Fabrication of Six Manganese Containing Polyoxometalate Modified Graphite C3N4 Nanosheets Catalysts Used to Catalyze Water Decomposition
Abstract
:1. Introduction
2. Results and Discussion
2.1. Infrared Spectrum (IR) Test
2.2. Scanning Electron Micrograph (SEM)
2.3. UV-Vis Absorption Spectrum Test
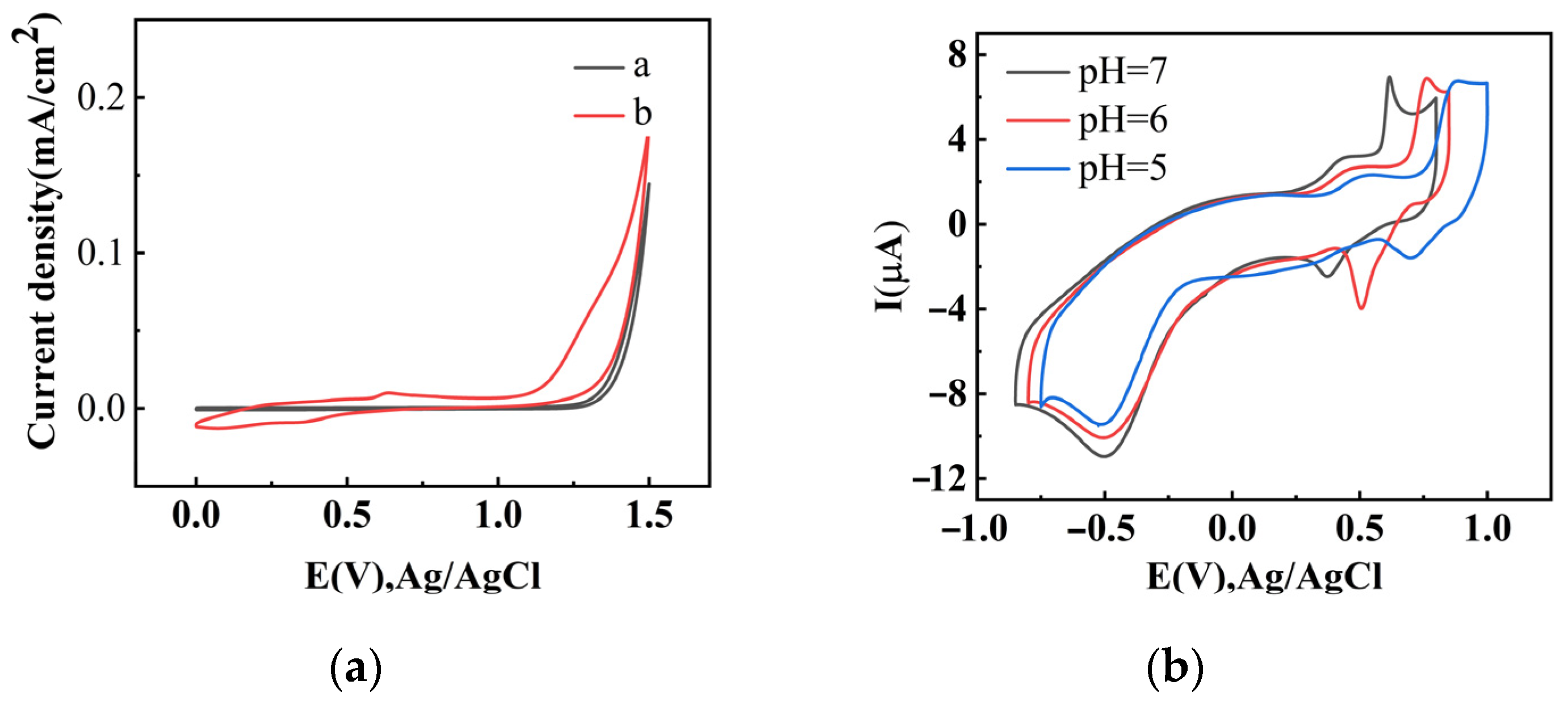
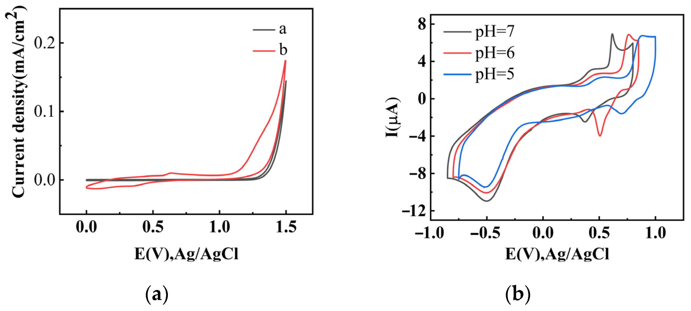
2.4. Electrochemical Characteristics
2.5. PEC Oxygen Evolution Reaction (OER)
3. Materials and Methods
3.1. Materials and Apparatus
3.1.1. Materials
3.1.2. Apparatus
3.2. Preparation of Electrode Modified Materials
3.2.1. Synthesis of K8[β2-SiW11O39]·14H2O (1a)
3.2.2. Synthesis of K8[γ-SiW10O39]·12H2O (1b)
3.2.3. Synthesis of K18[MnIII2MnII4(μ3-O)2-(H2O)4(B-β-SiW8O31)(B-β-SiW9O34)(γ-SiW10O36)]·40H2O (1)
3.2.4. Synthesis of Protonated Graphitic Carbon Nitride Nanosheets (g-C3N4NSs)
3.2.5. LBL Assembled Composite Film Modified Electrode
3.3. UV-Vis Absorption Spectra
3.4. Photo-Electrochemical Test
4. Conclusions
Supplementary Materials
Author Contributions
Funding
Data Availability Statement
Acknowledgments
Conflicts of Interest
References
- Archer, D.; Eby, M.; Brovkin, V.; Ridgwell, A.; Cao, L.; Mikolajewicz, U.; Caldeira, K.; Matsumoto, K.; Munhoven, G.; Montenegro, A.; et al. Atmospheric Lifetime of Fossil Fuel Carbon Dioxide. Annu. Rev. Earth Planet. Sci. 2009, 37, 117–134. [Google Scholar] [CrossRef] [Green Version]
- Lincoln, S.F. Fossil fuels in the 21st century. Ambio 2005, 34, 621–627. [Google Scholar] [CrossRef] [PubMed]
- Shafiee, S.; Topal, E. When will fossil fuel reserves be diminished? Energy Policy 2009, 37, 181–189. [Google Scholar] [CrossRef]
- Wang, J.; Zhao, X.; Guo, X.; Li, B. Analyzing the research subjects and hot topics of power system reliability through the Web of Science from 1991 to 2015. Renew. Sustain. Energy Rev. 2018, 82, 700–713. [Google Scholar] [CrossRef]
- Zinkle, S.J.; Was, G.S. Materials challenges in nuclear energy. Acta Mater. 2013, 61, 735–758. [Google Scholar] [CrossRef]
- Liu, L.-Q.; Wang, Z.-X.; Zhang, H.-Q.; Xue, Y.-C. Solar energy development in China—A review. Renew. Sustain. Energy Rev. 2010, 14, 301–311. [Google Scholar] [CrossRef]
- Parikka, M. Global biomass fuel resources. Biomass Bioenergy 2004, 27, 613–620. [Google Scholar] [CrossRef]
- Chen, L.; Chen, W.-L.; Wang, X.-L.; Li, Y.-G.; Su, Z.-M.; Wang, E.-B. Polyoxometalates in dye-sensitized solar cells. Chem. Soc. Rev. 2019, 48, 260–284. [Google Scholar] [CrossRef]
- Kalogirou, S. Thermal performance, economic and environmental life cycle analysis of thermosiphon solar water heaters. Sol. Energy 2009, 83, 39–48. [Google Scholar] [CrossRef]
- Hill, C.L.; Bouchard, D.A. Catalytic photochemical dehydrogenation of organic substrates by polyoxometalates. J. Am. Chem. Soc. 1985, 107, 5148–5157. [Google Scholar] [CrossRef]
- Bak, T.; Nowotny, J.; Rekas, M.; Sorrell, C. Photo-electrochemical hydrogen generation from water using solar energy. Materials-related aspects. Int. J. Hydrogen Energy 2002, 27, 991–1022. [Google Scholar] [CrossRef]
- Kudo, A.; Miseki, Y. Heterogeneous photocatalyst materials for water splitting. Chem. Soc. Rev. 2009, 38, 253–278. [Google Scholar] [CrossRef] [PubMed]
- Calvin, M. Solar Energy by Photosynthesis. Science 1974, 184, 375–381. [Google Scholar] [CrossRef] [PubMed]
- Kruse, O.; Rupprecht, J.; Mussgnug, J.H.; Dismukes, G.C.; Hankamer, B. Photosynthesis: A blueprint for solar energy capture and biohydrogen production technologies. Photochem. Photobiol. Sci. 2005, 4, 957–970. [Google Scholar] [CrossRef] [PubMed]
- Barber, J. Biological solar energy. Philos. Trans. R. Soc. A Math. Phys. Eng. Sci. 2007, 365, 1007–1023. [Google Scholar] [CrossRef]
- Zhang, C.; Chen, C.; Dong, H.; Shen, J.-R.; Dau, H.; Zhao, J. A synthetic Mn4Ca-cluster mimicking the oxygen-evolving center of photosynthesis. Science 2015, 348, 690–693. [Google Scholar] [CrossRef]
- Steier, L.; Holliday, S. A bright outlook on organic photoelectrochemical cells for water splitting. J. Mater. Chem. A 2018, 6, 21809–21826. [Google Scholar] [CrossRef] [Green Version]
- Mersch, D.; Lee, C.-Y.; Zhang, J.; Brinkert, K.; Fontecilla-Camps, J.C.; Rutherford, A.; Reisner, E. Wiring of Photosystem II to Hydrogenase for Photoelectrochemical Water Splitting. J. Am. Chem. Soc. 2015, 137, 8541–8549. [Google Scholar] [CrossRef] [Green Version]
- Arunachalam, P.; Nagai, K.; Amer, M.S.; Ghanem, M.A.; Ramalingam, R.J.; Al-Mayouf, A.M. Recent Developments in the Use of Heterogeneous Semiconductor Photocatalyst Based Materials for a Visible-Light-Induced Water-Splitting System—A Brief Review. J. Catal. 2021, 11, 1–27. [Google Scholar]
- Nesterov, D.S.; Nesterova, O.V. Polynuclear Cobalt Complexes as Catalysts for Light-Driven Water Oxidation: A Review of Recent Advances. J. Catal. 2018, 8, 602. [Google Scholar] [CrossRef] [Green Version]
- Qiu, Y.; Xing, Z.; Guo, M.; Zhao, T.; Wang, Y.; Chen, P.; Li, Z.; Pan, K.; Zhou, W. Cadmium sulfide quantum dots/dodecahedral polyoxometalates/oxygen-doped mesoporous graphite carbon nitride with Z-scheme and Type-II as tandem heterojunctions for boosting visible-light-driven photocatalytic performance. J. Colloid Interface Sci. 2021, 582, 752–763. [Google Scholar] [CrossRef] [PubMed]
- Ghattavi, S.; Nezamzadeh-Ejhieh, A. A visible light driven AgBr/g-C3N4 photocatalyst composite in methyl orange pho-todegradation: Focus on photoluminescence, mole ratio, synthesis method of g-C3N4 and scavengers. Compos. Part B Eng. 2020, 183, 107712. [Google Scholar] [CrossRef]
- Liu, J.; Xu, H.; Xu, Y.; Song, Y.; Lian, J.; Zhao, Y.; Wang, L.; Huang, L.; Ji, H.; Li, H. Graphene quantum dots modified meso-porous graphite carbon nitride with significant enhancement of photocatalytic activity. Appl. Catal. B Environ. 2017, 207, 429–437. [Google Scholar] [CrossRef]
- Orlandi, M.; Argazzi, R.; Sartorel, A.; Carraro, M.; Scorrano, G.; Bonchio, M.; Scandola, F. Ruthenium polyoxometalate water splitting catalyst: Very fast hole scavenging from photogenerated oxidants. Chem. Commun. 2010, 46, 3152–3154. [Google Scholar] [CrossRef] [PubMed]
- Geletii, Y.V.; Yin, Q.; Hou, Y.; Huang, Z.; Ma, H.; Song, J.; Besson, C.; Luo, Z.; Cao, R.; O’Halloran, K.P.; et al. Polyoxometalates in the Design of Effective and Tunable Water Oxidation Catalysts. Isr. J. Chem. 2011, 51, 238–246. [Google Scholar] [CrossRef]
- Zhang, Z.; Lin, Q.; Kurunthu, D.; Wu, T.; Zuo, F.; Zheng, S.; Bardeen, C.J.; Bu, X.; Feng, P. Synthesis and Photocatalytic Properties of a New Heteropolyoxoniobate Compound: K10[Nb2O2(H2O)2][SiNb12O40]·12H2O. J. Am. Chem. Soc. 2011, 133, 6934–6937. [Google Scholar] [CrossRef] [PubMed]
- Lan, Q.; Zhang, Z.-M.; Qin, C.; Wang, X.-L.; Li, Y.-G.; Tan, H.-Q.; Wang, E.-B. Highly Dispersed Polyoxometalate-Doped Porous Co3O4Water Oxidation Photocatalysts Derived from POM@MOF Crystalline Materials. Chem. A Eur. J. 2016, 22, 15513–15520. [Google Scholar] [CrossRef]
- Wu, Y.; Bi, L. Research Progress on Catalytic Water Splitting Based on Polyoxometalate/Semiconductor Composites. J. Catal. 2021, 11, 524. [Google Scholar] [CrossRef]
- Zhou, Q.; Du, Y.; Qu, Z.; Bi, L. Facile multilayer assemble of a mixed-valence Mn4-containing silicotungstate and its elec-trochemical study with Co3O4 as co-catalyst for photoelectrocatalytic water oxidation. J. Electroanal. Chem. 2021, 894, 1–11. [Google Scholar] [CrossRef]
- Han, X.-B.; Zhang, Z.-M.; Zhang, T.; Li, Y.-G.; Lin, W.; You, W.; Su, Z.-M.; Wang, E.-B. Polyoxometalate-Based Cobalt–Phosphate Molecular Catalysts for Visible Light-Driven Water Oxidation. J. Am. Chem. Soc. 2014, 136, 5359–5366. [Google Scholar] [CrossRef] [PubMed]
- Wei, J.; Feng, Y.; Zhou, P.; Liu, Y.; Xu, J.; Xiang, R.; Ding, Y.; Zhao, C.; Fan, L.; Hu, C. A Bioinspired Molecular Polyoxometalate Catalyst with Two Cobalt (II) Oxide Cores for Photocatalytic Water Oxidation. ChemSusChem 2015, 8, 2630–2634. [Google Scholar] [CrossRef]
- Al-Oweini, R.; Sartorel, A.; Bassil, B.S.; Natali, M.; Berardi, S.; Scandola, F.; Kortz, U.; Bonchio, M. Photocatalytic Water Oxidation by a Mixed-Valent MnIII3MnIVO3 Manganese Oxo Core that Mimics the Natural Oxygen-Evolving Center. Angew. Chem. Int. Ed. 2014, 53, 11182–11185. [Google Scholar] [CrossRef]
- Mitchell, S.G.; Molina, P.I.; Khanra, S.; Miras, H.N.; Cronin, L. A Mixed-Valence Manganese Cubane Trapped by Inequiv-alent Trilacunary Polyoxometalate Ligands. Angew. Chem. 2011, 50, 9154–9157. [Google Scholar] [CrossRef]
- Fu, Z.; Ma, Z.; Yu, T.; Bi, L.; Tian, Y. A first blue fluorescence composite film based on graphitic carbon nitride nanosheets/polyoxometalate for application in reversible electroluminescence switching. J. Mater. Chem. C 2019, 7, 3253–3262. [Google Scholar] [CrossRef]
- Xu, J.; Zhang, L.; Shi, R.; Zhu, Y. Chemical exfoliation of graphitic carbon nitride for efficient heterogeneous photocatalysis. J. Mater. Chem. A 2013, 1, 14766–14772. [Google Scholar] [CrossRef]
- Yan, G.; Feng, X.; Xiao, L.; Xi, W.; Tan, H.; Shi, H.; Wang, Y.; Li, Y. Tuning of the photocatalytic performance of g-C3N4 by polyoxometalates under visible light. Dalton Trans. 2017, 46, 16019–16024. [Google Scholar] [CrossRef] [PubMed]
- Yousefi, M.; Eshghi, H.; Karimi-Nazarabad, M.; Farhadipour, A. P5W30/g-C3N4 heterojunction thin film with improved photoelectrochemical performance for solar water splitting. New J. Chem. 2020, 44, 20470–20478. [Google Scholar] [CrossRef]
- Ginsberg, A.P. Inorganic Syntheses; John Wiley & Sons: Hoboken, NJ, USA, 1990; Volume 27. [Google Scholar]
- Shen, Y.; Liu, J.Y.; Jiang, J.G.; Liu, B.F.; Dong, S.J. Fabrication of a metalloporphyrin—Polyoxometalate hybrid film by a layer-by-layer method and its catalysis for hydrogen evolution and dioxygen reduction. J. Phys. Chem. B 2003, 107, 9744–9748. [Google Scholar] [CrossRef]
- Huang, M.; Bi, L.; Shen, Y.; Liu, A.B.; Dong, S. Nanocomposite Multilayer Film of Preyssler-Type Polyoxometalates with Fine Tunable Electrocatalytic Activities. J. Phys. Chem. B 2004, 108, 9780–9786. [Google Scholar] [CrossRef]










| E (V vs. Ag/AgCl) | Current Density (μA cm−2) | |
|---|---|---|
| Light Off | Light on | |
| 1.23 | 33.16 | 46.22 |
| 1.50 | 160.86 | 239.65 |
| PDDA/PSS/(g-C3N4NSs/Mn6SiW)2-ITO | E (V)on |
|---|---|
| Light on | 1.100 |
| Light off | 1.146 |
| PEC Catalysts | Light Source | Current Density | Growth Multiple (vs. C3N4) | Ref. |
|---|---|---|---|---|
| SiW12/C3N4 | Xe lamp (300 W) | 2.1 × 10−4 μA/cm2 (E = 1.23 vs. RHE) | 1.4 | [36] |
| P5W30/g-C3N4 | Xe lamp (400 W) | 44 μA/cm2 (E = 1.23 V vs. RHE) | 2.4 | [37] |
| Mn6SiW/g-C3N4NSs | Energy-saving lamps (150 W) | 46 μA/cm2 (E = 1.23 V vs. Ag/AgCl) 239 μA/cm2 (E = 1.5 V vs. Ag/AgCl) | 2 | Our work |
Publisher’s Note: MDPI stays neutral with regard to jurisdictional claims in published maps and institutional affiliations. |
© 2021 by the authors. Licensee MDPI, Basel, Switzerland. This article is an open access article distributed under the terms and conditions of the Creative Commons Attribution (CC BY) license (https://creativecommons.org/licenses/by/4.0/).
Share and Cite
Wu, Y.; Yu, X.; Fu, Z.; Pei, J.; Bi, L. Fabrication of Six Manganese Containing Polyoxometalate Modified Graphite C3N4 Nanosheets Catalysts Used to Catalyze Water Decomposition. Catalysts 2021, 11, 856. https://doi.org/10.3390/catal11070856
Wu Y, Yu X, Fu Z, Pei J, Bi L. Fabrication of Six Manganese Containing Polyoxometalate Modified Graphite C3N4 Nanosheets Catalysts Used to Catalyze Water Decomposition. Catalysts. 2021; 11(7):856. https://doi.org/10.3390/catal11070856
Chicago/Turabian StyleWu, Yue, Xiaoxia Yu, Zhijing Fu, Jianye Pei, and Lihua Bi. 2021. "Fabrication of Six Manganese Containing Polyoxometalate Modified Graphite C3N4 Nanosheets Catalysts Used to Catalyze Water Decomposition" Catalysts 11, no. 7: 856. https://doi.org/10.3390/catal11070856
APA StyleWu, Y., Yu, X., Fu, Z., Pei, J., & Bi, L. (2021). Fabrication of Six Manganese Containing Polyoxometalate Modified Graphite C3N4 Nanosheets Catalysts Used to Catalyze Water Decomposition. Catalysts, 11(7), 856. https://doi.org/10.3390/catal11070856

