Abstract
This work investigates the support of organocatalysts in polyesters, a class of polymers seldom used for this purpose. The proposal is to use the hydroxyl groups present in the structure of the chosen chiral compounds to promote the polymerization of ε-caprolactone, generating the support and anchoring the organocatalyst in a single step. A very simple method, with acid catalysis, was employed, that showed versatility in generating supported catalysts with different structures and functional groups and modulating the mass of the materials to generate specific solubility characteristics. In this way, the catalysts can be solubilized in some organic solvents, such as dichloromethane, but at the end of the reaction, they can be recovered in a heterogeneous way, through precipitation in more apolar solvents. The materials were applied as organocatalysts on an aldol addition test reaction and the product could be obtained in excellent yields and good stereoselectivity. The polymer did not show signs of degradation after the reaction, proving to be robust and suitable for use in catalysis; however, a recycling process appears to be necessary for its reuse.
1. Introduction
Among the existing methodologies to prepare enantiopure chiral compounds, organocatalysis has become one of the most important. With catalytic amounts of chiral compounds, it is already possible to effectively form C-H, C-C, C-O and C-N bonds in an asymmetric way, using one of the many methods discovered in recent decades [1,2,3]. Nevertheless, although organocatalysts are known to be of low cost and easily prepared, there is a concern over the large charge frequently needed to carry out the reactions. Furthermore, from an industrial point of view, separation of the homogeneous catalyst is a drawback that has been distancing organocatalysis from its application in more industrial synthesis [4]. The use of amino acids in organocatalysis is already well-established, as they are good sources of chirality and are readily available. Among them, L-Proline and its analogue (R)-thiazolidine-4-carboxylic acid have been used as chiral platforms for the synthesis of organocatalysts, as well as being used in metal-mediated catalysis [5,6,7,8,9]. We have also contributed to this area with the synthesis of a series of ligands for the efficient enantioselective addition of alkylzinc, alkynylzinc and arylzinc to aldehydes, as well as in palladium-catalyzed asymmetric allylations and enantioselective direct aldol reactions [10,11,12,13,14,15,16].
In this way, the immobilization of these catalysts in organic and inorganic supports has been targeted since the beginning of this field [17,18,19]. The supported version of the catalyst can improve its practical use by facilitating the work-up of the reaction and enabling recovery and reuse of the compounds, making the process commercially and environmentally attractive [20,21,22,23]. Polymeric heterogeneous supports, usually those that are commercially available, are the most employed in immobilizations, but they frequently do not reproduce the results expected from solution studies because the environment of the catalysis completely changes.
To overcome these issues, there is increasing interest in supports that are soluble in the reaction medium but can be easily removed in the work-up of the reaction. Non-reticulated polymers such as polystyrene (PS) or polyethylene glycol (PEG) are widely used, along with polymers specifically synthesized for this purpose [17,18,19,24,25,26,27]. In all cases, the catalyst is inserted as part of the monomer or in a further modification of the material. To be able to do this, a more complex catalyst derivative frequently must be used and several synthetic steps may be necessary for its immobilization, making the process laborious and expensive.
Polyesters are not commonly utilized as catalyst supports, despite their great potential [28,29]. This class of polymers is soluble in the solvents most used in organocatalysis, such as dichloromethane, and can be readily precipitated with the addition of a non-solvent such as methanol at the end of the reaction. Furthermore, the preparation of polyesters has already been highly studied, so there are many available methods to obtain the desired structure. Poly(ε-caprolactones) (PCL) are good representatives of this group because they present interesting properties and can be easily obtained through ring-opening polymerization (ROP) of ε-caprolactones, which are derived from renewable sources [30]. Many different methods were explored to obtain this polymer, including anionic, cationic, monomer-activated, and coordination–insertion ROP mechanisms. Among these, monomer-activated ROP catalyzed by organic acids can be highlighted by its narrow dispersity and low cost, and by producing polymers free of metal residues, which is essential in organocatalysis applications [31,32,33].
Therefore, poly(ε-caprolactones) appear to have great potential as organocatalyst supports, since the polymerization can be initiated by any compound containing a good nucleophilic group (such as alcohols or amines). Despite this, to the best of our knowledge, there are no reports of the use of PCL to immobilize or support organocatalysts through the initiation of ring-opening polymerization. Therefore, the use of monomer-activated ROP catalyzed by organic acids could be an effective way to immobilize a wide range of chiral compounds, the only requirement for which would be to have a nucleophilic group in their structure that could be attached to the polymer without jeopardizing their catalytic activity.
In this work, we show a protocol carefully optimized to immobilize organocatalysts containing different groups in their structures, obtaining a material with modulated molecular weights to offer a good ratio of catalyst per gram of polymer and yet presenting the best properties of solubility in the catalytic reactions. In this way, it is possible to implement a homogeneous catalytic process, maintaining a proper environment for the reaction to occur and yet allowing the heterogeneous recovery of the material at the end.
2. Results and Discussion
2.1. Synthesis and Characterization of Polymers
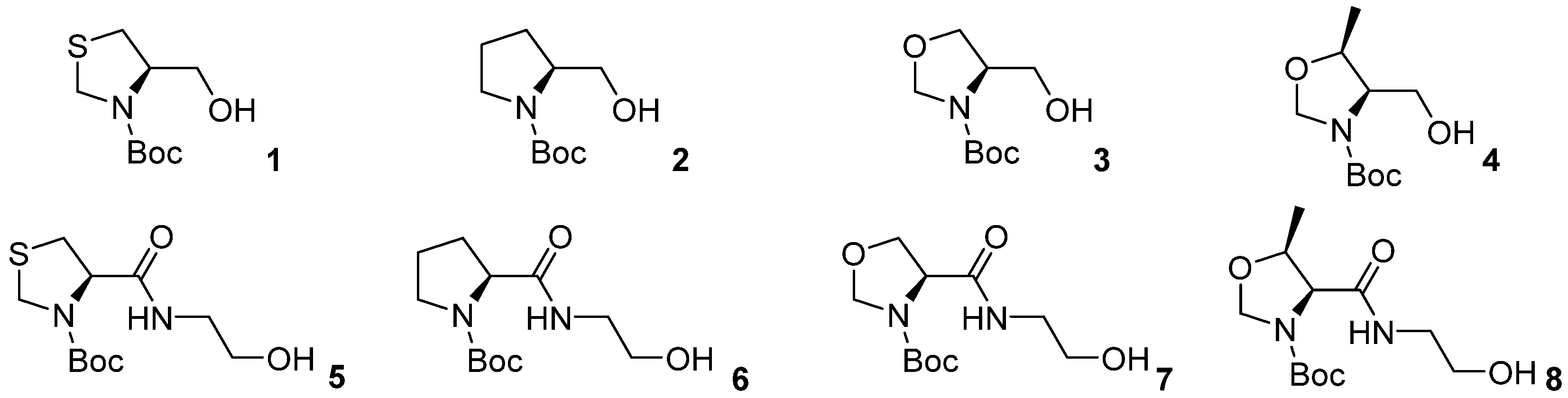
Eight chiral compounds (Figure 1) derived from natural amino acids were selected to develop the methodology of support and synthesized with the established methods of protection, cyclization, coupling or reduction [10,11,12,13,14,15,16,34,35]. The compounds were designed to contain hydroxyl groups, which can act as initiators in the polymerization reaction, as well as chiral portions already known for their catalytic performance. In order to increase the range of employment of these materials, as well as to explore the versatility of the support method, the chosen compounds contained different heterocycles and lateral groups in their structures.
Figure 1.
Structure of the different compounds used as initiators for ε-caprolactone polymerization.
For the polymer synthesis, catalysis via organic acid was chosen for its operational simplicity and for not generating metallic residues in the final product, an important point as the materials will be applied in organocatalysis [36,37]. First, compound 6 was chosen as the initiator to optimize the polymerization conditions, in order to obtain materials with adequate properties for the catalytic process (Table 1). Once supported, it is extremely important that the polymeric catalyst presents specific characteristics that guarantee its functioning and structural stability in the catalytic medium. As the idea is to use it in homogeneous catalysis, it is desirable for the polymer to be soluble in some organic solvents, as well as being able to be precipitated at the end of the catalytic reaction, in order to be recovered and easily separated from the product formed. Furthermore, it should have good thermal stability to withstand different reaction conditions without undergoing processes of deactivation of the active site or structural degradation. Thus, good control of the molar masses and size distribution of the chains is essential because these characteristics have the role of modulating both the solubility and the thermal stability of the material.
Table 1.
Optimization of the polymerization conditions using compound 6 as initiator.
The first condition tested (Table 1, Entry 1) already showed polymer formation with satisfactory results: a mass around 2000 g mol−1 and dispersity of 1.45. However, with this dispersity, solubility tests showed that the chains of lower mass were easily solubilized in the precipitation step, jeopardizing material recovery. Therefore, higher masses and lower dispersities were pursued in the next steps. Higher amounts of monomer (Table 1, Entry 2) caused an increase in dispersity, probably due to the higher viscosity generated in the medium. When the reaction time was doubled (Table 1, Entry 3), there was a decrease in molar mass and a growth in dispersity, probably due to transesterification and degradation reactions, common processes at longer reaction times, when the monomer concentration decreased.
When both monomer and acid amounts were increased in relation to the initiator (Table 1, Entries 4–6), more controlled dispersities were obtained because the higher concentration of activated monomers does not favor parallel reactions. A better condition was then established, as indicated in Entry 5, leading to a molar mass that presents good solubility and has a more homogeneous size distribution suitable for the target application. Finally, a test at higher temperature (Table 1, Entry 7) was performed to optimize the experimental conditions but this resulted in polymers with lower molar masses. It is possible that the increase in temperature led to lower control of chain growth, probably caused by the occurrence of transesterification and degradation reactions, reflected in the high dispersity. In order to prove that the chiral initiators were effectively initiating polymerization and thus were covalently linked to the polymer chain, two blank studies were carried out. In these reactions, all the optimized conditions were reproduced but without the presence of a catalyst or initiator. At the end of 24 h, the contents of the reactions were poured into hexane and no solid was precipitated, showing that chains of substantial molar mass were not formed. The first hours of the model reaction were also tracked by HRMS (ESI-QTOF) analysis, to verify if the chiral initiator was covalently linked to the polymer chain (Figure S82, SI). After 1 h of reaction, it was possible to observe that all the most relevant peaks referred to the masses of the polymeric chain initiated by the chiral compound ([M + Na]+). After 2 h, m/z up to 1533 could be observed, corresponding to polymers with 11 repeating units. Small peaks referring to the hydrogen-terminated polymer (which can be originated by initiation with the residual water or by the hydrolysis of already-formed chains) could also be observed, but their intensity did not seem to increase during the reaction.
Once the optimal polymerization conditions were defined, they were applied to compounds 1–8 to obtain the different supported organocatalysts (Table 2). In general, all the chiral initiators were able to promote the polymerization, with molar masses around 2000 g mol−1 obtained for all reactions, corresponding to 11–19 repeat units (n). The materials obtained have the ability to easily solubilize in organic media traditionally used in organocatalysis, as well as precipitate in other organic solvents such as hexane and diethyl ether. Thus, we can conclude that the methodology is versatile, as it can be applied for different chiral compounds even in the presence of amide groups and different heterocycles.
Table 2.
Application of the optimized conditions for polymerization of ε-caprolactone initiated by compounds 1–8.
To obtain free cyclic amines capable of performing the catalysis, it was necessary to remove the Boc-protecting group at the end of the polymerization process. A procedure already established for this type of deprotection was applied, using trifluoroacetic acid in dichloromethane (Scheme 1).
Scheme 1.
Deprotection of compounds PCL-01P-08P.
In order to obtain the mildest conditions, leading to complete deprotection of the amine without changing the polymer structure, a ratio of 1:2 TFA/CH2Cl2 with a reaction time of 1.5 h proved to be the most efficient for all synthesized polymers. Finally, a neutralization/precipitation methodology with aqueous Na2CO3, isopropanol and diethyl ether was established for the reaction workup in order to facilitate precipitation of the polymer, since the addition of water tends to lead to partial swelling of the PCL chains in acidic medium, preventing its total recovery. It should also be noted that the deprotection reaction occurred quantitatively, as no signs of the Boc group were detected in the final polymer analysis. Yields of around 70% are probably explained by the incomplete removal of the polymer from the aqueous solution, despite the optimized system.
The 1H NMR analysis (Figure 2) showed the signals of the polymer in greater proportion, and the polymer chain mass (Mn,NMR) was determined by the integral ratio between the triplets observed at 3.65 ppm and 4.06 ppm. These signals refer to the hydrogens in the carbon neighboring the terminal hydroxyl group and those closer to the internal ether bond. The chiral initiator signals are partially overlapped by the polymer chain signals, but their presence can be more evident in the characteristic coupling patterns observed in the two-dimensional NMR analysis (Figure 2c).
Figure 2.
NMR analysis of compound PCL-06: (a) 1H NMR showing the proportion between polymer and initiator signals; (b) magnification of the spectrum in (a) to better evidence the initiator signals; (c) magnification of 1H-1H NMR COSY to exhibit the coupling between polymer chain signals and the characteristic coupling patterns of the pyrrolidine derivatives.
To verify whether the 1H NMR spectroscopy was providing reliable measurements of polymer mass and the catalyst load present in the materials, elemental analysis of PCL-06P polymer was carried out. Through the percentage of nitrogen, it is possible to obtain the number of moles of compound per gram of polymer, which can then be compared to the value obtained from the calculating Mn,NMR. The examined material showed an average nitrogen percentage of 0.9%, which would correspond to a catalyst load of 0.32 mmol g−1. 1H NMR analysis of the same sample showed a catalyst loading of 0.35 mmol g−1 of polymer, proving the efficiency of the spectroscopic analysis for catalyst amount determination.
The thermal stability of the supports was evaluated through thermogravimetric analysis (TGA). It is possible to observe through the thermograms (Figures S83 and S84, SI) that all products had high thermal stability, as thermal degradation processes began only at temperatures above 250 °C. Depending on the type of heterocycle used as initiator, thermal stabilities above 350 °C (PCL-02, PCL-07 and PCL-08) were obtained, proving the robustness of the structures, which have sufficient stability to be applied even in reactions involving high temperatures.
Regarding the thermal behavior, differential scanning calorimetry (DSC) analysis (Figures S85 and S86, SI) indicated that all compounds presented typical semi-crystalline thermal transitions, with crystallinity contents varying between 30% and 60% (see Equation (1) on Section 4.1 General Information), depending on the type of initiator used in the synthesis of the organocatalyst. This information can be important for the application of polymers, as the more crystalline the sample, the lower its solubility tends to be. In addition, if the materials are applied in solid phase, crystallinity can make it difficult to access the active sites of the catalyst due to the greater packing of the chains.
2.2. Application of Polymers in Organocatalysis
After the preparation and characterization of the supported chiral compounds, they were evaluated for their catalytic efficiency and asymmetric induction potential. The asymmetric direct aldol addition reaction between cyclohexanone and p-nitrobenzaldehyde was chosen, as this reaction is widely used to evaluate potential organocatalysts [6,38,39]. In order to determine the best conditions to carry out the asymmetric aldol addition, we investigated the effect of several parameters on the yields and selectivities obtained, using the supported catalyst PCL-06 and cyclohexanone 9 and p-nitrobenzaldehyde 10 as reactants in the model reaction (Table 3).
Table 3.
Optimization of reaction conditions for application of the supported catalyst PCL-06 in asymmetric aldol addition a.
Initially, we investigated the effect of catalyst loading using cyclohexanone as the reaction solvent (Table 3, Entries 1–3). In the case of 5 mol % of catalyst PCL-06, a decrease in yield as well as stereoselectivity was observed. On the other hand, an increase to 15 mol % loading did not generate any significant improvement in the yield; however, the stereoselectivity was affected. Thus, the best result was obtained with the addition of 10 mol % of catalyst that afforded the expected product 11 in excellent yield and good e.e. (Table 3, Entry 2). The other parameter investigated was the reaction medium; the reaction was performed in different solvents commonly used in the aldol addition reaction, focusing attention on solubilization or swelling of the polymer (Table 3, Entries 4–6). Using cyclohexanone and dichloromethane, the results were very similar in terms of yield, enantiomeric excess (e.e.) and diastereoisomeric ratio (d.r.) (Table 3, Entry 2 vs. Entry 6). In water, the results were almost the same as those obtained in THF (Table 3, Entry 4 vs. Entry 6). However, among these solvents the use of CH2Cl2 proved to be more interesting, as purification of the product was facilitated and the yield and stereoselectivity were improved (Table 3, Entry 2).
Finally, the use of benzoic acid as an additive was investigated because it is well-established in the literature that it could help during the catalytic cycle for the formation of the enamine, as well as in the hydrolysis of the final iminium. Thus, the benzoic acid charge used was varied while keeping the catalyst charge fixed. However, increasing or decreasing the amount of additive did not improve the stereoselectivity and, at the same time, a significant drop in yield was observed (Table 3, Entry 7 vs. Entry 8). Thus, the best reaction conditions for application of supported catalyst PCL-06 in asymmetric aldol addition are described in Entry 6, where product 11 was obtained in 98% yield with an enantiomeric excess of 96% and a diastereoisomeric ratio of 7.5:1.
Having established the optimized conditions, the synthesized supported organocatalysts PCL-01 to PCL-08 were applied in our standard reaction in order to investigate how the different electronic and steric characteristics of the organocatalysts could influence their catalytic potential and asymmetric induction capacity (Table 4). Mn,RMN measurements were used to determine the load of catalyst present in each polymer, and thus the molar amount to be used in the reaction was determined. Organocatalysts containing the amide group in their structure (Table 4, Entries 5 and 6) furnished the aldol product in higher stereoselectivity compared to organocatalysts that only contained the ester group (Table 4, Entries 1–4). This occurs because the presence of hydrogen bond donor groups, in addition to activating the reaction electrophile, also guides its approach. This makes one of the possible transition states of the reaction more favored, leading to the predominant formation of one of the stereoisomers. In addition, the catalysts that contain the amide moiety in their structure are more widely spaced from the polymer than the esters, which may also contribute to the greater efficiency of these compounds. Within the same group of catalysts (Table 4, Entries 1–4 and 5–8) it can be seen that pyrrolidine derivatives led to product formation in much higher yields than their heteroatom-containing analogues, probably because they have a faster catalytic cycle. In the case of these catalysts, the conformation adopted by the cycle facilitates the formation of the enamine intermediate.
Table 4.
Aldol addition reaction between cyclohexanone and p-nitrobenzaldehyde catalyzed by supported compounds PCL-01 to PCL-08 a.
Removal of the catalyst after the end of the reaction was also studied. The best results were obtained using diethyl ether and from cooling the reaction to 0 °C. Despite using the optimized solvent, only 70% of the polymer mass used could be recovered. 1H NMR analysis was performed and no sign of polymer chain degradation was observed, showing the polymer’s robustness. Thus, the non-complete recovery of the material is probably a consequence of the precipitation process used and operational losses in filtration.
Thus, for the PCL-06 polymer reuse test, the amount recovered was combined with an additional 30% of polymer not yet used. A new reaction under the same previous reaction conditions was carried out and it was possible to obtain the aldol addition product again but with a drop in yield and stereoselectivity (Table 5). This decrease is possibly due to deactivation of the catalyst by interaction with a compound in the medium. Thus, for reuse of the material to be more efficient, a recycling process may be necessary.
Table 5.
Reuse of polymer PCL-06 in asymmetric aldol addition reaction.
3. Conclusions
Eight new PCL-supported organocatalysts were synthesized through ring-opening polymerization using different compounds derived from natural amino acids as initiators. The polymerization and the covalent link of the chiral compound with the polymer were obtained in a single step, leading to pure materials without contamination by metals, making them very suitable for organocatalysis. With adaptations in the polymerization conditions, the developed method delivered adequate mass and dispersity ranges for the application, as the products present selective solubility in some organic solvents and excellent thermal resistance. The new polymeric organocatalysts were successfully applied to aldol addition reactions, with the best reaction condition leading to the product with a 98% yield, an enantiomeric excess of 96%, and a diastereoisomeric ratio of 7:5:1. In the preliminary recyclability studies, the polymer could be recovered through simple precipitation and filtration processes, but further investigations are needed to understand the drop in results in subsequent reactions and to optimize the material reuse process.
4. Materials and Methods
4.1. General Information
The NMR spectra were recorded on Varian Inova 400 MHz and Bruker Avance 400 MHz spectrometers. Chemical shifts (δ) are given in parts per million from the peak of tetramethylsilane (δ = 0.00 ppm) as internal standard in 1H NMR or from the solvent peak of CDCl3 (δ = 77.23 ppm) in 13C NMR. Data are reported as follows: chemical shift (δ), multiplicity, coupling constant (J) in Hertz and integrated intensity. Elemental analysis of carbon, hydrogen and nitrogen (CHN) was performed using a 2400 Perkin-Elmer CHN Elemental Analyzer. Optical rotations were obtained in a Jasco P-2000 polarimeter. Infrared spectra (ATR mode) were obtained in a Bruker Alpha-P and FTIR Nicolet 6700 spectrometer. High-resolution mass spectra (HMRS) were recorded on a Micromass Q-TOF spectrometer, using electrospray ionization (ESI) with the mass analyzer time-of-flight (TOF). All enantiomeric excesses were obtained from HPLC using chiral stationary phase (Chiralcel AD-H) in a Shimadzu LC-20AT chromatograph. The thermogravimetric analyses (TGA) were recorded on TA Instruments Q50 equipment. The samples were heated from 25 °C to 700 °C at a heating rate of 20 °C min−1 under a nitrogen flow of 60 mL min−1. The differential scanning calorimetry (DSC) was performed on a TA Instruments DSC Q20 instrument. The samples were analyzed at 10 °C to 70 °C with a heating and cooling rate of 10 °C min−1 under nitrogen flow of 50 mL min−1. The measurements were made in the first cooling and the second heating scan. The degree of crystallinity () of the samples was determined by Equation (1):
where is the melting enthalpy of the compound (J g−1) and is the melting enthalpy of pure crystalline PCL [40]. Melting points were determined on a Stuart Scientific Melting Point Apparatus SMP3. Column chromatography was performed using silica gel (230–400 mesh). Solvents were purified by usual methods [41]. Other reagents were obtained from commercial sources and used without further purification.
4.2. Synthetic Procedures and Characterization Data
4.2.1. General Procedure and Characterization Data for the Preparation of Compounds 1 to 8, [16,42] and PCL-01P to PCL-08P
The compounds 1 to 8 and PCL-01P to PCL-08P were synthesized according to the procedures reported in the Supplementary Materials. The characterization data are also reported in the Supplementary Materials.
4.2.2. General Procedure for the Preparation of PCL-01 to PCL-08
Trifluoroacetic acid (2 mL) was added dropwise to a solution of the respective polymer (PCL-01P–PCL-08P) (2g) in dichloromethane (4 mL). The mixture was stirred for 1.5 h at room temperature and the resulting polymer was precipitated in 100 mL of a 2% aqueous solution of Na2CO3. The precipitate was filtered and washed with water. Subsequently, 100 mL of isopropanol was added to remove the water retained in the polymer. After 24 h, the solid was filtered again, washed with isopropanol and diethyl ether, and dried under vacuum.
4.2.3. Characterization Data of PCL-01 to PCL-08
PCL-01: The title compound was obtained as a white solid in 69% yield. (Mn,NMR = 1650 g/mol). IR (ATR): 3680–3160 (ν O-H), 2944, 2863 (ν Csp3-H), 1722 (ν C=O), 1292, 1240, 1181 (ν C-O). 1H NMR (400 MHz, CDCl3): δ 4.20–3.90 (m, 29H), 3.64 (t, J = 6.5 Hz, 2H), 2.31 (t, J = 7.5 Hz, 27H), 1.72–1.57 (m, 54H), 1.44–1.32 (m, 27H). 13C NMR (100 MHz, CDCl3) δ 173.6; 64.1; 34.1; 28.3; 25.5; 24.6.
PCL-02: The title compound was obtained as a white solid in 73% yield. (Mn,NMR = 1900 g/mol). IR (ATR): 3840–3240 (ν O-H), 2944, 2865 (ν Csp3-H), 1723 (ν C=O), 1293, 1241, 1186 (ν C-O). 1H NMR (400 MHz, CDCl3): δ 4.38–4.32 (m, 1H), 4.23–4.17 (m, 1H), 4.26–3.98 (m, 32H), 3.65 (t, J = 6.5 Hz, 2H), 3.32–3.24 (m, 1H), 2.31 (t, J = 7.5 Hz, 34H), 2.20–2.10 (m, 2H), 2.10–1.98 (m, 2H), 1.85–1.53 (m, 68H), 1.53–1.28 (m, 34H). 13C NMR (100 MHz, CDCl3) δ 173.5; 64.1; 34.1; 28.3; 25.5; 24.6.
PCL-03: The title compound was obtained as a white solid in 71% yield. (Mn,NMR = 1700 g/mol). IR (ATR): 3670–3150 (ν O-H), 2945, 2863 (ν Csp3-H), 1723 (ν C=O), 1295, 1242, 1185 (ν C-O). 1H NMR (400 MHz, CDCl3): δ 4.30–3.95 (m, 31H), 3.65 (t, J = 6.5 Hz, 2H), 3.54–3.31 (m, 3H), 2.31 (t, J = 7.5 Hz, 28H), 1.72–1.54 (m, 56H), 1.44–1.32 (m, 28H). 13C NMR (100 MHz, CDCl3) δ 173.5; 64.2; 34.2; 28.4; 25.6; 24.6.
PCL-04: The title compound was obtained as a white solid in 73% yield. (Mn,NMR = 1350 g/mol). IR (ATR): 3740–3120 (ν O-H), 2944, 2865 (ν Csp3-H), 1724 (ν C=O), 1294, 1241, 1184 (ν C-O). 1H NMR (400 MHz, CDCl3): δ 4.15–3.84 (m, 25H), 3.64 (t, J = 6.5 Hz, 2H), 2.31 (t, J = 7.5 Hz, 44H), 1.76–1.50 (m, 44H), 1.49–1.23 (m, 25H). 13C NMR (100 MHz, CDCl3) δ 173.6; 64.1; 34.1; 28.3; 25.5; 24.5.
PCL-05: The title compound was obtained as a white solid in 71% yield. (Mn,NMR = 1800 g/mol). IR (ATR): 3670–3150 (ν O-H), 2943, 2863 (ν Csp3-H), 1723 (ν C=O), 1293, 1238, 1184 (ν C-O). 1H NMR (400 MHz, CDCl3): δ 7.33 (brs, 1H), 4.24–3.95 (m, 33H), 3.93 (d, J = 9.9 Hz, 1H), 3.62 (t, J = 6.5 Hz, 2H), 3.56–3.43 (m, 2H), 3.41 (dd, J = 10.9; 4.3 Hz, 1H), 3.09 (dd, J = 10.9; 7.7 Hz, 1H), 2.29 (t, J = 7.5 Hz, 30H), 1.70–1.54 (m, 60H), 1.44–1.30 (m, 30H). 13C NMR (100 MHz, CDCl3) δ 173.5; 64.1; 34.1; 28.3; 25.5; 24.6.
PCL-06: The title compound was obtained as a white solid in 78% yield. (Mn,NMR = 2400 g/mol). IR (ATR): 3710–3220 (ν O-H), 2945, 2863 (ν Csp3-H), 1723 (ν C=O), 1294, 1241, 1182 (ν C-O). 1H NMR (400 MHz, CDCl3): δ 7.84 (brs, 1H), 4.20–4.10 (m, 2H), 4.10–3.95 (m, 38H), 3.77 (dd, J = 9.1; 5.2 Hz, 1H), 3.64 (t, J = 6.5 Hz, 2H), 3.55–3.40 (m, 2H), 3.07–2.97 (m, 1H), 2.94–2.85 (m, 1H), 2.31 (t, J = 7.5 Hz, 40H), 2.20–2.10 (m, 2H), 1.90–1.50 (m, 82H), 1.45–1.30 (m, 40H). 13C NMR (100 MHz, CDCl3) δ 173.5; 64.1; 34.1; 28.3; 25.5; 24.5.
PCL-07: The title compound was obtained as a white solid in 77% yield. (Mn,NMR = 1900 g/mol). IR (ATR): 3680–3190 (ν O-H), 2946, 2865 (ν Csp3-H), 1721 (ν C=O), 1292, 1242, 1187 (ν C-O). 1H NMR (400 MHz, CDCl3): δ 7.70 (brs, 1H), 4.50–4.27 (m, 2H), 4.25–3.85 (m, 33H), 3.73–3.65 (m, 1H), 3.61 (t, J = 6.5 Hz, 2H), 3.55–3.42 (m, 2H), 2.27 (t, J = 7.5 Hz, 31H), 1.80–1.45 (m, 62H), 1.45–1.22 (m, 32H). 13C NMR (100 MHz, CDCl3) δ 173.6; 64.1; 34.1; 28.5; 25.5; 24.6.
PCL-08: The title compound was obtained as a white solid in 70% yield. (Mn,NMR = 2400 g/mol). IR (ATR): 3700–3150 (ν O-H), 2946, 2862 (ν Csp3-H), 1724 (ν C=O), 1294, 1242, 1182 (ν C-O). 1H NMR (400 MHz, CDCl3): δ 4.66 (d, J = 6.5 Hz, 1H), 4.59 (dd, J = 10.1; 6.6 Hz 1H), 4.18–4.12 (m, 2H), 4.12–3.96 (m, 39H), 3.87–3.80 (m, 1H), 3.62 (t, J = 6.5 Hz, 2H), 3.57–3.45 (m, 2H), 2.28 (t, J = 7.5 Hz, 40H), 1.82–1.50 (m, 80H), 1.50–1.29 (m, 43H). 13C NMR (100 MHz, CDCl3) δ 173.5; 64.1; 34.1; 28.3; 25.5; 24.5.
4.2.4. General Procedure for Organocatalytic Asymmetric Direct Aldol Addition
To a mixture of cyclohexanone (0.52 mL, 5 mmol) and dichloromethane (0.5 mL), the catalyst and the additive (when used) were added. This system was stirred at room temperature for 0.5 h. Afterwards, the system was cooled to 0 °C and p-nitrobenzaldehyde (0.076 g, 0.5 mmol) was added. After 120 h, the reaction was returned to room temperature and poured into 50 mL of ethyl ether in order to precipitate the polymer. The system was cooled and the polymer was filtered and washed with the same solvent several times. The organic phases were combined, dried over Na2SO4, and evaporated. Purification was carried out via flash column chromatography using a gradient from hexane to hexane/ethyl acetate = 80:20.
4.2.5. Characterization Data of (S)-2-((R)-hydroxy(4-nitrophenyl)methyl)cyclohexanone (11) [43]
(S)-2-((R)-hydroxy(4-nitrophenyl)methyl)cyclohexanone (11): the title compound was obtained as a white solid in 98% yield. Optical purity was determined by HPLC using Chiralcel AD-H column, 90:10 hexane/2-propanol, 1.0 mL/min and 254 nm: tR(major) = 39.4 min (S,R); tR(minor) = 28.9 min (R,S). 1H NMR (400 MHz, CDCl3): δ 8.21 (d, J = 8.3 Hz, 2H, H-3′ and H-5′), 7.51 (d, J = 8.3 Hz, 2H, H-2′ and H-6′), 4.90 (d, J = 8.3 Hz, 1H), 3.13 (brs, 1H, OH), 2.65–2.25 (m, 3H), 2.18–2.03 (m, 1H), 1.90–1.45 (m, 5H).
Supplementary Materials
The following supporting information can be downloaded at: https://www.mdpi.com/article/10.3390/catal13010164/s1, general procedure and characterization data for the preparation of compounds 1 to 8 and PCL-01P to PCL-08P, NMR and IR-ATR spectra, ESI-QTOF mass spectra, TGA and DSC thermograms and chiral HPLC chromatogram.
Author Contributions
Conceptualization, C.G.J. and P.H.S.; methodology, C.G.J.; J.H.S. and T.d.S.D.; validation, C.G.J. and J.H.S.; formal analysis, C.G.J.; T.d.S.D. and B.T.D.; resources, R.S.M. and P.H.S.; data curation, C.G.J.; T.d.S.D. and P.H.S.; writing—original draft preparation, C.G.J.; T.d.S.D.; B.T.D. and P.H.S.; writing—review and editing, C.G.J.; T.d.S.D.; B.T.D. and P.H.S.; supervision, R.S.M. and P.H.S.; project administration, R.S.M. and P.H.S.; funding acquisition, P.H.S. All authors have read and agreed to the published version of the manuscript.
Funding
The authors would like to acknowledge FAPERGS (PRONEX (16/2551-0000470-6) and RITEs-RS), CNPq (404503/2021-7 and 308487/2021-4), Coordenação de Aperfeiçoamento de Pessoal de Nível Superior—Brasil (CAPES)—Finance Code 001 and INCT-CNM for the financial support.
Data Availability Statement
Not applicable.
Conflicts of Interest
The authors declare no conflict of interest.
References
- List, B. Introduction: Organocatalysis. Chem. Rev. 2007, 107, 5413. [Google Scholar] [CrossRef]
- MacMillan, D.W.C. The advent and development of organocatalysis. Nature 2008, 455, 304. [Google Scholar] [CrossRef] [PubMed]
- Pellissier, H. Recent Developments in Enantioselective Organocatalytic Michael Reactions in Aqueous Media. Curr. Org. Chem. 2018, 21, 323. [Google Scholar] [CrossRef]
- Yang, Y.C.; Bergbreiter, D.E. Soluble polymer-supported organocatalysts. Pure Appl. Chem. 2013, 85, 493. [Google Scholar] [CrossRef]
- List, B.; Lerner, R.A.; Barbas, C.F. Proline-Catalyzed Direct Asymmetric Aldol Reactions. J. Am. Chem. Soc. 2000, 122, 2395. [Google Scholar] [CrossRef]
- Mukherjee, S.; Yang, J.W.; Hoffmann, S.; List, B. Asymmetric Enamine Catalysis. Chem. Rev. 2007, 107, 5471. [Google Scholar] [CrossRef] [PubMed]
- Agirre, M.; Arrieta, A.; Arrastia, I.; Cossío, F.P. Organocatalysts Derived from Unnatural α-Amino Acids: Scope and Applications. Chem. Asian J. 2019, 14, 44. [Google Scholar] [CrossRef]
- Albrecht, L.; Jiang, H.; Jørgensen, K.A. Hydrogen-Bonding in Aminocatalysis: From Proline and Beyond. Chem. Eur. J. 2014, 20, 358. [Google Scholar] [CrossRef]
- Shajahan, R.; Sarang, R.; Saithalavi, A. Polymer Supported Proline-Based Organocatalysts in Asymmetric Aldol Reactions: A Review. Curr. Organocatalysis 2022, 9, 4. [Google Scholar] [CrossRef]
- Braga, A.L.; Silveira, C.C.; Bolster, M.W.G.; Schrekker, H.S.; Wessjohann, L.A.; Schneider, P.H. Microwave-accelerated asymmetric allylations using cysteine derived oxazolidine and thiazolidine palladium complexes. J. Mol. Catal. A Chem. 2005, 239, 235. [Google Scholar] [CrossRef]
- Braga, A.L.; Lüdtke, D.S.; Wessjohann, L.A.; Paixão, M.W.; Schneider, P.H. A chiral disulfide derived from (R)-cysteine in the enantioselective addition of diethylzinc to aldehydes: Loading effect and asymmetric amplification. J. Mol. Catal. A 2005, 229, 47. [Google Scholar] [CrossRef]
- Rambo, R.S.; Schneider, P.H. Thiazolidine-based organocatalysts for a highly enantioselective direct aldol reaction. Tetrahedron Asymmetry 2010, 21, 2254. [Google Scholar] [CrossRef]
- Rambo, R.S.; Jacoby, C.G.; Silva, T.L.; Schneider, P.H. A highly enantio- and diastereoselective direct aldol reaction in aqueous medium catalyzed by thiazolidine-based compounds. Tetrahedron Asymmetry 2015, 26, 632. [Google Scholar] [CrossRef]
- Bach, M.F.; Griebeler, C.H.; Jacoby, C.G.; Schneider, P.H. Design of a Chiral Ionic Liquid System for the Enantioselective Addition of Diethylzinc to Aldehydes. Eur. J. Org. Chem. 2017, 46, 6997. [Google Scholar] [CrossRef]
- Jacoby, C.G.; Vontobel, P.H.V.; Bach, M.F.; Schneider, P.H. Highly efficient organocatalysts for the asymmetric aldol reaction. New J. Chem. 2018, 42, 7416. [Google Scholar] [CrossRef]
- Silva, T.L.; Rambo, R.S.; Jacoby, C.G.; Schneider, P.H. Asymmetric Michael reaction promoted by chiral thiazolidine-thiourea catalyst. Tetrahedron 2020, 76, 130874. [Google Scholar] [CrossRef]
- Benaglia, M.; Celentano, G.; Cozzi, F. Enantioselective aldol condensations catalyzed by poly(ethylene glycol)-supported proline. Adv. Synth. Catal. 2001, 343, 171. [Google Scholar] [CrossRef]
- Benaglia, M.; Cinquini, M.; Cozzi, F.; Puglisi, A.; Celentano, G. Poly(ethylene glycol)-supported proline: A versatile catalyst for the enantioselective aldol and iminoaldol reactions. Adv. Synth. Catal. 2002, 344, 533. [Google Scholar] [CrossRef]
- Benaglia, M.; Cinquini, M.; Cozzi, F.; Puglisi, A.; Celentano, G. Poly(ethylene-glycol)-supported proline: A recyclable aminocatalyst for the enantioselective synthesis of γ-nitroketones by conjugate addition. J. Mol. Catal. A 2003, 204, 157. [Google Scholar] [CrossRef]
- Fulgheri, T.; Della Penna, F.; Baschieri, A.; Carlone, A. Advancements in the recycling of organocatalysts: From classical to alternative approaches. Curr. Opin. Green Sustain. Chem. 2020, 25, 100387. [Google Scholar] [CrossRef]
- Susam, Z.D.; Tanyeli, C. Recyclable Organocatalysts in Asymmetric Synthesis. Asian J. Org. Chem. 2021, 10, 1251. [Google Scholar] [CrossRef]
- Bergbreiter, D.E. Using soluble polymers to recover catalysts and ligands. Chem. Rev. 2002, 102, 3345. [Google Scholar] [CrossRef]
- Bergbreiter, D.E.; Tian, J.; Hongfa, C. Using soluble supports to facilitate homogeneous catalysis. Chem. Rev. 2009, 109, 530. [Google Scholar] [CrossRef]
- Gruttadaria, M.; Giacalone, F.; Noto, R. Supported proline and proline-derivative as recyclable organocatalysts. Chem. Soc. Rev. 2008, 37, 1666. [Google Scholar] [CrossRef]
- Lu, A.; Cotanda, P.; Patterson, J.P.; Longbottom, D.A.; O’Reilly, R.K. Aldol reactions catalyzed by L-proline functionalized polymeric nanoreactors in water. Chem. Commun. 2012, 48, 9699. [Google Scholar] [CrossRef]
- Moore, B.L.; Lu, A.; Longbottom, D.A.; O’Reilly, R.K. Immobilization of MacMillan catalyst via controlled radical polymerization: Catalytic activity and reuse. Polym. Chem. 2013, 4, 2304. [Google Scholar] [CrossRef]
- Zayas, H.A.; Lu, A.; Valade, D.; Amir, F.; Jia, Z.; O’Reilly, R.K.; Monteiro, M.J. Thermoresponsive polymer-supported L-proline micelle catalysts for the direct asymmetric aldol reaction in water. ACS Macro Lett. 2013, 2, 327. [Google Scholar] [CrossRef]
- Fan, Q.; Ren, C.; Yeung, C.; Hu, W.; Chan, A.S.C. Highly effective soluble polymer-supported catalysts for asymmetric hydrogenation. J. Am. Chem. Soc. 1999, 121, 7407. [Google Scholar] [CrossRef]
- Haraguchi, N.; Nguyen, T.L.; Itsuno, S. Polyesters containing chiral imidazolidinone salts in polymer main chain: Heterogeneous organocatalysts for asymmetric Diels-Alder reaction. ChemCatChem 2017, 9, 3786. [Google Scholar] [CrossRef]
- Labet, M.; Thielemans, W. Synthesis of polycaprolactone: A review. Chem. Soc. Rev. 2009, 38, 3484. [Google Scholar] [CrossRef] [PubMed]
- Lewinski, P.; Pretula, J.; Kaluzynski, K.; Kazmierski, D.; Penczek, S. ε-Caprolactone: Activated monomer polymerization; controversy over the mechanism of polymerization catalyzed by phosphorus acids (diarylhydrogen phosphates). Do acids also act as initiators? J. Catal. 2019, 371, 305. [Google Scholar] [CrossRef]
- Lou, X.; Detrembleur, C.; Jérome, R. Living cationic polymerization of γ-valerolactone and synthesis of high molecular weight homopolymer and asymmetric telechelic and block copolymer. Macromolecules 2002, 35, 1190. [Google Scholar] [CrossRef]
- Gazeau-Bureau, S.; Delcroix, D.; Martín-Vaca, B.; Bourissou, D.; Navarro, C.; Magnet, S. Organo-catalyzed ROP of ε-caprolactone: Methanesulfonic acid competes with trifluoromethanesulfonic acid. Macromolecules 2008, 41, 3782. [Google Scholar] [CrossRef]
- Braibante, M.E.F.; Braibante, H.S.; Costenaro, E.R. The Use of Curtius Rearrangement in the Synthesis of 4-Aminothiazolidines. Synthesis 1999, 6, 943. [Google Scholar] [CrossRef]
- Falorni, M.; Conti, S.; Giacomelli, G.; Cossu, S.; Soccolini, F. Optically active 4-oxaproline derivatives: New useful chiral synthons derived from serine and threonine. Tetrahedron Asymmetry 1995, 6, 287. [Google Scholar] [CrossRef]
- Sanda, F.; Sanada, H.; Shibasaki, Y.; Endo, T. Star polymer synthesis from ε-caprolactone utilizing polyol/protonic acid initiator. Macromolecules 2002, 35, 680. [Google Scholar] [CrossRef]
- Liu, J.; Liu, L. Ring-opening polymerization of ε-caprolactone initiated by natural amino acids. Macromolecules 2004, 37, 2674. [Google Scholar] [CrossRef]
- Notz, W.; Tanaka, F.; Barbas III, C.F. Enamine-Based Organocatalysis with Proline and Diamines: The Development of Direct Catalytic Asymmetric Aldol, Mannich, Michael, and Diels−Alder Reactions. Accounts Chem. Res. 2004, 37, 580. [Google Scholar] [CrossRef]
- Jiang, H.; Albrecht, L.; Jorgensen, K.A. Aminocatalytic remote functionalization strategies. Chem. Sci. 2013, 4, 2287. [Google Scholar] [CrossRef]
- Mandelkern, L. Crystallization of Polymers; Cambridge University Press: Cambridge, UK, 2002. [Google Scholar]
- Perrin, D.D.; Armarego, W.L. Purification of Laboratory Chemicals, 4th ed.; Pergamon: New York, NY, USA, 1997. [Google Scholar]
- Molander, G.A.; Romero, J.A.C. Investigations concerning the organolanthanide and group 3 metallocene-catalyzed cyclization–functionalization of nitrogen-containing dienes. Tetrahedron 2005, 61, 2631. [Google Scholar] [CrossRef]
- Pedrosa, R.; Andres, J.M.; Gamarra, A.; Manzano, R.; Perez-Lopez, C. Novel sulfonylpolystyrene-supported prolinamides as catalysts for enantioselective aldol reaction in water. Tetrahedron 2013, 69, 10811. [Google Scholar] [CrossRef]
Disclaimer/Publisher’s Note: The statements, opinions and data contained in all publications are solely those of the individual author(s) and contributor(s) and not of MDPI and/or the editor(s). MDPI and/or the editor(s) disclaim responsibility for any injury to people or property resulting from any ideas, methods, instructions or products referred to in the content. |
© 2023 by the authors. Licensee MDPI, Basel, Switzerland. This article is an open access article distributed under the terms and conditions of the Creative Commons Attribution (CC BY) license (https://creativecommons.org/licenses/by/4.0/).






















