Development of TiO2 Films by Sol–Gel/Sedimentation for the Inactivation of Multidrug-Resistant Escherichia coli and Salmonella Typhimurium in Greywater
Abstract
1. Introduction
2. Results and Discussion
2.1. Substrate Cleaning and Hydrophilicity
2.2. Synthesis of TiO2 Films by Sol-Gel/Sedimentation
2.3. TiO2 Film Characterization
2.3.1. X-Ray Diffraction
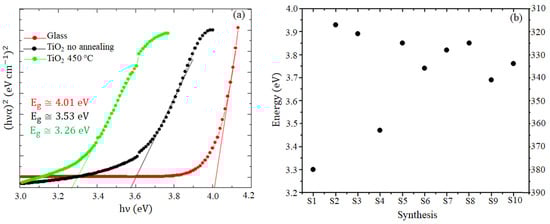
2.3.2. Determination of the GAP
2.3.3. SEM/EDX
2.4. Inactivation of E. coli 226 and S. Typhimurium 211 in Grey Water (GW)
2.4.1. Strains for Study, Preservation, and Growth Curves
2.4.2. Greywater (GW) Characterization
2.4.3. Evaluation of the Photocatalytic Activity of TiO2 Films Produced with the Ten Synthesis Protocols Using GW1
2.4.4. Photocatalytic Activity Evaluation of the TiO2 Films Produced Using the Most Promising Synthesis Protocols, Employing GW2 on a Larger Scale
3. Materials and Methods
3.1. Substrate Preparation
3.2. Elaboration of TiO2 Films by Sol–Gel/Sedimentation
3.3. Physical Characterization of TiO2 Film
3.3.1. Crystal Structure
3.3.2. Optical Characterization
3.3.3. Morphology
3.4. Photocatalytic Activity of TiO2 Films
3.4.1. Strains Used in the Study
3.4.2. Sampling and Characterization of Greywater
3.4.3. Evaluation of the Photocatalytic Activity of TiO2 Films Produced with the Ten Synthesis Protocols Using GW1
3.4.4. Photocatalytic Activity Evaluation of the TiO2 Films Produced Using the Promising Protocols, Employing GW2 on a Larger Scale
4. Conclusions
Supplementary Materials
Author Contributions
Funding
Data Availability Statement
Acknowledgments
Conflicts of Interest
Abbreviations
| TiO2 | Titanium Dioxide |
| TTIP | Tetraisopropyl Orthotitanate |
| DWW | Domestic Wastewater |
| GW | Green Water |
| COD | Chemical Oxygen Demand |
| PDMS | Polydimethylsiloxane |
| EWV | Effective Working Volume |
| CFU | Colony Forming Units |
References
- Bhagwat, V.R. Safety of Water Used in Food Production; Elsevier Inc.: Amsterdam, The Netherlands, 2019. [Google Scholar] [CrossRef]
- Aboye, A.D. Pilot Review Study on the Importance of Treated Agro-Industrial Wastewater to Reuse for Irrigating Agriculture. Earth Environ. Sci. Res. Rev. 2022, 5, 1–26. [Google Scholar] [CrossRef]
- Bijekar, S.; Padariya, H.D.; Yadav, V.K.; Gacem, A.; Hasan, M.A.; Awwad, N.S.; Yadav, K.K.; Islam, S.; Park, S.; Jeon, B.H. The State of the Art and Emerging Trends in the Wastewater Treatment in Developing Nations. Water 2022, 14, 2537. [Google Scholar] [CrossRef]
- Tiwari, A.; Kurittu, P.; Al-mustapha, A.I. Wastewater surveillance of antibiotic-resistant bacterial pathogens: A systematic review. Front. Microbiol. 2022, 13, 977106. [Google Scholar] [CrossRef] [PubMed]
- Dhandole, L.K.; Seo, Y.S.; Kim, S.G.; Kim, A.; Cho, M.; Jang, J.S. A mechanism study on the photocatalytic inactivation of: Salmonella Typhimurium bacteria by CuxO loaded rhodium-antimony co-doped TiO2 nanorods. Photochem. Photobiol. Sci. 2019, 18, 1092–1100. [Google Scholar] [CrossRef]
- Pandeeswari, R.; Karn, R.K.; Jeyaprakash, B.G. Ethanol sensing behaviour of sol-gel dip-coated TiO2 thin films. Sens. Actuators B Chem. 2014, 194, 470–477. [Google Scholar] [CrossRef]
- Fiorentino, A.; Rizzo, L.; Guilloteau, H.; Bellanger, X.; Merlin, C. Comparing TiO2 photocatalysis and UV-C radiation for inactivation and mutant formation of Salmonella Typhimurium TA102. Environ. Sci. Pollut. Res. 2017, 24, 1871–1879. [Google Scholar] [CrossRef]
- Kim, S.; Ghafoor, K.; Lee, J.; Feng, M.; Hong, J.; Lee, D.U.; Park, J. Bacterial inactivation in water, DNA strand breaking, and membrane damage induced by ultraviolet-assisted titanium dioxide photocatalysis. Water Res. 2013, 47, 4403–4411. [Google Scholar] [CrossRef]
- Tian, G.L.; He, H.B.; Shao, J.D. Effect of microstructure of TiO2 thin films on optical band gap energy. Chin. Phys. Lett. 2005, 22, 1787–1789. [Google Scholar] [CrossRef]
- Urbonavicius, M.; Varnagiris, S.; Sakalauskaite, S.; Demikyte, E.; Tuckute, S.; Lelis, M. Application of floating TiO2 photocatalyst for methylene blue decomposition and Salmonella Typhimurium inactivation. Catalysts 2021, 11, 794. [Google Scholar] [CrossRef]
- Pino-Sandoval, D.; Villanueva-Rodríguez, M.; Cantú-Cárdenas, M.E.; Hernández-Ramírez, A. Performance of Ag-Cu/TiO2 photocatalyst prepared by sol-gel method on the inactivation of Escherichia coli and Salmonella typhimurium. J. Environ. Chem. Eng. 2020, 8, 104539. [Google Scholar] [CrossRef]
- Lebedev, A.; Anariba, F.; Tan, J.C.; Li, X.; Wu, P. A review of physiochemical and photocatalytic properties of metal oxides against Escherichia coli. J. Photochem. Photobiol. A Chem. 2018, 360, 306–315. [Google Scholar] [CrossRef]
- WHO (Word Health Organization). 1 in 3 People in the World Does Not Have Access to Drinking Water UNICEF and WHO. Nueva York, 18 June 2019. Available online: https://www.who.int/es/news/item/18-06-2019-1-in-3-people-globally-do-not-have-access-to-safe-drinking-water-–-unicef-who (accessed on 18 June 2019).
- Morin-Crini, N.; Lichtfouse, E.; Liu, G.; Balaram, V.; Ribeiro, A.R.L.; Lu, Z.; Stock, F.; Carmona, E.; Teixeira, M.R.; Picos-Corrales, L.A.; et al. Worldwide cases of water pollution by emerging contaminants: A review. Environ. Chem. Lett. 2022, 20, 2311–2338. [Google Scholar] [CrossRef]
- Anayah, F. Assessment of water and sanitation systems at Palestinian healthcare facilities: Pre- and post-COVID-19. Environ. Monit. Assess. 2021, 193, 41. [Google Scholar] [CrossRef] [PubMed]
- Machado, E.C.; Freitas, D.L.; Leal, C.D.; de Oliveira, A.T.; Zerbini, A.; Chernicharo, C.A.; de Araújo, J.C. Science of the Total Environment Antibiotic resistance profile of wastewater treatment plants in Brazil reveals different patterns of resistance and multi resistant bacteria in final effluents. Sci. Total Environ. 2023, 857, 159376. [Google Scholar] [CrossRef] [PubMed]
- Clara, M.; Starling, V.M.; De Mendonça, R.P.; Pires, G.F.F.; Beccalli, P.; Amorim, C.C. Science of the Total Environment Combat of antimicrobial resistance in municipal wastewater treatment plant effluent via solar advanced oxidation processes: Achievements and perspectives. Sci. Total Environ. 2021, 786, 147448. [Google Scholar] [CrossRef]
- Ibrahim, A.; Phoohinkong, W.; Mekprasart, W.; Pecharapa, W. Anatase/Rutile TiO2 composite thin films prepared via dip coating technique and their hydrophilicity, stability and photocatalytic activity. Mater. Today Proc. 2018, 5, 10903–10909. [Google Scholar] [CrossRef]
- Katal, R.; Masudy-Panah, S.; Tanhaei, M.; Farahani, M.H.D.A.; Hu, J. A review on the synthesis of the various types of anatase TiO2 facets and their applications for photocatalysis. Chem. Eng. J. 2020, 384, 123384. [Google Scholar] [CrossRef]
- Devi, K.P.; Goswami, P.; Chaturvedi, H. Fabrication of nanocrystalline TiO2 thin films using Sol-Gel spin coating technology and investigation of its structural, morphology and optical characteristics. Appl. Surf. Sci. 2022, 591, 153226. [Google Scholar] [CrossRef]
- Messemeche, R.; Saidi, H.; Attaf, A.; Benkhetta, Y.; Chala, S.; Azizi, R.; Nouadji, R. Elaboration and characterization of nano-crystalline layers of transparent titanium dioxide (Anatase-TiO2) deposited by a sol-gel (spin coating) process. Surf. Interfaces 2020, 19, 100482. [Google Scholar] [CrossRef]
- Danks, A.E.; Hall, S.R.; Schnepp, Z. The evolution of ‘sol-gel’ chemistry as a technique for materials synthesis. Mater. Horiz. 2016, 3, 91–112. [Google Scholar] [CrossRef]
- Tahir, M.B.; Nadeem, K.; Hafeez, M.; Firdous, S. Review of morphological, optical and structural characteristics of TiO2 thin film prepared by sol gel spin-coating technique. Indian J. Pure Appl. Phys. 2017, 55, 716–721. [Google Scholar]
- Klein, L.; Aparicio, M.; Jitianu, A. Handbook of Sol-Gel Science and Technology: Processing, Characterization, and Applications; Springer: New York, NY, USA, 2005; Volume 42, p. 5885. [Google Scholar] [CrossRef]
- Rex, A.; dos Santos, J.H.Z. The use of sol-Gel processes in the development of supported catalysts. J. Sol-Gel Sci. Technol. 2023, 105, 30–49. [Google Scholar] [CrossRef]
- Manassero, A.; Satuf, M.L.; Alfano, O.M. Photocatalytic reactors with suspended and immobilized TiO2: Comparative efficiency evaluation. Chem. Eng. J. 2017, 326, 29–36. [Google Scholar] [CrossRef]
- Ahmed, M.E.; Al-haddad, A.; Bualbanat, A. Possible impacts of covid-19 pandemic on domestic wastewater characteristics in Kuwait. J. Environ. Eng. Landsc. Manag. 2022, 30, 393–411. [Google Scholar] [CrossRef]
- Rincón-Barón, L.A.; Cañón-Tafur, L.A.; Gómez-Prias, C.; Garzón-González, M.A.; Gracia-Sánchez, C.; Quiñonez-Casallas, C.; Jiménez-Borrego, L.C.; Díaz-Ariza, L.A.; Mejía-Gómez, A.E.; Velez, C. Pilot plant use of two types of TiO2 thin-films as a sustainable alternative for reuse of kitchen greywater. J. Water Process. Eng. 2025, 76, 108100. [Google Scholar] [CrossRef]
- Cañón-Tafur, L.A.; Ramírez-Aleman, L.; Jiménez-Borrego, L.C.; Salcedo-Reyes, J.C.; Díaz-Ariza, L.A.; Pérez-Flórez, A.; Carrascal-Camacho, A.K.; Rivera-Hoyos, C.M.; Pedroza-Rodríguez, A.M. Guadua-bamboo laminar biochar production and use as a substrate for TiO2 deposition for photocatalytic activity against Escherichia coli 226 and Salmonella Typhimurium 211. Int. Wood Prod. J. 2025, 16, 119–138. [Google Scholar] [CrossRef]
- Saravanan, S.; Dubey, R.S. Optical and structural investigations of TiO2 multilayers on glass prepared via sol–gel spin-coating technique. Mater. Today Proc. 2021, 49, 2872–2875. [Google Scholar] [CrossRef]
- Sunil, A.; Gopika, M.S.; Jayasudha, S.; Nair, P.B. Multifunctional applications of TiO2 thin films synthesized by sol–gel dip coating technique. J. Sol-Gel Sci. Technol. 2024, 110, 346–362. [Google Scholar] [CrossRef]
- Karaduman Er, I.; Uysal, S.; Ateş, A.; Acar, S. Some sol–gel processing parameters effect on the properties of dip coated TiO2 thin films. J. Mater. Sci. Mater. Electron. 2023, 34, 1512. [Google Scholar] [CrossRef]
- Toubal, B.; Elkourd, K.; Bouab, R.; Abdelaziz, O. The impact of copper–cerium (Cu–Ce) addition on anatase-TiO2 nanostructured films for its inactivation of Escherichia coli and Staphylococcus aureus. J. Sol-Gel Sci. Technol. 2022, 103, 549–564. [Google Scholar] [CrossRef]
- Monrós, G.; Llusar, M.; Badenes, J.; Galindo, R. Sol-Gel ceramic glazes with photocatalytic activity. J. Sol-Gel Sci. Technol. 2022, 102, 535–549. [Google Scholar] [CrossRef]
- Obregón, S.; Rodríguez-González, V. Photocatalytic TiO2 thin films and coatings prepared by sol–gel processing: A brief review. J. Sol-Gel Sci. Technol. 2022, 102, 125–141. [Google Scholar] [CrossRef]
- Villanueva, C.; Carrascal, A.K.; Campos, M.C.; Salcedo, J.C.; Florido, A.E.; Pedroza, A.M. Escherichia coli in Domestic Wastewater Using TiO2/CuSO4 Thin Films Illuminates with White Light; PS1-19; California Institute of Technology CALTECH: Pasadena, CA, USA, 2013. [Google Scholar]
- Cañon-Tafur, L.A.; Mateus-Maldonado, J.F.; Lozano-Puentes, H.S.; Herrera-Acosta, C.D.; Sánchez-Matiz, J.J.; Díaz-Ariza, L.A.; Costa, G.M.; Jiménez-Borrego, L.C.; Carrascal-Camacho, A.K.; Pedroza-Rodríguez, A.M. Guadua angustifolia biochar/TiO2 composite and biochar as bio-based materials with environmental and agricultural application. Sci. Rep. 2025, 15, 246. [Google Scholar] [CrossRef]
- Nagyal, L.; Gupta, S.S.; Singh, R.; Kumar, A.; Chaudhary, P. Sol–Gel Deposition of Thin Films. In Digital Encyclopedia of Applied Physics; Wiley: Weinheim, Germany, 2019; pp. 1–18. [Google Scholar] [CrossRef]
- Pant, B.; Park, M.; Park, S.J. Recent advances in TiO2 films prepared by sol-gel methods for photocatalytic degradation of organic pollutants and antibacterial activities. Coatings 2019, 9, 613. [Google Scholar] [CrossRef]
- Fernández, J.A.; Cardozo, M.G.; Carrascal, A.K.; Salcedo, J.C.; Pedroza, A.M.; Daza, C.E. Tratamiento de agua residual de microbiología usando películas delgadas de TiO2. Ing. Compet. 2015, 17, 35–48. [Google Scholar] [CrossRef][Green Version]
- Rincón-Barón, L.A.; Rodriguez-Pedroza, A.M.; Cañon-Tafur, L.A.; Salcedo-Reyes, J.C.; Mejia, A.E. Elaboración y caracterización de películas de TiO2 por sol-gel para la inactivación de Escherichia coli [Preparation and characterization of TiO2 films by sol-gel for the inactivation of Escherichia coli]. In XXIX Congreso Nacional de Física; Alzate Walteros, F., Tirado Mejia, L., Eds.; Congreso Nacional de Física: Quindio, Armenia, 2022; p. 173. [Google Scholar]
- Rincon-Baron, L.A.; Guoduan, L.; Cuervo, C.V.; Salcedo-Reyes, J.C.; Pedroza-Rodriguez, A.M.; Mejia, A.E. Atomic Layer Deposition (ALD) and Sol-Gel Techniques Comparison from the Perspective of TiO2 Thin-Films Fabrication. In Proceedings of the 65th Electronic Materials Conference, Santa Barbara, CA, USA, 28–30 June 2023; p. 130. [Google Scholar] [CrossRef]
- Jang, H.K.; Chung, Y.D.; Whangbo, S.W.; Lyo, I.W.; Whang, C.N.; Lee, S.J.; Lee, S. Effects of chemical etching with hydrochloric acid on a glass surface. J. Vac. Sci. Technol. A Vac. Surf. Film. 2000, 18, 2563–2567. [Google Scholar] [CrossRef]
- Syafiq, A.; Vengadaesvaran, B.; Pandey, A.K.; Rahim, N.A. Superhydrophilic smart coating for self-cleaning application on glass substrate. J. Nanomater. 2018, 2018, 6412601. [Google Scholar] [CrossRef]
- Vig, J.R. UV/ozone cleaning of surfaces. J. Vac. Sci. Technol. A Vac. Surf. Film. 1985, 3, 1027–1034. [Google Scholar] [CrossRef]
- Kong, W.; Fu, S.; Pan, Y.; Zhao, X. Ultraviolet modificated hydrophobic glass on-demand hydrophobic/superhydrophilic patterned surface for fog harvesting and underwater oil resistance. Colloids Surf. A Physicochem. Eng. Asp. 2023, 673, 131733. [Google Scholar] [CrossRef]
- Oláh, A.; Hillborg, H.; Vancso, G.J. Hydrophobic recovery of UV/ozone treated poly(dimethylsiloxane): Adhesion studies by contact mechanics and mechanism of surface modification. Appl. Surf. Sci. 2005, 239, 410–423. [Google Scholar] [CrossRef]
- Amin, M.; Akbar, M.; Amin, S. Hydrophobicity of silicone rubber used for outdoor insulation (an overview). Rev. Adv. Mater. Sci. 2007, 16, 10–26. [Google Scholar] [CrossRef]
- Chen, J.; Yin, J.L.; Li, B.; Ye, Z.; Liu, D.; Ding, D.; Qian, F.; Myung, N.V.; Zhang, Q.; Yin, Y. Janus Evaporators with Self-Recovering Hydrophobicity for Salt-Rejecting Interfacial Solar Desalination. ACS Nano 2020, 14, 17419–17427. [Google Scholar] [CrossRef] [PubMed]
- Puentes-Cárdenas, J.; Florido-Cuellar, A.; Cardona-Bedoya, J.; Bohorquez-Echeverry, P.; Campos-Pinilla, C.; Gutiérrez-Romero, V.; Pedroza-Rodríguez, A. Simultaneous decolorization and detoxification of black reactive 5 using TiO2 deposited over borosilicate glass. Univ. Sci. 2012, 17, 53–63. [Google Scholar] [CrossRef]
- Yu, J.C.; Yu, J.; Zhao, J. Enhanced photocatalytic activity of mesoporous and ordinary TiO2 thin films by sulfuric acid treatment. Appl. Catal. B Environ. 2002, 36, 31–43. [Google Scholar] [CrossRef]
- Cras, J.J.; Rowe-Taitt, C.A.; Nivens, D.A.; Ligler, F.S. Comparison of chemical cleaning methods of glass in preparation for silanization. Biosens. Bioelectron. 1999, 14, 683–688. [Google Scholar] [CrossRef]
- Ahmad, D.; van den Boogaert, I.; Miller, J.; Presswell, R.; Jouhara, H. Hydrophilic and hydrophobic materials and their applications. Energy Sources Part A Recover. Util. Environ. Eff. 2018, 40, 2686–2725. [Google Scholar] [CrossRef]
- Borrás, A.; Lopez, C.; Rico, V.; Gracia, F.; Gonzalez-Elipe, A.R.; Richter, E.; Battiston, G.; Gerbasi, R.; McSporran, N.; Sauthier, G.; et al. Effect of visible and UV illumination on the water contact angle of TiO2 thin films with incorporated nitrogen. J. Phys. Chem. C 2007, 111, 1801–1808. [Google Scholar] [CrossRef]
- Sakai, N.; Fujishima, A.; Watanabe, T.; Hashimoto, K. Quantitative Evaluation of the Photoinduced Hydrophilic Conversion Properties of TiO2 Thin Film Surfaces by the Reciprocal of Contact Angle. J. Phys. Chem. B 2003, 107, 1028–1035. [Google Scholar] [CrossRef]
- Guan, K. Relationship between photocatalytic activity, hydrophilicity and self-cleaning effect of TiO2/SiO2 films. Surf. Coat. Technol. 2005, 191, 155–160. [Google Scholar] [CrossRef]
- Koh, K.S.; Chin, J.; Chia, J.; Chiang, C.L. Quantitative studies on PDMS-PDMS interface bonding with piranha solution and its swelling effect. Micromachines 2012, 3, 427–441. [Google Scholar] [CrossRef]
- Carretero, D.S.; Huang, C.P.; Tzeng, J.H.; Huang, C.P. The recovery of sulfuric acid from spent piranha solution over a dimensionally stable anode (DSA) Ti-RuO2 electrode. J. Hazard. Mater. 2021, 406, 124658. [Google Scholar] [CrossRef] [PubMed]
- Darmawan, A.; Rasyid, S.A.; Astuti, Y. Modification of the glass surface with hydrophobic silica thin layers using tetraethylorthosilicate (TEOS) and trimethylchlorosilane (TMCS) precursors. Surf. Interface Anal. 2021, 53, 305–313. [Google Scholar] [CrossRef]
- Kim, S.W.; Hou, Y.L.; Madhan, K.; Senthilkumar, K.; Kim, H.S.; Kim, W.J. Sol-Gel nano TiO2 synthesis using TTIP: Latest trends, a comprehensive review of attribute optimization and various applications. Mater. Today 2025, 88, 457–478. [Google Scholar] [CrossRef]
- Pala, L.P.R.; Uday, V.; Gogoi, D.; Peela, N.R. Surface and photocatalytic properties of TiO2 thin films prepared by non-aqueous surfactant assisted sol-gel method. J. Environ. Chem. Eng. 2020, 8, 104267. [Google Scholar] [CrossRef]
- Kignelman, G.; Thielemans, W. Synergistic effects of acetic acid and nitric acid in water-based sol–gel synthesis of crystalline TiO2 nanoparticles at 25 °C. J. Mater. Sci. 2021, 56, 16877–16886. [Google Scholar] [CrossRef]
- He, L.; Zahn, D.R.T.; Madeira, T.I. Photocatalytic Performance of Sol-Gel Prepared TiO2 Thin Films Annealed at Various Temperatures. Materials 2023, 16, 5494. [Google Scholar] [CrossRef]
- Kanna, M.; Wongnawa, S. Mixed amorphous and nanocrystalline TiO2 powders prepared by sol-gel method: Characterization and photocatalytic study. Mater. Chem. Phys. 2008, 110, 166–175. [Google Scholar] [CrossRef]
- Sasirekha, N.; Rajesh, B.; Chen, Y.W. Synthesis of TiO2 sol in a neutral solution using TiCl4 as a precursor and H2O2 as an oxidizing agent. Thin Solid Films 2009, 518, 43–48. [Google Scholar] [CrossRef]
- Levy, D.; Zayat, M. The Sol Gel Handbook, Synthesis, Characterization and Applications; Wiley-VCH: Weinheim, Germany, 2007. [Google Scholar]
- Guzman, A.M.; Fernandez, A.M.; Franco, Y.; Bautista, J.H.; Rodriguez-Paez, J.E. Estudio de las reacciones de hidrólisis y condensación del titanio en presencia de acetilacetona. Rev. Acad. Colomb. Cienc. 2007, 31, 529–536. [Google Scholar] [CrossRef]
- Yaemsunthorn, K.; Tatarchuk, T.; Danyliuk, N.; Shyichuk, A.; Macyk, W. Yellow TiO2 from titanium peroxo complexes: Verification of the visible light activity and a rational enhancement of its photocatalytic efficiency. J. Environ. Chem. Eng. 2023, 11, 111520. [Google Scholar] [CrossRef]
- Bandgar, A.; Sabale, S.; Pawar, S.H. Studies on influence of reflux time on synthesis of nanocrystalline TiO2 prepared by peroxotitanate complex solutions. Ceram. Int. 2012, 38, 1905–1913. [Google Scholar] [CrossRef]
- Alagarsamy, G.; Sruthi, K.; Selvakumar, R.; Sivasubramanian, R. Electrochemical deposition of hydrothermally pretreated TiO2 on aluminium substrate through the formation of peroxotitanium complex and their application towards visible light assisted photocurrent generation. Mater. Chem. Phys. 2024, 316, 129064. [Google Scholar] [CrossRef]
- Garcia, A.P.; Rocha, I.C.L.; Dos Santos, P.H.F.; Basegio, T.M.; Pereira, M.B.; Clemens, F.J.; Alves, A.K.; Bergmann, C.P. Low Energy Consumption Synthesis of Nanostructured TiO2 Particles by Combining Oxidant Peroxide Method and Microwave-Assisted Hydrothermal Treatment. J. Nanomater. 2016, 2016, 4910536. [Google Scholar] [CrossRef]
- La Porta, F.A.; Taft, C.A. (Eds.) Engineering Materials Functional Properties of Advanced Engineering Materials and Biomolecules; Springer Nature: Geneva, Switzerland, 2021. [Google Scholar] [CrossRef]
- Bellè, U.; Spini, D.; Del Curto, B.; Pedeferri, M.P.; Diamanti, M.V. Water-Based Photocatalytic Sol–Gel TiO2 Coatings: Synthesis and Durability. Catalysts 2023, 13, 494. [Google Scholar] [CrossRef]
- Castañeda-Uribe, O.A.; Salcedo-Reyes, J.C.; Méndez-Pinzón, H.A.; Pedroza-Rodríguez, A.M. Fabrication and optical characterization of a high-quality fcc-opal-based photonic crystal grown by the vertical convective self-assembly method. Univ. Sci. 2010, 15, 150–158. [Google Scholar] [CrossRef]
- Parashar, M.; Shukla, V.K.; Singh, R. Metal oxides nanoparticles via sol–gel method: A review on synthesis, characterization and applications. J. Mater. Sci. Mater. Electron. 2020, 31, 3729–3749. [Google Scholar] [CrossRef]
- Byranvand, M.M.; Kharat, A.N.; Fatholahi, L.; Beiranvand, Z.M. A Review on Synthesis of Nano-TiO2 via Different Methods. J. Nanostructures 2013, 3, 1–9. [Google Scholar]
- Ge, L.; Xu, M. Fabrication and characterization of TiO2 photocatalytic thin film prepared from peroxo titanic acid sol. J. Solgel Sci. Technol. 2007, 43, 1–7. [Google Scholar] [CrossRef]
- Kassahun, S.K.; Kiflie, Z.; Kim, H.; Gadisa, B.T. Effects of operational parameters on bacterial inactivation in Vis-LEDs illuminated N-doped TiO2 based photoreactor. J. Environ. Chem. Eng. 2020, 8, 104374. [Google Scholar] [CrossRef]
- Manickam, K.; Muthusamy, V.; Manickam, S.; Senthil, T.S.; Periyasamy, G.; Shanmugam, S. Effect of annealing temperature on structural, morphological and optical properties of nanocrystalline TiO2 thin films synthesized by sol-gel dip coating method. Mater. Today Proc. 2019, 23, 68–72. [Google Scholar] [CrossRef]
- Mechiakh, R.; Sedrine, N.B.; Chtourou, R.; Bensaha, R. Correlation between microstructure and optical properties of nano-crystalline TiO2 thin films prepared by sol-gel dip coating. Appl. Surf. Sci. 2010, 257, 670–676. [Google Scholar] [CrossRef]
- Fernández, J.A.; Suan, A.; Ramírez, J.C.; Robles, J.; Salcedo, J.C.; Pedroza, A.M.; Daza, C.E. Treatment of real wastewater with TiO2-films sensitized by a natural-dye obtained from Picramnia sellowii. J. Environ. Chem. Eng. 2016, 4, 2848–2856. [Google Scholar] [CrossRef]
- Abad, M.R.A.; Shayesteh, S.F.; Shayesteh, H.F. Effect of Synthesis Conditions on the Structural, Photocatalic, and Self-Cleaning Properties of TiO2 Nanoparticles. Phys. Solid State 2020, 62, 120–130. [Google Scholar] [CrossRef]
- Noman, M.T.; Ashraf, M.A.; Ali, A. Synthesis and applications of nano-TiO2: A review. Environ. Sci. Pollut. Res. 2019, 26, 3262–3291. [Google Scholar] [CrossRef]
- Khatibnezhad, H.; Sani, M.A.F. Preparation and characterization of nanostructured TiO2 thin film codoped with nitrogen and vanadium on glass surface by sol-gel dip-coating method. Res. Chem. Intermed. 2015, 41, 7349–7361. [Google Scholar] [CrossRef]
- Poutou, R.A.; Amador, E.; Candelario, M. Banco de Células Primario (BCP): Caracterización y papel en la producción de proteínas recombinantes. Biotecnol. Apl. 1994, 11, 55–59. [Google Scholar]
- MADS. MADS. Res 0631. Ministerio de Ambiente y Desarrollo Sostenible, 0631 Mar, 2015. Available online: https://www.minambiente.gov.co/wp-content/uploads/2021/11/resolucion-631-de-2015.pdf (accessed on 24 September 2023).
- EPA Press Office Biden-Harris Administration Proposes to Strengthen the Lead and Copper Rule to Protect All Communities in America from Lead in Drinking Water. 2023. Available online: https://www.epa.gov/wqc/basic-information-water-quality-criteria (accessed on 29 November 2023).
- Yemmireddy, V.K.; Hung, Y.C. Effect of food processing organic matter on photocatalytic bactericidal activity of titanium dioxide (TiO2). Int. J. Food Microbiol. 2015, 204, 75–80. [Google Scholar] [CrossRef] [PubMed]
- Jeon, J.P.; Kweon, D.H.; Jang, B.J.; Ju, M.J.; Baek, J.B. Enhancing the Photocatalytic Activity of TiO2 Catalysts. Adv. Sustain. Syst. 2020, 4, 2000197. [Google Scholar] [CrossRef]
- Munien, C.; Tetteh, E.K.; Govender, T.; Jairajh, S.; Mguni, L.L.; Rathilal, S. Turbidity and COD Removal from Municipal Wastewater Using a TiO2 Photocatalyst—A Comparative Study of UV and Visible Light. Appl. Sci. 2023, 13, 4766. [Google Scholar] [CrossRef]
- Demirel, C.S.U.; Birben, N.C.; Bekbolet, M. A comprehensive review on the use of second generation TiO2 photocatalysts: Microorganism inactivation. Chemosphere 2018, 211, 420–448. [Google Scholar] [CrossRef]
- Fernandes, A.; Makoś, P.; Wang, Z.; Boczkaj, G. Synergistic effect of TiO2 photocatalytic advanced oxidation processes in the treatment of refinery effluents. Chem. Eng. J. 2020, 391, 123488. [Google Scholar] [CrossRef]
- Thakur, I.; Verma, A.; Örmeci, B. Inactivation of bacteria present in secondary municipal wastewater effluent using the hybrid effect of Fe–TiO2 catalyst. J. Clean. Prod. 2022, 352, 131575. [Google Scholar] [CrossRef]
- Abdolalian, S.; Taghavijeloudar, M. Performance evaluation and optimization of ZnO-PVP nanoparticles for photocatalytic wastewater treatment: Interactions between UV light intensity and nanoparticles dosage. J. Clean. Prod. 2022, 365, 132833. [Google Scholar] [CrossRef]
- Muñoz-Batista, M.J.; Muñoz, A.N.; Luque, R. Topics in Current Chemistry Collections. In Heterogeneous Photocatalysis: Recent Advances; Springer International Publishing: Cham, Switzerland, 2020; Volume 378. [Google Scholar]
- Mahmoud, K.A.; Mansoor, B.; Mansour, A.; Khraisheh, M. Functional graphene nanosheets: The next generation membranes for water desalination. Desalination 2015, 356, 208–225. [Google Scholar] [CrossRef]
- Saeed, M.; Muneer, M.; Haq, A.U.; Akram, N. Photocatalysis: An effective tool for photodegradation of dyes-a review. Environ. Sci. Pollut. Res. 2022, 29, 293–311. [Google Scholar] [CrossRef]
- Horikoshi, S.; Serpone, N. Can the photocatalyst TiO2 be incorporated into a wastewater treatment method? Background and prospects. Catal. Today 2020, 340, 334–346. [Google Scholar] [CrossRef]
- Rodríguez-Padrón, D.; Luque, R.; Muñoz-Batista, M.J. Waste-derived Materials: Opportunities in Photocatalysis. Top. Curr. Chem. 2019, 378, 1–28. [Google Scholar] [CrossRef]
- Pedroza-Camacho, L.D.; Ospina-Sánchez, P.A.; Romero-Perdomo, F.A.; Infante-González, N.G.; Paredes-Céspedes, D.M.; Quevedo-Hidalgo, B.; Gutiérrez-Romero, V.; Rivera-Hoyos, C.M.; Pedroza-Rodríguez, A.M. Wastewater treatment from a science faculty during the COVID-19 pandemic by using ammonium-oxidising and heterotrophic bacteria. 3 Biotech 2024, 14, 129. [Google Scholar] [CrossRef]
- Shahbaz, H.M.; Yoo, S.; Seo, B.; Ghafoor, K.; Kim, J.U.; Lee, D.U.; Park, J. Combination of TiO2-UV Photocatalysis and High Hydrostatic Pressure to Inactivate Bacterial Pathogens and Yeast in Commercial Apple Juice. Food Bioproc. Tech. 2016, 9, 182–190. [Google Scholar] [CrossRef]
- Krzyżewska-Dudek, E.; Dulipati, V.; Kapczyńska, K.; Noszka, M.; Chen, C.; Kotimaa, J.; Książczyk, M.; Dudek, B.; Bugla-Płoskońska, G.; Pawlik, K.; et al. Lipopolysaccharide with long O-antigen is crucial for Salmonella Enteritidis to evade complement activity and to facilitate bacterial survival in vivo in the Galleria mellonella infection model. Med. Microbiol. Immunol. 2024, 213, 8. [Google Scholar] [CrossRef]
- Zhou, G.; Wang, Q.; Wang, Y.; Wen, X.; Peng, H.; Peng, R.; Shi, Q.; Xie, X.; Li, L. Outer Membrane Porins Contribute to Antimicrobial Resistance in Gram-Negative Bacteria. Microorganisms 2023, 11, 1690. [Google Scholar] [CrossRef]
- Seregina, T.A.; Lobanov, K.V.; Shakulov, R.S.; Mironov, A.S. Enhancement of the Bactericidal Effect of Antibiotics by Inhibition of Enzymes Involved in Production of Hydrogen Sulfide in Bacteria. Mol. Biol. 2022, 56, 638–648. [Google Scholar] [CrossRef]
- Drauch, V.; Palmieri, N.; Spergser, J.; Hummel, K.; Brandstetter, M.; Kornschober, C.; Hess, M.; Hess, C. Comprehensive phenotyping combined with multi-omics of Salmonella Infantis and its H2S negative variant—Resolving adaption mechanisms to environmental changes. Food Microbiol. 2025, 129, 104744. [Google Scholar] [CrossRef]
- Park, M.J.; Kim, J.H.; Oh, S.W. Inactivation of Salmonella Typhimurium and Escherichia coli O157:H7 on black pepper powder using UV-C, UV-A and TiO2 coating. Food Sci. Biotechnol. 2020, 29, 283–291. [Google Scholar] [CrossRef] [PubMed]
- Moncayo-Lasso, A.; Mora-Arismendi, L.E.; Rengifo-Herrera, J.A.; Sanabria, J.; Benítez, N.; Pulgarin, C. The detrimental influence of bacteria (E. coli, Shigella and Salmonella) on the degradation of organic compounds (and vice versa) in TiO2 photocatalysis and near-neutral photo-Fenton processes under simulated solar light. Photochem. Photobiol. Sci. 2012, 11, 821–827. [Google Scholar] [CrossRef] [PubMed]
- Yong, S.S.; Lee, J.I.; Kang, D.H. TiO2-based photocatalyst Generated Reactive Oxygen Species cause cell membrane disruption of Staphylococcus aureus and Escherichia coli O157:H7. Food Microbiol. 2022, 109, 104119. [Google Scholar] [CrossRef]
- Rhen, M. Salmonella and Reactive Oxygen Species: A Love-Hate Relationship. J. Innate Immun. 2019, 11, 216–226. [Google Scholar] [CrossRef]
- Sakalauskaite, S.; Vasiliauske, D.; Demikyte, E.; Daugelavicius, R.; Lelis, M. Influence of the metabolic activity of microorganisms on disinfection efficiency of the visible light and p25 TiO2 photocatalyst. Catalysts 2021, 11, 1432. [Google Scholar] [CrossRef]
- Liu, X.; Wang, J. Selective oxidation of ammonium to nitrogen gas by advanced oxidation processes: Reactive species and oxidation mechanisms. J. Environ. Chem. Eng. 2023, 11, 110263. [Google Scholar] [CrossRef]
- Gandhi, J.; Prakash, H. Photo-disinfection processes for bacterial inactivation and underlying principles for water constituents’ impact: A review. Chem. Eng. J. Adv. 2023, 14, 100482. [Google Scholar] [CrossRef]
- Moreno, R.; Moles, S.; Ormad, M.P.; Mosteo, R.; Monzón, A. Modeling TiO2/UV–vis bacterial inactivation: Useful tools for reactor optimization and design. Catal. Today 2024, 430, 114520. [Google Scholar] [CrossRef]
- Zawadzki, P. Evaluation of TiO2/UV; O3/UV, and PDS/Vis for improving chlorfenvinphos removal from real municipal treated wastewater effluent. Int. J. Environ. Sci. Technol. 2023, 20, 6053–6064. [Google Scholar] [CrossRef]
- Liu, L.; Shen, Z.; Wang, C. Recent advances and new insights on the construction of photocatalytic systems for environmental disinfection. J. Environ. Manag. 2024, 353, 120235. [Google Scholar] [CrossRef] [PubMed]
- Ubaldi, F.; Valeriani, F.; Volpini, V.; Lofrano, G.; Romano, V. Spica Antimicrobial Activity of Photocatalytic Coatings on Surfaces: A Systematic Review and Meta-Analysis. Coatings 2024, 14, 92. [Google Scholar] [CrossRef]
- Al-Nuaim, M.A.; Alwasiti, A.A.; Shnain, Z.Y. The photocatalytic process in the treatment of polluted water. Chem. Pap. 2022, 77, 677–701. [Google Scholar] [CrossRef]
- Iervolino, G.; Zammit, I.; Vaiano, V.; Rizzo, L. Limitations and Prospects for Wastewater Treatment by UV and Visible-Light-Active Heterogeneous Photocatalysis: A Critical Review. Top. Curr. Chem. 2019, 378, 7. [Google Scholar] [CrossRef]
- Iyyappan, J.; Gaddala, B.; Gnanasekaran, R.; Gopinath, M.; Yuvaraj, D.; Kumar, V. Critical review on wastewater treatment using photo catalytic advanced oxidation process: Role of photocatalytic materials, reactor design and kinetics. Case Stud. Chem. Environ. Eng. 2024, 9, 100599. [Google Scholar] [CrossRef]
- Zalouk, D.; Hatem, D.; Hocine, D.; Belkaid, M.S.; Hadjersi, T.; Kebbati, Y.; Boudinar, S. The influence of the mixed phase (Ti–TiO2(A): TiO2(R)) on the optical band gap of TiO2 nanotubes heat treated at different temperatures. J. Mater. Res. 2023, 38, 3446–3457. [Google Scholar] [CrossRef]
- Rychtowski, P.; Paszkiewicz, O.; Markowska-Szczupak, A.; Leniec, G.; Tryba, B. Sulphated TiO2 Reduced by Ammonia and Hydrogen as an Excellent Photocatalyst for Bacteria Inactivation. Materials 2024, 17, 66. [Google Scholar] [CrossRef]
- Kőrösi, L.; Pertics, B.; Schneider, G.; Bognár, B.; Kovács, J.; Meynen, V.; Scarpellini, A.; Pasquale, L.; Prato, M. Photocatalytic inactivation of plant pathogenic bacteria using TiO2 nanoparticles prepared hydrothermally. Nanomaterials 2020, 10, 1730. [Google Scholar] [CrossRef]
- Nyangaresi, P.O.; Qin, Y.; Chen, G.; Zhang, B.; Lu, Y.; Shen, L. Effects of single and combined UV-LEDs on inactivation and subsequent reactivation of E. coli in water disinfection. Water Res. 2018, 147, 331–341. [Google Scholar] [CrossRef] [PubMed]
- Varnagiris, S.; Urbonavicius, M.; Sakalauskaite, S.; Demikyte, E.; Tuckute, S.; Lelis, M. Photocatalytic inactivation of Salmonella Typhimurium by floating carbon-doped TiO2 photocatalyst. Materials 2021, 14, 5681. [Google Scholar] [CrossRef] [PubMed]
- Ahmed, F.; Awada, C.; Ansari, S.A.; Aljaafari, A.; Alshoaibi, A. Photocatalytic inactivation of Escherichia coli under UV light irradiation using large surface area anatase TiO2 quantum dots. R. Soc. Open Sci. 2019, 6, 191444. [Google Scholar] [CrossRef] [PubMed]
- Contreras Turrubiartes, M.M.M.; López Luna, E.; Enriquez-Carrejo, J.L.; Pedroza Rodriguez, A.; Salcedo Reyes, J.C.; Vidal Borbolla, M.A.; Mani-Gonzalez, P.G. Thickness and photocatalytic activity relation in TiO2:N films grown by atomic layer deposition with methylene-blue and E. coli bacteria. Bull. Mater. Sci. 2017, 40, 1225–1230. [Google Scholar] [CrossRef]
- Lin, X.; Li, J.; Ma, S.; Liu, G.; Yang, K.; Tong, M.; Lin, D. Toxicity of TiO2 nanoparticles to Escherichia coli: Effects of particle size, crystal phase and water chemistry. PLoS ONE 2014, 9, e110247. [Google Scholar] [CrossRef]
- Butot, S.; Cantergiani, F.; Moser, M.; Jean, J.; Lima, A.; Michot, L.; Putallaz, T.; Stroheker, T.; Zuber, S. UV-C inactivation of foodborne bacterial and viral pathogens and surrogates on fresh and frozen berries. Int. J. Food Microbiol. 2018, 275, 8–16. [Google Scholar] [CrossRef]
- Alessiani, A.; Goffredo, E.; Mancini, M.; Occhiochiuso, G.; Faleo, S.; Didonna, A.; Fischetto, R.; Suglia, F.; De Vito, D.; Stallone, A.; et al. Evaluation of Antimicrobial Resistance in Salmonella Strains Isolated from Food, Animal and Human Samples between 2017 and 2021 in Southern Italy. Microorganisms 2022, 10, 812. [Google Scholar] [CrossRef]
- Valencia, C.L.; Pedroza-Rodríguez, A.M.; Chamorro-Tobar, I.C.; Zambrano, D.C.; Carrascal-Camacho, A.K. Evaluation of photolysis, photolysis/H2O2 and H2O2 as treatments for the reduction of Salmonella spp in water of pig farms. Rev. Investig. Vet. Peru 2020, 31, e17205. [Google Scholar] [CrossRef]
- Lelis, M.; Tuckute, S.; Urbonavicius, M.; Varnagiris, S.; Sakalauskaite, S.; Daugelavicius, R. C-TiO2+Ni and ZnO+Ni Magnetic Photocatalyst Powder Synthesis by Reactive Magnetron Sputtering Technique and Their Application for Bacteria Inactivation. Inorganics 2023, 11, 59. [Google Scholar] [CrossRef]
- Reddy, P.V.L.; Kavitha, B.; Reddy, P.A.K.; Kim, K.H. TiO2-based photocatalytic disinfection of microbes in aqueous media: A review. Environ. Res. 2017, 154, 296–303. [Google Scholar] [CrossRef]
- Estrada-Vázquez, R.; Vaca-Mier, M.; Bustos-Terrones, V.; Rangel-Peraza, J.G.; Loaiza, J.G.; Bustos-Terrones, Y.A. Assessment of TiO2 and Ag/TiO2 photocatalysts for domestic wastewater treatment: Synthesis, characterization, and degradation kinetics analysis. React. Kinet. Mech. Catal. 2024, 137, 1085–1104. [Google Scholar] [CrossRef]
- Date, M.; Jaspal, D. Catalytic degradation of ammonia and nitrate from wastewater-A critical review. Adv. Environ. Technol. 2022, 8, 239–253. [Google Scholar] [CrossRef]
- Ren, H.T.; Liang, Y.; Han, X.; Liu, Y.; Wu, S.H.; Bai, H.; Jia, S.Y. Photocatalytic oxidation of aqueous ammonia by Ag2O/TiO2 (P25): New insights into selectivity and contributions of different oxidative species. Appl. Surf. Sci. 2020, 504, 144433. [Google Scholar] [CrossRef]
- JGarcía-Prieto, C.; González-Burciaga, L.A.; Proal-Nájera, J.B.; García-Roig, M. Kinetic Study and Modeling of the Degradation of Aqueous Ammonium/Ammonia Solutions by Heterogeneous Photocatalysis with TiO2 in a UV-C Pilot Photoreactor. Catalysts 2022, 12, 352. [Google Scholar] [CrossRef]
- Fonseca-Bermúdez, Ó.J.; Giraldo, L.; Sierra-Ramírez, R.; Moreno-Piraján, J.C. Removal of hydrogen sulfide from biogas by adsorption and photocatalysis: A review. Environ. Chem. Lett. 2023, 21, 1059–1073. [Google Scholar] [CrossRef]
- Lavanya, C.; Thangam, N.; Kanmani, S.; Kanniyappan, S.P. Hydrogen production from industrial wastes by photo catalysis. World J. Adv. Eng. Technol. Sci. 2023, 8, 201–207. [Google Scholar] [CrossRef]
- Sekar, S.; Preethi, V.; Srivishnu, V.S.; Saravanan, S.; Lee, S. Highly-efficient photocatalytic activity of TiO2-AC nanocomposites for hydrogen production from sulphide wastewater. Int. J. Hydrogen Energy 2022, 47, 40275–40285. [Google Scholar] [CrossRef]
- Oladipo, H.; Yusuf, A.; Al Jitan, S.; Palmisano, G. Overview and challenges of the photolytic and photocatalytic splitting of H2S. Catal. Today 2021, 380, 125–137. [Google Scholar] [CrossRef]
- Blanco-Vargas, A.; Ramírez-Sierra, C.F.; Duarte-Castañeda, M.; Beltrán-Villarraga, M.; Medina-Córdoba, L.K.; Florido-Cuellar, A.E.; Cardona-Bedoya, J.A.; Campos-Pinilla, C.; Pedroza-Rodríguez, A.M. A novel textile wastewater treatment using ligninolytic co-culture and photocatalysis with TiO2. Univ. Sci. 2018, 23, 437–464. [Google Scholar] [CrossRef]
- Yang, M.W.; Lin, S.Y. A method for correcting the contact angle from the θ/2 method. Colloids Surf. A Physicochem. Eng. Asp. 2003, 220, 199–210. [Google Scholar] [CrossRef]
- Standard D7490-13; Standard Test Method for Measurement of the Surface Tension of Solid Coatings, Substrates and Pigments Using Contact Angle Measurements. ASTM: West Conshohocken, PA, USA, 2013. [CrossRef]
- Gómez-Méndez, L.D.; Moreno-Bayona, D.A.; Poutou-Piñales, R.A.; Salcedo-Reyes, J.C.; Pedroza-Rodríguez, A.M.; Vargas, A.; Bogoya, J.M. Biodeterioration of plasma pretreated LDPE sheets by Pleurotus ostreatus. PLoS ONE 2018, 13, e0203786. [Google Scholar] [CrossRef]
- Momeni, M.; Saghafian, H.; Golestani-Fard, F.; Barati, N.; Khanahmadi, A. Effect of SiO2 addition on photocatalytic activity, water contact angle and mechanical stability of visible light activated TiO2 thin films applied on stainless steel by a sol gel method. Appl. Surf. Sci. 2017, 392, 80–87. [Google Scholar] [CrossRef]
- Allen, J.S. An analytical solution for determination of small contact angles from sessile drops of arbitrary size. J. Colloid Interface Sci. 2003, 261, 481–489. [Google Scholar] [CrossRef]
- Li, N.; Tian, Y.; Zhang, J.; Sun, Z.; Zhao, J.; Zhang, J.; Zuo, W. Precisely-controlled modification of PVDF membranes with 3D TiO2/ZnO nanolayer: Enhanced anti-fouling performance by changing hydrophilicity and photocatalysis under visible light irradiation. J. Memb. Sci. 2017, 528, 359–368. [Google Scholar] [CrossRef]
- Komaraiah, D.; Radha, E.; Sivakumar, J.; Reddy, M.V.R.; Sayanna, R. Structural, optical properties and photocatalytic activity of Fe3+ doped TiO2 thin films deposited by sol-gel spin coating. Surf. Interfaces 2019, 17, 100368. [Google Scholar] [CrossRef]
- Tipparach, U.; Wongwanwatthana, P.; Sompan, T.; Saipin, T. Preparation and Characterization of Nano-TiO2 Thin Films by Sol-gel Dip-coating Method. Nanotechnology 2008, 7, 129–136. [Google Scholar]
- Roasto, M.; Bonardi, S.; Mäesaar, M.; Alban, L.; Gomes-Neves, E.; Vieira-Pinto, M.; Vågsholm, I.; Elias, T.; Lindegaard, L.L.; Blagojevic, B. Salmonella enterica prevalence, serotype diversity, antimicrobial resistance and control in the European pork production chain. Trends Food Sci. Technol. 2023, 131, 210–219. [Google Scholar] [CrossRef]
- Keeling, C.; Niebuhr, S.E.; Acuff, G.R.; Dickson, J.S. Evaluation of Escherichia coli biotype I as a surrogate for Escherichia coli 0157:H7 for cooking, fermentation, freezing, and refrigerated storage in meat processes. J. Food Prot. 2009, 72, 728–732. [Google Scholar] [CrossRef]
- Foster, H.A.; Ditta, I.B.; Varghese, S.; Steele, A. Photocatalytic disinfection using titanium dioxide: Spectrum and mechanism of antimicrobial activity. Appl. Microbiol. Biotechnol. 2011, 90, 1847–1868. [Google Scholar] [CrossRef]
- Bawn, M.; Alikhan, N.F.; Thilliez, G.; Kirkwood, M.; Wheeler, N.E.; Petrovska, L.; Dallman, T.J.; Adriaenssens, E.M.; Hall, N.; Kingsley, R.A. Evolution of Salmonella enterica serotype typhimurium driven by anthropogenic selection and niche adaptation. PLoS Genet. 2020, 16, e1008850. [Google Scholar] [CrossRef]
- Kirk, M.D.; Pires, S.M.; Black, R.E.; Caipo, M.; Crump, J.A.; Devleesschauwer, B.; Döpfer, D.; Fazil, A.; Fischer-Walker, C.L.; Hald, T.; et al. World Health Organization Estimates of the Global and Regional Disease Burden of 22 Foodborne Bacterial, Protozoal, and Viral Diseases, 2010: A Data Synthesis. PLoS Med. 2015, 12, e1001921. [Google Scholar] [CrossRef]
- Lund, S.; Tahir, M.; Vohra, L.I.; Hamdana, A.H.; Ahmad, S. Outbreak of monophasic Salmonella Typhimurium Sequence Type 34 linked to chocolate products. Ann. Med. Surg. 2022, 82, 104597. [Google Scholar] [CrossRef] [PubMed]
- Helmuth, I.G.; Espenhain, L.; Ethelberg, S.; Jensen, T.; Kjeldgaard, J.; Litrup, E.; Schjørring, S.; Müller, L. An outbreak of monophasic Salmonella Typhimurium associated with raw pork sausage and other pork products, Denmark 2018–19. Epidemiol. Infect. 2019, 147, e315. [Google Scholar] [CrossRef] [PubMed]
- D’Incau, M.; Salogni, C.; Giovannini, S.; Ruggeri, J.; Scali, F.; Tonni, M.; Formenti, N.; Guarneri, F.; Pasquali, P.; Alborali, G.L. Occurrence of Salmonella Typhimurium and its monophasic variant (4, [5],12:i:-) in healthy and clinically ill pigs in northern Italy. Porc. Health Manag. 2021, 7, 34. [Google Scholar] [CrossRef] [PubMed]
- Meza, R.A.; Monroy, A.F.; Poutou, A.; Pedroza, A.M. Study of the stability in real time of cryopreserved strain banks. Univ. Sci. 2004, 9, 35–42. [Google Scholar]
- Pedroza, A.M. Sequential treatment via Trametes versicolor and UV/TiO2/RuxSey to reduce contaminants in waste water resulting from the bleaching process during paper production. Chemosphere 2007, 67, 793–801. [Google Scholar] [CrossRef]
- Baird, R.; Eaton, A.D.; Rice, E.W.; Bridgewater, L. Standard Methods for the Examination of Water and Wastewater; American Public Health Association: Washington, DC, USA, 2017; Available online: https://books.google.com.co/books?id=V2LhtAEACAAJ (accessed on 24 September 2023).
- HACH. Oxygen Demand, Chemical (COD) Method 8000; Hach Company: Loveland, CO, USA, 2024. [Google Scholar]
- Hach. Nitrogen, Ammonia Salicylate Method 8155; Hach Company: Loveland, CO, USA, 2024. [Google Scholar]
- HACH. Nitrite Method 8153; Hach Company: Loveland, CO, USA, 2024. [Google Scholar]
- HACH. Nitrate Method 8039; Hach Company: Loveland, CO, USA, 2024. [Google Scholar]
- HACH. Sulfate Method 8051; Hach Company: Loveland, CO, USA, 2024. [Google Scholar]
- HACH. Sulfide, HR Method 10254; Hach Company: Loveland, CO, USA, 2024. [Google Scholar]
- HACH. Orthophosphate Method 8048; Hach Company: Loveland, CO, USA, 2024. [Google Scholar]
- Rojas-Higuera, N.; Sánchez-Garibello, A.; Matiz-Villamil, A.; Salcedo-Reyes, J.; Carrascal-Camacho, A.K.; Pedroza-Rodríguez, A.M. Evaluación de tres métodos para la inactivación de coliformes y Escherichia coli presentes en agua residual doméstica, empleada para riego. Univ. Sci. 2010, 15, 139. [Google Scholar] [CrossRef]








| Parameter | Units | Value Obtained GW1 | Value Obtained GW2 | Maximum Permissible Value According to “Resolution 0631” * | EPA ** Title-40/Chapter-I/Subchapter-N |
|---|---|---|---|---|---|
| pH | u. a | 8.6 ± 0.5 | 5.1 ± 0.1 | 6.0–9.0 | 6.0–9.0 |
| SS | mg L−1 | 2.0 ± 0.5 | ND | 1.5 | 1 |
| TSS | mg L−1 | 80 ± 18 | ND | 75 | 45 |
| Abs436nm | u. a | 0.053 ± 0.002 | 0.098 ± 0.001 | A and R | NE |
| Abs525nm | u. a | 0.034 ± 0.006 | 0.092 ± 0.001 | A and R | NE |
| Abs620nm | u. a | 0.026 ± 0.004 | 0.085 ± 0.001 | A and R | NE |
| COD | mg L−1 | 320 ± 34 | 540 ± 1 | 225 | NE |
| BOD5 | mg L−1 | 160.1 ± 20.1 | ND | 75 | 45 |
| Treatability ratio BOD5/COD | mg L−1 | 0.51 | ND | NE | NE |
| Ammonium (NH4) | mg L−1 | 17.33 ± 8.38 | 0.45 ± 0.01 | NE | 7 |
| Nitrites (NO2−) | mg L−1 | 8.33 ± 2.51 | ND | NE | NE |
| Nitrates (NO3−) | mg L−1 | 1.1 ± 0.4 | 0.10 ± 0.01 | NE | NE |
| Sulfates (SO4−) | mg L−1 | 20.33 ± 1.52 | 2.0 ± 0.1 | 375 | NE |
| Sulfides (H2S) | mg L−1 | 26 ± 3 | 23 ± 1 | 1.5 | NE |
| Orthophosphates (PO4−) | mg L−1 | 1.72 ± 0.03 | 1.73 ± 0.01 | NE | NE |
| Total, bacteria population | CFU mL−1 | 5.0 × 105 | 3.0 × 104 | NE | NE |
| Total, fungi population | CFU mL−1 | 6.0 × 105 | ND | NE | NE |
| Total, coliforms | CFU mL−1 | 3.0 × 104 | 1.0 × 104 | NE | |
| Escherichia coli | CFU mL−1 | 8.0 × 104 | <1.0 | NE | |
| Salmonella spp. | CFU mL−1 | <100 | <100 | NE |
| Parameter | Units | Initial Value of GW2 | Final Value of Photocatalysis | Final Value of Photolysis UV | Final Value of Adsorption in Dark | Final Value of Absolute |
|---|---|---|---|---|---|---|
| pH | u. a | 5.1 ± 0.1 | 8.3 ± 0. 1 | 8.2 ± 0. 1 | 8.1 ± 0.1 | 7.0 ± 0.1 |
| COD | mg L−1 | 546 ± 15 | 367 ± 15 | 410 ± 10 | 510 ± 10 | 545 ± 5 |
| Ammonium (NH4+) | mg L−1 | 0.45 ± 0.01 | 0.046 ± 0.002 | 0.12 ± 0.01 | 0.26 ± 0.02 | 0.35 ± 0.051 |
| Nitrates (NO3) | mg L−1 | 0.100 ± 0.001 | 0.40 ± 0.01 | 0.3 ± 0.1 | 0.20 ± 0.01 | 0.10 ± 0.01 |
| Sulfides (H2S) | mg L−1 | 23.000 ± 0.002 | 2.600 ± 0.003 | 9.000 ± 0.001 | 19.0 ± 0.1 | 22.6 ± 0.3 |
| Sulfates (SO4) | mg L−1 | 2.1 ± 0.1 | 6.6 ± 1.1 | 2.8 ± 0.1 | 2.5 ± 0.5 | 2.3 ± 0.5 |
| Escherichia coli | CFU mL−1 | 5.3 × 104 | <1.0 | 1.0 ± 0.1 | 1.5 × 104 | 4.0 × 104 |
| Salmonella spp. | CFU mL−1 | 3.0 × 104 | <10 | 10.0 ± 0.1 | 4.0 × 103 | 2.1 × 104 |
| Treatments | Substrate Cleaning and Degreasing | Chemical or Physical Process |
|---|---|---|
| T1 | Alkaline detergent: MilliQ: ethanol (99%): acetone (99.5%): water MilliQ * | H2SO4:H2O2 3:1 |
| T2 | No washing and degreasing | H2SO4:H2O2 3:1 |
| T3 | Alkaline detergent: MilliQ: ethanol (99%): acetone (99.5%): water MilliQ * | UV253 nm |
| T4 | No washing and degreasing | UV253 nm |
| Control 1 | Unwashed substrates | Untreated substrate |
| Control 2 | Washed substrates: Alkaline detergent: MilliQ: ethanol (99%): acetone (99.5%): water MilliQ | Untreated substrate |
| Method Description | Synthesis | TTIP (M) | Ethanol (M) | Acetic Acid (M) | H2O2 (M) | H2O (M) |
|---|---|---|---|---|---|---|
| Peroxo sol–gel | 1 | 0.1 | 0.5 | 0.05 | 0.2 | 1.28 |
| 2 | 1.0 | 0.5 | 0.05 | 0.002 | 0.54 | |
| 3 | 1.0 | 5.0 | 0.5 | 0.2 | 0.49 | |
| 4 | 0.1 | 5.0 | 0.5 | 0.2 | 0.85 | |
| Conventional Sol–gel | 5 | 0.01 | 5.0 | 0.025 | 0 | 0.55 |
| 6 | 0.01 | 1.0 | 0.025 | 0 | 0.55 | |
| 7 | 0.1 | 1.0 | 0.0125 | 0 | 0.55 | |
| 8 | 0.1 | 5.0 | 0.0125 | 0 | 0.55 | |
| 9 | 0.1 | 5.0 | 0.025 | 0 | 0.55 | |
| 10 | 0.01 | 1.0 | 0.0125 | 0 | 0.55 |
Disclaimer/Publisher’s Note: The statements, opinions and data contained in all publications are solely those of the individual author(s) and contributor(s) and not of MDPI and/or the editor(s). MDPI and/or the editor(s) disclaim responsibility for any injury to people or property resulting from any ideas, methods, instructions or products referred to in the content. |
© 2025 by the authors. Licensee MDPI, Basel, Switzerland. This article is an open access article distributed under the terms and conditions of the Creative Commons Attribution (CC BY) license (https://creativecommons.org/licenses/by/4.0/).
Share and Cite
Rincón-Barón, L.A.; Forero-Carvajal, M.P.; Ramírez-Alemán, L.G.; Mejía-Gómez, A.E.; Salcedo-Reyes, J.C.; Carrascal-Camacho, A.K.; Velez, C.; Pedroza-Rodríguez, A.M. Development of TiO2 Films by Sol–Gel/Sedimentation for the Inactivation of Multidrug-Resistant Escherichia coli and Salmonella Typhimurium in Greywater. Catalysts 2025, 15, 1115. https://doi.org/10.3390/catal15121115
Rincón-Barón LA, Forero-Carvajal MP, Ramírez-Alemán LG, Mejía-Gómez AE, Salcedo-Reyes JC, Carrascal-Camacho AK, Velez C, Pedroza-Rodríguez AM. Development of TiO2 Films by Sol–Gel/Sedimentation for the Inactivation of Multidrug-Resistant Escherichia coli and Salmonella Typhimurium in Greywater. Catalysts. 2025; 15(12):1115. https://doi.org/10.3390/catal15121115
Chicago/Turabian StyleRincón-Barón, Luz Adriana, María Paula Forero-Carvajal, Laura Gabriela Ramírez-Alemán, Augusto Enrique Mejía-Gómez, Juan Carlos Salcedo-Reyes, Ana Karina Carrascal-Camacho, Camilo Velez, and Aura Marina Pedroza-Rodríguez. 2025. "Development of TiO2 Films by Sol–Gel/Sedimentation for the Inactivation of Multidrug-Resistant Escherichia coli and Salmonella Typhimurium in Greywater" Catalysts 15, no. 12: 1115. https://doi.org/10.3390/catal15121115
APA StyleRincón-Barón, L. A., Forero-Carvajal, M. P., Ramírez-Alemán, L. G., Mejía-Gómez, A. E., Salcedo-Reyes, J. C., Carrascal-Camacho, A. K., Velez, C., & Pedroza-Rodríguez, A. M. (2025). Development of TiO2 Films by Sol–Gel/Sedimentation for the Inactivation of Multidrug-Resistant Escherichia coli and Salmonella Typhimurium in Greywater. Catalysts, 15(12), 1115. https://doi.org/10.3390/catal15121115

