of LiMn2O4 was added to the molten salt, the temperature was kept for 0.5 h, 1 h, and the three electrodes were inserted in the molten again for electrochemical detection.
The electrolysis experiment used a two-electrode system. Put 0.8 g of LiMn2O4 into a graphite crucible (Φ = 12 mm, height 11 mm), and used a wire mesh to wrap the graphite crucible as cathode. The anode was a high-purity graphite sheet. Inserted the two electrodes into the molten salt at 750 °C, the voltage range was 0.5–3 V, and the electrolysis was carried out under the condition of 0–12 h. After the electrolysis was over, used water cooling and ultrasonic cleaning before drying.
The CHI660E electrochemical workstation (Shanghai, China) was used for electrochemical testing, the PHENOM PROX Feiner desktop scanning electron microscope (Thermo Fisher Scientific, Waltham, MA, USA) was used to analyze the surface morphology and element composition of the product, and the Noran7 X-ray diffractometer (Thermo Fisher Scientific, Waltham, MA, USA) was used to analyze the product in the process.
3. Experimental Results and Discussion
3.1. Reaction of LiMn2O4 in Molten Salt
When lithium manganate was added to the molten salt at 750 °C, bubbles could be observed. As the reaction progressed, the bubbles gradually decreased and eventually disappeared. It can be seen from Figure 1 that the compounds in the product after holding for 0.1 h are spinel lithium manganate (LiMn2O4), layered lithium manganate (LiMnO2), and Mn3O4. LiMn2O4 has the strongest characteristic peaks. The products kept for 0.5 h also contains LiMn2O4, LiMnO2, and Mn3O4, but the characteristic peaks of LiMn2O4 are significantly weakened, and the peaks of LiMnO2 and Mn3O4 are strengthened. It shows that LiMn2O4 reacts at 750 °C to produce LiMnO2, Mn3O4, and oxygen released. The reaction equation of this process is:
3LiMn2O4 → 3LiMnO2 + Mn3O4 + O2
Figure 1.
The product of LiMn2O4 dissolving in molten salt was analyzed by XRD.
When the holding time reaches 1~1.5 h, LiMn2O4 and LiMnO2 disappear, while calcium manganate (CaMn2O4) and Mn3O4 appear, indicating that LiMnO2 generated by the decomposition of LiMn2O4 is transformed into CaMn2O4 during this time. The reaction formula is:
The schematic diagram of the two-step reaction process is shown in Figure 2.
2LiMnO2 + Ca2+ → CaMn2O4 + 2Li+
Figure 2.
LiMn2O4 and molten salt reaction process.
3.2. Electrochemical Reduction of Lithium Manganate
3.2.1. Square Wave Voltammetry
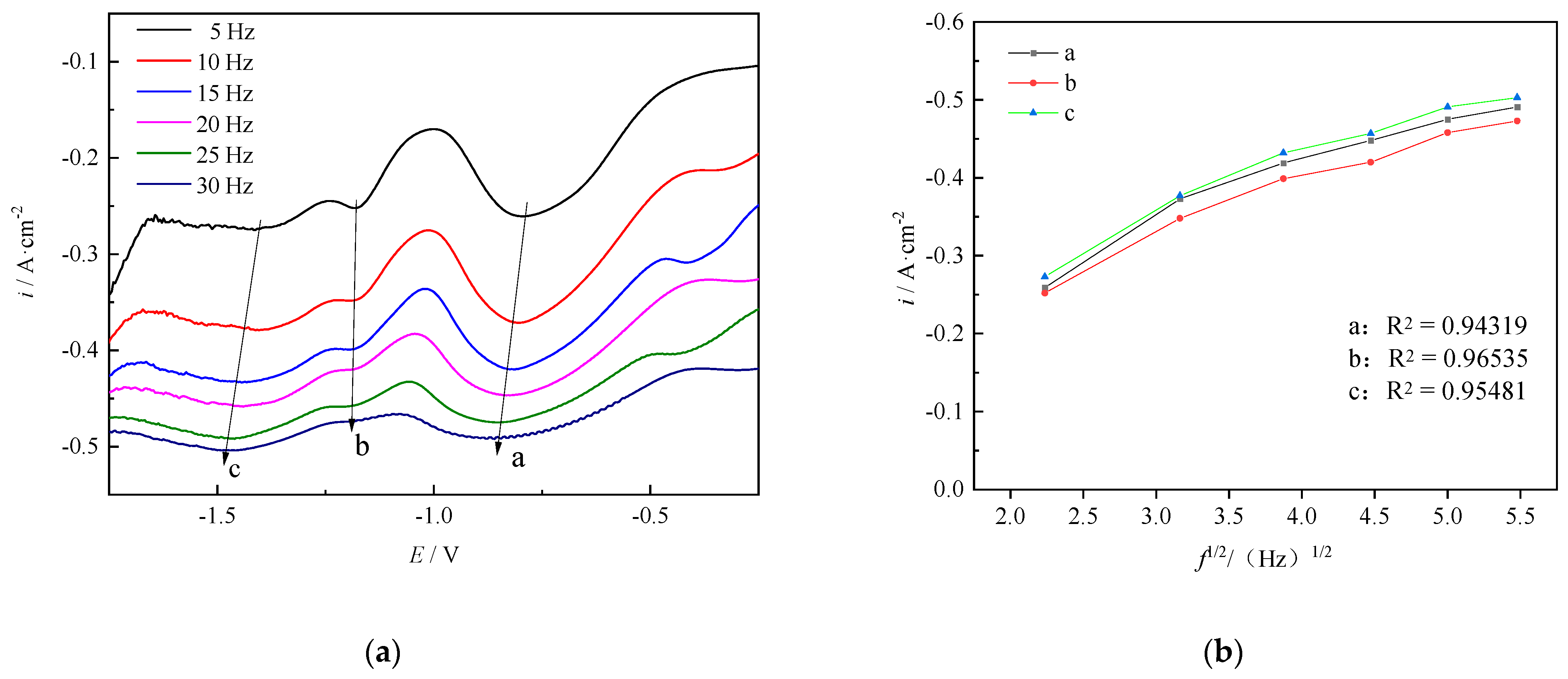
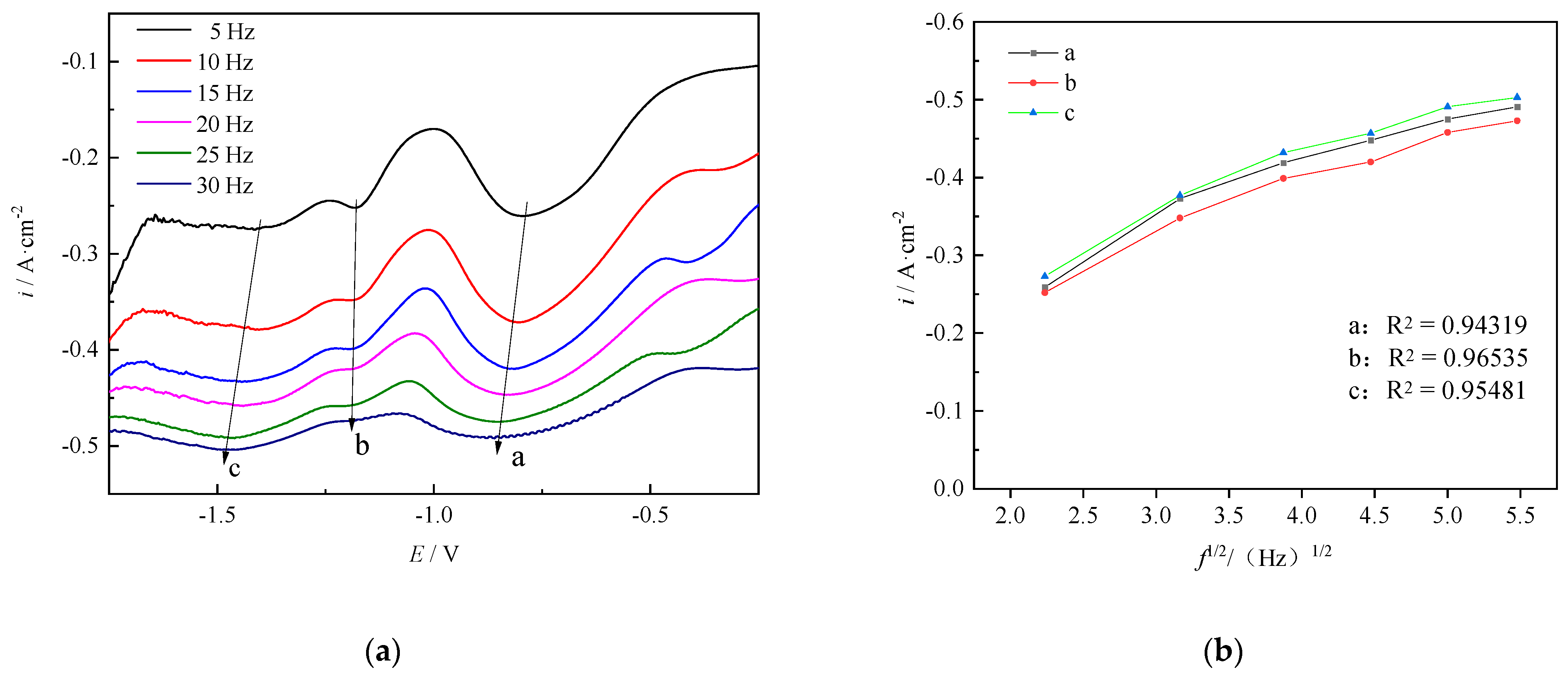
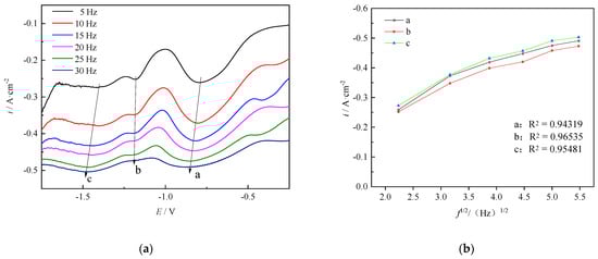
The square wave voltammetry was used to monitor the electrochemical reduction process of Mn ions in molten salt, and the frequency f was changed to obtain a square wave voltammetry curve as shown in Figure 3a. It can be seen from the figure that the peak a, peak b, and peak c indicate that Mn (IV) in LiMn2O4 is reduced to Mn in three steps. However, the fitting results from Figure 3b show that the linear relationship between f1/2 and ipc of peaks a, b, and c are poor. Therefore, the electrochemical reduction process of Mn in lithium manganate on the surface of the Pt electrode is an irreversible reaction. Consequently, square wave voltammetry cannot be used to calculate the number of transferred electrons, it can only be used as a qualitative analysis reaction step.
Figure 3.
(a) Square wave voltammetry curve on Pt electrode surface in NaCl-CaCl2-LiMn2O4; (b) Relationship between f1/2 and ipc in NaCl-CaCl2-LiMn2O4 on Pt electrode.
3.2.2. Open Circuit-Chronopotential
In order to further study the dissolution and deposition process of manganese on the surface of Pt electrode, the open circuit potential of NaCl-CaCl2-LiMn2O4 molten salt was used. Platinum, as the working electrode, applied a voltage of −3.0 V relative to the reference for 30 s and then stopped, the open circuit potential method was used to record the change at this time. That is, the relationship between the potential and time without external electric field as shown in Figure 4. As time increases, the low potential gradually changes to the equilibrium, in this process the curve appears stepped, having three platforms. There appears to be a stable potential when the metal dissolved in the molten salt or during the transition from low-valent ions to high. The first plateau appears around −1.4 V, which corresponds to the dissolution and deposited of the metal Mn, and manganese gains electrons and oxidizes to Mn (II). The second plateau appears around −1.0 V, which corresponds to the oxidation of Mn (II) to Mn (III). At −0.8 V, it is the process of converting Mn (III) to Mn (IV). The oxidation process of manganese is basically consistent with the results of the cyclic voltammetry scan. The potential of it is slightly positive compared with the reduction potential, which is closer to the oxidation peak in the cyclic voltammetry curve.
Figure 4.
Open-circuit potentiometry on Pt electrode in NaCl-CaCl2-LiMn2O4.
3.2.3. Cyclic Voltammetry
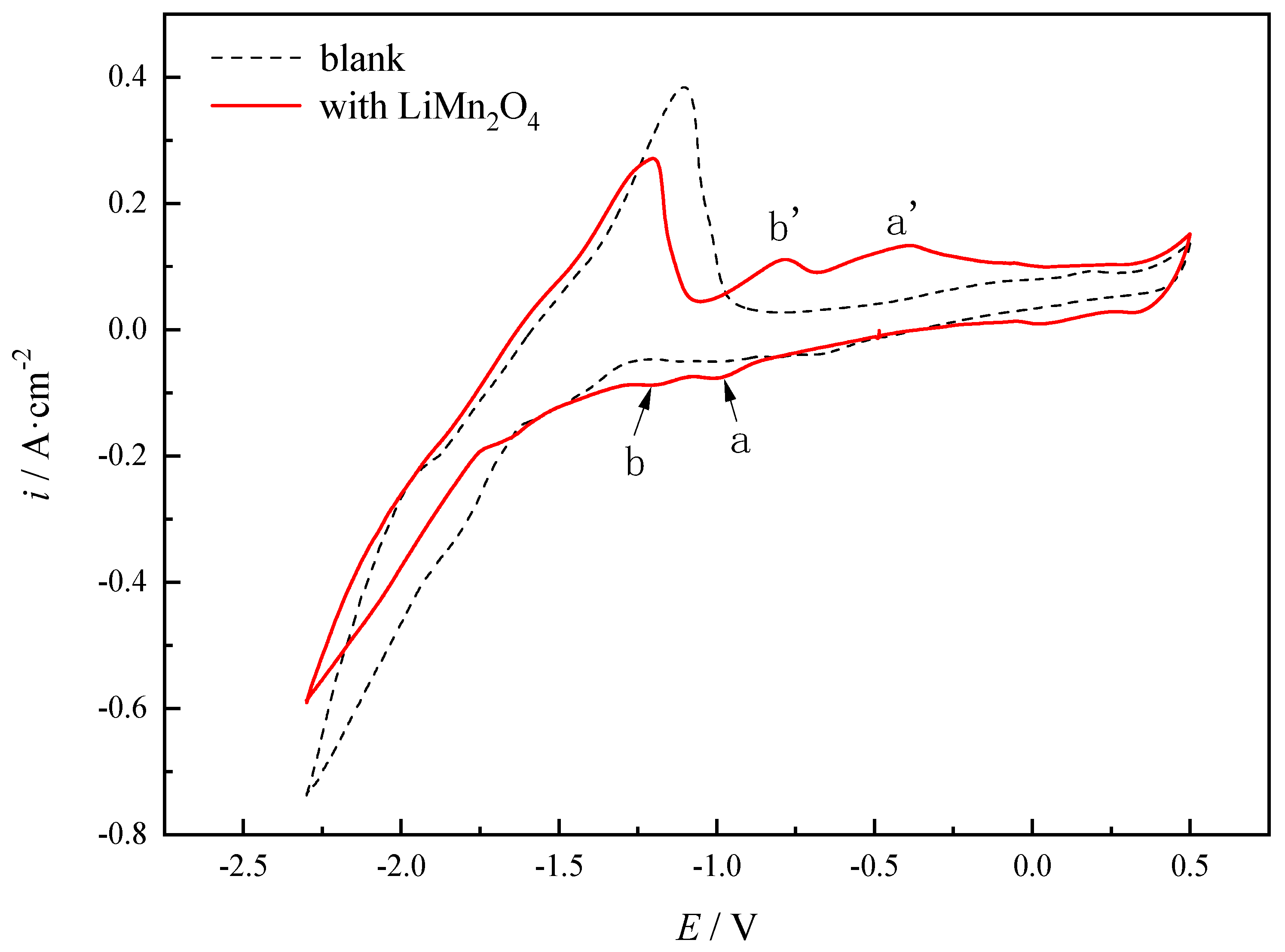
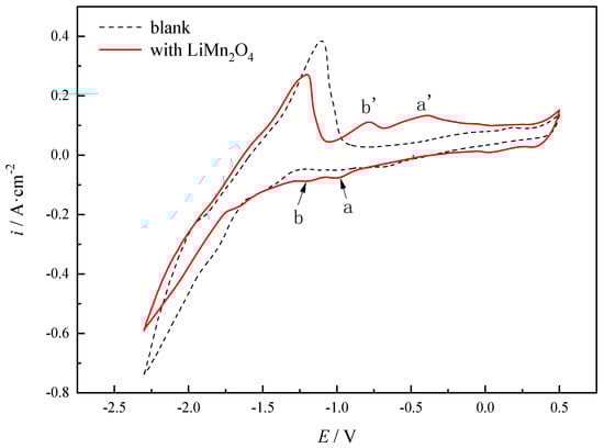
Measured the cyclic voltammetry curve of NaCl-CaCl2 molten salt at 750 °C first, add lithium manganate (LiMn2O4) for 1 h, and then performed cyclic voltammetry again. Analyzed the electrochemical reduction process of manganese on the surface of the Pt electrode. As shown in the dashed line in Figure 5.
Figure 5.
Cyclic voltammetry on the surface of Pt electrode (s = 0.159 cm2) before and after adding LiMn2O4 with 2 g to NaCl-CaCl2 molten salt (T = 750 °C, RE: Pt electrode, scanning speed: 0.2 V).
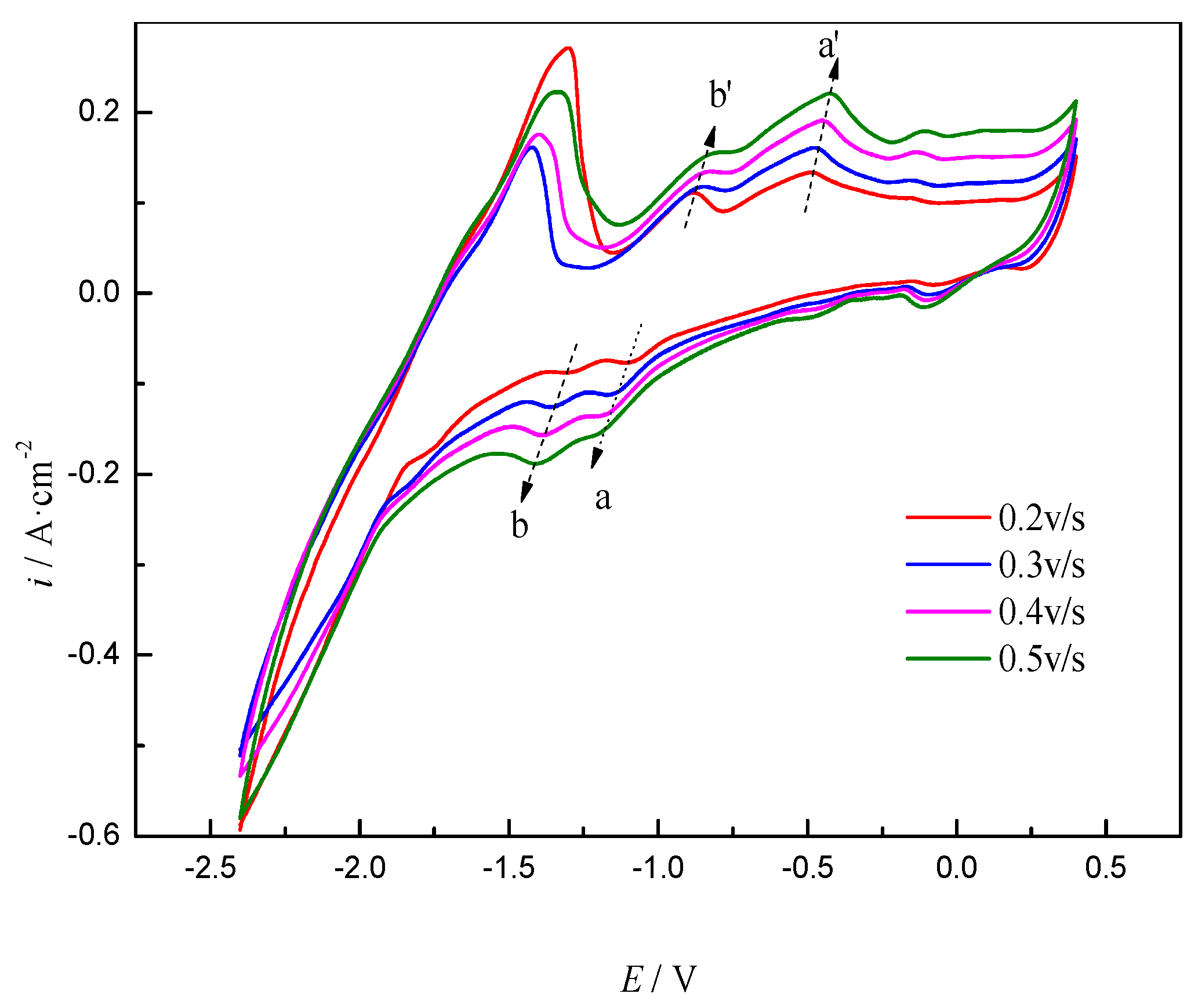
Selected the scan range from −2.4 to 0.5 V. The dashed line in Figure 5 shows the obvious reduction peak at −2.4 V in the reverse scanning direction. This is due to the reduction reaction of Na+ in the molten salt, which corresponds to the forward direction. During the scanning process, an oxidation peak appeared at −1.4 V, which was due to the oxidation reaction of the reduced sodium to generate Na+. When the forward scan is close to the 0.5 V potential, the current shows an increasing trend, which is attributed to the current change caused by the loss of electrons of Cl− at this potential, and oxidized to generate Cl2 and discharge. There is a wide electrochemical window between 0.4 V and −1.2 V, and there is no obvious electrochemical reduction reaction in this range.
The red solid line in Figure 5 is the cyclic voltammetry curve after adding LiMn2O4 to NaCl-CaCl2 after holding for 1 h. It can be seen that there are two pairs of oxidation-reduction peaks, a/a’ and b/b’. The reduction potentials of peak a and b are −0.99 V and −1.2 V, respectively, in the reverse direction with the scanning speed is 0.1 V/s. As is shown in Figure 1, the reaction result of adding lithium manganate to NaCl-CaCl2 molten salt at 750 °C for 1h indicate manganese mainly exists in the form of CaMn2O4 and Mn3O4. Therefore, the electrochemical reduction process is started by the trivalent manganese in CaMn2O4. When the potential changes but no electrochemical reduction occurs, the background current is shown as the dotted line. When Mn (III) appears in the molten salt and the potential increased to −1 V, Mn (III) is reduced to Mn (II). At the same time, an electron transfer process occurs on the surface of the electrode, and manganese ions are reduced, which introduces a Faraday current. The coupling effect of the Faraday current and non-Faraday current increases the current density, thereby forming a reduction peak, as shown by peak a in Figure 5. The generated Mn (II) is reduced to elemental manganese, while a two-electron transfer occurs, and the coupling phenomenon of the Faraday current and non-Faraday current occurs again to form a reduction peak b.
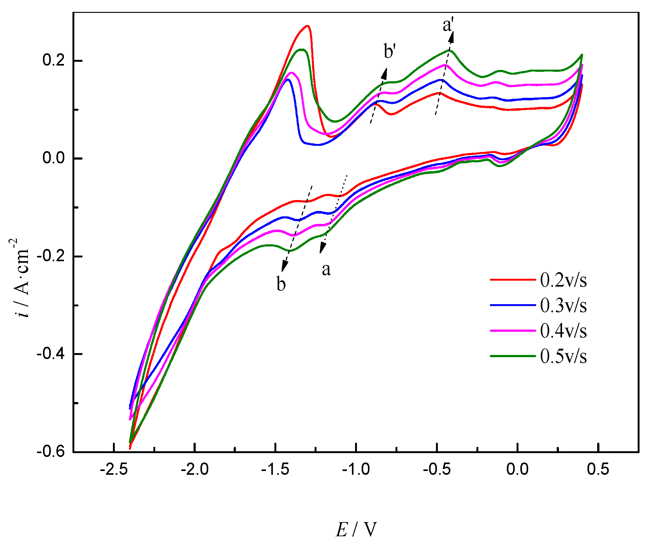
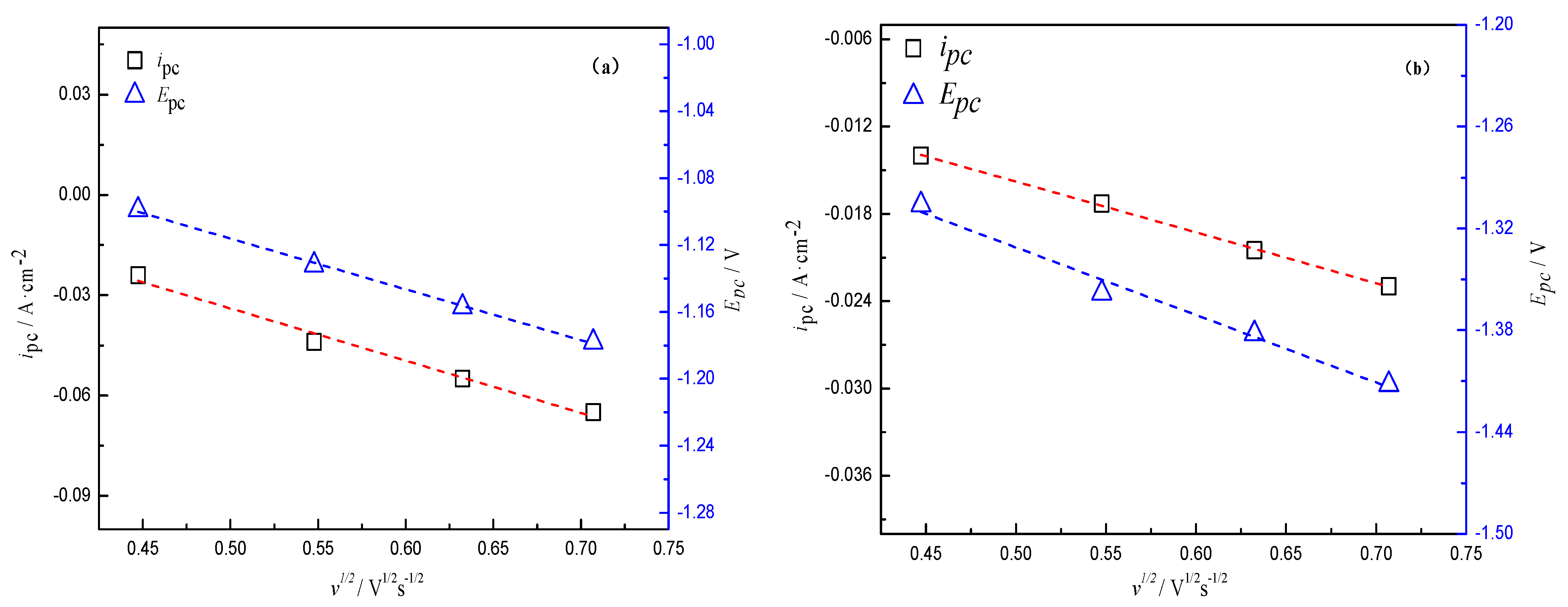
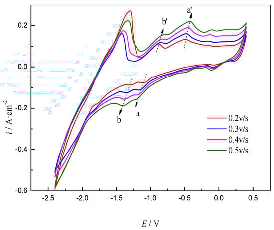
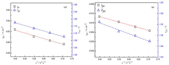
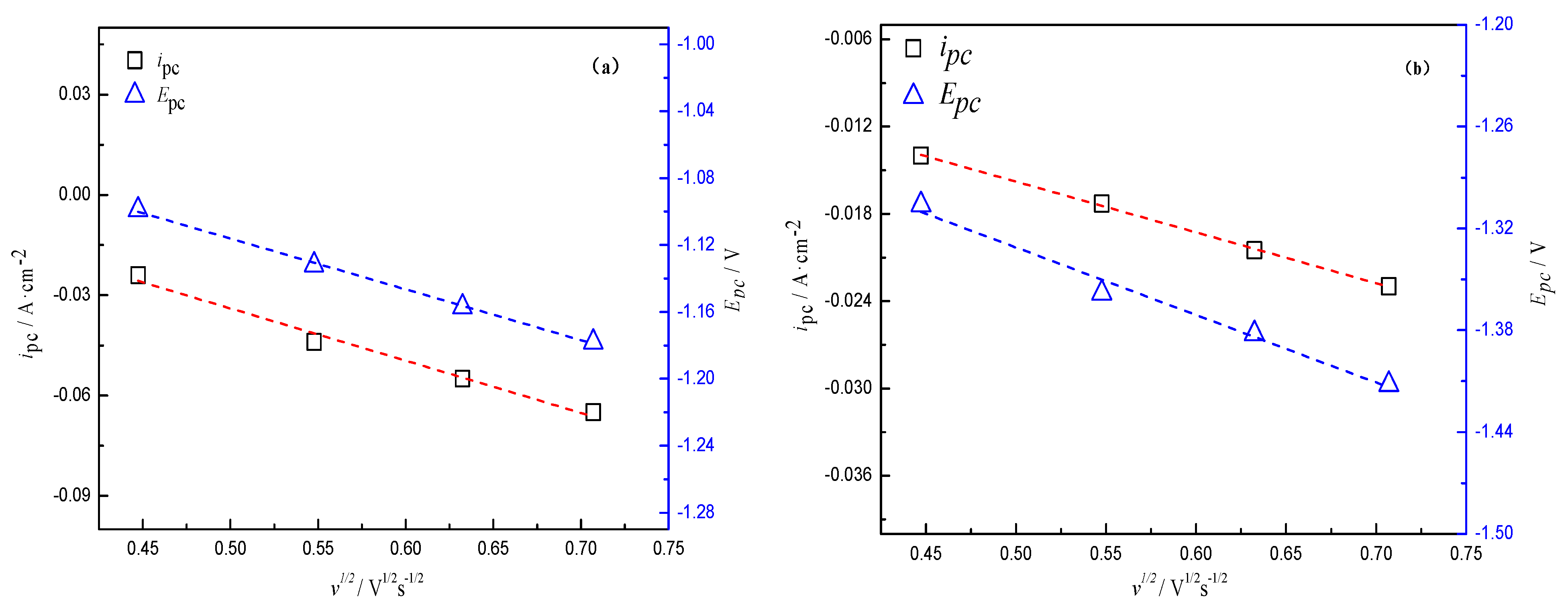
Tested the effect of different sweep speeds on the reduction of Mn (III), and drew graphs based on the data of different sweep speeds (0.2~0.5 V/s), as shown in Figure 6. It can be seen from Figure 6 that the cyclic voltammetry curve has two obvious reduction peaks a and b near −1.1 V and −1.38 V. At the same time, there are two obvious oxidation peaks a’ and b’ above the curve corresponding to the reduction peak. In multi-turn scanning, peak a and b both shift to the negative direction to varying degrees as the scanning speed increases. Peak a’ and b’ have different degrees of deviation in the positive direction, and the current also changes with the sweep speed. The peak potentials Epc and Epa and the current densities ipa and ipc all change with the different scanning speed v. The curve of ipc–v1/2 and Epc–v1/2 is shown in Figure 7.
Figure 6.
Cyclic voltammetry curve at different sweep speeds of Pt electrode after adding 2 g of LiMn2O4 to NaCl-CaCl2 molten salt.
Figure 7.
Relationship between ipc–v1/2 and Epc–v1/2 of Pt electrode in NaCl-CaCl2-LiMn2O4 molten salt: (a) peak a; (b) peak b.
Figure 7a shows that the current density of peak a raise with the increase of the square root of the sweep speed, but its linear relationship is poor. The potential of reduction peak has a significant deviation, and the peak potential raises with the increase of the scanning speed, which has a very good linear relationship. Therefore, the reduction process of peak a is controlled by diffusion and kinetics, and the reaction is judged to be an irreversible reaction based on the peak shape. Figure 7b shows that the current density of peak b also raises with the increase of the square root of the sweep speed, and the linearity is better. The reduction peak potential has a significant shift of about −1.3 V, and the peak potential raises with the increase of the scanning speed with a good linear relationship. Therefore, the reduction process of peak b is controlled by diffusion. Since the peak potential shifts more obviously with the increase of scanning speed, it is judged that peak b is a quasi-reversible reaction. According to the reversible reaction calculation Equations (3) and (4), the electron transfer number of peak b can be calculated. The calculated number of transferred electrons of peak b is 2.1 ≈ 2, which corresponds to the reduction process of Mn (II) to elemental manganese.
Epc − Epa = −2.25 (RT/nF)
Epc − Epc/2 = −2.2 (RT/nF)
4. The Effect of Time on Electrolysis
4.1. The Effect of Electrolysis Time on the Product
In order to study the effect of deoxidation time on manganese reduction, 0.8 g LiMn2O4 in graphite crucible was electrically deoxidized for 1 h, 6 h, and 12 h at 3 V and 750 °C. Compared the products of the different reaction time during the reduction process. The product under the conditions of 3 V and 1 h is light green and dark gray. According to the XRD results, it can be judged that it is mainly MnO (green), CaMn2O4, (MnO)0.759(CaO)0.241. At this time, the reduction of LiMn2O4 to low-valent manganese has occurred. Figure 8d shows that as time goes by, the low-valence manganese compound gradually gains electrons and reduces. At 2 h, the characteristic peak of metallic manganese has appeared, and the coexistence state of MnO and Mn appears in the product. Ca(OH)2 and CaO are produced by the decomposition of CaMn2O4 and (MnO)0.759(CaO)0.241 formed during electrolysis.
Figure 8.
Deoxygenation products of lithium manganate at different times under the condition of 750 °C and 3 V: (a) 1 h; (b) 6 h; (c) 12 h; (d) XRD.
Judging from the reaction at different times, the high-valence manganese in LiMn2O4 obtains electrons to be reduced under higher voltage. LiMn2O4 reacts with calcium ions in the surrounding molten and produces CaMn2O4 containing Mn (III) first. During the electrolysis process, due to the influence of the diffusion control reaction rate in the molten salt, the removed oxygen ions gather near the electrode. At the same time, because of the large driving force for electrolytic reduction provided by the voltage, CaMn2O4 is further electrolytically reduced to form (MnO)0.759(CaO)0.241 containing Mn (II). As the diffusion progressed, the concentration of oxygen ions near the electrode decreased and MnO is formed. With the extension of the electrolysis time, the high-valence manganese compound is gradually deoxidized and reduced. The Mn (III) compound disappeared at 6 h and Mn (II) started to be reduced to elemental manganese. A large amount of oxygen ions were removed from CaMn2O4 and diffused slowly, then CaO was formed with surrounding calcium ions. When the electrolysis time was sufficient, the conversion of ionic manganese to elemental manganese was completed. Therefore, the reaction process of reducing LiMn2O4 to manganese metal is: Mn (IV)→Mn (III)→Mn (II)→Mn, which corresponds to the result of square wave voltammetry. At the same voltage and the same temperature, the longer the time of the reaction, the more thorough the electrochemical reaction will proceed, but the time cost in the actual production process cannot be ignored. When the driving force is large enough, the two-step deoxygenation process may occur simultaneously.
The reaction formula is:
2LiMn2O4 + Ca2+ + 4e− → CaMn2O4 + 2MnO + 2Li+ + 2O2−
The formation and decomposition of CaMn2O4 in the electrolytic deoxidation and reduction process of LiMn2O4 were studied. Analyzed the experimental result of applying different voltages for a short certain time (Figure 9) and low voltages for different time (Figure 10).
Figure 9.
LiMn2O4 electrolytic deoxidation products at 750 °C (1 h, 0.5–3 V).
Figure 10.
XRD analysis of electro deoxidation products of LiMn2O4 at different times: (a) 0.5 V; (b) 1.5 V; (c) 2 V; (d) 2.6 V.
As shown in Figure 9, when the electrolysis voltage is 0.5 V~1 V, CaMn2O4 and Mn3O4 are formed. When the electrolysis voltage increases to 1.5 V~3 V, the characteristic peak of Mn3O4 in the product disappears, and the trivalent manganese is transformed into divalent manganese, forming (MnO)x(CaO)(1−x) and MnO. The reason for this is in the process of electrolytic reduction of high-valent manganese to elemental manganese, it needs to rely on energy to promote the process of obtaining electrons. The driving force of the process is voltage. The magnitude of the applied voltage determines whether the electrochemical reaction can proceed and the extent of the reaction. The electrochemical reaction that can be carried out requires energy to break its thermodynamic conditions, that is, the equilibrium potential, while the occurrence of the kinetic process requires a certain over-potential. When the over-potential is greater, the reaction speed is greater. According to the analysis of electrolysis products at different electrolysis voltages in a short time, when the voltage is greater, the driving force of the reaction is greater, the reaction speed is faster, and the degree of reaction progress is greater. Therefore, the reduction process of high valent manganese is: LiMn2O4 (III, IV) is reduced and chemically reacts with Ca2+ in the molten salt to form CaMn2O4; Subsequently, Mn (III) in CaMn2O4 undergoes a reduction reaction to produce MnO, while CaO is gradually separated, and the x in (MnO)x(CaO)(1−x) that appears during the reaction gradually becomes smaller.
The electrolysis products of LiMn2O4 at different voltages in a short period of time have consistent changes. LiMn2O4 (III, IV) has undergone a gradual reduction process from trivalent manganese, bivalent manganese to elemental manganese. At 0.5 V electrical deoxidation for 0.5 h, the products are mainly LiMn2O4 with a small amount of CaMn2O4 and Mn3O4. When the time increases to 1~1.5 h, LiMn2O4 disappears, CaMn2O4 increases, and (MnO)0.614(CaO)0.386 is produced. As the time is increased to 2 h, (MnO)0.614(CaO)0.386 in the product decreased, some characteristic peaks of (MnO)0.759(CaO)0.241 appeared at the same time, and the peak intensity of products containing Mn (II) increased and CaMn2O4 decreases. When the electro-deoxygenation is 0.5 h, the composition of the 1.5 V product is the same as that of the 0.5 V product, but 1.5 V produces are more CaMn2O4. When deoxidation time was increased to 1 h, the characteristic peaks of LiMn2O4 and Mn3O4 all disappeared, and the product was still dominated by CaMn2O4. At the same time, characteristic peaks of MnO and (MnO)0.759(CaO)0.141 appeared. Compared with 0.5 V, the product at the same time of 1.5 V contains more Mn (II), and with the extension of electrolysis time, the amount of MnO gradually increases, and the characteristic peak intensity of CaMn2O4 decreases. When the time reaches 2 h, the characteristic peak of (MnO)0.877(CaO)0.123 which contains more MnO appears in the product. The electrolysis voltage of 2 V and 1.5 V for a short period of time have the same change of electro-deoxygenation products, but the amounts of low-priced products generated is different. At 2.6 V electro-deoxidation for 0.5 h, the characteristic peaks of CaMn2O4 and Mn3O4 appeared in the product, and there was no LiMn2O4 at this time. When the time was increased to 1 h, the product was still dominated by CaMn2O4, and the characteristic peaks of (MnO)0.759(CaO)0.141 and MnO began to appear. When the time increased to 1.5 h, CaMn2O4 gradually decomposed and reduced to (MnO)x(CaO)(1−x) and MnO. When the electrolysis time reached 2 h, elemental manganese appeared in the product.
When there is an external electric field, LiMn2O4 in the molten salt undergoes a decomposition-reduction process to generate CaMn2O4 and a small amount of Mn3O4. With the increase of electrical deoxidation time, the product no longer contains LiMn2O4. In addition to CaMn2O4 and Mn3O4, MnO and (MnO)x(CaO)(1−x) gradually appeared in the product. Then, the characteristic peak intensity of Mn3O4 gradually decreased and disappeared, while the characteristic peak of Mn (II)-containing products gradually raised with the increase of electrolysis time. With the advancement of the deoxidation process, (MnO)x(CaO)(1−x) is gradually formed. There are two main sources of this compound: One is the reduction product derived from Mn3O4. When Mn3O4 is reduced to MnO, the calcium ions in the molten salt and the removed oxygen ions react to form CaO. Another is the deoxygenated product of CaMn2O4. When the electrolysis voltage is small, because of the small driving force of the electrochemical reaction, the rate of gaining electrons is small, and the main reaction that occurs is the conversion of LiMn2O4 (III, IV) to Mn (III) and Mn (II). When the electrolysis voltage is large, the electrochemical reaction rate increases, so as to reach the electrochemical thermodynamic conditions for the transformation from Mn (II) to elemental manganese. Therefore, at different voltages at the same time, the low-valence manganese compounds gradually raise with the increase of voltage, and elemental manganese is obtained under high voltage. The electrochemical reaction of the reduction process is Equations (6)–(9):
4LiMn2O4 + Ca2+ + 6e− → CaMn2O4 + 2Mn3O4 + 4Li+ + 4O2−
CaMn2O4 + 2e− → 2MnO + Ca2+ + 2O2−
Mn3O4 + 2e− → 3MnO + O2−
MnO + 2e− → Mn + O2−
4.2. Electro Deoxidation Product Analysis
Figure 11 shows the morphological characteristics of raw material and intermediate reduction products in the process of LiMn2O4 electro-deoxidation to prepare elemental manganese.

Figure 11.
Raw material and product analysis (a) Raw material; (b) EDS of point A; (c) the product of 0.5 V electrolysis for 1 h; (d) EDS of point B; (e) EDS of point C.
It can be seen from Figure 11 that the lithium manganate raw material (LiMn2O4) has a honeycomb structure. The main elements are Mn and O and the oxygen-manganese ratio is about 1.55, which is closer to the oxygen-manganese ratio of the lithium manganate raw material of 4:2. The products of LiMn2O4 electrolyzed at 0.5 V for 1 h are CaMn2O4 and Mn3O4. The surface of substance B in the figure is relatively dense and smooth, and its main elements are Mn, O, and Ca. The ratio of calcium to manganese to oxygen is close to 1:2:4, so that is the intermediate compound calcium manganate (CaMn2O4). Substance C is loose and has porous spherical particles, the main elements are Mn and O, the atomic ratio of oxygen to manganese is about 3:4, and the product is trivalent manganese oxide Mn3O4 during the deoxidation process of lithium manganate.
The product deoxygenated at 3 V for 12 h was cleaned with distilled water at 20 °C and 0 °C under ultrasonic action. Figure 12 shows the XRD of the product at different cleaning temperatures. There are no other forms of manganese that appear except for elemental manganese. However, Ca(OH)2 appeared in the product treated with distilled water at 20 °C. This is because CaO is easier to dissolve in distilled water at 0 °C. The analysis of the electro-deoxidation product shows that the surface texture of it is uneven as in Figure 13. The particle surface scan results show that the elements are Mn and O. The atomic ratio of manganese at point 1 is 78.82%, and the atomic ratio of manganese at points 2 and 3 reaches 95.91% and 96.75%. It can be seen from the distribution of manganese that the process of manganese oxide gaining electrons from high to low prices starts from the particle surface at the three-phase boundary, and the boundary gradually extends to the inside of the particle over time, and finally elemental manganese is obtained.
Figure 12.
XRD of electro-deoxygenated products (3 V, 12 h) after cleaning at different temperatures.
Figure 13.
Electro deoxidation product surface scan: (a–c) and EDS of (d) point 1; (e) point 2; (f) point 3.
Figure 14 shows the XPS spectra of the products of electro-deoxygenation at 750 °C with voltages of 2.6 V and 3.0 V for 12 h. It can be seen from Figure 14b that the spectrum can divide into two different environments of Mn atoms, with binding energies of 641.7 eV and 653.4 eV, respectively. The signal peak with the binding energy at 641.7 eV corresponds to the Mn 2p3/2 orbital. The corresponding valence states of Mn are +2 and +3. MnO and Mn2O3 exist at the same time, the signal peak with a binding energy of 653.4 eV corresponds to the Mn 2p1/2 orbital, and the corresponding substance is MnO, which proves that the valence state changes during the reduction of lithium manganate to metallic manganese. It can be seen from Figure 14d that the fitted curve has two obvious peaks; the binding energies are 638.5 eV and 650.2 eV, corresponding to the characteristic peaks of Mn element of Mn 2p3/2 orbital and Mn 2p1/2 orbital, respectively. This indicates that the product obtained after applying 3 V voltage at 750 °C for 12 h of deoxidation is elemental metal manganese.
Figure 14.
The XPS spectrum of the product of electro-deoxygenation at a voltage of 2.6 V and 3.0 V at 750 °C for 12 h: (a) 2.6 V full spectrum (b) 2.6 V Mn high-resolution spectrum (c) 3.0 V full spectrum (d) 3.0 V Mn high-resolution spectrum.
5. Conclusions
The electrochemical mechanism of the reduction of high valence Mn in LiMn2O4 to Mn elementary substance was studied.
The study of square wave voltammetry and open-circuit-chronopotentiometry shows that the reaction process of LiMn2O4 reduction to manganese in NaCl-CaCl2 molten salt is: Mn (IV)→Mn (III)→Mn (II)→Mn.
Cyclic voltammetry measured that LiMn2O4 produced CaMn2O4 after 1 h in molten salt. The reduction of CaMn2O4 to Mn was completed in two steps: Mn (III)→Mn (II)→Mn.
The results of constant voltage deoxidation under different conditions show that LiMn2O4 first reacts with Ca2+ to form CaMn2O4, which is then reduced to (MnO)x(CaO)(1−x) containing divalent Mn, and x gradually decreases as the reaction progresses. MnO was completely reduced to Mn element after 9 h of 3 V electrolysis, and the CaO in the product could be removed by cleaning the sample at 0 °C.
Author Contributions
Conceptualization, J.L. and R.Z.; data curation, H.L.; writing—original draft preparation, H.Y. and Z.C.; writing—review and editing, W.C.; visualization, L.W. All authors have read and agreed to the published version of the manuscript.
Funding
This research was funded by the National Natural Science Foundation of China, grant number 51774143.
Data Availability Statement
Not applicable.
Acknowledgments
This work was supported by the National Natural Science Foundation of China (No. 51774143).
Conflicts of Interest
The authors declare no conflict of interest.
References
- Huang, Z.; Lin, M.; Qiu, R.; Zhu, J.; Ruan, J.; Qiu, R. A novel technology of recovering magnetic micro particles from spent lithium-ion batteries by ultrasonic dispersion and water flow-magnetic separation. Resour. Conserv. Recycl. 2021, 164, 105172. [Google Scholar] [CrossRef]
- Nayaka, G.; Zhang, Y.; Dong, P.; Wang, D.; Zhou, Z.; Duan, J.; Li, X.; Lin, Y.; Meng, Q.; Pai, K.; et al. An environmental friendly attempt to recycle the spent Li-ion battery cathode through organic acid leaching. J. Environ. Chem. Eng. 2019, 7, 102854. [Google Scholar] [CrossRef]
- Liu, H.; Li, M.; Xiang, M.; Guo, J.; Bai, H.; Bai, W.; Liu, X. Effects of crystal structure and plane orientation on lithium and nickel co-doped spinel lithium manganese oxide for long cycle life lithium-ion batteries. J. Colloid Interface Sci. 2021, 585, 729–739. [Google Scholar] [CrossRef]
- Huacheng, L.I.; Liao, Y.; Situ, L. An experimental study on preparation of lithium manganate doped with niobium from manganese tetroxide. China’s Manganese Ind. 2020, 38, 31–36. [Google Scholar]
- Wei, S.J.L. Synthesis of lithium ion batteries cathode material LiMn2O4 by microwave method. Shandong Chem. Ind. 2020, 49, 37–38. [Google Scholar]
- Libiao, H. Power battery needs a “good death”. China Qual. Dly. 2021, 7, 4–20. [Google Scholar]
- Sun, S.; Jin, C.; He, W.; Li, G.; Zhu, H.; Huang, J. Management status of waste lithium-ion batteries in China and a complete closed-circuit recycling process. Sci. Total Environ. 2021, 776, 145913. [Google Scholar] [CrossRef] [PubMed]
- Callegari, D.; Colombi, S.; Nitti, A.; Simari, C.; Nicotera, I.; Ferrara, C.; Mustarelli, P.; Pasini, D.; Quartarone, E. Autonomous Self-Healing Strategy for Stable Sodium-Ion Battery: A Case Study of Black Phosphorus Anodes. ACS Appl. Mater. Interfaces 2021, 13, 13170–13182. [Google Scholar] [CrossRef] [PubMed]
- Shi, Y.; Song, M.; Zhang, Y.; Zhang, C.; Gao, H.; Niu, J.; Ma, W.; Qin, J.; Zhang, Z. A self-healing CuGa2 anode for high-performance Li ion batteries. J. Power Sources 2019, 437, 226889. [Google Scholar] [CrossRef]
- Tang, Y.; Xie, H.; Zhang, B.; Chen, X.; Zhao, Z.; Qu, J.; Xing, P.; Yin, H. Recovery and regeneration of LiCoO2-based spent lithium-ion batteries by a carbothermic reduction vacuum pyrolysis approach: Controlling the recovery of CoO or Co. Waste Manag. 2019, 97, 140–148. [Google Scholar] [CrossRef]
- Zhuang, L.; Sun, C.; Zhou, T.; Li, H.; Dai, A. Recovery of valuable metals from LiNi0.5Co0.2Mn0.3O2 cathode materials of spent Li-ion batteries using mild mixed acid as leachant. Waste Manag. 2019, 85, 175–185. [Google Scholar] [CrossRef]
- Huang, Z.; Zhu, J.; Qiu, R.; Ruan, J.; Qiu, R. A cleaner and energy-saving technology of vacuum step-by-step reduction for recovering cobalt and nickel from spent lithium-ion batteries. J. Clean. Prod. 2019, 229, 1148–1157. [Google Scholar] [CrossRef]
- Li, J.; Wang, G.; Xu, Z. Environmentally-friendly oxygen-free roasting/wet magnetic separation technology for in situ recycling cobalt, lithium carbonate and graphite from spent LiCoO2/graphite lithium batteries. J. Hazard. Mater. 2016, 302, 97–104. [Google Scholar] [CrossRef] [PubMed]
- Nathália, V.; Nogueira, C.A.; Guimarães, C.; Pereira, M.F.C.; Durão, F.O.; Margarido, F. Hydrometallurgical recycling of lithium-ion batteries by reductive leaching with sodium metabisulphite. Waste Manag. 2018, 71, 350–361. [Google Scholar]
- Xiao, J.; Li, J.; Xu, Z. Challenges to future development of spent lithium ion batteries recovery from environmental and technological perspectives. Environ. Sci. Technol. 2020, 54, 9–25. [Google Scholar] [CrossRef] [PubMed]
- Atia, T.A.; Elia, G.; Hahn, R.; Altimari, P.; Pagnanelli, F. Closed-loop hydrometallurgical treatment of end-of-life lithium ion batteries: Towards zero-waste process and metal recycling in advanced batteries. J. Energy Chem. 2019, 35, 220–227. [Google Scholar] [CrossRef] [Green Version]
- Gao, W.; Song, J.; Cao, H.; Lin, X.; Zhang, X.; Zheng, X.; Zhang, Y.; Sun, Z. Selective recovery of valuable metals from spent lithium-ion batteries—Process development and kinetics evaluation. J. Clean. Prod. 2018, 178, 833–845. [Google Scholar] [CrossRef]
- Xiao, S.; Liu, W.; Gao, L. Cathodic process of manganese (II) in NaCl-KCl melt. Ionics 2016, 22, 2387–2390. [Google Scholar] [CrossRef]
- Jiao, S.-Q.; Jiao, H.-D.; Song, W.-L.; Wang, M.-Y.; Tu, J.-G. A review on liquid metals as cathodes for molten salt/oxide electrolysis. Int. J. Miner. Met. Mater. 2020, 27, 1588–1598. [Google Scholar] [CrossRef]
- Xie, H.; Qu, J.; Ning, Z.; Li, B.; Song, Q.; Zhao, H.; Yin, H. Electrochemical co-desulfurization-deoxidation of low-grade nickel-copper matte in molten salts. J. Electrochem. Soc. 2018, 165, E578–E583. [Google Scholar] [CrossRef]
- Zhao, J.; Yin, H.; Lim, T.; Xie, H.; Hsu, H.-Y.; Forouzan, F.; Bard, A.J. Electrodeposition of photoactive silicon films for low-cost solar cells. J. Electrochem. Soc. 2016, 163, D506–D514. [Google Scholar] [CrossRef]
- Kartal, L.; Timur, S. Direct electrochemical reduction of copper sulfide in molten borax. Int. J. Miner. Met. Mater. 2019, 26, 992–998. [Google Scholar] [CrossRef]
- Mohanty, J.; Behera, P.K. Use of Pre-treated TiO2 as Cathode Material to Produce Ti Metal Through Molten Salt Electrolysis. Trans. Indian Inst. Met. 2019, 72, 859–865. [Google Scholar] [CrossRef]
- Xi, X.; Feng, M.; Zhang, L.; Nie, Z. Applications of molten salt and progress of molten salt electrolysis in secondary metal resource recovery. Int. J. Miner. Metall. Mater. 2020, 27, 1599–1617. [Google Scholar] [CrossRef]
Publisher’s Note: MDPI stays neutral with regard to jurisdictional claims in published maps and institutional affiliations. |
© 2021 by the authors. Licensee MDPI, Basel, Switzerland. This article is an open access article distributed under the terms and conditions of the Creative Commons Attribution (CC BY) license (https://creativecommons.org/licenses/by/4.0/).














