New Insights into Prostate Cancer Susceptibility in European Caucasians: A Systematic Review and Meta-Analysis of CYP3A4 Pharmacogene
Simple Summary
Abstract
1. Introduction
2. Materials and Methods
2.1. CYPA3A4 SNP Reporting and Literature Search
(CYP3A4) and (Prostate Cancer)
2.2. Eligibility and Identification of Relevant Studies
2.3. Data Extraction
2.4. Statistical Analysis
3. Results
3.1. Identification of CYP3A4 SNPs
3.2. Study Selection and Characteristics of Literature
3.3. Quantitative Synthesis
3.4. Evaluation of Heterogeneity Among Studies
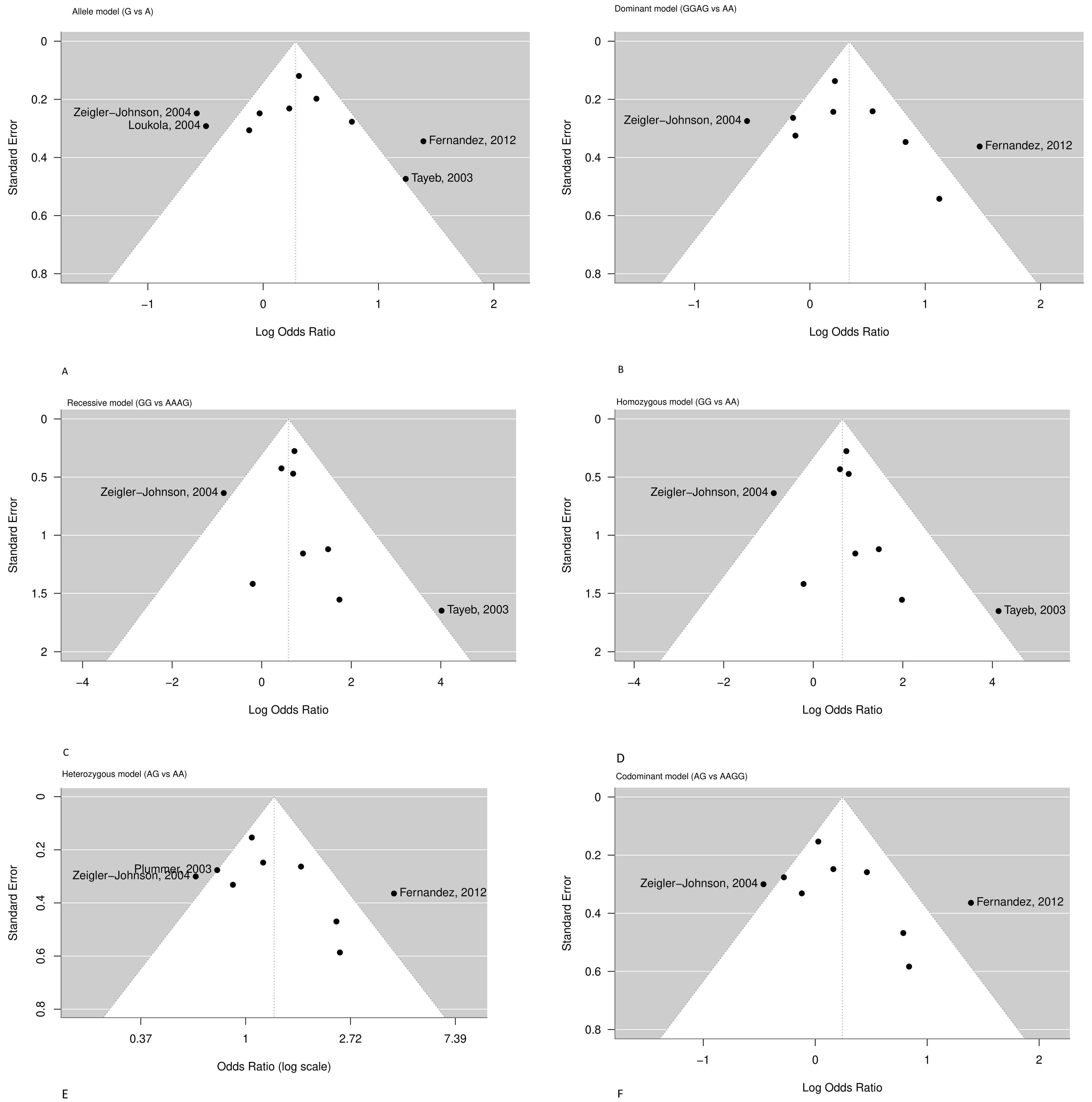
3.5. Publication Bias
4. Discussion
5. Conclusions
Supplementary Materials
Author Contributions
Funding
Institutional Review Board Statement
Informed Consent Statement
Data Availability Statement
Acknowledgments
Conflicts of Interest
References
- Bray, F.; Laversanne, M.; Sung, H.; Ferlay, J.; Siegel, R.L.; Soerjomataram, I.; Jemal, A. Global cancer statistics 2022: GLOBOCAN estimates of incidence and mortality worldwide for 36 cancers in 185 countries. CA Cancer J. Clin. 2024, 74, 229–263. [Google Scholar] [CrossRef] [PubMed]
- Du, X.L.; Gao, D.; Li, Z. Incidence trends in prostate cancer among men in the United States from 2000 to 2020 by race and ethnicity, age and tumor stage. Front. Oncol. 2023, 13, 1292577. [Google Scholar] [CrossRef]
- Merrill, R.M. Prostate cancer incidence rates, trends, and treatment related to prostate-specific antigen screening recommendations in the United States. Cancer Epidemiol. 2024, 93, 102700. [Google Scholar] [CrossRef]
- Johansson, A.; Skog, A.; Johannesen, T.B.; Myklebust, T.A.; Konig, S.M.; Skovlund, C.W.; Morch, L.S.; Friis, S.; Kristiansen, M.F.; Pettersson, D.; et al. Changes in cancer incidence and stage during the COVID-19 pandemic in 2020–2021 in the Nordic countries. Acta Oncol. 2025, 64, 257–266. [Google Scholar] [CrossRef]
- Mangone, L.; Marinelli, F.; Bisceglia, I.; Filice, A.; Braghiroli, M.B.; Roncaglia, F.; Palicelli, A.; Morabito, F.; Neri, A.; Sabbatini, R.; et al. Impact of the COVID-19 Pandemic on Prostate Cancer Diagnosis, Staging, and Treatment: A Population-Based Study in Northern Italy. Biology 2024, 13, 499. [Google Scholar] [CrossRef]
- Tayeb, M.T.; Clark, C.; Haites, N.E.; Sharp, L.; Murray, G.I.; McLeod, H.L. CYP3A4 and VDR gene polymorphisms and the risk of prostate cancer in men with benign prostate hyperplasia. Br. J. Cancer 2003, 88, 928–932. [Google Scholar] [CrossRef]
- Plochocki, A.; King, B. Medical Treatment of Benign Prostatic Hyperplasia. Urol. Clin. N. Am. 2022, 49, 231–238. [Google Scholar] [CrossRef]
- Guo, Z.; He, J.; Huang, L.; Wang, Z.; Hu, P.; Wang, S.; Bai, Z.; Pan, J. Prevalence and risk factors of incidental prostate cancer in certain surgeries for benign prostatic hyperplasia: A systematic review and meta-analysis. Int. Braz. J. Urol. 2022, 48, 915–929. [Google Scholar] [CrossRef] [PubMed]
- Huang, H.; Hu, Z.; Chen, Z.; Zhang, Y.; Yang, C. Genetically predicted benign prostate hyperplasia causally affects prostate cancer: A two-sample Mendelian randomization. Transl. Androl. Urol. 2025, 14, 661–668. [Google Scholar] [CrossRef] [PubMed]
- Huang, J.; Sun, J.; Wang, K.; Zheng, L.; Fan, Y.; Qian, B. Causal relationship between prostatic diseases and prostate cancer: A mendelian randomization study. BMC Cancer 2024, 24, 774. [Google Scholar] [CrossRef]
- Dai, X.; Fang, X.; Ma, Y.; Xianyu, J. Benign Prostatic Hyperplasia and the Risk of Prostate Cancer and Bladder Cancer: A Meta-Analysis of Observational Studies. Medicine 2016, 95, e3493. [Google Scholar] [CrossRef]
- Bostwick, D.G.; Burke, H.B.; Djakiew, D.; Euling, S.; Ho, S.M.; Landolph, J.; Morrison, H.; Sonawane, B.; Shifflett, T.; Waters, D.J.; et al. Human prostate cancer risk factors. Cancer 2004, 101, 2371–2490. [Google Scholar] [CrossRef]
- Enwald, M.; Lehtimaki, T.; Mishra, P.P.; Mononen, N.; Murtola, T.J.; Raitoharju, E. Human Prostate Tissue MicroRNAs and Their Predicted Target Pathways Linked to Prostate Cancer Risk Factors. Cancers 2021, 13, 3537. [Google Scholar] [CrossRef]
- Gandaglia, G.; Leni, R.; Bray, F.; Fleshner, N.; Freedland, S.J.; Kibel, A.; Stattin, P.; Van Poppel, H.; La Vecchia, C. Epidemiology and Prevention of Prostate Cancer. Eur. Urol. Oncol. 2021, 4, 877–892. [Google Scholar] [CrossRef] [PubMed]
- Vieira, G.M.; Gellen, L.P.A.; da Veiga Borges Leal, D.F.; Pastana, L.F.; Vinagre, L.; Aquino, V.T.; Fernandes, M.R.; de Assumpcao, P.P.; Burbano, R.M.R.; Dos Santos, S.E.B.; et al. Correlation between Genomic Variants and Worldwide Epidemiology of Prostate Cancer. Genes 2022, 13, 1039. [Google Scholar] [CrossRef]
- Hernandez-Perez, J.G.; Torres-Sanchez, L.; Hernandez-Alcaraz, C.; Lopez-Carrillo, L.; Rodriguez-Covarrubias, F.; Vazquez-Salas, R.A.; Galvan-Portillo, M. Metabolic Syndrome and Prostate Cancer Risk: A Population Case-control Study. Arch. Med. Res. 2022, 53, 594–602. [Google Scholar] [CrossRef]
- Motterle, G.; de Zorzi, L.; Zecchini, G.; Mandato, F.G.; Ferraioli, G.; Bianco, M.; Zanovello, N. Metabolic syndrome and risk of prostate cancer: A systematic review and meta-analysis. Panminerva Med. 2022, 64, 337–343. [Google Scholar] [CrossRef] [PubMed]
- Lavalette, C.; Cordina-Duverger, E.; Rebillard, X.; Lamy, P.J.; Tretarre, B.; Cenee, S.; Menegaux, F. Diabetes, metabolic syndrome and prostate cancer risk: Results from the EPICAP case-control study. Cancer Epidemiol. 2022, 81, 102281. [Google Scholar] [CrossRef] [PubMed]
- Magura, L.; Blanchard, R.; Hope, B.; Beal, J.R.; Schwartz, G.G.; Sahmoun, A.E. Hypercholesterolemia and prostate cancer: A hospital-based case-control study. Cancer Causes Control 2008, 19, 1259–1266. [Google Scholar] [CrossRef]
- Arthur, R.; Moller, H.; Garmo, H.; Haggstrom, C.; Holmberg, L.; Stattin, P.; Malmstrom, H.; Lambe, M.; Hammar, N.; Walldius, G.; et al. Serum glucose, triglycerides, and cholesterol in relation to prostate cancer death in the Swedish AMORIS study. Cancer Causes Control 2019, 30, 195–206. [Google Scholar] [CrossRef]
- Murtola, T.J.; Kasurinen, T.V.J.; Talala, K.; Taari, K.; Tammela, T.L.J.; Auvinen, A. Serum cholesterol and prostate cancer risk in the Finnish randomized study of screening for prostate cancer. Prostate Cancer Prostatic Dis. 2019, 22, 66–76. [Google Scholar] [CrossRef]
- YuPeng, L.; YuXue, Z.; PengFei, L.; Cheng, C.; YaShuang, Z.; DaPeng, L.; Chen, D. Cholesterol Levels in Blood and the Risk of Prostate Cancer: A Meta-analysis of 14 Prospective Studies. Cancer Epidemiol. Biomark. Prev. 2015, 24, 1086–1093. [Google Scholar] [CrossRef]
- Babcook, M.A.; Joshi, A.; Montellano, J.A.; Shankar, E.; Gupta, S. Statin Use in Prostate Cancer: An Update. Nutr. Metab. Insights 2016, 9, 43–50. [Google Scholar] [CrossRef] [PubMed]
- Pelucchi, C.; Serraino, D.; Negri, E.; Montella, M.; Dellanoce, C.; Talamini, R.; La Vecchia, C. The metabolic syndrome and risk of prostate cancer in Italy. Ann. Epidemiol. 2011, 21, 835–841. [Google Scholar] [CrossRef]
- Polesel, J.; Gini, A.; Dal Maso, L.; Stocco, C.; Birri, S.; Taborelli, M.; Serraino, D.; Zucchetto, A. The impact of diabetes and other metabolic disorders on prostate cancer prognosis. J. Diabetes Complicat. 2016, 30, 591–596. [Google Scholar] [CrossRef] [PubMed]
- Auchus, R.J.; Sharifi, N. Sex Hormones and Prostate Cancer. Annu. Rev. Med. 2020, 71, 33–45. [Google Scholar] [CrossRef] [PubMed]
- Kim, W.; Ryan, C.J. Friend or foe: The bifunctional role of steroid hormones in prostate cancer. Oncology 2014, 28, 408, 410. [Google Scholar]
- Robles-Fernandez, I.; Martinez-Gonzalez, L.J.; Pascual-Geler, M.; Cozar, J.M.; Puche-Sanz, I.; Serrano, M.J.; Lorente, J.A.; Alvarez-Cubero, M.J. Association between polymorphisms in sex hormones synthesis and metabolism and prostate cancer aggressiveness. PLoS ONE 2017, 12, e0185447. [Google Scholar] [CrossRef]
- Signorello, L.B.; Tzonou, A.; Mantzoros, C.S.; Lipworth, L.; Lagiou, P.; Hsieh, C.; Stampfer, M.; Trichopoulos, D. Serum steroids in relation to prostate cancer risk in a case-control study (Greece). Cancer Causes Control 1997, 8, 632–636. [Google Scholar] [CrossRef]
- Pimenta, R.; Camargo, J.A.; Candido, P.; Ghazarian, V.; Goncalves, G.L.; Guimaraes, V.R.; Romao, P.; Chiovatto, C.; Mioshi, C.M.; Dos Santos, G.A.; et al. Cholesterol Triggers Nuclear Co-Association of Androgen Receptor, p160 Steroid Coactivators, and p300/CBP-Associated Factor Leading to Androgenic Axis Transactivation in Castration-Resistant Prostate Cancer. Cell. Physiol. Biochem. 2022, 56, 1–15. [Google Scholar] [CrossRef]
- Siltari, A.; Syvala, H.; Lou, Y.R.; Gao, Y.; Murtola, T.J. Role of Lipids and Lipid Metabolism in Prostate Cancer Progression and the Tumor’s Immune Environment. Cancers 2022, 14, 4293. [Google Scholar] [CrossRef] [PubMed]
- Mehralivand, S.; Thomas, C.; Puhr, M.; Claessens, F.; van de Merbel, A.F.; Dubrovska, A.; Jenster, G.; Bernemann, C.; Sommer, U.; Erb, H.H.H. New advances of the androgen receptor in prostate cancer: Report from the 1st International Androgen Receptor Symposium. J. Transl. Med. 2024, 22, 71. [Google Scholar] [CrossRef] [PubMed]
- Kairemo, K.; Hodolic, M. Androgen Receptor Imaging in the Management of Hormone-Dependent Cancers with Emphasis on Prostate Cancer. Int. J. Mol. Sci. 2023, 24, 8235. [Google Scholar] [CrossRef] [PubMed]
- Pejcic, T.; Todorovic, Z.; Durasevic, S.; Popovic, L. Mechanisms of Prostate Cancer Cells Survival and Their Therapeutic Targeting. Int. J. Mol. Sci. 2023, 24, 2939. [Google Scholar] [CrossRef]
- Wadosky, K.M.; Koochekpour, S. Therapeutic Rationales, Progresses, Failures, and Future Directions for Advanced Prostate Cancer. Int. J. Biol. Sci. 2016, 12, 409–426. [Google Scholar] [CrossRef]
- Messner, E.A.; Steele, T.M.; Tsamouri, M.M.; Hejazi, N.; Gao, A.C.; Mudryj, M.; Ghosh, P.M. The Androgen Receptor in Prostate Cancer: Effect of Structure, Ligands and Spliced Variants on Therapy. Biomedicines 2020, 8, 422. [Google Scholar] [CrossRef]
- McEwan, I.J.; Brinkmann, A.O. Androgen Physiology: Receptor and Metabolic Disorders. In Endotext; Feingold, K.R., Anawalt, B., Blackman, M.R., Boyce, A., Chrousos, G., Corpas, E., de Herder, W.W., Dhatariya, K., Dungan, K., Hofland, J., et al., Eds.; MDText.com, Inc.: South Dartmouth, MA, USA, 2000. [Google Scholar]
- Likos, E.; Bhattarai, A.; Weyman, C.M.; Shukla, G.C. The androgen receptor messenger RNA: What do we know? RNA Biol. 2022, 19, 819–828. [Google Scholar] [CrossRef]
- Singh, A.S.; Chau, C.H.; Price, D.K.; Figg, W.D. Mechanisms of disease: Polymorphisms of androgen regulatory genes in the development of prostate cancer. Nat. Clin. Pract. Urol. 2005, 2, 101–107. [Google Scholar] [CrossRef]
- Mohan, R. Prostate Cancer: Leading-Edge Diagnostic Procedures and Treatments; BoD—Books on Demand: Norderstedt, Germany, 2016. [Google Scholar]
- Bellah, S.F.; Salam, M.A.; Billah, S.M.S.; Karim, M.R. Genetic association in CYP3A4 and CYP3A5 genes elevate the risk of prostate cancer. Ann. Hum. Biol. 2023, 50, 63–74. [Google Scholar] [CrossRef]
- Nassar, G.N.; Leslie, S.W. Physiology, Testosterone. In StatPearls; StatPearls Publishing: Treasure Island, FL, USA, 2024. [Google Scholar]
- Salerno, M.; Cascio, O.; Bertozzi, G.; Sessa, F.; Messina, A.; Monda, V.; Cipolloni, L.; Biondi, A.; Daniele, A.; Pomara, C. Anabolic androgenic steroids and carcinogenicity focusing on Leydig cell: A literature review. Oncotarget 2018, 9, 19415–19426. [Google Scholar] [CrossRef]
- Escobar-Wilches, D.C.; Ventura-Bahena, A.; de Lourdes Lopez-Gonzalez, M.; Torres-Sanchez, L.; Figueroa, M.; Sierra-Santoyo, A. Analysis of testosterone-hydroxylated metabolites in human urine by ultra high performance liquid chromatography-Mass Spectrometry. Anal. Biochem. 2020, 597, 113670. [Google Scholar] [CrossRef] [PubMed]
- Kaipainen, A.; Zhang, A.; Gil da Costa, R.M.; Lucas, J.; Marck, B.; Matsumoto, A.M.; Morrissey, C.; True, L.D.; Mostaghel, E.A.; Nelson, P.S. Testosterone accumulation in prostate cancer cells is enhanced by facilitated diffusion. Prostate 2019, 79, 1530–1542. [Google Scholar] [CrossRef]
- Paunikar, V.M.; Barapatre, S.A. Relationship between endogenous testosterone and prostate carcinoma. J. Fam. Med. Prim. Care 2022, 11, 3735–3739. [Google Scholar] [CrossRef] [PubMed]
- Maharani, R.; Lestari, H.; Dewa, P.M.; Yudisthira, D.; Amar, N.; Daryanto, B. A comprehensive systematic review of studies on the potential of A49T and V89L polymorphism in SRD5AR2 as high susceptibility gene association with benign prostate hyperplasia and prostate cancer. Arch. Ital. Urol. Androl. 2025, 97, 13318. [Google Scholar] [CrossRef] [PubMed]
- Swerdloff, R.S.; Dudley, R.E.; Page, S.T.; Wang, C.; Salameh, W.A. Dihydrotestosterone: Biochemistry, Physiology, and Clinical Implications of Elevated Blood Levels. Endocr. Rev. 2017, 38, 220–254. [Google Scholar] [CrossRef]
- Ferrari, M.G.; Jimenez-Uribe, A.; Mansini, A.P. Factors Involved in Prostate Cancer Disparity in African Americans: From Health System to Molecular Mechanisms. Fortune J. Health Sci. 2024, 7, 690–700. [Google Scholar] [CrossRef]
- Lawrentschuk, N.; Ptasznik, G.; Ong, S. Benign Prostate Disorders. In Endotext; Feingold, K.R., Ahmed, S.F., Anawalt, B., Blackman, M.R., Boyce, A., Chrousos, G., Corpas, E., de Herder, W.W., Dhatariya, K., Dungan, K., et al., Eds.; MDText.com, Inc.: South Dartmouth, MA, USA, 2000. [Google Scholar]
- Shibata, K.; Hirasawa, A.; Moriyama, N.; Kawabe, K.; Ogawa, S.; Tsujimoto, G. Alpha 1a-adrenoceptor polymorphism: Pharmacological characterization and association with benign prostatic hypertrophy. Br. J. Pharmacol. 1996, 118, 1403–1408. [Google Scholar] [CrossRef]
- Di Nardo, G.; Zhang, C.; Marcelli, A.G.; Gilardi, G. Molecular and Structural Evolution of Cytochrome P450 Aromatase. Int. J. Mol. Sci. 2021, 22, 631. [Google Scholar] [CrossRef]
- Molehin, D.; Rasha, F.; Rahman, R.L.; Pruitt, K. Regulation of aromatase in cancer. Mol. Cell. Biochem. 2021, 476, 2449–2464. [Google Scholar] [CrossRef]
- Vickman, R.E.; Franco, O.E.; Moline, D.C.; Vander Griend, D.J.; Thumbikat, P.; Hayward, S.W. The role of the androgen receptor in prostate development and benign prostatic hyperplasia: A review. Asian J. Urol. 2020, 7, 191–202. [Google Scholar] [CrossRef]
- Luu-The, V.; Belanger, A.; Labrie, F. Androgen biosynthetic pathways in the human prostate. Best. Pract. Res. Clin. Endocrinol. Metab. 2008, 22, 207–221. [Google Scholar] [CrossRef]
- Pejcic, T.; Tosti, T.; Tesic, Z.; Milkovic, B.; Dragicevic, D.; Kozomara, M.; Cekerevac, M.; Dzamic, Z. Testosterone and dihydrotestosterone levels in the transition zone correlate with prostate volume. Prostate 2017, 77, 1082–1092. [Google Scholar] [CrossRef]
- Jacob, A.; Raj, R.; Allison, D.B.; Myint, Z.W. Androgen Receptor Signaling in Prostate Cancer and Therapeutic Strategies. Cancers 2021, 13, 5417. [Google Scholar] [CrossRef] [PubMed]
- Abdulrahman, M.A.; Marbut, M.M. Determination of PSA, DHT, IL-8, TNF-α and serum Testosterone in patients with benign prostate hyperplasia in Samarra city. J. Al-Farabi Med. Sci. 2025, 3, 5–7. [Google Scholar]
- Maksymchuk, O.; Gerashchenko, G.; Rosohatska, I.; Kononenko, O.; Tymoshenko, A.; Stakhovsky, E.; Kashuba, V. Cytochrome P450 genes expression in human prostate cancer. Mol. Genet. Metab. Rep. 2024, 38, 101049. [Google Scholar] [CrossRef] [PubMed]
- Liang, Y.; Han, W.; Yan, H.; Mao, Q. Association of CYP3A5*3 polymorphisms and prostate cancer risk: A meta-analysis. J. Cancer Res. Ther. 2018, 14, S463–S467. [Google Scholar] [CrossRef]
- Pagoni, M.; Zogopoulos, V.L.; Kontogiannis, S.; Tsolakou, A.; Zoumpourlis, V.; Tsangaris, G.T.; Fokaefs, E.; Michalopoulos, I.; Tsatsakis, A.M.; Drakoulis, N. Integrated Pharmacogenetic Signature for the Prediction of Prostatic Neoplasms in Men with Metabolic Disorders. Cancer Genom. Proteom. 2025, 22, 285–305. [Google Scholar] [CrossRef]
- Fujimura, T.; Takahashi, S.; Urano, T.; Tanaka, T.; Zhang, W.; Azuma, K.; Takayama, K.; Obinata, D.; Murata, T.; Horie-Inoue, K.; et al. Clinical significance of steroid and xenobiotic receptor and its targeted gene CYP3A4 in human prostate cancer. Cancer Sci. 2012, 103, 176–180. [Google Scholar] [CrossRef]
- Klein, K.; Zanger, U.M. Pharmacogenomics of Cytochrome P450 3A4: Recent Progress Toward the “Missing Heritability” Problem. Front. Genet. 2013, 4, 12. [Google Scholar] [CrossRef]
- Zhang, Y.; Wang, Z.; Wang, Y.; Jin, W.; Zhang, Z.; Jin, L.; Qian, J.; Zheng, L. CYP3A4 and CYP3A5: The crucial roles in clinical drug metabolism and the significant implications of genetic polymorphisms. PeerJ 2024, 12, e18636. [Google Scholar] [CrossRef] [PubMed]
- Luo, G.; Guenthner, T.; Gan, L.S.; Humphreys, W.G. CYP3A4 induction by xenobiotics: Biochemistry, experimental methods and impact on drug discovery and development. Curr. Drug Metab. 2004, 5, 483–505. [Google Scholar] [CrossRef] [PubMed]
- Olack, E.M.; Heintz, M.M.; Baldwin, W.S. Dataset of endo- and xenobiotic inhibition of CYP2B6: Comparison to CYP3A4. Data Brief. 2022, 41, 108013. [Google Scholar] [CrossRef] [PubMed]
- Stouras, I.; Papaioannou, T.G.; Tsioufis, K.; Eliopoulos, A.G.; Sanoudou, D. The Challenge and Importance of Integrating Drug-Nutrient-Genome Interactions in Personalized Cardiovascular Healthcare. J. Pers. Med. 2022, 12, 513. [Google Scholar] [CrossRef]
- Klyushova, L.S.; Perepechaeva, M.L.; Grishanova, A.Y. The Role of CYP3A in Health and Disease. Biomedicines 2022, 10, 2686. [Google Scholar] [CrossRef]
- Mokhosoev, I.M.; Astakhov, D.V.; Terentiev, A.A.; Moldogazieva, N.T. Human Cytochrome P450 Cancer-Related Metabolic Activities and Gene Polymorphisms: A Review. Cells 2024, 13, 1958. [Google Scholar] [CrossRef]
- McSweeney, S.; Bergom, H.E.; Prizment, A.; Halabi, S.; Sharifi, N.; Ryan, C.; Hwang, J. Regulatory genes in the androgen production, uptake and conversion (APUC) pathway in advanced prostate cancer. Endocr. Oncol. 2022, 2, R51–R64. [Google Scholar] [CrossRef] [PubMed]
- Guttman, Y.; Nudel, A.; Kerem, Z. Polymorphism in Cytochrome P450 3A4 Is Ethnicity Related. Front. Genet. 2019, 10, 224. [Google Scholar] [CrossRef]
- Oscarson, M.; Ingelman-Sundberg, M. CYPalleles: A web page for nomenclature of human cytochrome P450 alleles. Drug Metab. Pharmacokinet. 2002, 17, 491–495. [Google Scholar] [CrossRef]
- Hernández-Lorca, M.; Timón, I.M.; Ballester, P.; Henarejos-Escudero, P.; García-Muñoz, A.M.; Victoria-Montesinos, D.; Barcina-Pérez, P. Dietary Modulation of CYP3A4 and Its Impact on Statins and Antidiabetic Drugs: A Narrative Review. Pharmaceuticals 2025, 18, 1351. [Google Scholar] [CrossRef]
- Cariaso, M.; Lennon, G. SNPedia: A wiki supporting personal genome annotation, interpretation and analysis. Nucleic Acids Res. 2012, 40, D1308–D1312. [Google Scholar] [CrossRef]
- Haddaway, N.R.; Page, M.J.; Pritchard, C.C.; McGuinness, L.A. PRISMA2020: An R package and Shiny app for producing PRISMA 2020-compliant flow diagrams, with interactivity for optimised digital transparency and Open Synthesis. Campbell Syst. Rev. 2022, 18, e1230. [Google Scholar] [CrossRef]
- Higgins, J.P.; Thompson, S.G. Quantifying heterogeneity in a meta-analysis. Stat. Med. 2002, 21, 1539–1558. [Google Scholar] [CrossRef] [PubMed]
- Higgins, J.P.; Thompson, S.G.; Deeks, J.J.; Altman, D.G. Measuring inconsistency in meta-analyses. BMJ 2003, 327, 557–560. [Google Scholar] [CrossRef]
- Lee, Y.H. Meta-analysis of genetic association studies. Ann. Lab. Med. 2015, 35, 283–287. [Google Scholar] [CrossRef]
- Dettori, J.R.; Norvell, D.C.; Chapman, J.R. Fixed-Effect vs Random-Effects Models for Meta-Analysis: 3 Points to Consider. Glob. Spine J. 2022, 12, 1624–1626. [Google Scholar] [CrossRef]
- Bangsi, D.; Zhou, J.; Sun, Y.; Patel, N.P.; Darga, L.L.; Heilbrun, L.K.; Powell, I.J.; Severson, R.K.; Everson, R.B. Impact of a genetic variant in CYP3A4 on risk and clinical presentation of prostate cancer among white and African-American men. Urol. Oncol. 2006, 24, 21–27. [Google Scholar] [CrossRef]
- Viechtbauer, W. Conducting Meta-Analyses in R with the metafor Package. J. Stat. Softw. 2010, 36, 1–48. [Google Scholar] [CrossRef]
- Rebbeck, T.R.; Jaffe, J.M.; Walker, A.H.; Wein, A.J.; Malkowicz, S.B. Modification of clinical presentation of prostate tumors by a novel genetic variant in CYP3A4. J. Natl. Cancer Inst. 1998, 90, 1225–1229. [Google Scholar] [CrossRef]
- Westlind, A.; Lofberg, L.; Tindberg, N.; Andersson, T.B.; Ingelman-Sundberg, M. Interindividual differences in hepatic expression of CYP3A4: Relationship to genetic polymorphism in the 5′-upstream regulatory region. Biochem. Biophys. Res. Commun. 1999, 259, 201–205. [Google Scholar] [CrossRef] [PubMed]
- Nogal, A.; Coelho, A.; Catarino, R.; Morais, A.; Lobo, F.; Medeiros, R. The CYP3A4*1B polymorphism and prostate cancer susceptibility in a Portuguese population. Cancer Genet. Cytogenet. 2007, 177, 149–152. [Google Scholar] [CrossRef] [PubMed]
- Fernandez, P.; Zeigler-Johnson, C.M.; Spangler, E.; van der Merwe, A.; Jalloh, M.; Gueye, S.M.; Rebbeck, T.R. Androgen Metabolism Gene Polymorphisms, Associations with Prostate Cancer Risk and Pathological Characteristics: A Comparative Analysis between South African and Senegalese Men. Prostate Cancer 2012, 2012, 798634. [Google Scholar] [CrossRef]
- Page, M.J.; McKenzie, J.E.; Bossuyt, P.M.; Boutron, I.; Hoffmann, T.C.; Mulrow, C.D.; Shamseer, L.; Tetzlaff, J.M.; Akl, E.A.; Brennan, S.E.; et al. The PRISMA 2020 statement: An updated guideline for reporting systematic reviews. PLoS Med. 2021, 18, e1003583. [Google Scholar] [CrossRef]
- Kittles, R.A.; Chen, W.; Panguluri, R.K.; Ahaghotu, C.; Jackson, A.; Adebamowo, C.A.; Griffin, R.; Williams, T.; Ukoli, F.; Adams-Campbell, L.; et al. CYP3A4-V and prostate cancer in African Americans: Causal or confounding association because of population stratification? Hum. Genet. 2002, 110, 553–560. [Google Scholar] [CrossRef]
- Zeigler-Johnson, C.; Friebel, T.; Walker, A.H.; Wang, Y.; Spangler, E.; Panossian, S.; Patacsil, M.; Aplenc, R.; Wein, A.J.; Malkowicz, S.B.; et al. CYP3A4, CYP3A5, and CYP3A43 genotypes and haplotypes in the etiology and severity of prostate cancer. Cancer Res. 2004, 64, 8461–8467. [Google Scholar] [CrossRef]
- Plummer, S.J.; Conti, D.V.; Paris, P.L.; Curran, A.P.; Casey, G.; Witte, J.S. CYP3A4 and CYP3A5 genotypes, haplotypes, and risk of prostate cancer. Cancer Epidemiol. Biomark. Prev. 2003, 12, 928–932. [Google Scholar]
- Agalliu, I.; Salinas, C.A.; Hansten, P.D.; Ostrander, E.A.; Stanford, J.L. Statin use and risk of prostate cancer: Results from a population-based epidemiologic study. Am. J. Epidemiol. 2008, 168, 250–260. [Google Scholar] [CrossRef]
- Loukola, A.; Chadha, M.; Penn, S.G.; Rank, D.; Conti, D.V.; Thompson, D.; Cicek, M.; Love, B.; Bivolarevic, V.; Yang, Q.; et al. Comprehensive evaluation of the association between prostate cancer and genotypes/haplotypes in CYP17A1, CYP3A4, and SRD5A2. Eur. J. Hum. Genet. 2004, 12, 321–332. [Google Scholar] [CrossRef][Green Version]
- Rodrigues, I.S.; Kuasne, H.; Losi-Guembarovski, R.; Fuganti, P.E.; Gregorio, E.P.; Kishima, M.O.; Ito, K.; de Freitas Rodrigues, M.A.; de Syllos Colus, I.M. Evaluation of the influence of polymorphic variants CYP1A1 2B, CYP1B1 2, CYP3A4 1B, GSTM1 0, and GSTT1 0 in prostate cancer. Urol. Oncol. 2011, 29, 654–663. [Google Scholar] [CrossRef] [PubMed]
- Lamba, J.K.; Lin, Y.S.; Schuetz, E.G.; Thummel, K.E. Genetic contribution to variable human CYP3A-mediated metabolism. Adv. Drug Deliv. Rev. 2002, 54, 1271–1294. [Google Scholar] [CrossRef]
- Garsa, A.A.; McLeod, H.L.; Marsh, S. CYP3A4 and CYP3A5 genotyping by Pyrosequencing. BMC Med. Genet. 2005, 6, 19. [Google Scholar] [CrossRef] [PubMed][Green Version]
- He, X.F.; Liu, Z.Z.; Xie, J.J.; Wang, W.; Du, Y.P.; Chen, Y.; Wei, W. Association between the CYP3A4 and CYP3A5 polymorphisms and cancer risk: A meta-analysis and meta-regression. Tumour Biol. 2014, 35, 9859–9877. [Google Scholar] [CrossRef]
- Tavira, B.; Coto, E.; Diaz-Corte, C.; Ortega, F.; Arias, M.; Torres, A.; Diaz, J.M.; Selgas, R.; Lopez-Larrea, C.; Campistol, J.M.; et al. Pharmacogenetics of tacrolimus after renal transplantation: Analysis of polymorphisms in genes encoding 16 drug metabolizing enzymes. Clin. Chem. Lab. Med. 2011, 49, 825–833. [Google Scholar] [CrossRef]
- Saiz-Rodriguez, M.; Almenara, S.; Navares-Gomez, M.; Ochoa, D.; Roman, M.; Zubiaur, P.; Koller, D.; Santos, M.; Mejia, G.; Borobia, A.M.; et al. Effect of the Most Relevant CYP3A4 and CYP3A5 Polymorphisms on the Pharmacokinetic Parameters of 10 CYP3A Substrates. Biomedicines 2020, 8, 94. [Google Scholar] [CrossRef]
- Tayeb, M.; Clark, C.; Sharp, L.; Haites, N.; Rooney, P.; Murray, G.; Payne, S.; McLeod, H. CYP3A4 promoter variant is associated with prostate cancer risk in men with benign prostate hyperplasia. Oncol. Rep. 2002, 9, 653–655. [Google Scholar] [CrossRef]
- Zhou, L.P.; Yao, F.; Luan, H.; Wang, Y.L.; Dong, X.H.; Zhou, W.W.; Wang, Q.H. CYP3A4*1B polymorphism and cancer risk: A HuGE review and meta-analysis. Tumour Biol. 2013, 34, 649–660. [Google Scholar] [CrossRef] [PubMed]
- Keshava, C.; McCanlies, E.C.; Weston, A. CYP3A4 polymorphisms--potential risk factors for breast and prostate cancer: A HuGE review. Am. J. Epidemiol. 2004, 160, 825–841. [Google Scholar] [CrossRef]
- Walker, A.H.; Jaffe, J.M.; Gunasegaram, S.; Cummings, S.A.; Huang, C.S.; Chern, H.D.; Olopade, O.I.; Weber, B.L.; Rebbeck, T.R. Characterization of an allelic variant in the nifedipine-specific element of CYP3A4: Ethnic distribution and implications for prostate cancer risk. Mutations in brief no. 191. Online. Hum. Mutat. 1998, 12, 289. [Google Scholar] [PubMed]
- Amirimani, B.; Ning, B.; Deitz, A.C.; Weber, B.L.; Kadlubar, F.F.; Rebbeck, T.R. Increased transcriptional activity of the CYP3A4*1B promoter variant. Environ. Mol. Mutagen. 2003, 42, 299–305. [Google Scholar] [CrossRef] [PubMed]
- Wang, F.; Zhang, X.; Wang, Y.; Chen, Y.; Lu, H.; Meng, X.; Ye, X.; Chen, W. Activation/Inactivation of Anticancer Drugs by CYP3A4: Influencing Factors for Personalized Cancer Therapy. Drug Metab. Dispos. 2023, 51, 543–559. [Google Scholar] [CrossRef]
- Santoro, A.B.; Struchiner, C.J.; Felipe, C.R.; Tedesco-Silva, H.; Medina-Pestana, J.O.; Suarez-Kurtz, G. CYP3A5 genotype, but not CYP3A4*1b, CYP3A4*22, or hematocrit, predicts tacrolimus dose requirements in Brazilian renal transplant patients. Clin. Pharmacol. Ther. 2013, 94, 201–202. [Google Scholar] [CrossRef]
- Crettol, S.; Venetz, J.P.; Fontana, M.; Aubert, J.D.; Pascual, M.; Eap, C.B. CYP3A7, CYP3A5, CYP3A4, and ABCB1 genetic polymorphisms, cyclosporine concentration, and dose requirement in transplant recipients. Ther. Drug Monit. 2008, 30, 689–699. [Google Scholar] [CrossRef]
- Zochowska, D.; Wyzgal, J.; Paczek, L. Impact of CYP3A4*1B and CYP3A5*3 polymorphisms on the pharmacokinetics of cyclosporine and sirolimus in renal transplant recipients. Ann. Transplant. 2012, 17, 36–44. [Google Scholar] [CrossRef] [PubMed]
- Becker, M.L.; Visser, L.E.; van Schaik, R.H.; Hofman, A.; Uitterlinden, A.G.; Stricker, B.H. Influence of genetic variation in CYP3A4 and ABCB1 on dose decrease or switching during simvastatin and atorvastatin therapy. Pharmacoepidemiol. Drug Saf. 2010, 19, 75–81. [Google Scholar] [CrossRef] [PubMed]
- Maslub, M.G.; Daud, N.A.A.; Radwan, M.A.; Sha’aban, A.; Ibrahim, A.G. CYP3A4*1B and CYP3A5*3 SNPs significantly impact the response of Egyptian candidates to high-intensity statin therapy to atorvastatin. Eur. J. Med. Res. 2024, 29, 539. [Google Scholar] [CrossRef]
- Gorjala, P.; Kittles, R.A.; Goodman, O.B., Jr.; Mitra, R. Role of CYP3A5 in Modulating Androgen Receptor Signaling and Its Relevance to African American Men with Prostate Cancer. Cancers 2020, 12, 989. [Google Scholar] [CrossRef]
- Maguire, O.; Pollock, C.; Martin, P.; Owen, A.; Smyth, T.; Doherty, D.; Campbell, M.J.; McClean, S.; Thompson, P. Regulation of CYP3A4 and CYP3A5 expression and modulation of “intracrine” metabolism of androgens in prostate cells by liganded vitamin D receptor. Mol. Cell. Endocrinol. 2012, 364, 54–64. [Google Scholar] [CrossRef]
- Zheng, Y.; Xu, Y.; Zhou, B.Y.; Sun, L.; Yu, P.B.; Zhang, L.; Xu, J.; Wang, J.J. CYP3A4*1B Polymorphism and Cancer Risk: A Meta-Analysis Based on 55 Case-control Studies. Ann. Clin. Lab. Sci. 2018, 48, 538–545. [Google Scholar] [PubMed]
- Semiz, S.; Dujic, T.; Ostanek, B.; Prnjavorac, B.; Bego, T.; Malenica, M.; Mlinar, B.; Marc, J.; Causevic, A. Analysis of CYP3A4*1B and CYP3A5*3 polymorphisms in population of Bosnia and Herzegovina. Med. Glas. 2011, 8, 84–89. [Google Scholar]
- Teichert, M.; Eijgelsheim, M.; Uitterlinden, A.G.; Buhre, P.N.; Hofman, A.; De Smet, P.A.; Visser, L.E.; Stricker, B.H. Dependency of phenprocoumon dosage on polymorphisms in the VKORC1, CYP2C9, and CYP4F2 genes. Pharmacogenet Genom. 2011, 21, 26–34. [Google Scholar] [CrossRef]
- Pratt, V.M.; Cavallari, L.H.; Fulmer, M.L.; Gaedigk, A.; Hachad, H.; Ji, Y.; Kalman, L.V.; Ly, R.C.; Moyer, A.M.; Scott, S.A.; et al. CYP3A4 and CYP3A5 Genotyping Recommendations: A Joint Consensus Recommendation of the Association for Molecular Pathology, Clinical Pharmacogenetics Implementation Consortium, College of American Pathologists, Dutch Pharmacogenetics Working Group of the Royal Dutch Pharmacists Association, European Society for Pharmacogenomics and Personalized Therapy, and Pharmacogenomics Knowledgebase. J. Mol. Diagn. 2023, 25, 619–629. [Google Scholar] [CrossRef]
- Gaedigk, A.; Boone, E.C.; Turner, A.J.; van Schaik, R.H.N.; Chernova, D.; Wang, W.Y.; Broeckel, U.; Granfield, C.A.; Hodge, J.C.; Ly, R.C.; et al. Characterization of Reference Materials for CYP3A4 and CYP3A5: A (GeT-RM) Collaborative Project. J. Mol. Diagn 2023, 25, 655–664. [Google Scholar] [CrossRef] [PubMed]
- Sata, F.; Sapone, A.; Elizondo, G.; Stocker, P.; Miller, V.P.; Zheng, W.; Raunio, H.; Crespi, C.L.; Gonzalez, F.J. CYP3A4 allelic variants with amino acid substitutions in exons 7 and 12: Evidence for an allelic variant with altered catalytic activity. Clin. Pharmacol. Ther. 2000, 67, 48–56. [Google Scholar] [CrossRef]
- van Schaik, R.H.; de Wildt, S.N.; Brosens, R.; van Fessem, M.; van den Anker, J.N.; Lindemans, J. The CYP3A4*3 allele: Is it really rare? Clin. Chem. 2001, 47, 1104–1106. [Google Scholar] [CrossRef]
- Wang, A.; Yu, B.N.; Luo, C.H.; Tan, Z.R.; Zhou, G.; Wang, L.S.; Zhang, W.; Li, Z.; Liu, J.; Zhou, H.H. Ile118Val genetic polymorphism of CYP3A4 and its effects on lipid-lowering efficacy of simvastatin in Chinese hyperlipidemic patients. Eur. J. Clin. Pharmacol. 2005, 60, 843–848. [Google Scholar] [CrossRef] [PubMed]
- Hsieh, K.P.; Lin, Y.Y.; Cheng, C.L.; Lai, M.L.; Lin, M.S.; Siest, J.P.; Huang, J.D. Novel mutations of CYP3A4 in Chinese. Drug Metab. Dispos. 2001, 29, 268–273. [Google Scholar] [PubMed]
- Zhou, X.Y.; Hu, X.X.; Wang, C.C.; Lu, X.R.; Chen, Z.; Liu, Q.; Hu, G.X.; Cai, J.P. Enzymatic Activities of CYP3A4 Allelic Variants on Quinine 3-Hydroxylation In Vitro. Front. Pharmacol. 2019, 10, 591. [Google Scholar] [CrossRef]
- Lamba, J.K.; Lin, Y.S.; Thummel, K.; Daly, A.; Watkins, P.B.; Strom, S.; Zhang, J.; Schuetz, E.G. Common allelic variants of cytochrome P4503A4 and their prevalence in different populations. Pharmacogenetics 2002, 12, 121–132. [Google Scholar] [CrossRef]
- Maekawa, K.; Harakawa, N.; Yoshimura, T.; Kim, S.R.; Fujimura, Y.; Aohara, F.; Sai, K.; Katori, N.; Tohkin, M.; Naito, M.; et al. CYP3A4*16 and CYP3A4*18 alleles found in East Asians exhibit differential catalytic activities for seven CYP3A4 substrate drugs. Drug Metab. Dispos. 2010, 38, 2100–2104. [Google Scholar] [CrossRef]
- Kang, Y.S.; Park, S.Y.; Yim, C.H.; Kwak, H.S.; Gajendrarao, P.; Krishnamoorthy, N.; Yun, S.C.; Lee, K.W.; Han, K.O. The CYP3A4*18 genotype in the cytochrome P450 3A4 gene, a rapid metabolizer of sex steroids, is associated with low bone mineral density. Clin. Pharmacol. Ther. 2009, 85, 312–318. [Google Scholar] [CrossRef]
- Lepper, E.R.; Baker, S.D.; Permenter, M.; Ries, N.; van Schaik, R.H.; Schenk, P.W.; Price, D.K.; Ahn, D.; Smith, N.F.; Cusatis, G.; et al. Effect of common CYP3A4 and CYP3A5 variants on the pharmacokinetics of the cytochrome P450 3A phenotyping probe midazolam in cancer patients. Clin. Cancer Res. Off. J. Am. Assoc. Cancer Res. 2005, 11, 7398–7404. [Google Scholar] [CrossRef]
- Dai, D.; Tang, J.; Rose, R.; Hodgson, E.; Bienstock, R.J.; Mohrenweiser, H.W.; Goldstein, J.A. Identification of variants of CYP3A4 and characterization of their abilities to metabolize testosterone and chlorpyrifos. J. Pharmacol. Exp. Ther. 2001, 299, 825–831. [Google Scholar] [CrossRef] [PubMed]
- Du, J.; Xing, Q.; Xu, L.; Xu, M.; Shu, A.; Shi, Y.; Yu, L.; Zhang, A.; Wang, L.; Wang, H.; et al. Systematic screening for polymorphisms in the CYP3A4 gene in the Chinese population. Pharmacogenomics 2006, 7, 831–841. [Google Scholar] [CrossRef] [PubMed]



| Allele (G vs. A) | Dominant (GGAG vs. AA) | Recessive (GG vs. AAAG) | Homozygous (GG vs. AA) | Heterozygous (AG vs. AA) | Codominant (AG vs. AAGG) | |
|---|---|---|---|---|---|---|
| Model | RE model (k = 10) | RE model (k = 9) | FE model (k = 9) | FE model (k = 9) | RE model (k = 9) | RE model (k = 9) |
| tau2 (estimated amount of total heterogeneity) | 0.2985 SE = 0.176 | 0.2758 SE = 0.1823 | - | - | 0.241 SE = 0.1716 | 0.2162 SE = 0.1582 |
| tau (square root of estimated tau2 value) | 0.5463 | 0.5251 | - | - | 0.4909 | 0.465 |
| I2 (total heterogeneity/total variability) | 84.08% | 79.96% | 29.91% | 34% | 74.84% | 72.88% |
| H2 (total variability/sampling variability) | 6.28 | 4.99 | 1.43 | 1.52 | 3.97 | 3.69 |
| Q(df = 8), p-value | 40.5448, <0.0001 | 30.3032, 0.0002 | 11.4143, 0.1793 | 12.1207, 0.1459 | 25.7157, 0.0012 | 24.1861, 0.0021 |
| Model | Estimate | se | zval | pval | ci.lb | ci.ub |
|---|---|---|---|---|---|---|
| Allele (G vs. A) | 0.2797 | 0.1936 | 1.445 | 0.1484 | −0.0997 | 0.6592 |
| Dominant (GGAG vs. AA) | 0.3409 | 0.2021 | 1.6867 | 0.0917 | −0.0552 | 0.7371 |
| Recessive (GG vs. AAAG) | 0.6003 | 0.1876 | 3.1997 | 0.0014 | 0.2326 | 0.9681 |
| Homozygous (GG vs. AA) | 0.6501 | 0.1886 | 3.4474 | 0.0006 | 0.2805 | 1.0198 |
| Heterozygous (AG vs. AA) | 0.2719 | 0.1966 | 1.3828 | 0.1667 | −0.1135 | 0.6572 |
| Codominant (AG vs. AAGG) | 0.2427 | 0.1889 | 1.2844 | 0.199 | −0.1276 | 0.613 |
| Genetic Model | Egger’s Test p-Value * |
|---|---|
| Allele model (G vs. A) | 0.80 |
| Dominant model (GGAG vs. AA) | 0.39 |
| Recessive model (GG vs. AAAG) | 0.53 |
| Homozygous model (GG vs. AA) | 0.52 |
| Heterozygous model (AG vs. AA) | 0.26 |
| Codominant model (AG vs. AAGG) | 0.25 |
Disclaimer/Publisher’s Note: The statements, opinions and data contained in all publications are solely those of the individual author(s) and contributor(s) and not of MDPI and/or the editor(s). MDPI and/or the editor(s) disclaim responsibility for any injury to people or property resulting from any ideas, methods, instructions or products referred to in the content. |
© 2025 by the authors. Licensee MDPI, Basel, Switzerland. This article is an open access article distributed under the terms and conditions of the Creative Commons Attribution (CC BY) license.
Share and Cite
Pagoni, M.; Cava, C.; Tsangaris, G.T.; Siannis, F.; Drakoulis, N. New Insights into Prostate Cancer Susceptibility in European Caucasians: A Systematic Review and Meta-Analysis of CYP3A4 Pharmacogene. Cancers 2026, 18, 58. https://doi.org/10.3390/cancers18010058
Pagoni M, Cava C, Tsangaris GT, Siannis F, Drakoulis N. New Insights into Prostate Cancer Susceptibility in European Caucasians: A Systematic Review and Meta-Analysis of CYP3A4 Pharmacogene. Cancers. 2026; 18(1):58. https://doi.org/10.3390/cancers18010058
Chicago/Turabian StylePagoni, Maria, Claudia Cava, George T. Tsangaris, Fotios Siannis, and Nikolaos Drakoulis. 2026. "New Insights into Prostate Cancer Susceptibility in European Caucasians: A Systematic Review and Meta-Analysis of CYP3A4 Pharmacogene" Cancers 18, no. 1: 58. https://doi.org/10.3390/cancers18010058
APA StylePagoni, M., Cava, C., Tsangaris, G. T., Siannis, F., & Drakoulis, N. (2026). New Insights into Prostate Cancer Susceptibility in European Caucasians: A Systematic Review and Meta-Analysis of CYP3A4 Pharmacogene. Cancers, 18(1), 58. https://doi.org/10.3390/cancers18010058

