You are currently viewing a new version of our website. To view the old version click .
Catalysts
  • Article
  • Open Access

30 May 2022

Enhanced Oxygen Vacancies in Ce-Doped SnO2 Nanofibers for Highly Efficient Soot Catalytic Combustion

,
,
,
,
,
,
,
and
1
State Key Laboratory of Crystal Materials, Institute of Crystal Materials, Shandong University, Jinan 250100, China
2
School of Materials Science and Engineering, Southwest University of Science and Technology, Mianyang 621010, China
3
Technology Center of Jinan Customs District, Jinan 250014, China
4
School of Materials Science and Engineering, Shijiazhuang Tiedao University, Shijiazhuang 050043, China
This article belongs to the Section Catalytic Materials

Abstract

In this paper, cerium was incorporated into polyhydroxyltriacetictin (PHTES) using the sol-gel method combined with electrospinning technology to prepare a series of composite oxide fiber catalysts SnxCe1−xO2 in different proportions. The structures and soot catalytic activities of SnxCe1−xO2 fibers were studied under loose contact conditions. When Ce entered the crystal lattice of SnO2, the structural symmetry of the SnO2 was destroyed, which inhibited the crystallization and grain growth of the fiber, and fiber catalysts with a larger specific surface area were obtained. Moreover, the introduction of Ce improved the number of oxygen vacancies and redox ability of the catalyst, thus promoting the catalytic activity of the catalyst for soot particles. In particular, among them, the Sn0.7Ce0.3O2 fiber catalysts had the strongest catalytic oxidation ability regarding soot particles and could oxidize soot particles at a lower temperature and faster catalytic rate. The results of the temperature-programmed oxidation of Sn0.7Ce0.3O2 fiber catalyst, conducted three times under the same conditions, were basically consistent, indicating that the experimental results are reliable and repeatable. In addition, the Sn0.7Ce0.3O2 fiber catalyst showed good cycle stability.

1. Introduction

Soot is generated due to the incomplete combustion of the fuel in the cylinder of a diesel engine, which causes respiratory problems, cardiovascular diseases, and skin cell mutation [1,2]. This has led to the development of various exhaust after-processing technologies. The most common technology for impeding soot discharge is the use of diesel particulate filters (DPFs) or a gasoline particulate filter (GPF) to trap particulates. The typical diesel exhaust temperature is in the range of 200–500 °C, and the combustion temperature of exhaust soot needs to exceed 600 °C. Hence, oxidation catalysts need to catalyze the reaction at a lower temperature.
Among various kinds of soot oxidation catalysts, CeO2-based materials have attracted the attention of many researchers. The surface oxygen vacancy (Ov) can be tuned by doping foreign cations in the crystal lattice of CeO2, including transition metals, rare earth metals, alkali metals, and alkaline earth metals. Sarli et al. investigated the effect of Ag and Cu in CeO2-based DPFs on soot oxidation, and both elements improved the catalytic performance of CeO2 despite the different mechanisms [3]. The researchers found that CePr had the possibility of replacing the precious metal content of Pt by loading CePr and Pt catalysts in DPF to simulate the catalysis of soot found in practical applications [4]. Dutta et al. doped CeO2 with metals, such as Zr, Ti, Hf, and Sn, to replace Ce4+, which can activate Ce3+ and Ce4+ ion pairs and promote the reversible reaction. Due to the Sn4+ + 2Ce3+ ↔ Sn2+ + 2Ce4+ redox equilibrium, electron exchange can occur, which greatly increases the adsorption sites of oxygen species, so CeO2 doped with Sn shows the highest oxygen storage capacity [5,6,7,8]. Chen et al. doped Sn4+ into CeO2 to form the CexSn1−xO2 mixed oxide for the selective oxidation of CO, which can also improve the redox performance of Sn4+ and Ce4+, increase the mobility of lattice oxygen, and enhance the selective oxidation of CO activity [9]. Pijolat et al. applied several metal ions, such as Mg2+, Ca2+, Al3+, Sc3+, Pr3+, Y3+, La3+, Hf4+, Si4+, Zr4+, and Th4+ into CeO2 for modification, to activate Ce3+/Ce4+ ion pairs and promote the flow of lattice oxygen. Among them, the doping of the Zr element is beneficial for improving its oxidation-reduction capacity and oxygen storage capacity. The formation of a cerium-zirconium solid solution can significantly improve thermal stability and inhibit the high-temperature sintering of CeO2 [9,10,11,12,13,14,15,16,17,18,19,20,21]. In addition, the observed catalytic reaction is part of gas-solid-solid interaction. Since soot oxidation is largely determined by the mutual contact between soot and catalyst, to maximize the utilization of the contact points between the two substances, catalysts with different morphologies, such as nanospheres, nanorods, nanotubes, nanosheets, etc., have been studied extensively [22,23,24,25,26,27]. The ceramic fibers are arranged in a net-like structure after high-temperature treatment, which not only increases the contact points of soot but also facilitates gas diffusion, also enabling higher soot catalytic activity when in loose contact [28,29,30,31,32,33]. Cerium and cerium-based materials exhibit excellent properties (Ce4+ ⇌ Ce3+ + Ov) and high oxygen storage capacity due to their unique physicochemical properties. In the results published by many researchers, the material has shown good catalytic activity, and with the study of its various forms, it has also shown different catalytic performance results. In order to further study the influence of the synergistic effect of fiber structure and tin-cerium composite on catalytic performance, we aim to explore a material that can solve the soot catalysis problem in practical applications and will study the improvement of the soot catalytic performance of tin-cerium composite oxide fibers.
In the present work, SnxCe1−xO2 (x = 0.1, 0.2, 0.3, 0.4, 0.5) composite oxide fibers were prepared using the sol-gel method and electrospinning technology for soot oxidation. The reaction mechanism is shown in Figure 1. Under loose contact conditions, the effect of different tin-cerium ratios on the catalytic activity of the catalysts was explored. NO (1000 ppm) was introduced into the atmosphere to study the effect of NO on catalyst activity. The structure and physicochemical properties of catalysts were characterized using X-ray diffraction (XRD), scanning electron microscopy (SEM), Brunauer–Emmett–Teller (BET) surface areas and pore size analyses, H2 temperature-programmed reduction (H2-TPR), O2 temperature-programmed desorption (O2-TPD) and X-ray photoelectron spectroscopy (XPS).
Figure 1. Schematic diagram of the soot reaction mechanism in a SnxCe1−xO2 fiber catalyst.

2. Results and Discussion

Figure 2 shows the XRD patterns of fiber catalysts with different molar contents of Ce. For the SnO2, there were three strong diffraction peaks at 26.6°, 33.9°, and 51.8°, corresponding to the (110), (101), and (211) crystal planes (JCPDS no.41-1145), respectively. In the Sn0.8Ce0.2O2, the characteristic weak peaks of CeO2 could be observed at 28.5° and 47.5°. Moreover, with the increase in Ce content, the characteristic diffraction peak intensity of CeO2 gradually increased. Strong characteristic peaks could be observed at 28.5°, 33.1°, 47.5°, and 56.3° in the Sn0.5Ce0.5O2, which can be assigned to the cubic fluorite structures of the (111), (200), (220) and (311) planes, respectively (JCPDS no. 43-1002).
Figure 2. X-ray diffraction (XRD) patterns of the SnO2 and SnxCe1−xO2 fiber catalysts.
In Figure 2, compared with pure SnO2, the diffraction peak of SnO2 in the SnxCe1−xO2 catalyst shifted to a lower angle, and the intensity of the diffraction peak weakened, indicating that Ce entered the crystal lattice of SnO2, destroyed the structural symmetry of the catalyst, and reduced the crystallinity. It can be observed from Table 1 that the lattice constant of the SnxCe1−xO2 catalyst was larger than that of pure SnO2 because the ionic radius of Ce (Ce3+: 0.103 nm; Ce4+: 0.092 nm) was larger than that of Sn (Sn2+: 0.093 nm; Sn4+: 0.071 nm). With the doping of Ce, part of the Ce entered the crystal lattice of SnO2. As is seen in Figure 2, the phase of CeO2 could be observed, where Ce coexisted with SnO2 in the form of CeO2. The existence of CeO2 and SnO2 phases could clearly be observed in Sn0.7Ce0.3O2, which had the largest lattice constant, and the crystal grain size of SnO2 was the smallest. Therefore, when Ce entered the crystal lattice of SnO2, the growth of the crystal grain was inhibited and a composite metal oxide catalyst with a larger specific surface area was obtained. The CeO2 peaks of Sn0.6Ce0.4O2 and Sn0.5Ce0.5O2 catalysts were stronger and the lattice constants of Sn0.6Ce0.4O2 and Sn0.5Ce0.5O2 catalysts were smaller than that of the Sn0.7Ce0.3O2 (see Table 1). It can be inferred that the entry of Sn with a smaller ion radius into the crystal lattice of CeO2 caused a decrease in the lattice constant.
Table 1. Phase composition, lattice parameters, crystallite size, and specific surface area of the SnO2 and SnxCe1−xO2 fiber catalysts.
The SEM images of the SnxCe1−xO2 fibers are shown in Figure 3; Figure 3f shows a partially enlarged view of Figure 3e. It can be seen from Figure 3 that all SnxCe1−xO2 fibers were arranged in a network structure, showing a high porosity. The beaded structure of the fibers in Figure 3a,e could provide more contact points for the soot particles during the catalysis process. In Figure 3f, it can be seen that there were some potholes and wrinkles in the fibers’ surfaces that made the contact between the soot particles and the catalyst firmer and more complete. Figure 4 shows the element distribution of the Sn0.7Ce0.3O2 composite fiber. From the mapping results, it can be observed that Sn and Ce were uniformly distributed on the surface of the fiber catalyst.
Figure 3. SEM images of (a) Sn0.9Ce0.1O2, (b) Sn0.8Ce0.2O2, (c) Sn0.6Ce0.4O2, (d) Sn0.5Ce0.5O2, and (e,f) Sn0.7Ce0.3O2 fibers.
Figure 4. SEM-mapping images of (a) Sn0.7Ce0.3O2 fibers, (b) Sn, (c) Ce, and (d) O.
Figure 5 and Figure 6 showed the absorption-desorption curves and pore size distribution diagrams of pure SnO2 and SnxCe1−xO2 fiber catalysts, respectively. In Figure 5, one can see that all the fiber catalysts were type IV isotherms, SnO2 had an obvious saturated adsorption platform, which belongs to the H2-type hysteresis loop, and the SnxCe1−xO2 fibers did not exhibit adsorption saturation in the relatively high-pressure area, so all loops appeared as H3-type hysteresis loops. The pore size was mainly concentrated between 2 and 15 nm (see Figure 6), and all the prepared fibers were of mesoporous materials. It can be seen from Table 1 that all the specific surface areas of SnxCe1−xO2 were much larger than that of pure SnO2. Since the specific surface area is an important factor affecting catalytic activity, Sn0.7Ce0.3O2 had the largest specific surface area, which could provide good contact efficiency for soot particles and expose more active sites; therefore, it exhibited the best catalytic activity.
Figure 5. Nitrogen adsorption–desorption isotherms of the SnO2 and SnxCe1−xO2 fiber catalysts.
Figure 6. Pore size distribution of the SnO2 and SnxCe1−xO2 fiber catalysts.
The H2-TPR profiles of the SnO2 and SnxCe1−xO2 fiber catalysts are shown in Figure 7. The curve of the SnO2 fiber presented a reduction peak in the range of 400–600 °C, which was the reduction in bulk Sn4+ to Sn2+ and the reduction in surface Sn2+ to Sn0 [8,34,35]. Compared with the SnO2 fiber, all the reduction peaks of SnxCe1−xO2 fibers moved in a lower temperature direction. The redox balance Sn4+ + 2Ce3+ ↔ Sn2+ + 2Ce4+ occurred in the SnxCe1−xO2 fibers, which could improve the oxidation ability of Sn4+ and Ce4+, making them more prone to reduction. The low-temperature reduction peak at 200–300 °C was due to the reaction of the Sn4+ reduction to Sn2+ on the fiber surface. The high-temperature reduction peak in the range of 400–600 °C corresponded to the reduction of Ce4+ on the surface in addition to the reduction of Sn4+. When the molar content of tin increased, the stronger reduction peak indicated that the tin element is beneficial to the migration of lattice oxygen [9]. Since the grain size affects the oxidation-reduction ability of the catalyst, the lowest low-temperature reduction peak of Sn0.7Ce0.3O2 may relate to the smallest SnO2 grain size [10].
Figure 7. H2-TPR profiles of the SnO2 and SnxCe1−xO2 fiber catalysts.
To study the active oxygen properties of the SnxCe1−xO2 fiber catalysts, the O2-TPD experiment was used for characterization, and the results are shown in Figure 8. The low-temperature desorption peak of the catalyst below 400 °C represented the adsorbed oxygen species on the surface of the catalyst, which was prone to desorption under low-temperature conditions and was the main oxygen species component involved in the catalytic oxidation reaction of soot. The high-temperature desorption peaks above 400 °C mainly belonged to the desorption of lattice oxygen on the catalyst surface. When there are oxygen vacancies in the catalyst, part of the bulk lattice oxygen can also migrate to the surface through the oxygen vacancies and desorb at high temperatures [36,37]. As shown in Figure 8, the diffraction peaks in the curve could be attributed to three types of desorption peaks: the diffraction peaks in the range of 100–200 °C were from the desorption of O2 adsorbed on the catalyst surface and were recorded as O-α. The diffraction peaks appearing in the range of 200–400 °C were caused by the desorption of O2− and O adsorbed on the oxygen vacancies and were recorded as O-β. The desorption peak that appeared above 400 °C could be attributed to the desorption of O2− in the catalyst lattice and was recorded as O-γ. In the curve of SnO2, the peaks of O-α and O-β oxygen species were both small, and there were fewer active oxygen species on the surface. At 552 °C, there was a larger diffraction peak that was attributed to the O-γ species. Since O-α and O-β are the main components involved in the catalytic oxidation of soot, it is necessary to study their assigned desorption peaks further.
Figure 8. O2-TPD profiles of the SnO2 and SnxCe1−xO2 fiber catalysts.
For the catalyst SnxCe1−xO2, compared to O-β, the peak intensity of O-α was basically negligible. With the incorporation of Ce, the number of oxygen vacancies in the catalyst increased. O-β could be clearly observed, as seen in Figure 8, and the peak temperature of oxygen desorption was shifted in the low-temperature direction. Obviously, compared with SnO2, the amount of adsorbed oxygen on the surface of the catalyst SnxCe1−xO2 was much larger, indicating that the co-existence of Sn and Ce interacted on the surface of the catalyst to produce active oxygen components that participated in the catalytic reaction. The O-β desorption temperature of SnxCe1−xO2 and SnO2 gradually decreased in the following order: SnO2 > Sn0.6Ce0.4O2 > Sn0.5Ce0.5O2 > Sn0.8Ce0.2O2 > Sn0.9Ce0.1O2 > Sn0.7Ce0.3O2. The Sn0.7Ce0.3O2 catalyst had the lowest desorption temperature, indicating that the binding force of oxygen vacancies and adsorbed oxygen was weak, but it had better oxygen mobility, and active oxygen was more prone to desorption so as to participate in the catalytic reaction.
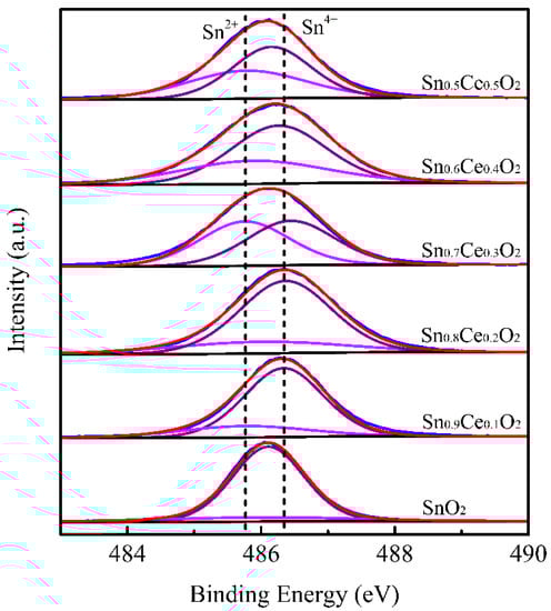
The surface of the catalyst is the main site for the catalytic reaction of soot. XPS was used to study the chemical valence and composition of the catalyst surface. Figure 9 shows the XPS spectrum of Sn 3d5/2 of the SnxCe1−xO2 fiber catalyst. According to the XPS database, the binding energy range of Sn2+ is 485.6–487.0 eV and the binding energy range of Sn4+ is 486.0–487.1 eV [38]. With the addition of Ce, the ratio of Sn2+/(Sn2+ + Sn4+) increased, compared with that of SnO2. For quantitative calculation, peak fitting was performed, and the relevant results are listed in Table 2. The peaks of Sn0.7Ce0.3O2 at 485.7 eV and 486.6 eV were attributed to Sn2+ and Sn4+, respectively, and the proportion of Sn2+ was the highest, reaching 54.72%. Figure 10 shows the XPS spectrum of Ce 3d with peak fitting, where V’ and U’ represent the Ce3+ peaks, and V, V”, V’’’, U, U” and U’’’ represent the Ce4+ peak [39]. As shown in Table 2, the Ce3+/(Ce3+ + Ce4+) ratio of Sn0.7Ce0.3O2 was the highest, at about 27.74%. This is because the interaction of Sn and Ce converts CeO2 to Ce2O3. The presence of Ce3+ led to an imbalance in the internal charge of the catalyst and the formation of oxygen vacancies on the surface, thereby improving the content of adsorbed oxygen on the surface [40]. The change trend of the surface oxygen species was quantitatively calculated by performing peak separation processing on the O 1s spectrum of the catalyst (see Table 2 and Figure 11). OI was attributed to lattice oxygen, OII was the oxygen species adsorbed on the oxygen vacancies on the catalyst surface, and OIII was assigned to the oxygen species adsorbed on the surface of the fiber [41]. According to the calculation results of (OII + OIII)/OI, it can be seen that the content of adsorbed oxygen on the surface of SnxCe1−xO2 is higher than that of SnO2, indicating that the coexistence of the two elements increased the content of OII and OIII on the catalyst surface. Since the Sn0.7Ce0.3O2 fiber catalyst had the highest content of Sn2+ and Ce3+, it should have the most oxygen vacancies among them. From the calculation results in Table 2, it can be seen that the OII ratio in the catalyst was the highest, and the relative concentrations of adsorbed oxygen on the surface and oxygen species on the oxygen vacancies matched the catalytic activity of soot. The adsorbed oxygen has high activity and migrates to the surface of the catalyst easily, so it plays a vital role in the catalytic reaction [42].
Figure 9. XPS spectra in the Sn 3d5/2 region of the SnO2 and SnxCe1−xO2 fiber catalysts.
Table 2. XPS parameters for Sn, Ce, and O of the SnO2 and SnxCe1−xO2 fiber catalysts.
Figure 10. XPS spectra in the Ce 3d region of the SnxCe1−xO2 fiber catalysts.
Figure 11. XPS spectra in the O 1s region of the SnO2 and SnxCe1−xO2 fiber catalysts.
Figure 12 shows the TPO curves of SnxCe1−xO2 and SnO2 in a 21% O2/N2 atmosphere for the catalytic oxidation of soot under loose contact conditions. Without a catalyst, there was basically no conversion of soot particles below 450 °C, and oxidation began to occur at about 492 °C. The oxidation of soot particles was basically concentrated in the temperature range of 500–600 °C and reached a complete oxidation state when approaching 600 °C. SnO2 fibers greatly improved the oxidation activity of soot particles, and significantly reduced the characteristic temperature of the soot particles catalyzed. When the SnxCe1−xO2 fiber catalysts were added, the catalytic activity of the soot was further improved, and with the doping of Ce, the activity of the catalyst oxidizing the soot changed in a mountain-like pattern. The order of the catalytic oxidizing ability of the soot was as follows: Sn0.7Ce0.3O2 > Sn0.8Ce0.2O2 > Sn0.9Ce0.1O2 > Sn0.6Ce0.4O2 > Sn0.5Ce0.5O2. In the range of 400–440 °C, the SnxCe1−xO2 catalysts started to oxidize soot; basically, they could convert the soot particles completely before the temperature reached 500 °C.
Figure 12. TPO profiles of the SnO2 and SnxCe1−xO2 fiber catalysts.
According to the TPO of the soot conversion rate (Figure 12), the indicators for evaluating the catalytic oxidation of soot particles by the catalyst are listed in Table 3; the intention of the evaluation was to characterize more intuitively the ability of the SnxCe1−xO2 fiber catalysts to oxidize soot. The SnO2 fiber reduced the temperature at which the soot reached the maximum combustion rate by 92 °C, and the T50–10 dropped to 42 °C. Compared with SnO2, the SnxCe1−xO2 catalysts significantly improved the catalytic activity of the soot, especially the Sn0.7Ce0.3O2 fiber catalyst, which had the strongest catalytic oxidation capacity for soot. It reduced T10 to 411 °C, Tm to 440 °C, T90 to 462 °C, and T50–10 to 26 °C, indicating that the Sn0.7Ce0.3O2 fiber catalyst could complete the oxidation of soot particles at a lower temperature and faster catalytic rate. The synergistic effect of the SnxCe1−xO2 composite oxide and fiber structure significantly improved the catalytic activity with soot and could effectively remove soot from exhaust gas. The selectivity of the catalyst to CO2 is listed in Table 3. Under the conditions of having no catalyst, the SCO2 of the soot particles was only 53.86%. When the SnO2 fiber was added, the selectivity was increased to 98.92%, and the soot was almost completely burned and converted into CO2. The Sn0.7Ce0.3O2 fiber with the best catalytic activity had a SCO2 of 95.18%. When comparing T50–10, this may be due to the excessively fast combustion process, which reduced the CO2 selectivity.
Table 3. Soot combustion activity of the SnO2 and SnxCe1−xO2 fiber catalysts.
Under the same conditions, the Sn0.7Ce0.3O2 fiber catalyst was subjected to temperature-programmed oxidation tests, conducted in triplicate (see Figure 13). The TPO curves almost overlapped, indicating that the catalytic oxidation efficiency was almost the same, the characteristic temperatures T10, T50 and T90 had no obvious changes, and the experimental results were reliable and repeatable. In order to evaluate the catalytic stability, the Sn0.7Ce0.3O2 fiber catalyst with the highest catalytic activity was tested for 5 consecutive cycles. The TPO files are shown in Figure 14, and the specific indicators are listed in Table 4. It can be observed that the T50 increased slightly. T50 increased by 6 °C for 2 cycles, and T50 increased by 20 °C after 5 cycles. After 3 to 5 cycles, Tm basically no longer rose. Although the activity of the catalyst decreased slightly in the high-temperature zone, T90 was also guaranteed to be within 500 °C. As the cycle increased, the selectivity of CO2 decreased. After 5 cycles, SCO2 still remained at 82.68%, indicating that the prepared Sn0.7Ce0.3O2 fiber had good cycle stability.
Figure 13. Repeated TPO profiles of the Sn0.7Ce0.3O2 fiber catalyst.
Figure 14. Cyclic TPO profiles of the Sn0.7Ce0.3O2 fiber catalyst.
Table 4. Soot combustion activity of the Sn0.7Ce0.3O2 fiber catalyst recycling performance.
The TPO file of the soot oxidized by Sn0.7Ce0.3O2 under 1000 ppm NO/21% O2/N2 atmosphere is shown in Figure 15. The catalytic oxidation reaction of soot was essentially a redox reaction, and NO was also a component that needed to be eliminated in the exhaust gas treatment. In the low-temperature range, NO could easily come into contact with the adsorbed oxygen on the surface of the catalyst and be oxidized to NO2, which had a stronger oxidizing ability than O2. It could then directly react with soot to generate COx and reduce the initial combustion temperature. It can be seen from Figure 15 that T10 was reduced by 27 °C. The catalytic oxidation of soot was a reaction that occurred at the contact point of oxygen–catalyst–soot particles. When NO participated in the reaction, they became O2–NO2–soot particles. Since the gas was easier to transport and make contact with soot particles, compared with a 21% O2/N2 atmosphere, the presence of NO further promoted the ability of the catalyst Sn0.7Ce0.3O2 to catalyze the soot particles. After the atmosphere contained NO, the T10, T50, and T90 of the Sn0.7Ce0.3O2 catalyst were 384 °C, 434 °C, and 459 °C, respectively.
Figure 15. TPO profile of the effect of 1000 ppm NO on the Sn0.7Ce0.3O2 fiber catalyst.

3. Experimental

3.1. Materials

Tin chloride (SnCl4, 99%, Chengdu Xiya Chemical Regent Co., Ltd., Chengdu, China), potassium acetate (CH3COOK, ≥98%, Tianjin Kermel Chemical Reagent Co., Ltd., Tianjin, China), methanol anhydrous (CH3OH, ≥99.5%, Tianjin Fuyu Chemical Reagent Co., Ltd., Tianjin, China), acetic acid (CH3COOH, ≥99.5%, Tianjin Fuyu Chemical Reagent Co., Ltd., Tianjin, China), polyoxyethylene (PEO, Mw~1,000,000, Aladdin, Shanghai, China) and cerium nitrate hexahydrate (Ce(NO)3·6H2O, ≥99.5%, Aladdin, Shanghai, China) were used as starting materials without further purification. Deionized water (DIW) with a resistivity higher than 18.2 MΩ·cm was used in the entire experimental section.

3.2. Preparation of the SnxCe1−xO2 Fiber Catalyst

(1)
Preparation of the polyhydroxyltriacetictin (PHTES) precursor:
Tin chloride was dissolved in methanol anhydrous, with stirring, until the solution became clear, then a methanol solution of potassium acetate was added to the above solution in ice-bath conditions. The supernatant was concentrated to dryness, then dissolved in acetone to further remove the KCl. Finally, the solution was condensed to create the PHTES precursor.
(2)
Preparation of the spinning sol:
Firstly, the PHTES precursor was dissolved in a mixed solution of CH3OH and CH3COOH. Secondly, Ce(NO)3·6H2O was dissolved in DIW; finally, the PEO/DIW/CH3COOH solution was added dropwise according to the required Sn/Ce molar ratio.
(3)
Preparation of fibers:
The DC high-voltage power supply provided a working voltage of 11 kV, the microsyringe pump provided a propulsion rate of 2.0 mL h−1, and the distance to the receiving device was 13 cm. The ambient temperature and humidity were controlled at about 25 °C and 20%, respectively. The collected precursor fibers were placed in a muffle furnace, then the temperature was raised according to the set heat-treatment program. The heat-treated process was set at being heated from room temperature (RT) to 650 °C at a heating rate of 1 °C min−1, then held for 1 h, and, finally, cooled along with the furnace.

3.3. Characterization

X-ray diffraction (XRD, Bruker D8 Advance diffractometer, equipped with Cu-Kα (λ = 1.540598Å) radiation) was used to record the structure data for fibers at 40 kV and 40 mA. A scanning electron microscope (SEM, S-4800, Hitachi, Japan) was used to observe the morphologies of the fibers at an accelerating voltage of 7 kV. A BET (JW-BK112, JWGB Sci & Tech, Beijing, China) using the BJH (Barret-Joyner-Halenda) method was employed to analyze the surface areas and pore size at 77 K. H2-TPR was carried out on a PCA-1200 instrument (Builder Electronic Technology Co., Ltd., Beijing, China), monitored by a thermal conductivity detector (TCD). First, 50 mg of the fibers were purged with Ar at 200 °C and cooled down to RT with an Ar flow, then the temperature increased to 850 °C at the rate of 10 °C min−1 (10% H2/Ar, 30 mL min−1). O2-TPD was also performed on a PCA-1200 instrument (Builder Electronic Technology Co., Ltd., Beijing, China), monitored with a thermal conductivity detector (TCD). Then, 100 mg of the fibers were pretreated in He (30 mL min−1) at 200 °C, then they were exposed to O2 at 80 °C and flushed with He. Finally, the profiles were carried out by increasing the temperature to 850 °C at 10 °C min−1 (He, 30 mL min−1). XPS (ESCALAB 250 ThermoFisher SCIENTIFIC, Waltham, MA, USA) was used to detect the surface chemical compositions, using Al-Kα as an X-ray source.

3.4. Activity Evaluation

The activity of the fiber catalysts was conducted using a Gasboard-3100 (Wuhan, China) infrared spectrometer, using the TPO method. Printex-U (Degussa) was used as the model for soot. First, 20 mg of soot and 200 mg of catalysts were accurately weighed and placed in a beaker with slight shaking to enter a loose contact state, then the soot-catalyst sample was simply mixed with quartz sand (660 mg) before loading it into the reactor. Before measurement, the mixture was treated in ultra-high purity N2 (200 mL min−1) at 200 °C for 40 min. To measure the reaction behaviors of the catalysts, all data were collected with the increase in the temperature to 750 °C at a rate of 5 °C min−1. The volume composition of the feed gas was 21% O2 and was balanced by ultra-high-purity N2, with a gas space velocity of 80,400 mL h−1g−1. These experiments were repeated 3 times for the same sample. No obvious difference was found in the soot oxidation efficiency. The characteristic temperatures (T10, T50, T90) and the CO2 selectivity (SCO2) were used to evaluate the catalytic performance of the fibers [46]. Meanwhile, the maximum combustion rate temperature (Tm) was also used as an evaluation index.

4. Conclusions

The fibers were arranged in a three-dimensional network structure, which could improve contact efficiency between the catalyst and the soot particles. Compared with nanoparticles in the catalytic process, which tended to agglomerate and reduce the catalytic effect, the catalytic performance of the fibers was better. Part of the Ce entered the SnO2 fiber of the tetragonal rutile phase to form a solid solution structure, which showed a uniform distribution of Sn and Ce elements. However, with the increase in the Ce doping ratio, CeO2 with a cubic fluorite structure gradually appeared. The introduction of Ce made the surface of the catalyst possess more abundant and more active oxygen species. Among them, the Sn0.7Ce0.3O2 fiber had the largest specific surface area and showed better redox ability, so it exhibited the highest soot catalytic performance among the SnxCe1−xO2 fiber catalysts. The T10, T50, T90, and T50–10 of the Sn0.7Ce0.3O2 fiber were 411 °C, 437 °C, 462 °C, and 26 °C, respectively. The temperature corresponding to the maximum burning rate was 440 °C, which was 135 °C lower than that of the pure soot particles, indicating that the Sn0.7Ce0.3O2 fiber catalyst could oxidize soot particles at a lower temperature and at a faster rate. Since NO came in contact easily with the adsorbed oxygen on the surface of the catalyst, it was oxidized to NO2, which could directly react with the soot particles to form COx, reducing the initial combustion temperature, and the oxidation ability of Sn0.7Ce0.3O2 on soot was further improved in an atmosphere of 1000 ppm NO/21% O2/N2. Our research work provides an insight into the practical application of soot catalysis. It also provides a foundation for future research into fabricating fibrous materials into devices with practical applications.

Author Contributions

S.Z.: Formal analysis, Methodology, Data curation, Resources, Investigation, Writing-original draft, Writing-review & editing; S.S.: Writing-review & editing; X.Z.: Writing-review & editing; X.W.: Conceptualization, Methodology, Writing-review & editing, Funding acquisition, Project administration; G.Y.: Methodology, Writing-review & editing; Y.J.: Supervision, Project administration; J.F.: Supervision, Project administration; L.Z.: Supervision, Project administration; G.Z.: Supervision, Project administration. All authors have read and agreed to the published version of the manuscript.

Funding

This work was supported by the Shandong Provincial Natural Science Foundation (Grant No. ZR2020ME023), the Shandong University Young Scholars Program (Grant No. 2016WLJH27), and the Fundamental Research Funds for the Central Universities (Grant No. 2082019014).

Conflicts of Interest

We declare that we have no known competing financial interests or personal relationships that could have appeared to influence the work reported in this paper.

References

  1. Wang, W.; Liu, D.; Ying, Y.; Liu, G.; Wu, Y. On the response of nascent soot nanostructure and oxidative reactivity to photoflash exposure. Energies 2017, 10, 961. [Google Scholar] [CrossRef] [Green Version]
  2. Benjamin, F.; Schlögl, R.; Su, D.S. Diesel soot toxification. Environ. Sci. Technol. 2013, 47, 3026–3027. [Google Scholar]
  3. Di Sarli, V.; Landi, G.; Di Benedetto, A.; Lisi, L. Synergy between Ceria and Metals (Ag or Cu) in Catalytic Diesel Particulate Filters: Effect of the Metal Content and of the Preparation Method on the Regeneration Performance. Top Catal. 2021, 64, 256–269. [Google Scholar] [CrossRef]
  4. Pérez, V.R.; Bueno-López, A. Catalytic regeneration of Diesel Particulate Filters: Comparison of Pt and CePr active phases. Chem. Eng. J. 2015, 279, 79–85. [Google Scholar] [CrossRef] [Green Version]
  5. Gupta, A.; Hegde, M.S.; Priolkar, K.R.; Waghmare, U.V.; Sarode, P.R.; Emura, S. Structural investigation of activated lattice oxygen in Ce1−xSnxO2 and Ce1−x-ySnxPdyO2-delta by EXAFS and DFT calculation. Chem. Mater. 2009, 21, 5836–5847. [Google Scholar] [CrossRef]
  6. Reddy, B.M.; Bharali, P.; Saikia, P.; Khan, A.; Loridant, S.; Muhler, M.; Grünert, W. Hafnium doped ceria nanocomposite oxide as a novel redox additive for three-way catalysts. J. Phys. Chem. C. 2007, 111, 1878–1881. [Google Scholar] [CrossRef]
  7. Dutta, G.; Waghmare, U.V.; Baidya, T.; Hegde, M.S.; Priolkar, K.R.; Sarode, P.R. Reducibility of Ce1−xZrxO2: Origin of enhanced oxygen storage capacity. Catal. Lett. 2006, 108, 165–172. [Google Scholar] [CrossRef]
  8. Luo, M.F.; Chen, J.; Chen, L.S.; Lu, J.; Feng, Z.; Li, C. Structure and redox properties of CexTi1−xO2 solid solution. Chem. Mater. 2001, 13, 197–202. [Google Scholar] [CrossRef]
  9. Chen, Y.Z.; Liaw, B.J.; Huang, C.W. Selective oxidation of CO in excess hydrogen over CuO/CexSn1−xO2 catalysts. Appl. Catal. A 2006, 302, 168–176. [Google Scholar] [CrossRef]
  10. Vlaic, G.; Di Monte, R.; Fornasiero, P.; Fonda, E.; Kašpar, J.; Graziani, M. Redox property-local structure relationships in the Rh-loaded CeO2-ZrO2 mixed oxides. J. Catal. 1999, 182, 378–389. [Google Scholar] [CrossRef]
  11. Masui, T.; Peng, Y.; Machida, K.I.; Adachi, G.Y. Reduction behavior of CeO2-ZrO2 solid solution prepared from cerium zirconyl oxalate. Chem. Mater. 1998, 10, 4005–4009. [Google Scholar] [CrossRef]
  12. Fornasiero, P.; Rao, G.R.; Kašpar, J.; L’erario, F.; Graziani, M. Reduction of NO by CO over Rh/CeO2-ZrO2 catalysts-evidence for a support-promoted catalytic activity. J. Catal. 1998, 175, 269–279. [Google Scholar] [CrossRef]
  13. Hashimoto, K.; Toukai, N.; Hamada, R.; Imamura, S. Reduction of Rh/CeO2-ZrO2 with hydrogen. Catal. Lett. 1998, 50, 193–198. [Google Scholar] [CrossRef]
  14. Vidmar, P.; Fornasiero, P.; Kašpar, J.; Gubitosa, G.; Graziani, M. Effects of trivalent dopants on the redox properties of Ce0.6Zr0.4O2 mixed oxide. J. Catal. 1997, 171, 160–168. [Google Scholar] [CrossRef]
  15. Fornasiero, P.; Balducci, G.; Dimonte, R.; Kašpar, J.; Sergo, V.; Gubitosa, G.; Ferrero, A.; Graziani, M. Modification of the redox behaviour of CeO2 induced by structural doping with ZrO2. J. Catal. 1996, 164, 173–183. [Google Scholar] [CrossRef]
  16. Rao, G.R.; Fornasiero, P.; Di Monte, R.; Kašpar, J.; Vlaic, G.; Balducci, G.; Meriani, S.; Gubitosa, G.; Cremona, A.; Graziani, M. Reduction of NO over partially reduced metal-loaded CeO2-ZrO2 solid solutions. J. Catal. 1996, 162, 1–9. [Google Scholar]
  17. Zamar, F.; Trovarelli, A.; Deleitenburg, C.; Dolcetti, G. CeO2-based solid-solutions with the fluorite structure as novel and effective catalysts for methane combustion. J. Chem. Soc. Chem. Commun. 1995, 9, 965–966. [Google Scholar] [CrossRef]
  18. Usmen, R.K.; Graham, G.W.; Watkins, W.L.H.; McCabe, R.W. Incorporation of La3+ into a Pt/CeO2/Al2O3 catalyst. Catal. Lett. 1995, 30, 53–63. [Google Scholar] [CrossRef]
  19. Bensalem, A.; Bozon-Verduraz, F.; Delamar, M.; Bugli, G. Preparation and characterization of highly dispersed silica-supported ceria. Appl. Catal. A 1995, 121, 81–93. [Google Scholar] [CrossRef]
  20. Gruy, F.; Pijolat, M. Kinetics of CeO2 surface-area reduction in a mixture of HCl, H2O, and O2. J. Am. Ceram. Soc. 1994, 77, 1537–1544. [Google Scholar] [CrossRef]
  21. Pijolat, M.; Prin, M.; Soustelle, M.; Touret, O.; Nortier, P. Surface-area stability of lanthanum-doped ceria. Solid State Ion. 1993, 63, 781–785. [Google Scholar] [CrossRef]
  22. Sui, L.; Wang, Y.; Kang, H.; Dong, H.; Dong, L.; Yu, L. Effect of Cs–Ce–Zr Catalysts/Soot contact conditions on diesel soot oxidation. ACS Omega. 2017, 2, 6984–6990. [Google Scholar] [CrossRef] [PubMed]
  23. Grabchenko, M.E.; Mikheeva, N.N.; Mamontov, G.V.; Salaev, M.A.; Liotta, L.F.; Vodyankina, O.V. Ag/CeO2 composites for catalytic abatement of CO, Soot and VOCs. Catalysts 2018, 8, 285. [Google Scholar] [CrossRef] [Green Version]
  24. Zhang, G.; Cheng, X.; Yang, D.; Yu, G.; Ma, H.; Wang, J.; Wu, H.; Yang, Z. Loofa sponage derived multi-tubular CuO/CeO2-ZrO2 with hierarchical porous structure for effective soot catalytic oxidation. Fuel 2019, 258, 116202. [Google Scholar] [CrossRef]
  25. Gao, Y.; Duan, A.; Liu, S.; Wu, X.; Liu, W.; Li, M.; Chen, S.; Wang, X.; Weng, D. Study of Ag/CexNd1−xO2 nanocubes as soot oxidation catalysts for gasoline particulate filters: Balancing catalyst activity and stability by Nd doping. Appl. Catal. B 2017, 203, 116–126. [Google Scholar] [CrossRef]
  26. Lee, C.; Park, J.I.; Shul, Y.G.; Einaga, H.; Teraoka, Y. Ag supported on electrospun macro-structure CeO2 fibrous mats for diesel soot oxidation. Appl. Catal. B 2015, 174, 185–192. [Google Scholar] [CrossRef]
  27. Yu, G.; Wang, J.; Ma, H.; Liu, X.; Qin, S.; Yang, Z.; Zhang, G.; Li, Y.; Zhu, L. Exploring abundantly synergic effects of K-Cu supported paper catalysts using TiO2-ZrO2 mesoporous fibers as matrix towards soot efficient oxidation. Chem. Eng. J. 2021, 417, 128111. [Google Scholar] [CrossRef]
  28. Yu, G.; Ma, H.; Wang, J.; Qin, S.; Yang, Z.; Li, Y. Highly flexible and active potassium-supported sepiolite paper catalysts for soot oxidation. Catal. Sci. Technol. 2020, 10, 1875. [Google Scholar] [CrossRef]
  29. Kumar, P.A.; Tanwar, M.D.; Bensaid, S.; Russo, N.; Fino, D. Soot combustion improvement in diesel particulate filters catalyzed with ceria nanofibers. Chem. Eng. J. 2012, 207, 258–266. [Google Scholar] [CrossRef]
  30. Bensaid, S.; Russo, N.; Fino, D. CeO2 catalysts with fibrous morphology for soot oxidation: The importance of the soot-catalyst contact conditions. Catal. Today 2013, 216, 57–63. [Google Scholar] [CrossRef]
  31. Fu, Z.; Li, X.; Xu, G. Novel electrospun SnO2@carbon nanofibers as high performance anodes for lithium-ion batteries. Cryst. Res. Technol. 2014, 49, 441–445. [Google Scholar] [CrossRef]
  32. Han, Z.; Li, Y.; Chen, F.; Tang, S.; Wang, P. Preparation of ZnO/Ag2O nanofibers by coaxial electrospinning and study of their photocatalytic properties. Chem. J. Chin. Univ. 2020, 41, 308–316. [Google Scholar]
  33. Tang, F.; He, T.; Zhang, H.; Wu, X.; Li, Y.; Long, F.; Xiang, Y.; Zhu, L.; Wu, J.; Wu, X. The MnO@N-doped carbon composite derived from electrospinning as cathode material for aqueous zinc ion battery. J. Electroanal. Chem. 2020, 873, 1572–6657. [Google Scholar] [CrossRef]
  34. Rao, C.; Shen, J.; Wang, F.; Peng, H.; Xu, X.; Zhan, H.; Fang, X.; Liu, J.; Liu, W.; Wang, X. SnO2 promoted by alkali metal oxides for soot combustion: The effects of surface oxygen mobility and abundance on the activity. Appl. Surf. Sci. 2018, 435, 406–414. [Google Scholar] [CrossRef]
  35. Yao, X.; Xiong, Y.; Zou, W.; Zhang, L.; Wu, S.; Dong, X.; Gao, F.; Deng, Y.; Tang, C.; Chen, Z.; et al. Correlation between the physicochemical properties and catalytic performances of CexSn1−xO2 mixed oxides for NO reduction by CO. Appl. Catal. B 2014, 144, 152–165. [Google Scholar] [CrossRef]
  36. Zhao, M.; Shen, M.; Wang, J. Effect of surface area and bulk structure on oxygen storage capacity of Ce0.67Zr0.33O2. J. Catal. 2007, 248, 258–267. [Google Scholar] [CrossRef]
  37. Katsaounis, A.; Nikopoulou, Z.; Verykios, X.E.; Vayenas, C.G. Comparative isotope-aided investigation of electrochemical promotion and metal-support interactions 1. O-18(2) TPD of electropromoted Pt films deposited on YSZ and of dispersed Pt/YSZ catalysts. J. Catal. 2004, 222, 192–206. [Google Scholar] [CrossRef]
  38. Available online: http://srdata.nist.gov/xps/ (accessed on 1 May 2022).
  39. Liu, Z.; Liu, Y.; Chen, B.; Zhu, T.; Ma, L. Novel Fe-Ce-Ti catalyst with remarkable performance for the selective catalytic reduction of NOx by NH3. Catal. Sci. Technol. 2016, 6, 6688–6696. [Google Scholar] [CrossRef]
  40. Zhan, S.; Zhang, H.; Zhang, Y.; Shi, Q.; Li, Y.; Li, X. Efficient NH3 -SCR removal of NOx with highly ordered mesoporous WO3(χ)-CeO2 at low temperatures. Appl. Catal. B 2017, 203, 199–209. [Google Scholar] [CrossRef] [Green Version]
  41. Huy, T.H.; Bui, D.P.; Kang, F.; Wang, Y.; Liu, S.; Thi, C.M.; You, S.; Chang, G.; Pham, V.V. SnO2/TiO2 nanotube heterojunction: The first investigation of NO degradation by visible light-driven photocatalysis. Chemosphere 2019, 215, 323–332. [Google Scholar] [CrossRef]
  42. Piumetti, M.; Bensaid, S.; Russo, N.; Fino, D. Nanostructured ceria-based catalysts for soot combustion: Investigations on the surface sensitivity. Appl. Catal. B 2015, 165, 742–751. [Google Scholar] [CrossRef]
  43. Zhang, W.; Niu, X.; Chen, L.; Yuan, F.; Zhu, Y. Soot Combustion over Nanostructured Ceria with Different Morphologies. Sci. Rep. 2016, 6, 29062. [Google Scholar] [CrossRef] [PubMed]
  44. Guillén-Hurtado, N.; Bueno-López, A.; Garcia-Garcia, A. Catalytic performances of ceria and ceria-zirconia materials for the combustion of diesel soot under NOx/O2 and O2. Importance of the cerium precursor salt. Appl. Catal. A 2012, 437, 166–172. [Google Scholar] [CrossRef]
  45. Miceli, P.; Bensaid, S.; Russo, N.; Fino, D. CeO2-based catalysts with engineered morphologies for soot oxidation to enhance soot-catalyst contact. Nanoscale Res. Lett. 2014, 9, 254–264. [Google Scholar] [CrossRef] [PubMed] [Green Version]
  46. Zhu, S.; Shi, S.; Xie, Y.; Xu, C.; Zhang, X.; Peng, Y.; Wang, X.; Yu, G.; Zhu, L.; Zhang, G.; et al. Electrospinning SnO2 fibers with 3D interconnected structure for efficient soot catalytic combustion. J. Mater. Sci. 2020, 55, 16083–16095. [Google Scholar] [CrossRef]
Publisher’s Note: MDPI stays neutral with regard to jurisdictional claims in published maps and institutional affiliations.

Article Metrics

Citations

Article Access Statistics

Multiple requests from the same IP address are counted as one view.