Pregnancy vs. Postpartum Breast Cancer: Distinct Tumor Biology and Survival Trends in a Contemporary Cohort
Simple Summary
Abstract
1. Introduction
2. Materials and Methods
2.1. Study Design and Ethical Approval
2.2. Clinical Management
2.3. Clinical Outcomes
2.4. Statistical Analysis
3. Results
3.1. Patients Characteristics
3.2. Treatments Characteristics
3.3. PrBC vs. PPBC: Clinical and Pathological Differences
- Tumor subtypes: Luminal B tumors predominated in PrBC, whereas TNBC was more frequent in PPBC. HER2-positive tumors accounted for ~25% in both groups. Luminal A tumors and ductal carcinoma in situ (DCIS) were rare.
- Histology: High-grade tumors were common in both cohorts, especially in PPBC (>70%).
- Stage distribution: Stage I disease was rare overall but twice as common in PrBC. Stage II tumors accounted for >65% of PPBC cases.
- Mastectomy was more frequent in PPBC, while BCS was more commonly performed in PrBC.
- PPBC patients were more likely to receive NACT, likely due to higher TNBC prevalence and fewer pregnancy-related treatment limitations.
- NACT response rates were higher in PPBC, possibly reflecting differences in tumor subtype distribution or treatment delivery constraints due to ongoing pregnancy.
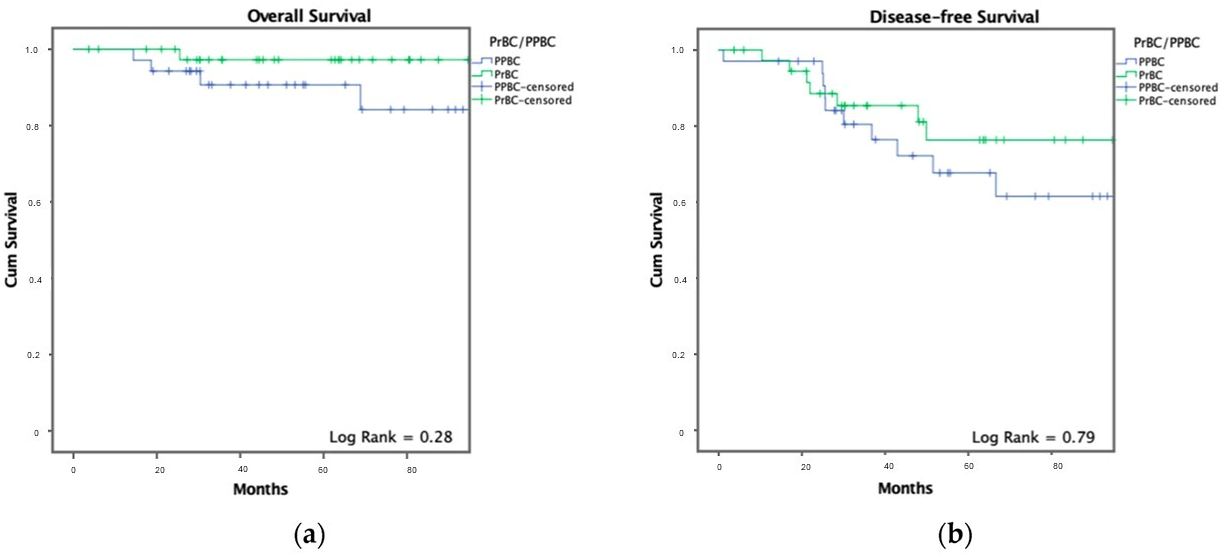
3.4. Survival Analysis
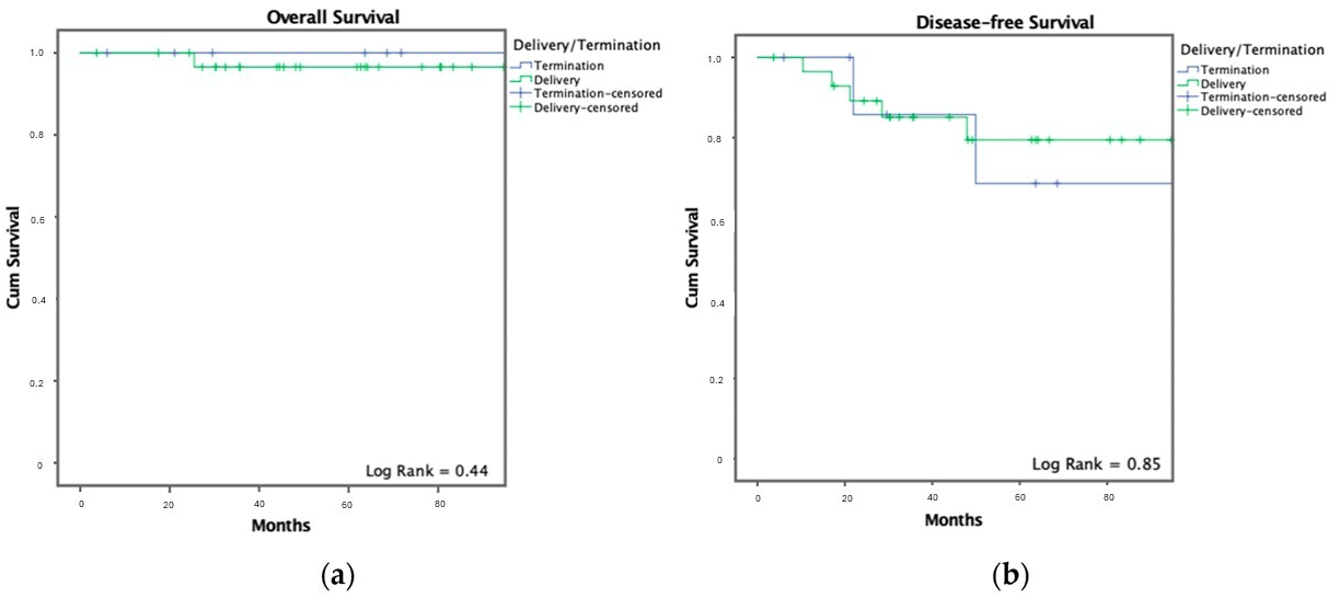
3.5. Pregnancy Continuation vs. Termination
4. Discussion
5. Conclusions
Author Contributions
Funding
Institutional Review Board Statement
Informed Consent Statement
Data Availability Statement
Conflicts of Interest
Abbreviations
| PABC | Pregnancy-associated breast cancer |
| PrBC | Breast cancer occurring during pregnancy |
| PPBC | Postpartum breast cancer |
| OS | Overall survival |
| DFS | Disease-free survival |
| DDFS | Distant disease-free survival |
| MDMs | Multidisciplinary team meetings |
| TNBC | Triple negative breast cancer |
| DCI | Ductal invasive carcinoma |
| DCIS | Ductal in situ carcinoma |
| NACT | Neoadjuvant chemotherapy |
| RT | Radiotherapy |
| BCS | Breast conserving surgery |
| IBR | Immediate breast reconstruction |
| pCR | Pathologic complete response |
| MRI | Magnetic Resonance Imaging |
| FPG | Fondazione Policlinico Universitario A Gemelli IRCCS |
| OIT | Ospedale Isola Tiberina—Gemelli Isola |
References
- Amant, F.; Loibl, S.; Neven, P.; Van Calsteren, K. Breast Cancer in Pregnancy. Lancet 2012, 379, 570–579. [Google Scholar] [CrossRef]
- Akhlaqi, M.; Ghofrani, A.; Najdi, N.; Ranjkesh, M.; Almasi-Hashiani, A. A Systematic Review and Meta-Analysis of Pregnancy-Associated Breast Cancer Incidence Rate. BMC Cancer 2025, 25, 660. [Google Scholar] [CrossRef]
- Andersson, T.M.-L.; Johansson, A.L.V.; Hsieh, C.-C.; Cnattingius, S.; Lambe, M. Increasing Incidence of Pregnancy-Associated Breast Cancer in Sweden. Obstet. Gynecol. 2009, 114, 568–572. [Google Scholar] [CrossRef]
- Parazzini, F.; Franchi, M.; Tavani, A.; Negri, E.; Peccatori, F.A. Frequency of Pregnancy Related Cancer: A Population Based Linkage Study in Lombardy, Italy. Int. J. Gynecol. Cancer 2017, 27, 613–619. [Google Scholar] [CrossRef] [PubMed]
- Cheesman, W.S. Influence of Pregnancy on Cancer of the Breast. Ann. Surg. 1907, 46, 487–488. [Google Scholar] [CrossRef] [PubMed]
- Johansson, A.L.V.; Andersson, T.M.-L.; Hsieh, C.-C.; Jirström, K.; Dickman, P.; Cnattingius, S.; Lambe, M. Stage at Diagnosis and Mortality in Women with Pregnancy-Associated Breast Cancer (PABC). Breast Cancer Res. Treat. 2013, 139, 183–192. [Google Scholar] [CrossRef]
- Johansson, A.L.V.; Fredriksson, I.; Mellemkjaer, L.; Stensheim, H.; Lähteenmäki, P.; Winther, J.F.; Ullenhag, G.J.; Lundberg, F.E. Cancer Survival in Women Diagnosed with Pregnancy-Associated Cancer: An Overview Using Nationwide Registry Data in Sweden 1970-2018. Eur. J. Cancer 2021, 155, 106–115. [Google Scholar] [CrossRef]
- Bae, S.Y.; Kim, S.J.; Lee, J.; Lee, E.S.; Kim, E.-K.; Park, H.Y.; Suh, Y.J.; Kim, H.K.; You, J.-Y.; Jung, S.P. Clinical Subtypes and Prognosis of Pregnancy-Associated Breast Cancer: Results from the Korean Breast Cancer Society Registry Database. Breast Cancer Res. Treat. 2018, 172, 113–121. [Google Scholar] [CrossRef]
- Madaras, L.; Kovács, K.A.; Szász, A.M.; Kenessey, I.; Tőkés, A.-M.; Székely, B.; Baranyák, Z.; Kiss, O.; Dank, M.; Kulka, J. Clinicopathological Features and Prognosis of Pregnancy Associated Breast Cancer—A Matched Case Control Study. Pathol. Oncol. Res. 2014, 20, 581–590. [Google Scholar] [CrossRef] [PubMed]
- Kim, Y.G.; Jeon, Y.W.; Ko, B.K.; Sohn, G.; Kim, E.-K.; Moon, B.-I.; Youn, H.J.; Kim, H.-A. Korean Breast Cancer Society Clinicopathologic Characteristics of Pregnancy-Associated Breast Cancer: Results of Analysis of a Nationwide Breast Cancer Registry Database. J. Breast Cancer 2017, 20, 264. [Google Scholar] [CrossRef]
- Loibl, S.; Azim, H.A.; Bachelot, T.; Berveiller, P.; Bosch, A.; Cardonick, E.; Denkert, C.; Halaska, M.J.; Hoeltzenbein, M.; Johansson, A.L.V.; et al. ESMO Expert Consensus Statements on the Management of Breast Cancer during Pregnancy (PrBC). Ann. Oncol. 2023, 34, 849–866. [Google Scholar] [CrossRef]
- Amant, F.; Lefrère, H.; Borges, V.F.; Cardonick, E.; Lambertini, M.; Loibl, S.; Peccatori, F.; Partridge, A.; Schedin, P. The Definition of Pregnancy-Associated Breast Cancer Is Outdated and Should No Longer Be Used. Lancet Oncol. 2021, 22, 753–754. [Google Scholar] [CrossRef]
- Lefrère, H.; Lenaerts, L.; Borges, V.F.; Schedin, P.; Neven, P.; Amant, F. Postpartum Breast Cancer: Mechanisms Underlying Its Worse Prognosis, Treatment Implications, and Fertility Preservation. Int. J. Gynecol. Cancer 2021, 31, 412–422. [Google Scholar] [CrossRef]
- Shao, C.; Yu, Z.; Xiao, J.; Liu, L.; Hong, F.; Zhang, Y.; Jia, H. Prognosis of Pregnancy-Associated Breast Cancer: A Meta-Analysis. BMC Cancer 2020, 20, 746. [Google Scholar] [CrossRef]
- Bakhuis, C.F.J.; Preković, S.; Suelmann, B.B.M.; Verloop, J.; Westenend, P.J.; Linn, S.C.; Van Diest, P.J.; Van Der Wall, E.; Van Dooijeweert, C. Worse Prognosis for Breast Cancer Diagnosed in Advanced Pregnancy and Shortly Postpartum: An Update of the Dutch Pregnancy-Associated Breast Cancer Cohort. Breast Cancer Res. Treat. 2025, 214, 191–204. [Google Scholar] [CrossRef] [PubMed]
- Schedin, P. Pregnancy-Associated Breast Cancer and Metastasis. Nat. Rev. Cancer 2006, 6, 281–291. [Google Scholar] [CrossRef] [PubMed]
- Lyons, T.R.; Schedin, P.J.; Borges, V.F. Pregnancy and Breast Cancer: When They Collide. J. Mammary Gland Biol. Neoplasia 2009, 14, 87–98. [Google Scholar] [CrossRef] [PubMed]
- Jindal, S.; Pennock, N.D.; Sun, D.; Horton, W.; Ozaki, M.K.; Narasimhan, J.; Bartlett, A.Q.; Weinmann, S.; Goss, P.E.; Borges, V.F.; et al. Postpartum Breast Cancer Has a Distinct Molecular Profile That Predicts Poor Outcomes. Nat. Commun. 2021, 12, 6341. [Google Scholar] [CrossRef]
- Borges, V.F.; Elder, A.M.; Lyons, T.R. Deciphering Pro-Lymphangiogenic Programs during Mammary Involution and Postpartum Breast Cancer. Front. Oncol. 2016, 6, 227. [Google Scholar] [CrossRef]
- Paris, I.; Di Giorgio, D.; Carbognin, L.; Corrado, G.; Garganese, G.; Franceschini, G.; Sanchez, A.M.; De Vincenzo, R.P.; Accetta, C.; Terribile, D.A.; et al. Pregnancy-Associated Breast Cancer: A Multidisciplinary Approach. Clin. Breast Cancer 2021, 21, e120–e127. [Google Scholar] [CrossRef]
- Blundo, C.; Giroda, M.; Fusco, N.; Sajjadi, E.; Venetis, K.; Leonardi, M.C.; Vicini, E.; Despini, L.; Rossi, C.F.; Runza, L.; et al. Early Breast Cancers During Pregnancy Treated with Breast-Conserving Surgery in the First Trimester of Gestation: A Feasibility Study. Front. Oncol. 2021, 11, 723693. [Google Scholar] [CrossRef]
- Li, Y.; Lu, S.; Zhang, Y.; Wang, S.; Liu, H. Loco-Regional Recurrence Trend and Prognosis in Young Women with Breast Cancer According to Molecular Subtypes: Analysis of 1099 Cases. World J. Surg. Oncol. 2021, 19, 113. [Google Scholar] [CrossRef]
- Larson, K.E.; Grobmyer, S.R.; Valente, S.A. Evaluation of Recurrence Patterns and Survival in Modern Series of Young Women with Breast Cancer. Breast J. 2018, 24, 749–754. [Google Scholar] [CrossRef]
- Scardina, L.; Carnassale, B.; Di Leone, A.; Sanchez, A.M.; Biondi, E.; Moschella, F.; D’Archi, S.; Franco, A.; De Lauretis, F.; Di Guglielmo, E.; et al. Young Women with Early-Stage Breast Cancer Treated with Upfront Surgery: Overview of Oncological Outcomes. J. Clin. Med. 2024, 13, 3966. [Google Scholar] [CrossRef]
- Paik, P.S.; Choi, J.E.; Lee, S.W.; Lee, Y.J.; Kang, Y.-J.; Lee, H.J.; Bae, S.Y. Korean Breast Cancer Society Clinical Characteristics and Prognosis of Postpartum Breast Cancer. Breast Cancer Res. Treat. 2023, 202, 275–286. [Google Scholar] [CrossRef] [PubMed]
- Boere, I.; Lok, C.; Poortmans, P.; Koppert, L.; Painter, R.; Vd Heuvel-Eibrink, M.M.; Amant, F. Breast Cancer during Pregnancy: Epidemiology, Phenotypes, Presentation during Pregnancy and Therapeutic Modalities. Best Pract. Res. Clin. Obstet. Gynaecol. 2022, 82, 46–59. [Google Scholar] [CrossRef] [PubMed]
- Han, B.-Y.; Li, X.-G.; Zhao, H.-Y.; Hu, X.; Ling, H. Clinical Features and Survival of Pregnancy-Associated Breast Cancer: A Retrospective Study of 203 Cases in China. BMC Cancer 2020, 20, 244. [Google Scholar] [CrossRef] [PubMed]
- Martín Cameán, M.; Jaunarena, I.; Sánchez-Méndez, J.I.; Martín, C.; Boria, F.; Martín, E.; Spagnolo, E.; Zapardiel, I.; Hernández Gutiérrez, A. Survival in Pregnancy-Associated Breast Cancer Patients Compared to Non-Pregnant Controls. Reprod. Biol. Endocrinol. 2024, 22, 34. [Google Scholar] [CrossRef]
- Martinson, H.A.; Jindal, S.; Durand-Rougely, C.; Borges, V.F.; Schedin, P. Wound Healing-like Immune Program Facilitates Postpartum Mammary Gland Involution and Tumor Progression. Int. J. Cancer 2015, 136, 1803–1813. [Google Scholar] [CrossRef]
- Lyons, T.R.; O’Brien, J.; Borges, V.F.; Conklin, M.W.; Keely, P.J.; Eliceiri, K.W.; Marusyk, A.; Tan, A.-C.; Schedin, P. Postpartum Mammary Gland Involution Drives Progression of Ductal Carcinoma in Situ through Collagen and COX-2. Nat. Med. 2011, 17, 1109–1115. [Google Scholar] [CrossRef]
- Dou, H.; Jia, S.; Ba, Y.; Luo, D.; Yu, P.; Li, F.; Wang, Y.; Chen, X.; Xiao, M. Clinical Characteristics and Pathologic Complete Response (pCR) Rate after Neoadjuvant Chemotherapy in Postpartum Women with Breast Cancer. J. Cancer Res. Clin. Oncol. 2023, 149, 14185–14204. [Google Scholar] [CrossRef]
- Labrosse, J.; Abdennebi, I.; Thibault, L.; Laas, E.; Merckelbagh, H.; Morel, C.; Lam, T.; Lae, M.; Reyal, F.; Hamy, A.-S. Chemosensitivity, Tumor Infiltrating Lymphocytes (TILs), and Survival of Postpartum PABC Patients Treated by Neoadjuvant Chemotherapy. Breast 2018, 42, 61–67. [Google Scholar] [CrossRef]
- Tan, Q.T.; Alcantara, V.S.; Sultana, R.; Loh, K.W.-J.; Go, A.L.; Wong, F.Y. Pregnancy-Associated Breast Cancer: A Multicenter Study Comparing Clinicopathological Factors, Diagnosis and Treatment Outcomes with Non-Pregnant Patients. Breast Cancer Res. Treat. 2023, 198, 53–66. [Google Scholar] [CrossRef] [PubMed]
- Cardonick, E.H.; Gringlas, M.B.; Hunter, K.; Greenspan, J. Development of Children Born to Mothers with Cancer during Pregnancy: Comparing in Utero Chemotherapy-Exposed Children with Nonexposed Controls. Am. J. Obstet. Gynecol. 2015, 212, 658.E1–658.E8. [Google Scholar] [CrossRef] [PubMed]



| Characteristic | Category | n (%) |
|---|---|---|
| Age at diagnosis (years) | Median (range) | 37 (25–47) |
| Previous pregnancy | Yes | 43 (66.2%) |
| No | 22 (33.8%) | |
| Genetic testing † | BRCA1 | 7 (12.7%) |
| BRCA2 | 4 (7.3%) | |
| PALB2 | 1 (1.8%) | |
| None/Not tested | 43 (78.2%) | |
| Pregnancy outcome | Childbirth | 66 (86.8%) |
| Termination (any cause) | 10 (13.2%) | |
| Clinical tumor stage | Tis | 2 (3.0%) |
| T1b | 6 (9.0%) | |
| T1c | 19 (28.4%) | |
| T2 | 31 (46.3%) | |
| T3 | 8 (11.9%) | |
| T4 | 1 (1.5%) | |
| Final tumor stage † | pTis | 2 (2.9%) |
| pT0 | 13 (18.6%) | |
| pT1mi | 6 (8.6%) | |
| pT1a | 4 (5.7%) | |
| pT1b | 4 (5.7%) | |
| pT1c | 23 (32.9%) | |
| pT2 | 13 (18.6%) | |
| pT3 | 5 (7.1%) | |
| Clinical nodal status † | N0 | 29 (48.3%) |
| N1 | 26 (43.3%) | |
| N2 | 5 (8.3%) | |
| Final nodal status ◊ | pN0 | 38 (56.7%) |
| pN1 | 18 (26.9%) | |
| pN2 | 10 (14.9%) | |
| pN3 | 1 (1.5%) | |
| Metastatic disease at diagnosis | Yes | 7 (9.2%) |
| No | 69 (90.8%) | |
| Histologic type | Invasive ductal carcinoma | 67 (88.2%) |
| Invasive lobular carcinoma | 3 (3.9%) | |
| DCIS | 2 (2.6%) | |
| Other | 4 (5.3%) | |
| Final disease stage † | 0 | 2 (2.7%) |
| I | 12 (16.2%) | |
| IIa | 21 (28.4%) | |
| IIb | 18 (24.3%) | |
| IIIa | 12 (16.2%) | |
| IIIb | 1 (1.4%) | |
| IIIc | 1 (1.4%) | |
| IV | 7 (12.2%) | |
| Tumor grade ◊ | G1 | 1 (1.4%) |
| G2 | 25 (36.2%) | |
| G3 | 43 (62.3%) | |
| Subtype | Luminal A | 6 (7.9%) |
| Luminal B | 31 (40.8%) | |
| HER2+/ER− | 11 (14.5%) | |
| HER2+/ER+ | 8 (10.5%) | |
| Triple negative (TNBC) | 18 (23.7%) | |
| DCIS | 2 (2.6%) | |
| Multifocality † | Yes | 13 (18.1%) |
| No | 59 (81.9%) |
| Characteristic ‡ | Category | n (%) |
|---|---|---|
| Timing of surgery | First trimester | 6 (7.9%) |
| Second trimester | 6 (7.9%) | |
| Third trimester | 7 (9.2%) | |
| Postpartum | 46 (60.5%) | |
| Post-termination | 8 (10.5%) | |
| No surgery | 3 (3.9%) | |
| Type of breast surgery † | Mastectomy | 33 (45.2%) |
| – with immediate reconstruction | 29 (87.9%) | |
| – without reconstruction | 4 (12.1%) | |
| Breast-conserving surgery (BCS) | 40 (54.8%) | |
| Axillary surgery | Sentinel lymph node biopsy (SLNB) | 32 (45.7%) |
| Nodal sampling | 7 (10.0%) | |
| Axillary dissection (SLNB+) | 8 (11.4%) | |
| Upfront axillary dissection | 23 (32.9%) | |
| Surgery during pregnancy † | Yes | 19 (26.0%) |
| No | 54 (74.0%) | |
| Neoadjuvant chemotherapy (NACT) | Any NACT | 35 (46.1%) |
| NACT during pregnancy | 10 (13.2%) | |
| NACT response § | Complete response | 13 (37.1%) |
| Major response | 8 (22.9%) | |
| Partial response | 11 (31.4%) | |
| No response | 3 (8.6%) |
| Variable | PPBC (n = 35) | PrBC (n = 41) | p-Value |
|---|---|---|---|
| Subtype | |||
| TNBC | 12 (34.3%) | 6 (14.6%) | 0.43 |
| HER2+/ER− | 5 (14.3%) | 6 (14.6%) | |
| HER2+/ER+ | 4 (11.4%) | 4 (9.8%) | |
| Luminal B | 11 (31.4%) | 20 (48.8%) | |
| Luminal A | 2 (5.7%) | 4 (9.8%) | |
| DCIS | 1 (2.9%) | 1 (2.4%) | |
| Tumor grade | |||
| G1 | 1 (3.1%) | 0 | |
| G2 | 8 (25.0%) | 17 (45.9%) | 0.13 |
| G3 | 23 (71.9%) | 20 (54.1%) | |
| Stage (final) | |||
| 0/I | 5 (14.3%) | 9 (23.1%) | 0.30 |
| II | 23 (65.7%) | 16 (41.0%) | |
| III | 5 (14.3%) | 9 (23.1%) | |
| IV | 2 (5.7%) | 5 (12.8%) | |
| Genetic mutation | 6 (23.0%) | 6 (20.7%) | 0.76 |
| Prior pregnancy | 24 (77.4%) | 19 (55.9%) | 0.067 |
| Type of breast surgery | |||
| Mastectomy | 19 (55.9%) | 14 (35.9%) | 0.09 |
| BCS | 15 (44.1%) | 25 (64.1%) | |
| Axillary surgery | |||
| SLNB | 16 (47.1%) | 16 (44.4%) | 0.92 |
| Upfront dissection | 10 (29.4%) | 13 (36.1%) | |
| Dissection (SLNB+) | 4 (11.8%) | 4 (11.1%) | |
| Neoadjuvant Chemotherapy (NACT) | 21 (60.0%) | 14 (34.1%) | 0.024 |
| Response to NACT † | |||
| Complete response | 9 (42.8%) | 4 (28.6%) | 0.176 |
| Major response | 5 (23.8%) | 3 (21.4%) | |
| Partial response | 6 (28.6%) | 5 (35.7%) | |
| Non-responder | 1 (4.8%) | 2 (14.3%) |
| Recurrence Type | PABC (n = 76) | PPBC (n = 35) | PrBC (n = 41) | p-Value § |
|---|---|---|---|---|
| No recurrence | 55 (72.4%) | 24 (68.6%) | 31 (75.6%) | — |
| Local recurrence | 7 (9.2%) | 3 (8.6%) | 4 (9.8%) | — |
| Any systemic recurrence † | 14 (18.4%) | 8 (22.9%) | 6 (14.6%) | 0.659 |
Disclaimer/Publisher’s Note: The statements, opinions and data contained in all publications are solely those of the individual author(s) and contributor(s) and not of MDPI and/or the editor(s). MDPI and/or the editor(s) disclaim responsibility for any injury to people or property resulting from any ideas, methods, instructions or products referred to in the content. |
© 2025 by the authors. Licensee MDPI, Basel, Switzerland. This article is an open access article distributed under the terms and conditions of the Creative Commons Attribution (CC BY) license (https://creativecommons.org/licenses/by/4.0/).
Share and Cite
Mason, E.J.; Di Leone, A.; Carnassale, B.; Franco, A.; Accetta, C.; D’Archi, S.; De Lauretis, F.; Gagliardi, F.; Gambaro, E.; Russo, M.L.; et al. Pregnancy vs. Postpartum Breast Cancer: Distinct Tumor Biology and Survival Trends in a Contemporary Cohort. Cancers 2025, 17, 4031. https://doi.org/10.3390/cancers17244031
Mason EJ, Di Leone A, Carnassale B, Franco A, Accetta C, D’Archi S, De Lauretis F, Gagliardi F, Gambaro E, Russo ML, et al. Pregnancy vs. Postpartum Breast Cancer: Distinct Tumor Biology and Survival Trends in a Contemporary Cohort. Cancers. 2025; 17(24):4031. https://doi.org/10.3390/cancers17244031
Chicago/Turabian StyleMason, Elena Jane, Alba Di Leone, Beatrice Carnassale, Antonio Franco, Cristina Accetta, Sabatino D’Archi, Flavia De Lauretis, Federica Gagliardi, Elisabetta Gambaro, Marzia Lo Russo, and et al. 2025. "Pregnancy vs. Postpartum Breast Cancer: Distinct Tumor Biology and Survival Trends in a Contemporary Cohort" Cancers 17, no. 24: 4031. https://doi.org/10.3390/cancers17244031
APA StyleMason, E. J., Di Leone, A., Carnassale, B., Franco, A., Accetta, C., D’Archi, S., De Lauretis, F., Gagliardi, F., Gambaro, E., Russo, M. L., Magno, S., Moschella, F., Murando, F., Natale, M., Sanchez, A. M., Scardina, L., Silenzi, M., Fabi, A., Paris, I., ... Franceschini, G. (2025). Pregnancy vs. Postpartum Breast Cancer: Distinct Tumor Biology and Survival Trends in a Contemporary Cohort. Cancers, 17(24), 4031. https://doi.org/10.3390/cancers17244031

