Complications of Haploidentical Hematopoietic Cell Transplantation with Post-Transplant Cyclophosphamide—A Prospective Study on Behalf of the EBMT Transplant Complications Working Party
Simple Summary
Abstract
1. Introduction
2. Materials and Methods
2.1. Study Design and Inclusion Criteria
2.2. Statistical Methods
3. Results
3.1. Patients, Disease, and Transplant Characteristics
3.2. Non-Infectious Complications
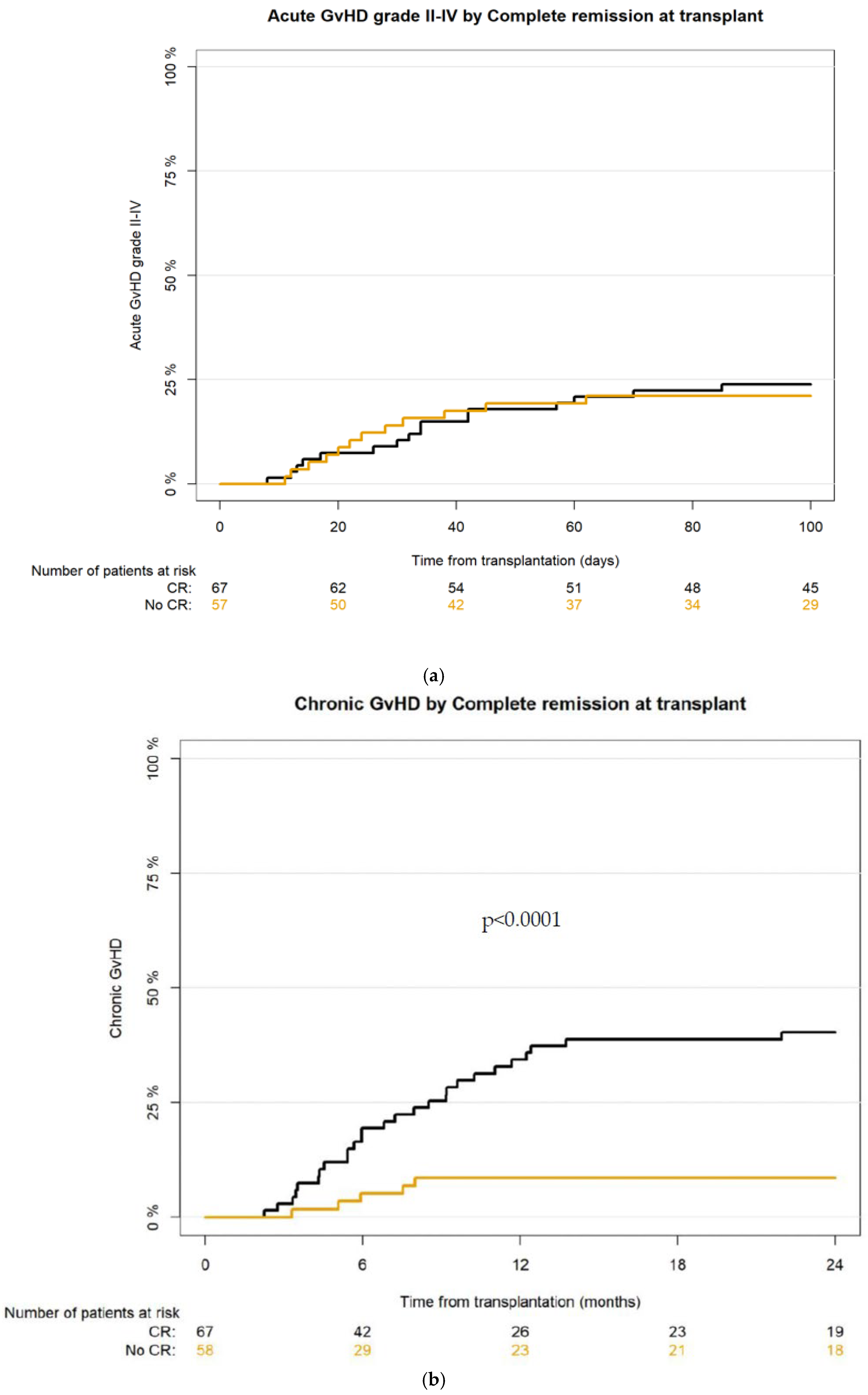
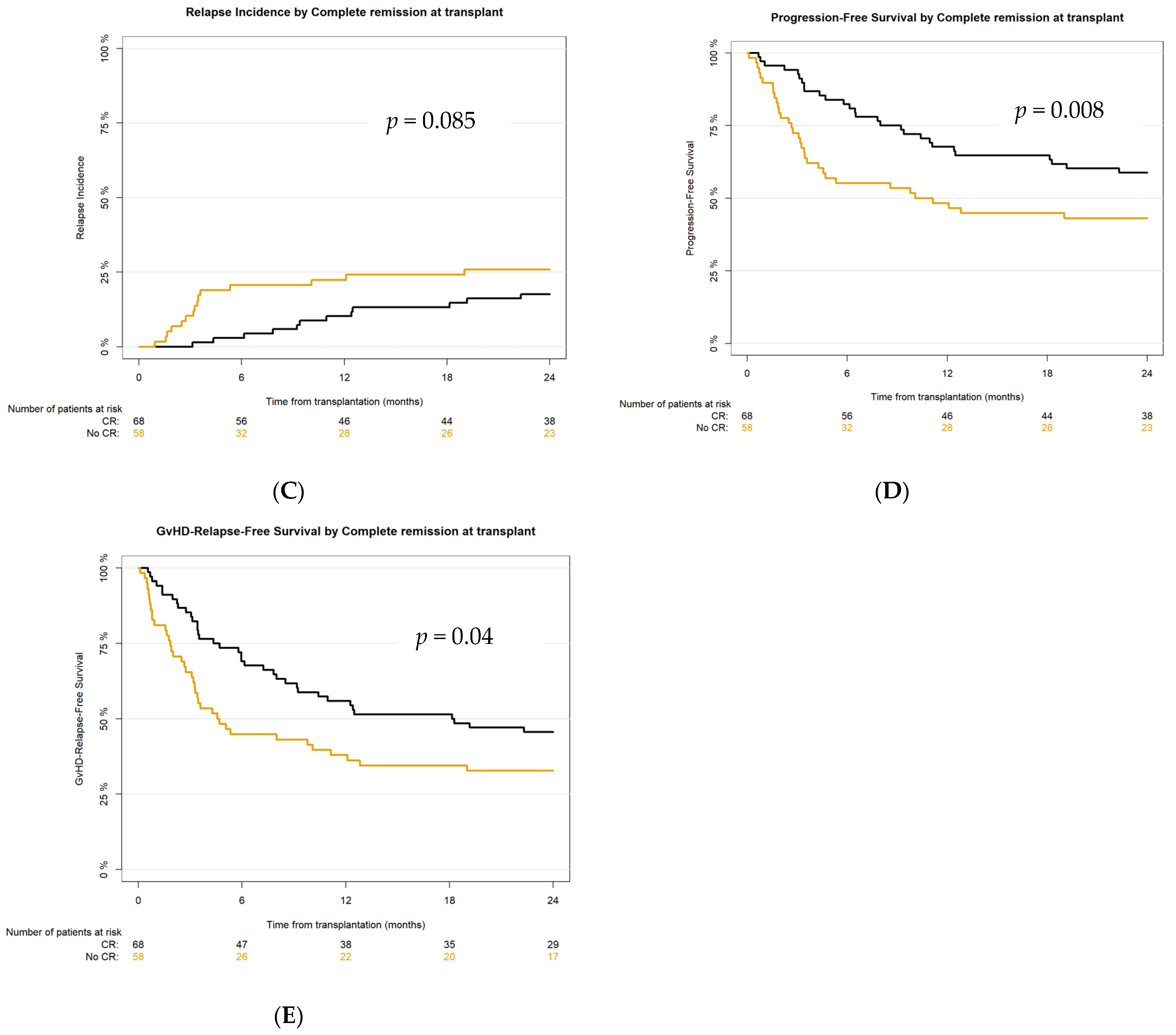
3.3. GvHD
3.4. Infectious Complications
3.5. Transplantation Outcomes
4. Discussion
5. Conclusions
Supplementary Materials
Author Contributions
Funding
Institutional Review Board Statement
Informed Consent Statement
Data Availability Statement
Conflicts of Interest
References
- Bashey, A.; Zhang, X.; Sizemore, C.A.; Manion, K.; Brown, S.; Holland, H.K.; Morris, L.E.; Solomon, S.R. T-Cell–Replete HLA-Haploidentical Hematopoietic Transplantation for Hematologic Malignancies Using Post-Transplantation Cyclophosphamide Results in Outcomes Equivalent to Those of Contemporaneous HLA-Matched Related and Unrelated Donor Transplantation. J. Clin. Oncol. 2013, 31, 1310–1316. [Google Scholar] [CrossRef]
- Bashey, A.; Solomon, S.R. T-cell replete haploidentical donor transplantation using post-transplant CY: An emerging standard-of-care option for patients who lack an HLA-identical sibling donor. Bone Marrow Transplant. 2014, 49, 999–1008. [Google Scholar] [CrossRef] [PubMed]
- Raiola, A.M.; Dominietto, A.; di Grazia, C.; Lamparelli, T.; Gualandi, F.; Ibatici, A.; Bregante, S.; Van Lint, M.T.; Varaldo, R.; Ghiso, A.; et al. Unmanipulated Haploidentical Transplants Compared with Other Alternative Donors and Matched Sibling Grafts. Biol. Blood Marrow Transplant. 2014, 20, 1573–1579. [Google Scholar] [CrossRef]
- Passweg, J.R.; Baldomero, H.; Ciceri, F.; de la Cámara, R.; Glass, B.; Greco, R.; Hazenberg, M.D.; Kalwak, K.; McLornan, D.P.; Neven, B.; et al. Hematopoietic cell transplantation and cellular therapies in Europe 2022. CAR-T activity continues to grow; transplant activity has slowed: A report from the EBMT. Bone Marrow Transplant. 2024, 59, 803–812. [Google Scholar] [CrossRef]
- Cytryn, S.; Abdul-Hay, M. Haploidentical Hematopoietic Stem Cell Transplantation Followed by ‘Post-Cyclophosphamide’: The Future of Allogeneic Stem Cell Transplant. Clin. Hematol. Int. 2020, 2, 49–58. [Google Scholar] [CrossRef] [PubMed]
- Baumeister, S.H.C.; Rambaldi, B.; Shapiro, R.M.; Romee, R. Key Aspects of the Immunobiology of Haploidentical Hematopoietic Cell Transplantation. Front. Immunol. 2020, 11, 191. [Google Scholar] [CrossRef]
- Sureda, A.; Corbacioglu, S.; Greco, R.; Kroger, N.; Carreras, E. The EBMT Handbook: Hematopoietic Cell Transplantation and Cellular Therapies; Springer Nature: Dordrecht, The Netherlands, 2024; pp. 303–501. [Google Scholar]
- Ruggeri, A.; Roth-Guepin, G.; Battipaglia, G.; Mamez, A.; Malard, F.; Gomez, A.; Brissot, E.; Belhocine, R.; Vekhoff, A.; Lapusan, S.; et al. Incidence and risk factors for hemorrhagic cystitis in unmanipulated haploidentical transplant recipients. Transpl. Infect. Dis. 2015, 17, 822–830. [Google Scholar] [CrossRef]
- Copelan, O.R.; Sanikommu, S.R.; Trivedi, J.S.; Butler, C.; Ai, J.; Ragon, B.K.; Jacobs, R.; Knight, T.G.; Usmani, S.Z.; Grunwald, M.R.; et al. Higher Incidence of Hemorrhagic Cystitis Following Haploidentical Related Donor Transplantation Compared with Matched Related Donor Transplantation. Biol. Blood Marrow Transplant. 2019, 25, 785–790. [Google Scholar] [CrossRef]
- Arango, M.; Cardona, D. Hemorrhagic Cystitis after Haploidentical Transplantation with Post-Transplantation Cyclophosphamide: Protective Effect of MESNA Continuous Infusion. Biol. Blood Marrow Transplant. 2020, 26, 1492–1496. [Google Scholar] [CrossRef]
- Yuan, H.; Chen, G.; Xu, J.; Yang, R.; Muhashi, M.; Aizezi, G.; Jiang, M. Incidence of late-onset hemorrhagic cystitis and its effect on PFS in acute leukemia patients after haplo-PBSCT: The 5-year single-center data. Front. Oncol. 2022, 12, 913802. [Google Scholar] [CrossRef]
- Matsumoto, K.; Fujishita, K.; Matsuda, M.; Oka, S.; Fujisawa, Y.; Imai, T.; Machida, T. Idiopathic pneumonia syndrome re-fractory to ruxolitynib after post-transplant cyclophosphamide-based haploidentical hematopoietic stem cell transplantation: Lung pathological findings from an autopsy case. Acta Medica Okayama 2022, 76, 609–615. [Google Scholar] [CrossRef] [PubMed]
- Muñiz, P.; Andrés-Zayas, C.; Carbonell, D.; Chicano, M.; Bailén, R.; Oarbeascoa, G.; Suárez-González, J.; Centurión, I.G.; Dorado, N.; Gallardo, D.; et al. Association between gene polymorphisms in the cyclophosphamide metabolism pathway with complications after haploidentical hematopoietic stem cell transplantation. Front. Immunol. 2022, 13, 1002959. [Google Scholar] [CrossRef] [PubMed]
- Gómez-Centurión, I.; Bailén, R.; Oarbeascoa, G.; Muñoz, C.; Luque, A.Á.; Boyra, M.E.; Calleja, E.; Rincón, D.; Dorado, N.; Barzallo, P.; et al. Transjugular Intrahepatic Portosystemic Shunt for Very Severe Veno-Occlusive Disease/Sinusoidal Obstruction Syndrome (VOD/SOS) after Unmanipulated Haploidentical Hematopoietic Stem Cell Transplantation with Post-transplantation Cyclophosphamide. Biol. Blood Marrow Transplant. 2020, 26, 2089–2097. [Google Scholar] [CrossRef]
- Duléry, R.; Mohty, R.; Labopin, M.; Sestili, S.; Malard, F.; Brissot, E.; Battipaglia, G.; Médiavilla, C.; Banet, A.; Van de Wyngaert, Z.; et al. Early Cardiac Toxicity Associated With Post-Transplant Cyclophosphamide in Allogeneic Stem Cell Transplantation. JACC CardioOncol. 2021, 3, 250–259. [Google Scholar] [CrossRef] [PubMed]
- Abboud, R.; Wan, F.; Mariotti, J.; Arango, M.; Castagna, L.; Romee, R.; Hamadani, M.; Chhabra, S. Cytokine release syndrome after haploidentical hematopoietic cell transplantation: An international multicenter analysis. Bone Marrow Transplant. 2021, 56, 2763–2770. [Google Scholar] [CrossRef]
- Slade, M.; Goldsmith, S.; Romee, R.; DiPersio, J.F.; Dubberke, E.R.; Westervelt, P.; Uy, G.L.; Lawrence, S.J. Epidemiology of infections following haploidentical peripheral blood hematopoietic cell transplantation. Transpl. Infect. Dis. 2016, 19. [Google Scholar] [CrossRef]
- Esquirol, A.; Pascual, M.J.; Kwon, M.; Pérez, A.; Parody, R.; Ferra, C.; Cadenas, I.G.; Herruzo, B.; Dorado, N.; Hernani, R.; et al. Severe infections and infection-related mortality in a large series of haploidentical hematopoietic stem cell transplantation with post-transplant cyclophosphamide. Bone Marrow Transplant. 2021, 56, 2432–2444. [Google Scholar] [CrossRef]
- Little, J.S.; Shapiro, R.M.; Aleissa, M.M.; Kim, A.; Chang, J.B.P.; Kubiak, D.W.; Zhou, G.; Antin, J.H.; Koreth, J.; Nikiforow, S.; et al. Invasive Yeast Infection after Haploidentical Donor Hematopoietic Cell Transplantation Associated with Cytokine Release Syndrome. Biol. Blood Marrow Transplant. 2022, 28, 508.e1–508.e8. [Google Scholar] [CrossRef]
- Kanakry, C.G.; Fuchs, E.J.; Luznik, L. Modern approaches to HLA-haploidentical blood or marrow transplantation. Nat. Rev. Clin. Oncol. 2015, 13, 10–24. [Google Scholar] [CrossRef]
- Crocchiolo, R.; Bramanti, S.; Vai, A.; Sarina, B.; Mineri, R.; Casari, E.; Tordato, F.; Mauro, E.; Timofeeva, I.; Lugli, E.; et al. Infections after T-replete haploidentical transplantation and high-dose cyclophosphamide as graft-versus-host disease prophylaxis. Transpl. Infect. Dis. 2015, 17, 242–249. [Google Scholar] [CrossRef]
- Atilla, E.; Atilla, P.A.; Bozdağ, S.C.; Demirer, T. A review of infectious complications after haploidentical hematopoietic stem cell transplantations. Infection 2017, 45, 403–411. [Google Scholar] [CrossRef] [PubMed]
- Mohty, R.; Brissot, E.; Battipaglia, G.; Ruggeri, A.; Dulery, R.; Bonnin, A.; Médiavilla, C.; Sestili, S.; Belhocine, R.; Vekhoff, A.; et al. Infectious complications after post-transplantation cyclophosphamide and anti-thymocyte globulin-based haploidentical stem cell transplantation. Br. J. Haematol. 2019, 187, E64–E68. [Google Scholar] [CrossRef]
- Bacigalupo, A.; Ballen, K.; Rizzo, D.; Giralt, S.; Lazarus, H.; Ho, V.; Apperley, J.; Slavin, S.; Pasquini, M.; Sandmaier, B.M.; et al. Defining the Intensity of Conditioning Regimens: Working Definitions. Biol. Blood Marrow Transplant. 2009, 15, 1628–1633. [Google Scholar] [CrossRef]
- Harris, A.C.; Young, R.; Devine, S.; Hogan, W.J.; Ayuk, F.; Bunworasate, U.; Chanswangphuwana, C.; Efebera, Y.A.; Holler, E.; Litzow, M.; et al. International, Multicenter Standardization of Acute Graft-versus-Host Disease Clinical Data Collection: A Report from the Mount Sinai Acute GVHD International Consortium. Biol. Blood Marrow Transplant. 2016, 22, 4–10. [Google Scholar] [CrossRef]
- Lee, S.J. Classification systems for chronic graft-versus-host disease. Blood 2017, 129, 30–37. [Google Scholar] [CrossRef]
- Lee, D.W.; Gardner, R.; Porter, D.L.; Louis, C.U.; Ahmed, N.; Jensen, M.; Grupp, S.A.; Mackall, C.L. Current concepts in the diagnosis and management of cytokine release syndrome. Blood 2014, 124, 188–195. [Google Scholar] [CrossRef] [PubMed]
- Renaghan, A.D.; Jaimes, E.A.; Malyszko, J.; Perazella, M.A.; Sprangers, B.; Rosner, M.H. Acute Kidney Injury and CKD Associated with Hematopoietic Stem Cell Transplantation. Clin. J. Am. Soc. Nephrol. 2019, 15, 289–297. [Google Scholar] [CrossRef] [PubMed]
- Kanduri, S.R.; Cheungpasitporn, W.; Thongprayoon, C.; Bathini, T.; Kovvuru, K.; Garla, V.; Medaura, J.; Vaitla, P.; Kashani, K.B. Incidence and mortality of acute kidney injury in patients undergoing hematopoietic stem cell transplantation: A systematic review and meta-analysis. Qjm: Int. J. Med. 2020, 113, 621–632. [Google Scholar] [CrossRef]
- Ohmoto, A.; Fuji, S. Cardiac complications associated with hematopoietic stem-cell transplantation. Bone Marrow Transplant. 2021, 56, 2637–2643. [Google Scholar] [CrossRef]
- Raiola, A.M.; Angelucci, E.; Sica, S.; Bacigalupo, A. Haploidentical bone marrow transplants with post transplant cyclophosphamide on day + 3 + 5: The Genova protocol. Blood Rev. 2022, 62, 101031. [Google Scholar] [CrossRef]
- Duléry, R.; Malard, F.; Brissot, E.; Banet, A.; Sestili, S.; Belhocine, R.; Calabro, M.; Van de Wyngaert, Z.; Bonnin, A.; Ledraa, T.; et al. Reduced post-transplant cyclophosphamide dose with antithymocyte globulin in peripheral blood stem cell haploidentical transplantation. Bone Marrow Transplant. 2023, 58, 1215–1222. [Google Scholar] [CrossRef]
- Cairo, M.S.; Cooke, K.R.; Lazarus, H.M.; Chao, N. Modified diagnostic criteria, grading classification and newly elucidated pathophysiology of hepatic SOS/VOD after haematopoietic cell transplantation. Br. J. Haematol. 2020, 190, 822–836. [Google Scholar] [CrossRef] [PubMed]
- Mohty, M.; Malard, F.; Alaskar, A.S.; Aljurf, M.; Arat, M.; Bader, P.; Baron, F.; Bazarbachi, A.; Blaise, D.; Brissot, E.; et al. Diagnosis and severity criteria for sinusoidal obstruction syndrome/veno-occlusive disease in adult patients: A refined classification from the European society for blood and marrow transplantation (EBMT). Bone Marrow Transplant. 2023, 58, 749–754. [Google Scholar] [CrossRef] [PubMed]
- Bejanyan, N.; Pidala, J.A.; Wang, X.; Thapa, R.; Nishihori, T.; Elmariah, H.; Lazaryan, A.; Khimani, F.; Davila, M.L.; Mishra, A.; et al. A phase 2 trial of GVHD prophylaxis with PTCy, sirolimus, and MMF after peripheral blood haploidentical transplantation. Blood Adv. 2021, 5, 1154–1163. [Google Scholar] [CrossRef] [PubMed]
- Raj, R.V.; Hamadani, M.; Szabo, A.; Pasquini, M.C.; Shah, N.N.; Drobyski, W.R.; Shaw, B.E.; Saber, W.; Rizzo, J.D.; Jerkins, J.; et al. Peripheral Blood Grafts for T Cell–Replete Haploidentical Transplantation Increase the Incidence and Severity of Cytokine Release Syndrome. Biol. Blood Marrow Transplant. 2018, 24, 1664–1670. [Google Scholar] [CrossRef]
- Yao, J.M.; Otoukesh, S.; Kim, H.; Yang, D.; Mokhtari, S.; Samara, Y.; Blackmon, A.; Arslan, S.; Agrawal, V.; Pourhassan, H.; et al. Tocilizumab for Cytokine Release Syndrome Management After Haploidentical Hematopoietic Cell Transplantation With Post-Transplantation Cyclophosphamide-Based Graft-Versus-Host Disease Prophylaxis. Biol. Blood Marrow Transplant. 2023, 29, 515.e1–515.e7. [Google Scholar] [CrossRef]
- Lee, D.W.; Santomasso, B.D.; Locke, F.L.; Ghobadi, A.; Turtle, C.J.; Brudno, J.N.; Maus, M.V.; Park, J.H.; Mead, E.; Pavletic, S.; et al. ASTCT Consensus Grading for Cytokine Release Syndrome and Neurologic Toxicity Associated with Immune Effector Cells. Biol. Blood Marrow Transplant. 2019, 25, 625–638. [Google Scholar] [CrossRef]
- Gómez-Centurión, I.; Rojas, R.M.M.; Bailén, R.; Muñoz, C.; Sabell, S.; Oarbeascoa, G.; Fernández-Caldas, P.; Carbonell, D.; Gayoso, J.; Martínez-Laperche, C.; et al. Poor graft function after haploidentical stem cell transplantation with post-transplant cyclophosphamide. Ann. Hematol. 2023, 102, 1561–1567. [Google Scholar] [CrossRef]
- Montoro, J.; Piñana, J.L.; Hernández-Boluda, J.C.; Hernani, R.; Lorenzo, I.; Pérez, A.; Guerreiro, M.; Balaguer-Rosello, A.; Sanz, G.F.; Carretero, C.; et al. Uniform graft-versus-host disease prophylaxis with posttransplant cyclophosphamide, sirolimus, and mycophenolate mofetil following hematopoietic stem cell transplantation from haploidentical, matched sibling and unrelated donors. Bone Marrow Transplant. 2020, 55, 2147–2159. [Google Scholar] [CrossRef]
- Duléry, R.; Goudet, C.; Mannina, D.; Bianchessi, A.; Granata, A.; Harbi, S.; Maisano, V.; Chabannon, C.; Malard, F.; Brissot, E.; et al. Reduced post-transplant cyclophosphamide doses in haploidentical hematopoietic cell transplantation for elderly patients with hematological malignancies. Bone Marrow Transplant. 2022, 58, 386–392. [Google Scholar] [CrossRef]
- Ruggeri, A.; Labopin, M.; Bacigalupo, A.; Gülbas, Z.; Koc, Y.; Blaise, D.; Bruno, B.; Irrera, G.; Tischer, J.; Diez-Martin, J.L.; et al. Bone marrow versus mobilized peripheral blood stem cells in haploidentical transplants using posttransplantation cyclophosphamide. Cancer 2018, 124, 1428–1437. [Google Scholar] [CrossRef]
- Pruitt, A.; Gao, F.; De Togni, E.; Cochran, H.; Godbole, S.; Slade, M.; Abboud, R. Impact of donor age and relationship on outcomes of peripheral blood haploidentical hematopoietic cell transplantation. Bone Marrow Transplant. 2023, 58, 855–862. [Google Scholar] [CrossRef]
- Mikulska, M.; Bartalucci, C.; Raiola, A.M.; Oltolini, C. Does PTCY increase the risk of infections? Blood Rev. 2023, 62, 101092. [Google Scholar] [CrossRef] [PubMed]
- Fayard, A.; Daguenet, E.; Blaise, D.; Chevallier, P.; Labussière, H.; Berceanu, A.; Yakoub-Agha, I.; Socié, G.; Charbonnier, A.; Suarez, F.; et al. Evaluation of infectious complications after haploidentical hematopoietic stem cell transplantation with post-transplant cyclophosphamide following reduced-intensity and myeloablative conditioning: A study on behalf of the Francophone Society of Stem Cell Transplantation and Cellular Therapy (SFGM-TC). Bone Marrow Transplant. 2019, 54, 1586–1594. [Google Scholar] [CrossRef] [PubMed]
- Goldsmith, S.R.; Abid, M.B.; Auletta, J.J.; Bashey, A.; Beitinjaneh, A.; Castillo, P.; Chemaly, R.F.; Chen, M.; Ciurea, S.; Dandoy, C.E.; et al. Posttransplant cyclophosphamide is associated with increased cytomegalovirus infection: A CIBMTR analysis. Blood 2021, 137, 3291–3305. [Google Scholar] [CrossRef]
- Chorão, P.; Henriques, M.; Villalba, M.; Montoro, J.; Balaguer-Roselló, A.; González, E.M.; Gómez, M.D.; Gómez, I.; Solves, P.; Santiago, M.; et al. Cytomegalovirus Reactivations in Allogeneic Hematopoietic Stem Cell Transplantation from HLA-Matched and Haploidentical Donors with Post-Transplantation Cyclophosphamide. Biol. Blood Marrow Transplant. 2024, 30, 538.e1–538.e10. [Google Scholar] [CrossRef]
- Baron, F.; Labopin, M.; Tischer, J.; Ciceri, F.; Raiola, A.M.; Blaise, D.; Sica, S.; Vydra, J.; Fanin, R.; Diez-Martin, J.L.; et al. Comparison of HLA-mismatched unrelated donor transplantation with post-transplant cyclophosphamide versus HLA-haploidentical transplantation in patients with active acute myeloid leukemia. Bone Marrow Transplant. 2022, 57, 1657–1663. [Google Scholar] [CrossRef]
- Sugita, J.; Kamimura, T.; Ishikawa, T.; Ota, S.; Eto, T.; Kuroha, T.; Miyazaki, Y.; Kumagai, H.; Matsuo, K.; Akashi, K.; et al. Reduced dose of posttransplant cyclophosphamide in HLA-haploidentical peripheral blood stem cell transplantation. Bone Marrow Transplant. 2020, 56, 596–604. [Google Scholar] [CrossRef] [PubMed]
- Bashey, A.; Zhang, M.-J.; McCurdy, S.R.; Martin, A.S.; Argall, T.; Anasetti, C.; Ciurea, S.O.; Fasan, O.; Gaballa, S.; Hamadani, M.; et al. Mobilized Peripheral Blood Stem Cells Versus Unstimulated Bone Marrow As a Graft Source for T-Cell–Replete Haploidentical Donor Transplantation Using Post-Transplant Cyclophosphamide. J. Clin. Oncol. 2017, 35, 3002–3009. [Google Scholar] [CrossRef]
- Im, A.; Rashidi, A.; Wang, T.; Hemmer, M.; MacMillan, M.L.; Pidala, J.; Jagasia, M.; Pavletic, S.; Majhail, N.S.; Weisdorf, D.; et al. Risk Factors for Graft-versus-Host Disease in Haploidentical Hematopoietic Cell Transplantation Using Post-Transplant Cyclophosphamide. Biol. Blood Marrow Transplant. 2020, 26, 1459–1468. [Google Scholar] [CrossRef]






| Variables | All Patients N = 129 (%) | CR Group * N = 68 (%) | No-CR Group * N = 58 (%) | p |
|---|---|---|---|---|
| Median age, y, min-max, [IQR] | 52.8 (18–72.9) [34.3–62.5] | 45.1 (18–72.5) [30.7–56.8] | 58.9 (18.8–72.9) [47.1–64.6] | 0.0002 |
| Donor age, y, min-max, [IQR] | 36.4 (13.6–66.3) [27.7–45.4] | 39 (17.6–61.7) [29.3–48.3] | 33.2 (13.6–66.3) [24.7–42.5] | 0.011 |
| Patient sex | ||||
| Male | 79 (61.2%) | 42 (61.8%) | 36 (62.1%) | 0.97 |
| Female | 50 (38.8%) | 26 (38.2%) | 22 (37.9%) | |
| Donor sex | ||||
| Male | 89 (69%) | 49 (72.1%) | 39 (67.2%) | 0.56 |
| Female | 40 (31%) | 19 (27.9%) | 19 (32.8%) | |
| Patient CMV | ||||
| Negative | 20 (15.7%) | 10 (14.7%) | 10 (17.2%) | 0.7 |
| Positive | 107 (84.3%) | 58 (85.3%) | 48 (82.8%) | |
| Donor CMV | ||||
| Negative | 34 (26.8%) | 14 (20.9%) | 19 (33.3%) | 0.12 |
| Positive | 93 (73.2%) | 53 (79.1%) | 38 (66.7%) | |
| Donor/patient CMV serostatus | ||||
| +/+ | 82 (65.6%) | |||
| +/− | 10 (8.0%) | |||
| −/− | 10 (8.0%) | |||
| −/+ | 23 (18.4%) | |||
| Missing | 4 | |||
| Diagnosis | <0.0001 | |||
| Acute leukemia | 73 (56.6%) | 59 (86.8%) | 14 (24.1%) | |
| Lymphoma | 29 (22.5%) | 6 (8.8%) | 22 (37.9%) | |
| Myelodysplastic/ Myeloproliferative neoplasm | 27 (20.9%) | 3 (4.4%) | 22 (37.9%) | |
| Graft source | ||||
| BM | 74 (57.4%) | 33 (48.5%) | 40 (69.0%) | 0.021 |
| PB | 55 (42.6%) | 35 (51.5%) | 18 (31.0%) | |
| Previous autologous transplantation | ||||
| No | 112 (86.8%) | 61 (89.7%) | 48 (82.8%) | 0.26 |
| Yes | 17 (13.2%) | 7 (10.3%) | 10 (17.2%) | |
| HCT-CI | ||||
| 0 | 49 (39.5%) | 27 (40.9%) | 22 (38.6%) | 0.84 |
| 1–2 | 33 (26.6%) | 18 (27.3%) | 14 (24.6%) | |
| ≥3 | 42 (33.9%) | 21 (31.8%) | 21 (36.8%) | |
| Missing | 5 | 2 | 1 | |
| KPS | ||||
| ≥90 | 46 (36.5%) | 28 (42.4%) | 17 (29.3%) | 0.13 |
| <90 | 80 (63.5%) | 38 (57.6%) | 41 (70.7%) | |
| Missing | 3 | 2 | 0 | |
| Intensity of conditioning | ||||
| MAC | 94 (72.9%) | 51 (75%) | 42 (72.4%) | 0.74 |
| RIC | 35 (27.1%) | 17 (25%) | 16 (27.6%) | |
| Conditioning regimen | ||||
| Bu-based | 88 (68.2%) | 45 (66.2%) | 41 (70.7%) | |
| Treo-based | 4 (3.1%) | 4 (5.9%) | 0 (0%) | |
| Mel-based | 9 (7.0%) | 2 (2.9%) | 6 (10.3%) | |
| TBI-based | 27 (20.9%) | 16 (23.5%) | 11 (19%) | |
| Other | 1 (0.8%) | 1 (1.5%) | 0 (0%) | |
| GvHD prophylaxis | ||||
| CsA + MMF + PT-Cy | 91 (70.5%) | 46 (67.6%) | 44 (75.9%) | |
| TACRO + MMF + PT-Cy | 19 (14.7%) | 10 (14.7%) | 8 (13.8%) | |
| CsA + TACRO + MMF + PT-Cy | 6 (4.7%) | 3 (4.4%) | 3 (5.2%) | |
| TACRO + SIRO + MMF + PT-Cy | 5 (3.9%) | 4 (5.9%) | 0 (0%) | |
| CsA + MTX + MMF + PT-Cy | 3 (2.3%) | 3 (4.4%) | 0 (0%) | |
| Other | 5 (3.9%) | 2 (3%) | 2 (3.6%) | |
| PT-Cy daily dose (mg/kg m.c.) | ||||
| 50 | 127 (99.2%) | 68 (100%) | 56 (96.6%) | |
| 40 | 1 (0.8%) | 0 (0%) | 1 (1.7%) | |
| Missing | 1 | 0 (0%) | 1 (1.7%) | |
| Days of PT-Cy administration | ||||
| +3 and +4 | 72 (55.8%) | 36 (52.9%) | 33 (56.9%) | |
| +3 and +5 | 55 (42.6%) | 32 (47.1%) | 23 (39.7%) | |
| +2 and +3 | 1 (0.8%) | 0 (0%) | 1 (1.7%) | |
| Only +3 | 1 (0.8%) | 0 (0%) | 1 (1.7%) |
| Outcome (at 24 Months) | % [95% CI] for Whole Study Population | % [95% CI] for CR Group | % [95% CI] for no-CR Group | p |
|---|---|---|---|---|
| OS | 58.1% [50.2–67.3] | 64.6% [54.2–77.1] | 50% [38.7–64.7] | 0.06 |
| PFS | 50.4% [42.5–59.8] | 58.8% [48.2–71.8] | 43.1% [32.1–57.9] | 0.008 |
| NRM | 27.1% [19.7–35] | 23.5% [14.2–34.2] | 31% [19.6–43.2] | 0.27 |
| RI | 22.5% [15.7–30] | 17.6% [9.6–27.6] | 25.9% [15.3–37.7] | 0.085 |
| GRFS | 38.8% [31.2–48.1] | 45.6% [35.2–59.1] | 32.8% [22.7–47.4] | 0.04 |
Disclaimer/Publisher’s Note: The statements, opinions and data contained in all publications are solely those of the individual author(s) and contributor(s) and not of MDPI and/or the editor(s). MDPI and/or the editor(s) disclaim responsibility for any injury to people or property resulting from any ideas, methods, instructions or products referred to in the content. |
© 2025 by the authors. Licensee MDPI, Basel, Switzerland. This article is an open access article distributed under the terms and conditions of the Creative Commons Attribution (CC BY) license (https://creativecommons.org/licenses/by/4.0/).
Share and Cite
Tomaszewska, A.; Basak, G.W.; Peczynski, C.; Polge, E.; Ambron, P.; Boreland, W.; Sica, S.; Arat, M.; Passweg, J.; Lorenzo, J.L.L.; et al. Complications of Haploidentical Hematopoietic Cell Transplantation with Post-Transplant Cyclophosphamide—A Prospective Study on Behalf of the EBMT Transplant Complications Working Party. Cancers 2025, 17, 4029. https://doi.org/10.3390/cancers17244029
Tomaszewska A, Basak GW, Peczynski C, Polge E, Ambron P, Boreland W, Sica S, Arat M, Passweg J, Lorenzo JLL, et al. Complications of Haploidentical Hematopoietic Cell Transplantation with Post-Transplant Cyclophosphamide—A Prospective Study on Behalf of the EBMT Transplant Complications Working Party. Cancers. 2025; 17(24):4029. https://doi.org/10.3390/cancers17244029
Chicago/Turabian StyleTomaszewska, Agnieszka, Grzegorz W. Basak, Christophe Peczynski, Emmanuelle Polge, Pascale Ambron, William Boreland, Simona Sica, Mutlu Arat, Jakob Passweg, Jose Luis Lopez Lorenzo, and et al. 2025. "Complications of Haploidentical Hematopoietic Cell Transplantation with Post-Transplant Cyclophosphamide—A Prospective Study on Behalf of the EBMT Transplant Complications Working Party" Cancers 17, no. 24: 4029. https://doi.org/10.3390/cancers17244029
APA StyleTomaszewska, A., Basak, G. W., Peczynski, C., Polge, E., Ambron, P., Boreland, W., Sica, S., Arat, M., Passweg, J., Lorenzo, J. L. L., Salmenniemi, U., Jindra, P., Kulagin, A., Bufarull, R. M., Eder, M., Bekadja, M.-A., Mussetti, A., Graham, C. E., Schoemans, H., ... Perić, Z. (2025). Complications of Haploidentical Hematopoietic Cell Transplantation with Post-Transplant Cyclophosphamide—A Prospective Study on Behalf of the EBMT Transplant Complications Working Party. Cancers, 17(24), 4029. https://doi.org/10.3390/cancers17244029

