Selective Synthesis of Renewable Bio-Jet Fuel Precursors from Furfural and 2-Butanone via Heterogeneously Catalyzed Aldol Condensation
Abstract
1. Introduction
2. Results and Discussion
2.1. Catalyst Characterization
2.2. Aldol Condensation of Furfural and 2-Butanone Optimization
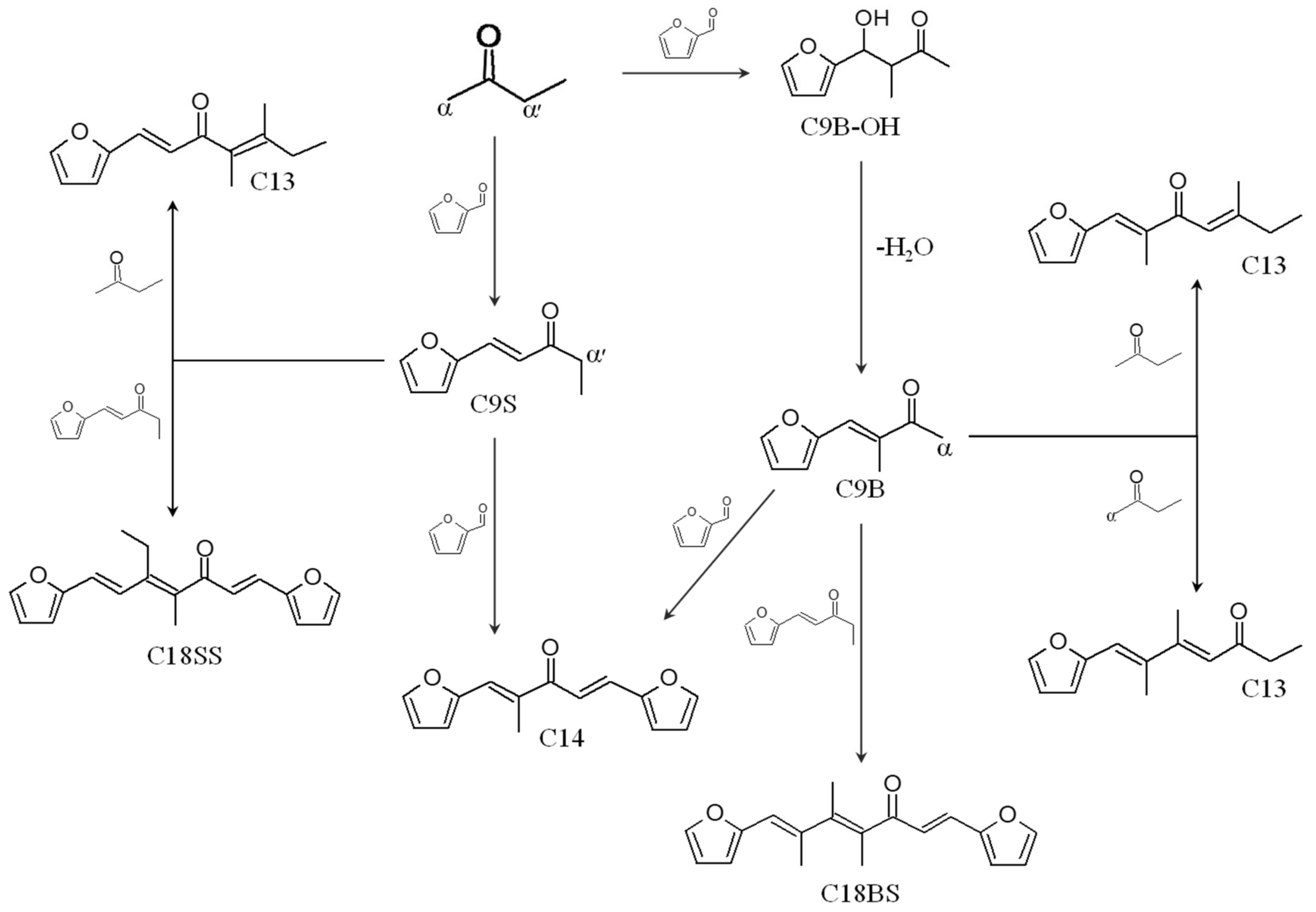
2.2.1. Product Identification
2.2.2. Influence of Mg:Al Molar Ratios of LDO Catalysts
2.2.3. Influence of Reaction Time
2.2.4. Influence of the Furfural:2-Butanone Molar Ratio
2.2.5. Influence of the Catalyst Loading Level
2.2.6. Influence of the Reaction Temperature
2.2.7. Proposed Reaction Pathway
2.3. In Situ FTIR Study of Acetone and 2-Butanone Adsorption onto a MgAl Mixed Oxide
2.4. DFT Calculation for the Favorable Structure of the Adsorbed 2-Butanone Molecule
3. Materials and Methods
3.1. Chemical Reagents
3.2. Catalyst Preparation
3.3. Catalyst Characterization
3.4. Aldol Condensation Procedure
3.5. Computational Details
4. Conclusions
Supplementary Materials
Author Contributions
Funding
Data Availability Statement
Acknowledgments
Conflicts of Interest
References
- Rodiahwati, W.; Sriariyanun, M. Lignocellulosic biomass to biofuel production: Integration of chemical and extrusion (screw press) pretreatment. KMUTNB Int. J. Appl. Sci. Technol. 2016, 9, 289–298. [Google Scholar] [CrossRef]
- Małgorzata, S.; Cezary, K.; Izabela, K.R.; Agata, M.M.; Aneta, M. Pyrolysis of biomass wastes into carbon materials. Energies 2022, 15, 1941. [Google Scholar]
- Gollakota, A.R.K.; Kishore, N.; Gu, S. A review on hydrothermal liquefaction of biomass. Renew. Sustain. Energy Rev. 2018, 81, 1378–1392. [Google Scholar] [CrossRef]
- Grilca, M.; Likozara, B.; Leveca, J. Hydrodeoxygenation and hydrocracking of solvolysed lignocellulosic biomass by oxide, reduced and sulphide form of NiMo, Ni, Mo and Pd catalysts. Appl. Catal. B: Environ. 2014, 150–151, 275–287. [Google Scholar] [CrossRef]
- Yunwu, Z.; Jida, W.; Dechao, W.; Zhifeng, Z. Advanced catalytic upgrading of biomass pyrolysis vapor to bio-aromatics hydrocarbon: A review. Appl. Energy Combust. Sci. 2022, 10, 100061. [Google Scholar]
- Falguni, P.; Biswa, R.P.; Jude, A.O.; Sonil, N.; Satyanarayan, N.; Ajay, K.D. A review of thermocatalytic conversion of biogenic wastes into crude biofuels and biochemical precursors. Fuel 2022, 320, 123857. [Google Scholar]
- Ramos, R.; Tišler, Z.; Kikhtyanin, O.; Kubička, D. Solvent effect in hydrodeoxygenation of furfural-acetone aldol condensation products over Pt/TiO2 catalyst. Appl. Catal. A Gen. 2017, 530, 174–183. [Google Scholar] [CrossRef]
- Faba, L.; Díaz, E.; Vega, A.; Ordónez, S. Hydrodeoxygenation of furfural-acetone condensation adducts to tridecane over platinum catalysts. Catal. Today 2016, 269, 132–139. [Google Scholar] [CrossRef]
- Faba, L.; Díaz, E.; Vega, A.; Ordónez, S. One-pot aldol condensation and hydrodeoxygenation of biomass-derived carbonyl compounds for biodiesel synthesis. ChemSusChem 2014, 7, 2816–2820. [Google Scholar] [CrossRef]
- Yang, J.F.; Li, N.; Li, G.Y.; Wang, W.T.; Wang, A.; Wang, X.W.; Cong, Y.; Zhang, T. Solvent-free synthesis of C10 and C11 branched alkanes from furfural and methyl isobutyl ketone. ChemSusChem 2013, 6, 1149–1152. [Google Scholar] [CrossRef]
- Chen, F.; Lia, N.; Lia, S.; Yang, J.; Liu, F.; Wang, W.; Wang, A.; Cong, Y.; Wanga, X.; Zhang, T. Solvent-free synthesis of C9 and C10 branched alkanes with furfural and 3-pentanone from lignocellulose. Catal. Commun. 2015, 59, 229–232. [Google Scholar] [CrossRef]
- Shen, T.; Zhu, C.; Tang, C.; Cao, Z.; Wang, L.; Guo, L.; Yin, H. Production of liquid hydrocarbon fuels with 3-pentanone and platform molecules derived from lignocellulose. RSC Adv. 2016, 6, 62974–62980. [Google Scholar] [CrossRef]
- Sluban, M.; Cojocaruc, B.; Parvulescuc, V.I.; Iskra, J.; Korošec, R.C.; Umek, P. Protonated titanate nanotubes as solid acid catalyst for aldol condensation. J. Catal. 2017, 346, 161–169. [Google Scholar] [CrossRef]
- Elise, B.G.; Hochan, C.H.; George, W.H.; James, A.D. Controlled hydrogenation of a biomass-derived platform chemical formed by aldol-condensation of 5-hydroxymethyl furfural (HMF) and acetone over Ru, Pd, and Cu catalysts. Green Chem. 2022, 24, 2146–2159. [Google Scholar]
- Kikhtyanina, O.; Kelbichová, V.; Vitvarová, D.; Kubu, M.; Kubicka, D. Aldol condensation of furfural and acetone on zeolites. Catal. Today 2014, 227, 154–162. [Google Scholar] [CrossRef]
- Bing, W.; Wang, H.; Zheng, L.; Rao, D.; Yang, Y.; Zheng, L.; Wang, B.; Wang, Y.; Wei, M. CaMnAl-hydrotalcite solid basic catalyst toward aldol condensation reaction with a comparable level to liquid alkali catalysts. Green Chem. 2018, 20, 3071–3080. [Google Scholar] [CrossRef]
- Fan, D.; Dong, X.; Yu, Y.; Zhang, M. A DFT study on aldol condensation reaction on MgO in the process of ethanol to 1,3-butadiene: Understanding the structure-activity relationship. Phys. Chem. Chem. Phys. 2017, 19, 25671–25682. [Google Scholar] [CrossRef]
- Bing, W.; Zheng, L.; He, S.; Rao, D.; Xu, M.; Zheng, L.; Wang, B.; Wang, Y.; Wei, M. Insights on active Sites of CaAl-hydrotalcite as a high-performance solid Base catalyst toward aldol Condensation. ACS Catal. 2018, 8, 656–664. [Google Scholar] [CrossRef]
- Parejas, A.; Cosano, A.; Hidalgo-Carrillo, J.; Ruiz, J.R.; Marinas, A.; Jiménez-Sanchidrián, C.; Urbano, F.J. Aldol condensation of furfural with acetone over Mg/Al mixed oxides. Influence of water and synthesis method. Catalysts 2019, 9, 203. [Google Scholar] [CrossRef]
- Laura, F.; Juan, G.; Jorge, Q.; Eva, D.; Salvador, O. One-pot conversion of acetone into mesitylene over combinations of acid and basic catalysts. ACS Catal. 2021, 11, 11650–11662. [Google Scholar]
- Kikhtyanin, O.; Capek, L.; Tišler, Z.; Velvarská, R.; Panasewicz, A.; Diblíková, P.; Kubička, D. Physico-chemical Properties of MgGa mixed oxides and reconstructed layered double hydroxides and their performance in aldol condensation of furfural and acetone. Front. Chem. 2018, 6, 176. [Google Scholar] [CrossRef] [PubMed]
- Faba, L.; Díaz, E.; Ordónez, S. Aqueous-phase furfural-acetone aldol condensation over basic mixed oxides. Appl. Catal. B Environ. 2012, 113–114, 201–211. [Google Scholar] [CrossRef]
- Hora, L.; Kelbichová, V.; Kikhtyanina, O.; Bortnovskiy, O.; Kubička, D. Aldol condensation of furfural and acetone over MgAl layered double hydroxides and mixed oxides. Catal. Today 2014, 223, 138–147. [Google Scholar] [CrossRef]
- Kikhtyanin, O.; Čapek, L.; Smoláková, L.; Tišler, Z.; Kadlec, D.; Lhotka, M.; Diblíkovaá, P.; Kubička, D. Influence of Mg–Al mixed oxide compositions on their properties and performance in aldol condensation. Ind. Eng. Chem. Res. 2017, 56, 13411–13422. [Google Scholar] [CrossRef]
- Hu, Y.F.; Shen, G.; Cai, J.; Liu, J.S.; Deng, J. Dehydrogenation of sec-butanol to methyl ethyl ketone over Cu-ZnO catalysts prepared by different methods: Coprecipitation and physical mixing. Open J. Adv. Mater. Res. 2013, 750–752, 1778–1781. [Google Scholar] [CrossRef]
- Multer, A.; McGraw, N.; Hohn, K.; Vadlani, P. Production of methyl ethyl ketone from biomass using a hybrid biochemical/catalytic approach. Ind. Eng. Chem. Res. 2013, 52, 56–60. [Google Scholar] [CrossRef]
- Gong, Y.; Lin, L.; Shi, J.; Liu, S. Oxidative decarboxylation of levulinic acid by cupric oxides. Molecules 2010, 15, 7946–7960. [Google Scholar] [CrossRef]
- Liang, G.; Wang, A.; Zhao, X.; Lei, N.; Zhang, T. Selective aldol condensation of biomass-derived levulinic acid and furfural in aqueous-phase over MgO and ZnO. Green Chem. 2016, 18, 3430–3438. [Google Scholar] [CrossRef]
- Liang, D.; Yue, W.; Sun, G.; Zheng, D.; Ooi, K.; Yang, X. Direct synthesis of unilamellar MgAl-LDH nanosheets and stacking in aqueous solution. Langmuir 2015, 31, 12464–12471. [Google Scholar] [CrossRef]
- Lee, S.K.; Lee, S.B.; Park, S.Y.; Yi, Y.S.; Ahn, C.W. Structure of amorphous aluminum oxide. Phys. Rev. Lett. 2009, 103, 095501–095504. [Google Scholar] [CrossRef]
- Shi, S.; Qian, S.; Hou, X.; Mu, J.; He, J.; Chou, X. Structural and optical properties of amorphous Al2O3 thin film deposited by atomic layer deposition. Adv. Condens. Matter Phys. 2018, 2018, 7598978. [Google Scholar] [CrossRef]
- Radishevskaya, N.I.; Nazarova, A.Y.; Lvov, O.V.; Golobokov, N.N.; Kasatsky, N.G. Study of the formation of the phase composition and structure of magnesium-aluminate spinel obtained by the SHS method. J. Phys. Conf. Ser. 2018, 1115, 042058. [Google Scholar] [CrossRef]
- Fornasari, G.; Gazzano, M.; Matteuzzi, D.; Trifirò, F.; Vaccari, A. Structure and reactivity of high-surface-area Ni/Mg/A1 mixed oxides. Appl. Clay Sci. 1995, 10, 69–82. [Google Scholar] [CrossRef]
- Hussain, S.K.; Velisoju, V.K.; Rajan, N.P.; Kumar, B.P.; Chary, K.V.R. Synthesis of g-valerolactone from levulinic acid and formic acid over Mg-Al hydrotalcite like compound. Chem. Sel. 2018, 3, 6186–6194. [Google Scholar] [CrossRef]
- Wolkoff, P. Dehydrobromination of secondary and tertiary alkyl and cycloalkyl bromides with 1,8-diazabicyclo[5.4.0]undec-7-ene. Synthetic applications. J. Org. Chem. 1982, 47, 1944–1948. [Google Scholar] [CrossRef]
- Ponnuru, K.; Manayil, J.C.; Cho, H.J.; Osatiashtiani, A.; Fan, W.; Wilson, K.; Jentoft, F.C. Tuning solid catalysts to control regioselectivity in cross aldol condensations with unsymmetrical ketones for biomass conversion. Mol. Catal. 2018, 458, 247–260. [Google Scholar] [CrossRef]
- Zhang, S.L.; Deng, Z.Q. Copper-catalyzed retro-aldol reaction of β-hydroxy ketones or nitriles with aldehydes: Chemo- and stereoselective access to (E)-enones and (E)-acrylonitriles. Org. Biomol. Chem. 2016, 14, 7282–7294. [Google Scholar] [CrossRef]
- Chen, S.; Yang, H.; Hu, C. Theoretical study on the reaction mechanisms of the aldol-condensation of 5-hydroxymethylfurfural with acetone catalyzed by MgO and MgO+. Catal. Today 2015, 245, 100–107. [Google Scholar] [CrossRef]
- Abreu, N.J.; Valdés, H.; Zaror, C.A.; Azzolina-Jury, F.; Meléndrez, M.F. Ethylene adsorption onto natural and transition metal modified Chilean zeolite: An operando DRIFTS approach. Microporous Mesoporous Mater. 2019, 274, 138–148. [Google Scholar] [CrossRef]
- Zhu, R.; Liu, B.; Wang, S.; Huang, X.; Schuarca, R.L.; He, W.; Cybulskis, V.J.; Bond, J.Q. Understanding the mechanism(s) of ketone oxidation on VOx/γ-Al2O3. J. Catal. 2021, 404, 109–127. [Google Scholar] [CrossRef]
- Alminshid, A.H.; Abbas, M.N.; Alalwan, H.A.; Sultan, A.J.; Kadhom, M.A. Aldol condensation reaction of acetone on MgO nanoparticles surface: An in-situ drift investigation. Mol. Catal. 2021, 501, 111333. [Google Scholar] [CrossRef]
- Zaki, M.; Hasan, M.; Al-Sagheer, F.; Pasupulety, L. Surface chemistry of acetone on metal oxides: IR observation of acetone adsorption and consequent surface reactions on silica-alumina versus silica and alumina. Langmuir 2000, 16, 430–436. [Google Scholar] [CrossRef]
- Scanlon, J.T.; Willis, D.E. Calculation of flame ionization detector relative response factors using the effective carbon number concept. J. Chromatogr. Sci. 1985, 23, 333–340. [Google Scholar] [CrossRef]











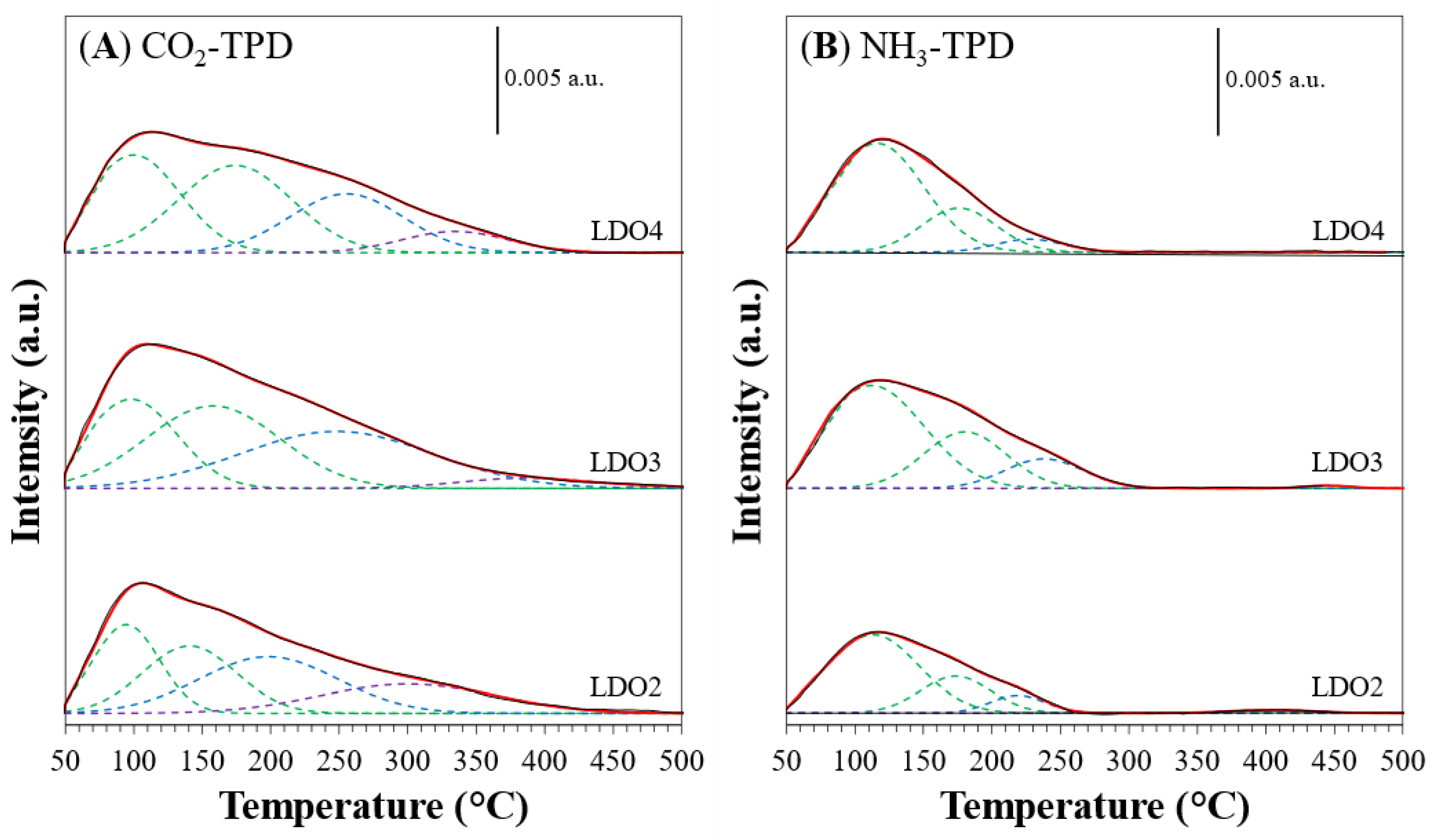
| Sample a | SBET (m2/g) b | Vp (cm3/g) c | Dp (Å) d | Basic Site Amount (μmol/g) e | Basic Site Density (μmol/m2) f | Acidic Site Amount (μmol/g) e | Acidic Site Density (μmol/m2) f | ||||||
|---|---|---|---|---|---|---|---|---|---|---|---|---|---|
| Weak | Medium | Strong | Total | Weak | Medium | Strong | Total | ||||||
| LDO2 | 192 | 0.15 | 65 | 137.5 | 88.3 | 59.6 | 285.4 | 1.5 | 63.9 | 6.4 | 1.7 | 72.1 | 0.38 |
| LDO3 | 273 | 0.62 | 96 | 164.0 | 122.6 | 40.7 | 327.3 | 1.2 | 98.4 | 15.4 | 0.9 | 114.7 | 0.42 |
| LDO4 | 223 | 0.48 | 79 | 211.7 | 77.2 | 26.4 | 315.4 | 1.4 | 86.3 | 5.7 | 0.0 | 92.0 | 0.41 |
Disclaimer/Publisher’s Note: The statements, opinions and data contained in all publications are solely those of the individual author(s) and contributor(s) and not of MDPI and/or the editor(s). MDPI and/or the editor(s) disclaim responsibility for any injury to people or property resulting from any ideas, methods, instructions or products referred to in the content. |
© 2023 by the authors. Licensee MDPI, Basel, Switzerland. This article is an open access article distributed under the terms and conditions of the Creative Commons Attribution (CC BY) license (https://creativecommons.org/licenses/by/4.0/).
Share and Cite
Chottiratanachote, A.; Suttipong, M.; Rashid, U.; Parasuk, V.; Kondo, J.N.; Yokoi, T.; Alsalme, A.; Ngamcharussrivichai, C. Selective Synthesis of Renewable Bio-Jet Fuel Precursors from Furfural and 2-Butanone via Heterogeneously Catalyzed Aldol Condensation. Catalysts 2023, 13, 242. https://doi.org/10.3390/catal13020242
Chottiratanachote A, Suttipong M, Rashid U, Parasuk V, Kondo JN, Yokoi T, Alsalme A, Ngamcharussrivichai C. Selective Synthesis of Renewable Bio-Jet Fuel Precursors from Furfural and 2-Butanone via Heterogeneously Catalyzed Aldol Condensation. Catalysts. 2023; 13(2):242. https://doi.org/10.3390/catal13020242
Chicago/Turabian StyleChottiratanachote, Atikhun, Manaswee Suttipong, Umer Rashid, Vudhichai Parasuk, Junko Nomura Kondo, Toshiyuki Yokoi, Ali Alsalme, and Chawalit Ngamcharussrivichai. 2023. "Selective Synthesis of Renewable Bio-Jet Fuel Precursors from Furfural and 2-Butanone via Heterogeneously Catalyzed Aldol Condensation" Catalysts 13, no. 2: 242. https://doi.org/10.3390/catal13020242
APA StyleChottiratanachote, A., Suttipong, M., Rashid, U., Parasuk, V., Kondo, J. N., Yokoi, T., Alsalme, A., & Ngamcharussrivichai, C. (2023). Selective Synthesis of Renewable Bio-Jet Fuel Precursors from Furfural and 2-Butanone via Heterogeneously Catalyzed Aldol Condensation. Catalysts, 13(2), 242. https://doi.org/10.3390/catal13020242

