You are currently viewing a new version of our website. To view the old version click .
Catalysts
  • Article
  • Open Access

26 October 2021

Gordonia hydrophobica Nitrile Hydratase for Amide Preparation from Nitriles

,
,
,
,
and
1
Austrian Center of Industrial Biotechnology GmbH, Krenngasse 37, 8010 Graz, Austria
2
Institute for Molecular Biotechnology, Graz University of Technology, NAWI Graz, Petersgasse 14, 8010 Graz, Austria
3
PharmaZell GmbH, Rosenheimer Str. 43, 83064 Raubling, Germany
4
Medicines for All Institute, Virginia Commonwealth University, P.O. Box 980100, Richmond, VA 23298-0100, USA
This article belongs to the Special Issue Enzymes and Biocatalysis

Abstract

The active pharmaceutical ingredient levetiracetam has anticonvulsant properties and is used to treat epilepsies. Herein, we describe the enantioselective preparation of the levetiracetam precursor 2-(pyrrolidine-1-yl)butanamide by enzymatic dynamic kinetic resolution with a nitrile hydratase enzyme. A rare representative of the family of iron-dependent nitrile hydratases from Gordonia hydrophobica (GhNHase) was evaluated for its potential to form 2-(pyrrolidine-1-yl)butanamide in enantioenriched form from the three small, simple molecules, namely, propanal, pyrrolidine and cyanide. The yield and the enantiomeric excess (ee) of the product are determined most significantly by the substrate concentrations, the reaction pH and the biocatalyst amount. GhNHase is also active for the hydration of other nitriles, in particular for the formation of N-heterocyclic amides such as nicotinamide, and may therefore be a tool for the preparation of various APIs.

1. Introduction

Nitrile hydratases (NHase; EC 4.2.1.84) catalyze the hydration of nitriles to the corresponding amides (Scheme 1A). Two types of NHases can be distinguished, the non-corrin cobalt-containing and non-heme iron-containing NHases. Both types are composed of an α- and a β-subunit, and the functional heterologous expression depends on the action of an accessory protein []. NHases are valuable biocatalysts for atom-economic amide synthesis [,]. Few examples of NHases with excellent enantioselectivity have been reported; instead, there are many examples of NHases with a poor to moderate ability to distinguish between enantiomers [,].
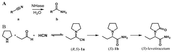
Scheme 1. (A) NHase-mediated nitrile hydration; (B) synthetic route to levetiracetam.
Levetiracetam is an active pharmaceutical ingredient used for the treatment and prevention of hypoxic- and ischemic-type aggressions of the central nervous system. This compound, also known as Keppra, is used as medication for epilepsy []. Levetiracetam is somewhat different from other antiepileptic drugs. It has, for example, a distinctive pharmacological profile in animal models of seizures and epilepsy, and it can inhibit neuronal hypersynchronization when epileptiform activity is evoked in rat hippocampal slices []. Its exact mechanism of action remains elusive, even after many years of clinical application and related research []. One observation indicates the partial blockade of N-type calcium currents [], another the inhibition of AMPA-mediated currents in cortical neurons []. Levetiracetam was shown to bind to the synaptic vesicle protein SV2A in brain membranes [], but the precise physiological role of SV2A and how levetiracetam binding influences SV2A are not yet fully understood yet []. Since the release of both glutamate and GABA is reduced upon levetiracetam binding, the mechanism of action is perhaps best described as a modulation of neurotransmitter release [].
The chemical structure of levetiracetam is characterized by a heterocyclic pyrrolidinone in which the ring nitrogen resembles the amine of the (S)-enantiomer of 2-amino-butanoic acid amide. The respective (R) enantiomer lacks the above described biological activity []. Various routes to this molecule have been proposed in the literature. They typically involve multi-step reactions with either chiral auxiliaries or the final resolution of the desired enantiomer from the racemic mixture [,]. Analyzing levetiracetam from the retrosynthetic viewpoint, the non-oxidized precursor molecule (S)-2-(pyrrolidine-1-yl)butanamide [(S)-1b] would be accessible by stereoselective hydration of the respective amino nitrile 2-(pyrrolidine-1-yl)butanenitrile (1a), which can readily be synthesized from the three simple precursors pyrrolidine, propanal and hydrocyanic acid in a non-stereoselective Strecker-type reaction (Scheme 1B). The reversibility of this step enables the set-up of a dynamic kinetic resolution (DKR). The stereoselective conversion of the racemic aminonitrile to the aminoamide can be accomplished biocatalytically using an (S)-selective nitrile hydratase [].
Nitrile hydratases are metalloproteins that activate a nitrile via a non-corrin cobalt or a non-heme iron-catalytic center in their active sites and incorporate a water molecule in a perfectly atom-economic step []. We recently investigated the synthetic sequence from racemic 1a to levetiracetam via enantioenriched amide 1b by combining enzymatic kinetic resolution with ex-cell electrochemical oxidation and investigated a non-corrin cobalt-type nitrile hydratase from Comamonas testosteroni in this context [,]. Cobalt-dependent NHases are abundant in contrast to the few iron-dependent NHases that have been discovered and investigated. Strikingly, however, iron-type NHases appear to be particularly capable of producing (S)-1b: in a preliminary screening, all four tested iron type NHases catalyzed the desired reaction, whereas only 3 of 15 cobalt-type NHases accepted racemic 1a as a substrate [,]. A novel NHase originating from Gordonia hydrophobica showed the most promising combination of high (S)-selectivity and activity. The aim of this study was to investigate the substrate scope and biophysical characteristics of this iron-dependent NHase (GhNHase).

2. Results and Discussion

In an aqueous solution, aminonitrile 1a is present in equilibrium with propanal, pyrrolidine and cyanide. A highly (S)-selective NHase can convert (S)-1a to (S)-1b, leaving the undesired (R)-enantiomer to disintegration and reassembly to (R,S)-1a, which enables a dynamic kinetic resolution to theoretically yield 100% of (S)-1b. The operational window of this reaction is determined by several factors. To name a few, the chemical equilibrium is dependent on pH, temperature and concentration of the single components, and so is the performance of the biocatalyst. Therefore, a thorough understanding of the system by systematic characterization of the reaction conditions was required to assess the scope and limitations of this key step in levetiracetam synthesis.

2.1. Influence of Reaction Temperature, Substrate Load and Catalyst Amount on Amide Production and Enantiomeric Excess (ee)

Gordonia hydrophobica nitrile hydratase (GhNHase) was produced in Escherichia coli and applied as a cell free extract (CFE). In a first round of exploration of reaction conditions, reactions for the formation of aminoamide (S)-1b were performed at different temperatures. At a substrate concentration of 10 mM, the reactions were incubated for 16 h. The reactions were analyzed by reversed-phase chiral chromatography, using chemically-synthesized (R,S)-1b to generate a calibration curve. By linear interpolation, both the amount of the product and its enantiomeric excess (ee) were determined in a single chromatography run per reaction. There was 14% (ee 78%) of amide (S)-1b detected at 25 °C, 13% (ee 78%) at 37 °C and 16% (ee 77%) at 50 °C (Table 1, Entry 1–3, respectively). A comparison of reaction progress at 5 °C and 25 °C, also gives highly similar product amounts and ee at modified reaction conditions (Figure S1). Under various sets of conditions, little effect by the reaction temperature on product formation and enantioselectivity was observed. The enantioselectivity of wild-type GhNHase is in the typical range of other NHases [,,,]. In iterative rounds of reactions, several reaction parameters were varied to determine combinations that would lead to both high product titers and ee. For example, increasing substrate concentration from 10 to 100 mM increased product titers (Table 1, Entry 1, 4–6), but not in a linear fashion. An increase beyond 100 mM 1a impeded product formation when 1a was added as a single portion at the start of the reaction (Figure S2). Doubling the amount of biocatalyst led to a three-fold higher product concentration (Table 1, entry 5 versus entry 7); however, it also led to a slight decrease in the enantiomeric excess of (S)-1b. Neither the product titer nor the ee increased by applying only 5 °C as the reaction temperature (Table 1, entry 7 versus entry 8). On the contrary, the ee decreased slightly. This result indicates that the chemical racemization might be impaired at very low temperatures.
Table 1. Effects of reaction temperature, amount of racemic substrate (R,S)-1a and amount of GhNHase on product titer and enantiomeric excess. Data selected from iterative reaction engineering study.
As indicated in Table 1, entry 7, elevated biocatalyst amounts significantly increased the formation of the desired amide. Figure 1 shows the dependence of the reaction on various biocatalyst amounts. The highest enantioselectivity was observed between 300 and 600 µg/mL of GhNHase and is associated with 85–90% of the analytical yield at 50 mM of the substrate load. A further increase in the catalyst amount resulted in a decrease in the product ee. At the same time, the total amount of product could not be increased further. The result was remarkably different at the 200 mM substrate load. Small amounts of catalysts could not cope with the high substrate load and produced much less amide with moderate ee. By increasing the biocatalyst load, both the product amount and its ee approached high levels. We assume that this phenomenon is due to the inhibiting effects of cyanide. During the course of the racemization of (R)-1a, the reaction solution contains propanal and cyanide. At a neutral pH, the formation of a racemic cyanohydrin occurs. Since cyanohydrins have been reported to be substrates of nitrile hydratases [], the formation of a hydroxyamide is a possible side reaction, which would pull two essential reaction components from the system in an irreversible manner. This side reaction was elucidated in the case of the cobalt-dependent CtNHase by HPLC/MS and explained why (S)-1b titers remained well below the theoretical 100% []. We therefore hypothesized that the remaining 10–15% required for full conversion by GhNHase was also associated with the formation of 2-hydroxybutane amide. Increasing the substrate load to 200 mM indicates inhibition by substrate or one of the emerging components during DKR, because less product is formed in the same timeframe as compared to the 50 mM reactions. These results emphasize the importance of balancing the velocity of the GhNHase-mediated hydration of the desired enantiomer with the reassembly velocity of racemic 1a.
Figure 1. Effect of catalyst amount for the formation of (S)-1b by GhNHase-CFE. The hydrations of 50 mM (dots) or 200 mM (triangles) of (R,S)-1a were performed in Tris-HCl buffer (300 mM, pH 7.5) at 25 °C and 500 rpm for 30 min. Filled symbols (top) indicate the ee (right y-axis); empty symbols (bottom) indicate product concentrations (left y-axis).

2.2. Enzyme Activity in the Presence of Additives

Iron-dependent NHases are characterized by a low-spin FeIII ion in the active site []. The inhibition caused by cyanide as well as product inhibition have been reported []. Metal ions can form cyanide complexes. A strategy to alleviate cyanide inhibition might be the addition of extra metal ions to dynamic kinetic resolution reactions. We therefore tested the effect of metal ion addition. For this purpose, the hydration of methacrylonitrile (MAN) was monitored in a plate reader []. Notably, the activity of GhNHase for MAN hydration was an order of magnitude lower than that of other NHases []. Externally added FeIII, FeII and MnII decreased the activity of GhNHase in the photometric assay, with the exception of 1 mM FeIII (Figure S3).

2.3. Effect of Reaction pH

The pH value is a critical factor in biocatalytic amide synthesis in general, and particularly in (S)-1b synthesis. The substrate is a labile α-aminonitrile. It is in equilibrium with its three building blocks pyrrolidine, propanal and cyanide []. When 1a is incubated at different pH values, the formation of hydrocyanic acid can be detected in the headspace of the reactions []. At pH 10, 1a disintegrates slowly, whereas low pH (pH 5.0) favors substrate dissociation within seconds (Figure S4). Nitrile hydratases show the highest activity from pH 7 to 8 [], and the activity may also depend on the nature and strength of buffer components [,]. Taken together, these interdependent parameters require experimental exploitation, and we observed the same trend in two buffers as depicted in Figure 2: The lower the pH, the more product formed. Confirming the observations made in Figure 1, the analytical yield and the ee followed a reciprocal dependency. A similar trend can be observed when GhNHase is applied as a whole-cell biocatalyst (Table S1). The most promising combination of the product titer and ee was obtained in Tris-HCl at pH 7.5.
Figure 2. Formation of (S)-1b by GhNHase-CFE at different pH. The orange-colored diamonds indicate the enantiomeric excess. (R,S)-1a (50 mM) was treated with 0.64 mg/mL GhNHase in sodium phosphate or Tris-HCl buffer (100 mM) at 25 °C and 500 rpm.

2.4. Synthesis Reaction from Single Components

The experiments up to this point have been performed via the addition of synthesized and purified racemic 1a. Ultimately, the isolation of (R,S)-1a should be obsolete, since compound (R,S)-1a forms spontaneously under the applied conditions. To demonstrate the proof of concept, KCN was solubilized in a buffer and mixed with pyrrolidine and propanal prior to the addition of the biocatalyst (344 µg/mL GhNHase added as CFE in finally 10% of the reaction volume). It needs to be noted that the strong basic character of KCN and pyrrolidine required a high buffer capacity and posed limitations with respect to substrate concentrations on this analytical level. Hence, the theoretical maximal yield was 27 mM of (S)-1b. KCN was chosen as a limiting component and propanal was applied in excess on the basis of experience with CtNHase []. The CtNHase wildtype was tested under identical conditions for comparison. The excess of propanal had a pronounced effect on product formation (Table 2, entry 1 versus 3). In the direct comparison, GhNHase delivered significantly more of the desired amide (S)-1b as compared to the Co-dependent wild-type CtNHase, albeit in lower enantiomeric purity. Product yields could be improved even further by carrying out the reaction in reactors that control pH and substrate feed. Protein engineering is a promising means of improving the enantioselectivity of GhNHase and suppressing by-product formation as shown in the example of CtNHase [,]. The enantioselectivity of the low molecular weight NHase from Rhodococcus rhodochrous J1, for example, was improved by using steered molecular dynamics simulations to identify key residues, followed by site saturation mutagenesis [].
Table 2. One-pot enzymatic dynamic kinetic resolution by Strecker reaction from three precursors. Conditions: pH 7.3, 25 °C, 344 µg/mL of GhNHase, 30 min reaction time.

2.5. Exploration of Substrate Scope

GhNHase proved to be a promising enzyme for levetiracetam synthesis. Many other APIs that harbor amide groups and nitriles are frequently chosen as the precursor group to introduce the amide moiety []. In general, enzymes are frequently incorporated in API synthesis due to their unique selectiveness [,,]. In this light, the ability of GhNHase to produce a variety of structurally diverse compounds was studied (Figure 3). Benzonitrile (2a) was chosen as a model substrate for aromatic amide precursors. Cinnamonitrile (3a), [] mandelonitrile (4a) [] and 3-amino-3-tolyl-propanenitrile (8a) [] are representatives of aryl-aliphatic nitriles. Methacrylonitrile (5a) is a small, aliphatic nitrile that is often used as a test substrate for NHase activity []. The nitrogen-containing aromatic heterocyclic compound 3-cyanopyridine (6a) is the precursor of nicotinamide (6b) []. Pyrazine-2-carbonitrile (7a), a heteroaromatic compound with two nitrogen atoms, gives pyrazine-2-carboxamide upon hydration, which is known to be an antitubercular agent []. The levetiracetam precursor 1a represents a non-aromatic heterocyclic compound. Consistent with our results in the photometric assay that was used to study inhibition phenomena (data not shown), 5a was a poor substrate of GhNHase [], and so was 4a. About 50% of 8a was converted to the respective amide under the tested conditions, indicating enantioselectivity for one of the enantiomers. GhNHase showed full conversion of the nitriles 2a, 6a and 7a, indicating a preference for substrates with the cyano group directly attached on an aromatic system. Under modified conditions, the nicotinamide precursor 6a appears to be the preferred substrate of GhNHase among the three substrates with full conversion: 2a, 6a, and 7a (Figure S5).
Figure 3. Substrate scope of GhNHase. Top: chemical structures of investigated substrates. Bottom: nitriles a (50 mM) were converted by GhNHase CFE (344 µg/mL NHase) at 25 °C and 500 rpm for 30 min. Each reaction was carried out in triplicate.

3. Materials and Methods

3.1. General

Tris was purchased from Carl Roth, Karlsruhe; IPTG from Serva Electrophoresis, Heidelberg; MAN from Fluka, Buchs; and FeSO4*7H2O from Merck, Darmstadt. 2-(Pyrrolidine-1-yl)butanenitrile was prepared according to the procedure of Orejarena Pacheco et al. []. Pyrrolidine, propanal, KCN and all other chemicals were obtained from Sigma–Aldrich, St. Louis, MO, USA, and used without further purification. GhNHase (accession numbers WP_066163464.1, WP_066163466.1 and NZ_BCWU01000002.1, for the α-subunit, β-subunit and accessory protein, respectively) was previously prepared in Escherichia coli []. A Series 1100 HPLC system equipped with a diode array detector (DAD) was used for chiral analyses (Hewlett Packard, Palo Alto, CA, USA).

3.2. Biocatalyst Preparation

E. coli BL21 Gold (DE3) cells expressing NHases were grown at 37 °C in 400 mL of LB-ampicillin (100 µg/mL) media up to an OD600 of 0.8–1.0. Protein expression was induced with 0.1 mM IPTG and 1 mM or 2.5 mM FeSO4*7H2O, 0.1 mM or 1 mM CoCl2 at 20 °C for 24 h. Cells were pelleted by centrifugation at 5000× g and 4 °C for 15 min. An amount of 25 mL of 50/40 mM Tris-butyrate buffer, pH 7.2, was used for resuspension of the cell pellet (1.2–3.0 g cell wet weight) and disrupted on ice by sonication for 6 min at 70–80% duty cycle and 7–8 output control with a Sonifier 250 (Branson, Danbury). After centrifugation for 1 h at 4 °C and 48,250× g, cell-free extracts were filtered using 0.45 µm syringe filters before being applied as biocatalyst. The PierceTM BCA Protein Assay Kit (ThermoFisher Scientific, Waltham, MA, USA) was used for determining protein concentrations.

3.3. Conversions of (R,S)-1a to (S)-1b

Cell-free extract containing GhNHase (162 µg/mL–1.08 mg/mL) was mixed with substrate solution (R,S)-1a in buffer, (40 Mm–300 mM, pH 6.5–8.5) at a total volume of 500 µL and incubated for up to 16 h at 5–50 °C and 300 rpm in Eppendorf thermomixers. The reactions were stopped by the addition of 1 mL ethanol and vortexing. After centrifugation of precipitated protein, the supernatants were analyzed by chiral HPLC on a Chiralpak AD-RH (150 × 4.6 mM, 5 µm) using Na-borate buffer, (20 mM, pH 8.5) and acetonitrile in a ratio of 70:30 as the mobile phase. The flow rate was 0.5 mL/min for 15 min. The compounds were detected at 210 nm (DAD). A calibration curve of racemic 1b (external standard) was used for quantification by linear interpolation. The enantiomeric excess was calculated with the following formula, where [R] is the peak area of the (R)-1b and [S] the peak area of (S)-1b. Retention times of (R)- and (S)-1b were 5.8 min and 6.4 min, respectively. Nitrile 1a cannot be analyzed in the same chromatography run, as it decomposes under these conditions.
e e   [ % ] = [ S ] [ R ] [ R ] + [ S ]   %
Analytical yield % of 1b was defined as the concentration of both enantiomers of 1b in relation to the concentration of the added starting material racemic 1a. The term production is used as synonym for yield.
A n a l y t i c a l   y i e l d   [ % ] = { [ ( S ) 1 b ] + [ ( R ) 1 b ] } [ ( R , S ) 1 a ] 0   %
Conversion % refers to substrate consumption and is calculated with the substrate concentration [S] at a given time and the initial substrate concentration [S]0.
C o n v e r s i o n   [ % ] = 1 [ S ] [ S ] 0   %

3.4. Enzyme Activity in the Presence of Additives

The hydration of methacrylonitrile (MAN, 5a) was monitored as described previously []. Metals were added as solutions of MnCl2, FeCl2 or FeCl3.

3.5. One-Pot Enzymatic Dynamic Kinetic Resolution by Strecker Reaction from Three Precursors

KCN (3.65 mg/mL) was dissolved in Tris-HCl buffer (300 mM, pH 7.5) and mixed with pyrrolidine (3.22 mg/mL) and propanal (4.2 µL/mL or 12.4 µL/mL). KH2PO4 (200 mM) was used to adjust the pH to 7.3. Final buffer concentrations were 150 mM Tris HCl and 100 mM potassium phosphate. Per reaction, 50 µL of cell-free extract was mixed with 450 µL of this reaction mixture. Each reaction was carried out in triplicate. The reactions proceeded at 25 °C and 500 rpm in an Eppendorf thermomixer. Reactions were terminated and analyzed as described in Section 3.2.

3.6. Chromatographic Assay for Substrate Scope Determination

The assay to explore the substrate scope of GhNHase was carried out as follows: 50 µL of cell-free extract containing GhNHase (approximately 611 µg) was mixed with 450 µL of substrate solution (final concentration 50 mM in potassium phosphate buffer, pH 7.2, and 5% of DMSO). The samples were incubated for 30 min at 25 °C and 500 rpm. The reactions were stopped by the addition of 500 µL EtOH. Precipitated protein was removed by centrifugation, and the supernatants were analyzed by HPLC-UV. Agilent Technologies 1100 Series equipped with a G1379B degasser, 1200 Series Binary pump G1312B, G1367A autosampler, G1330B autosampler thermostat, G1316A thermostated column compartment and a G1315B diode array detector (DAD) was used. The analysis was carried out with a Kinetex 2.6μ Biphenyl 100A HPLC column (Phenomenex). The mobile phases were ammonium acetate (5 mM) with 0.5% (v/v) acetic acid in water and ACN at a flow rate of 0.26 mL min−1. The following stepwise gradient was used: 5–35% ACN (5 min), 35–60% ACN (5.0–7.2 min) and 60–90% ACN (7.2–7.5 min). For quantification of compounds, calibration curves were determined at 254 nm (nitriles) or 230 nm (amides), and linear interpolation was used.

4. Conclusions

In conclusion, a virtually unexplored nitrile hydratase from Gordonia hydrophobica (GhNHase) was evaluated as a biocatalyst for the preparation of API building blocks and, in particular, for the preparation of the API levetiracetam. Focusing on a dynamic kinetic resolution strategy, the non-oxidized levetiracetam precursor molecule 2-(pyrrolidine-1-yl)butane amide was synthesized enzymatically, either starting from the racemic mixture of 2-(pyrrolidine-1-yl)butanenitrile or from an aqueous solution of pyrrolidine, propanal and KCN. Whereas analytical yields were significantly better than those described for Comamonas testosteroni nitrile hydratase (up to 60% versus up to 90%), enantiomeric excess values reached lower levels (>90% ee versus 70–80% ee). Due to higher product titers, the formation of the putative byproduct 2-hydroxybutanamide was less pronounced for GhNHase as compared to the case of the cobalt-dependent CtNHase. Conversions were strongly determined by substrate concentrations, the reaction pH and the biocatalyst amount, and these parameters also influenced the degree of selective formation of the desired (S)-configured amide. The promising activity with this heterocyclic API building block motivated us to explore the substrate scope by providing structurally diverse nitriles as substrates to GhNHase, which revealed a preference for heterocyclic nitriles. GhNHase-mediated hydration of 3-cyano-pyridine to nicotinamide was found to be the most efficient reaction, but the broad substrate tolerance of GhNHase indicates that this enzyme is a valuable addition to the limited toolbox of iron-dependent nitrile hydratases.

Supplementary Materials

The following are available online at https://www.mdpi.com/article/10.3390/catal11111287/s1.

Author Contributions

Conceptualization, K.D., H.S. and M.W.; methodology, B.G. and M.H.; formal analysis, B.G., M.H. and M.W.; investigation, B.G. and M.H.; resources, K.D.; writing—original draft preparation, M.W.; writing—review and editing, B.G., H.S., K.D., M.H.; visualization, B.G., M.H. and M.W.; supervision, M.W.; project administration, M.W. and R.G.; funding acquisition, H.S. and M.W. All authors have read and agreed to the published version of the manuscript.

Funding

The COMET center acib: Next Generation Bioproduction is funded by BMK, BMDW, SFG, Standortagentur Tirol, Government of Lower Austria und Vienna Business Agency in the framework of COMET—Competence Centers for Excellent Technologies. The COMET-Funding Program is managed by the Austrian Research Promotion Agency FFG. Open Access Funding by the Graz University of Technology.

Data Availability Statement

Data is contained within the article or supplementary material.

Acknowledgments

Open Access Funding by the Graz University of Technology. We would like to thank Karin Reicher for technical support.

Conflicts of Interest

The authors declare no conflict of interest.

References

  1. Yukl, E.T.; Wilmot, C.M. Cofactor biosynthesis through protein post-translational modification. Curr. Opin. Chem. Biol. 2012, 16, 54–59. [Google Scholar] [CrossRef] [Green Version]
  2. Asano, Y.; Yasuda, T.; Tani, Y.; Yamada, H. A New Enzymatic Method of Acrylamide Production. Agric. Biol. Chem. 1982, 46, 1183–1189. [Google Scholar] [CrossRef]
  3. Martinkova, L.; Mylerova, V. Synthetic Applications of Nitrile-Converting Enzymes. Curr. Org. Chem. 2003, 7, 1279–1295. [Google Scholar] [CrossRef]
  4. van Pelt, S.; Zhang, M.; Otten, L.G.; Holt, J.; Sorokin, D.Y.; van Rantwijk, F.; Black, G.W.; Perry, J.J.; Sheldon, R.A. Probing the enantioselectivity of a diverse group of purified cobalt-centred nitrile hydratases. Org. Biomol. Chem. 2011, 9, 3011. [Google Scholar] [CrossRef] [PubMed]
  5. Gotor, V.; Gotor-Fernández, V.; Busto, E. 7.6 Hydrolysis and Reverse Hydrolysis: Hydrolysis and Formation of Amides. In Comprehensive Chirality; Elsevier Ltd.: Amsterdam, The Netherlands, 2012; Volume 7, pp. 101–121. ISBN 9780080951683. [Google Scholar]
  6. Lin Lin Lee, V.; Kar Meng Choo, B.; Chung, Y.-S.; Kundap, U.P.; Kumari, Y.; Shaikh, M. Treatment, Therapy and Management of Metabolic Epilepsy: A Systematic Review. Int. J. Mol. Sci. 2018, 19, 871. [Google Scholar] [CrossRef] [Green Version]
  7. Lynch, B.A.; Lambeng, N.; Nocka, K.; Kensel-Hammes, P.; Bajjalieh, S.M.; Matagne, A.; Fuks, B. The synaptic vesicle is the protein SV2A is the binding site for the antiepileptic drug levetiracetam. Proc. Natl. Acad. Sci. USA 2004, 101, 9861–9866. [Google Scholar] [CrossRef] [PubMed] [Green Version]
  8. Sills, G.J.; Rogawski, M.A. Mechanisms of action of currently used antiseizure drugs. Neuropharmacology 2020, 168, 107966. [Google Scholar] [CrossRef]
  9. Lukyanetz, E.A.; Shkryl, V.M.; Kostyuk, P.G. Selective Blockade of N-Type Calcium Channels by Levetiracetam. Epilepsia 2002, 43, 9–18. [Google Scholar] [CrossRef] [PubMed]
  10. Carunchio, I.; Pieri, M.; Ciotti, M.T.; Albo, F.; Zona, C. Modulation of AMPA Receptors in Cultured Cortical Neurons Induced by the Antiepileptic Drug Levetiracetam. Epilepsia 2007, 48, 654–662. [Google Scholar] [CrossRef] [PubMed]
  11. Meehan, A.L.; Yang, X.; Yuan, L.L.; Rothman, S.M. Levetiracetam has an activity-dependent effect on inhibitory transmission. Epilepsia 2012, 53, 469–476. [Google Scholar] [CrossRef]
  12. Noyer, M.; Gillard, M.; Matagne, A.; Hénichart, J.P.; Wülfert, E. The novel antiepileptic drug levetiracetam (ucb L059) appears to act via a specific binding site in CNS membranes. Eur. J. Pharmacol. 1995, 286, 137–146. [Google Scholar] [CrossRef]
  13. Kotkar, S.P.; Sudalai, A. A short enantioselective synthesis of the antiepileptic agent, levetiracetam based on proline-catalyzed asymmetric α-aminooxylation. Tetrahedron Lett. 2006, 47, 6813–6815. [Google Scholar] [CrossRef]
  14. Arndt, S.; Grill, B.; Schwab, H.; Steinkellner, G.; Pogorevčnik, U.; Weis, D.; Nauth, A.M.; Gruber, K.; Opatz, T.; Donsbach, K.; et al. The sustainable synthesis of levetiracetam by an enzymatic dynamic kinetic resolution and an: Ex-cell anodic oxidation. Green Chem. 2021, 23, 388–395. [Google Scholar] [CrossRef]
  15. Prasad, S.; Bhalla, T.C. Nitrile hydratases (NHases): At the interface of academia and industry. Biotechnol. Adv. 2010, 28, 725–741. [Google Scholar] [CrossRef]
  16. Hopmann, K.H. Full reaction mechanism of nitrile hydratase: A cyclic intermediate and an unexpected disulfide switch. Inorg. Chem. 2014, 53, 2760–2762. [Google Scholar] [CrossRef]
  17. Petrillo, K.L.; Wu, S.; Hann, E.C.; Cooling, F.B.; Ben-Bassat, A.; Gavagan, J.E.; DiCosimo, R.; Payne, M.S. Over-expression in Escherichia coli of a thermally stable and regio-selective nitrile hydratase from Comamonas testosteroni 5-MGAM-4D. Appl. Microbiol. Biotechnol. 2005, 67, 664–670. [Google Scholar] [CrossRef] [PubMed]
  18. Grill, B.; Glänzer, M.; Schwab, H.; Steiner, K.; Pienaar, D.; Brady, D.; Donsbach, K.; Winkler, M. Functional Expression and Characterization of a Panel of Cobalt and Iron-Dependent Nitrile Hydratases. Molecules 2020, 25, 2521. [Google Scholar] [CrossRef]
  19. Přepechalová, I.; Martínková, L.; Stolz, A.; Ovesná, M.; Bezouška, K.; Kopecký, J.; Křen, V. Purification and characterization of the enantioselective nitrile hydratase from Rhodococcus equi A4. Appl. Microbiol. Biotechnol. 2001, 55, 150–156. [Google Scholar] [CrossRef] [PubMed]
  20. Pawar, S.V.; Yadav, G.D. Enantioselective Enzymatic Hydrolysis of rac- Mandelonitrile to R-Mandelamide by Nitrile Hydratase Immobilized on Poly(vinyl alcohol)/Chitosan–Glutaraldehyde Support. Ind. Eng. Chem. Res. 2014, 53, 7986–7991. [Google Scholar] [CrossRef]
  21. D’Antona, N.; Morrone, R.; Gambera, G.; Pedotti, S. Enantiorecognition of planar “metallocenic” chirality by a nitrile hydratase/amidase bienzymatic system. Org. Biomol. Chem. 2016, 14, 4393–4399. [Google Scholar] [CrossRef] [PubMed]
  22. Reisinger, C.; Osprian, I.; Glieder, A.; Schoemaker, H.E.; Griengl, H.; Schwab, H. Enzymatic hydrolysis of cyanohydrins with recombinant nitrile hydratase and amidase from Rhodococcus erythropolis. Biotechnol. Lett. 2004, 26, 1675–1680. [Google Scholar] [CrossRef]
  23. Bui, K.; Maestracci, M.; Thiery, A.; Arnaud, A.; Galzy, P. A note on the enzymic action and biosynthesis of a nitrile-hydratase from a Brevibacterium sp. J. Appl. Bacteriol. 1984, 57, 183–190. [Google Scholar] [CrossRef]
  24. Murakami, T.; Nojiri, M.; Nakayama, H.; Dohmae, N.; Takio, K.; Odaka, M.; Endo, I.; Nagamune, T.; Yohda, M. Post-translational modification is essential for catalytic activity of nitrile hydratase. Protein Sci. 2000, 9, 1024–1030. [Google Scholar] [CrossRef] [Green Version]
  25. Krammer, B.; Rumbold, K.; Tschemmernegg, M.; Pöchlauer, P.; Schwab, H. A novel screening assay for hydroxynitrile lyases suitable for high-throughput screening. J. Biotechnol. 2007, 129, 151–161. [Google Scholar] [CrossRef] [PubMed]
  26. Huang, W.; Jia, J.; Cummings, J.; Nelson, M.; Schneider, G.; Lindqvist, Y. Crystal structure of nitrile hydratase reveals a novel iron centre in a novel fold. Structure 1997, 5, 691–699. [Google Scholar] [CrossRef] [Green Version]
  27. Nagasawa, T.; Nanba, H.; Ryuno, K.; TakeuchiI, K.; Yamada, H. Nitrile hydratase of Pseudomonas chlororaphis B23. Purification and characterization. Eur. J. Biochem. 1987, 162, 691–698. [Google Scholar] [CrossRef]
  28. Tucker, J.L.; Xu, L.; Yu, W.; Scott, R.W.; Zhao, L.; Ran, N. Chemoenzymatic processes for preparation of levetiracetam. PCT Int. Appl. 2009, 9, A3. [Google Scholar]
  29. Cheng, Z.; Peplowski, L.; Cui, W.; Xia, Y.; Liu, Z.; Zhang, J.; Kobayashi, M.; Zhou, Z. Identification of key residues modulating the stereoselectivity of nitrile hydratase toward rac-mandelonitrile by semi-rational engineering. Biotechnol. Bioeng. 2018, 115, 524–535. [Google Scholar] [CrossRef]
  30. Mashweu, A.R.; Chhiba-Govindjee, V.P.; Bode, M.L.; Brady, D. Substrate Profiling of the Cobalt Nitrile Hydratase from Rhodococcus rhodochrous ATCC BAA 870. Molecules 2020, 25, 238. [Google Scholar] [CrossRef] [Green Version]
  31. Patel, R.N. Pharmaceutical Intermediates by Biocatalysis: From Fundamental Science to Industrial Applications. In Applied Biocatalysis: From Fundamental Science to Industrial Applications; Wiley-VCH Verlag GmbH & Co. KGaA: Weinheim, Germany, 2016; pp. 367–403. [Google Scholar]
  32. Arroyo, M.; de la Mata, I.; García, J.L.; Barredo, J.L. Biocatalysis for Industrial Production of Active Pharmaceutical Ingredients (APIs). In Biotechnology of Microbial Enzymes: Production, Biocatalysis and Industrial Applications; Elsevier Inc.: Amsterdam, The Netherlands, 2017; pp. 451–473. ISBN 9780128037461. [Google Scholar]
  33. Santi, M.; Sancineto, L.; Nascimento, V.; Braun Azeredo, J.; Orozco, E.V.M.; Andrade, L.H.; Gröger, H.; Santi, C. Flow Biocatalysis: A Challenging Alternative for the Synthesis of APIs and Natural Compounds. Int. J. Mol. Sci. 2021, 22, 990. [Google Scholar] [CrossRef]
  34. Cowan, D.; Cramp, R.; Pereira, R.; Graham, D.; Almatawah, Q. Biochemistry and biotechnology of mesophilic and thermophilic nitrile metabolizing enzymes. Extremophiles 1998, 2, 207–216. [Google Scholar] [CrossRef] [PubMed]
  35. Chhiba, V.; Bode, M.L.; Mathiba, K.; Kwezi, W.; Brady, D. Enantioselective biocatalytic hydrolysis of β-aminonitriles to β-amino-amides using Rhodococcus rhodochrous ATCC BAA-870. J. Mol. Catal. B Enzym. 2012, 76, 68–74. [Google Scholar] [CrossRef]
  36. Nagasawa, T.; Mathew, C.D.; Mauger, J.; Yamada, H. Nitrile Hydratase-Catalyzed Production of Nicotinamide from 3-Cyanopyridine in Rhodococcus rhodochrous J1. Appl. Environ. Microbiol. 1988, 54, 1766–1769. [Google Scholar] [CrossRef] [PubMed] [Green Version]
  37. Zhou, S.; Yang, S.; Huang, G. Design, synthesis and biological activity of pyrazinamide derivatives for anti-Mycobacterium tuberculosis. J. Enzyme Inhib. Med. Chem. 2017, 32, 1183–1186. [Google Scholar] [CrossRef] [PubMed] [Green Version]
  38. Orejanrena Pacheco, J.C.; Opatz, T. NEXT Ring Expansion of 1,2,3,4-Tetrahydroisoquinolines to Dibenzo[c,f]azonines. An Unexpected [1,4]-Sigmatropic Rearrangement of Nitrile-Stabilized Ammonium Ylides. J. Org. Chem. 2014, 79, 5182–5192. [Google Scholar] [CrossRef] [PubMed]
Publisher’s Note: MDPI stays neutral with regard to jurisdictional claims in published maps and institutional affiliations.

Article Metrics

Citations

Article Access Statistics

Multiple requests from the same IP address are counted as one view.