Anti-Leukemic Effects Induced by Dendritic Cells of Leukemic Origin from Leukemic Blood Samples Are Comparable under Hypoxic vs. Normoxic Conditions
Abstract
Simple Summary
Abstract
1. Introduction
2. Material and Methods
2.1. Sample Collection
2.2. Patients’ Characteristics and Diagnostics
2.3. Cellular Composition of Uncultured Blood Samples Used for Subsequent Experiments
2.4. Cell Cultures Experiments
2.5. Generation of DC/DCleu from AML Cell Lines
2.6. Generation of DC/DCleu from Isolated PBMNC or WB
2.6.1. Picibanil-PGE1 (Pici-PGE1)
2.6.2. Picibanil-PGE2 (Pici-PGE2)
2.6.3. Kit I
2.6.4. Kit M
| DC/DCleu-Generating Protocol | Component | Concentration | Sources of DC/DCleu | Mode of Action | Culture Time | References |
|---|---|---|---|---|---|---|
| Pici-PGE1 | GM-CSF | 500 U/mL | PBMNC | GM-CSF: induction of myeloid (DC-) differentiation | 7–10 Days | [6] |
| IL 4 | 250 U/mL | |||||
| OK-432 | 10 μg/mL | |||||
| PGE1 | 1 μg/mL | |||||
| Pici-PGE2 | GM-CSF | 500 U/mL | PBMNC | IL-4: induction of DC-differentiation/maturation | 7–10 Days | [6,28] |
| IL 4 | 250 U/mL | |||||
| OK-432 | 10 μg/mL | |||||
| PGE2 | 1 μg/mL | |||||
| Kit I * | GM-CSF | 800 U/mL | WB/ Cell lines | Picibanil (OK-432): lysis product from streptococcus pyogenes; stimulates DC-differentiation | 7–10 Days | [26] |
| OK-432 | 1 μg/mL | |||||
| Kit M * | GM-CSF | 800 U/mL | WB/ Cell lines | PGE1: increases CCR7-expression and enhances DC/DCleu-maturation | 7–10 Days | [26] |
| PGE1 | 1 μg/mL |
2.7. Cell-Characterization by Flow Cytometry
2.8. Mixed Lymphocyte Culture (MLC) of T Cell Enriched Immune Reactive Cells with Kit Treated vs Untreated WB from AML-Patients
| Name of Subgroup | Referred to | Surface Marker (CD) | Abbreviation | References | |
|---|---|---|---|---|---|
| Monocytes | CD14+ monocytes | PBMNC, WB | CD14+ | [8,9] | |
| Blasts and DC/DCleu | Leukemic blasts | cells (PBMNC, WB) | Bla+ (CD15, CD33, CD34, CD65, CD117) | Bla+/ cells (PBMNC, WB) | [8,9] |
| Dendritic cells | cells (PBMNC, WB) | DC+ (CD80, CD83, CD86, CD206, CD209) | DC+/cells (PBMNC, WB) | [8,9] | |
| Leukemia derived DC | cells (PBMNC, WB | DC+Bla+ | DCleu/cells (PBMNC, WB) | [8,9] | |
| DCleu in DC fraction | DC+ | DC+Bla+ | DCleu/DC+ | [8,9] | |
| DCleu in leukemic blast fraction | Bla+ | DC+Bla+ | DCleu/Bla+ | [8,9] | |
| Mature DC in DC fraction | DC+ | DC+CD197+ | DCmat/DC+ | [8,9] | |
| Proliferating leukemic blasts | WB | Bla+DC- CD71+ | Blaprol-CD71/Bla+ | [29] | |
| Proliferating leukemic blasts | WB | Bla+DC- IPO-38+ | Blaprol-IPO38/ Bla+ | [29] | |
| T cell substes | CD3+ pan-T cells | WB | CD3+ | CD3+/cells | [14] |
| CD4+ T cells | CD3+ | CD3+CD4+ | CD3+CD4+/CD3+ | [14] | |
| CD8+T cells | CD3+ | CD3+CD8+ | CD3+CD8+/CD3+ | [14] | |
| Naive T cells | CD3+ | CD3+CD45RO- | Tnaive/CD3+ | [14] | |
| Non-naive T cells | CD3+ | CD3+CD45RO+ | Tnon-naive/CD3+ | [14] | |
| Central (memory) T cells | CD3+ | CD3+CCR7+CD45RO+ | Tcm/CD3+ | [14] | |
| Effector (memory) T cells | CD3+ | CD3+CCR7-CD45RO+ | Teff-em/CD3+ | [14] | |
| Early proliferating T cells | CD3+ | CD3+CD69+ | Tprol-early/CD3+ | [14] | |
| Late proliferating T cells | CD3+ | CD3+CD71+ | Tprol-late/CD3+ | [14] | |
| CD4+Regulatory T cells | CD3+ | CD3+CD4+CD25++CD127low | CD4+Treg/CD4+ | [14,16]] | |
| CIK cells | Cytokine induced killer cells | MLC | CD3+CD56+ CD3+CD161+ | CD3+CD56+/MLC CD3+CD161+/MLC | [14,16,18,19] |
| NK cells | Natural killer cells | MLC | CD3-CD56+ CD3-CD161+ | CD3-CD56+/MLC CD3-CD161+/MLC | [14,16,18,19] |
| iNKT cells | Invariant natural killer cells | MLC | 6B11+ CD3+6B11+ | 6B11+/MLC CD3+6B11+/MLC | [14,16,18,19] |
2.9. Cytotoxicity Fluorolysis Assay (CTX)
2.10. Cell Cycle Experiments
2.11. Quantitative PCR (Real Time PCR)
2.12. Statistical Methods
3. Results
3.1. Prolog
3.2. AML Cell Lines’ Phenotypic and Genotypic Profiles Do Not Change under Hypoxic Culture
3.3. DC/DCleu Generation from Leukemic Cell Lines with Kits Is Comparable under Hypoxic and Normoxic Conditions without Induction of Blast Proliferation
3.4. Significantly Lower Frequencies of Cells from Leukemic Cell Lines Found in S-Phase of Cell Cycles under Hypoxic Compared to Normoxic Conditions
3.5. Generation of DC/DCleu from Leukemic and Healthy PBMNCs Is Comparable under Hypoxic and Normoxic Conditions
3.6. Generation of DC/DCleu with Kits from Leukemic and Healthy WB Is Comparable under Hypoxic and Normoxic Conditions—without Induction of Blasts’ Proliferation
3.7. Significantly Lower Frequencies of Treg Cells Found after MLCWB-DC Kits under Hypoxic Conditions Compared to Control
3.8. Kit Pre-Treated Leukemic WB, Leads to Significantly Improved Anti-Leukemic Activation after T Cell Enriched MLC, Especially in Hypoxic Conditions
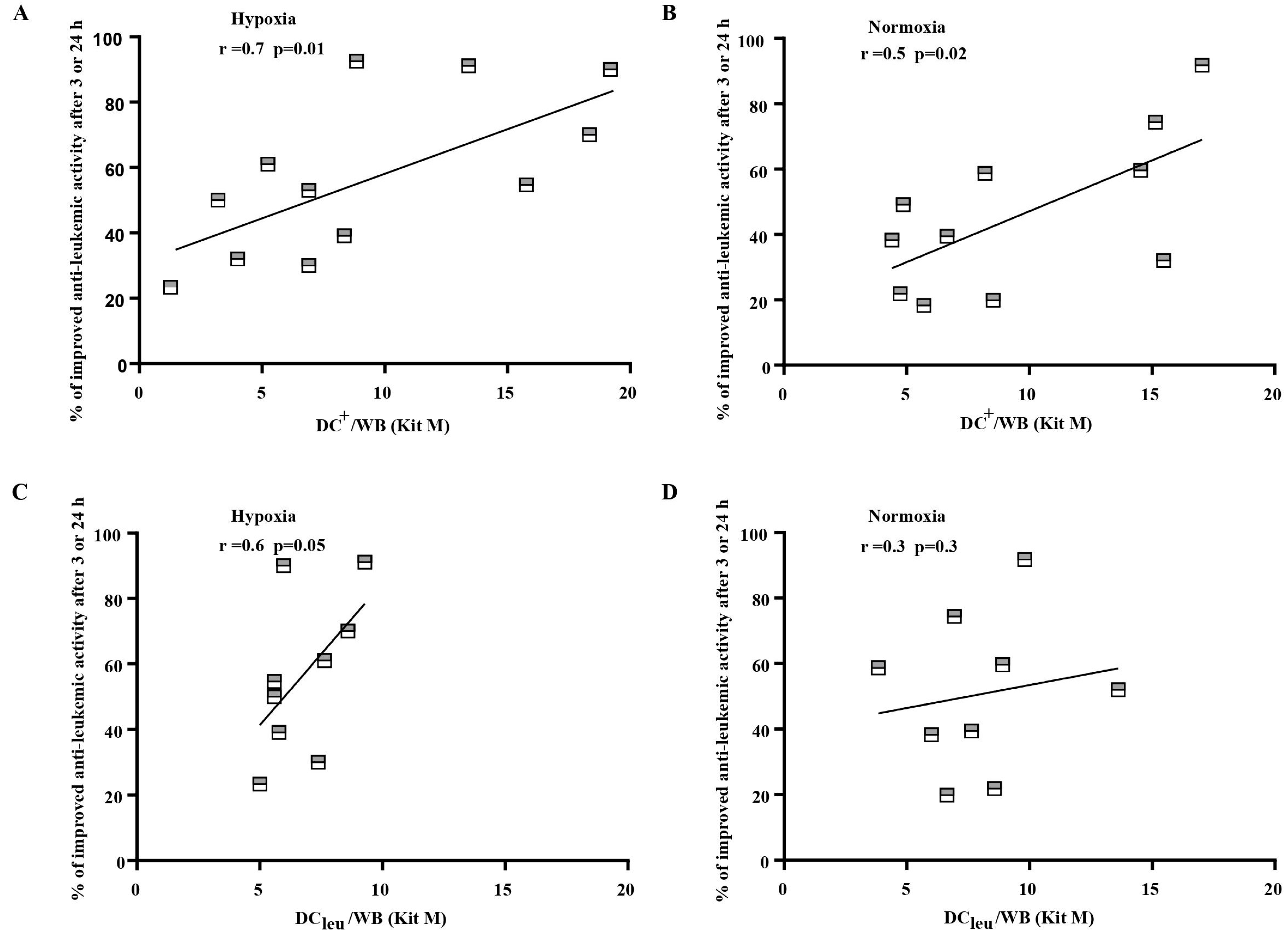
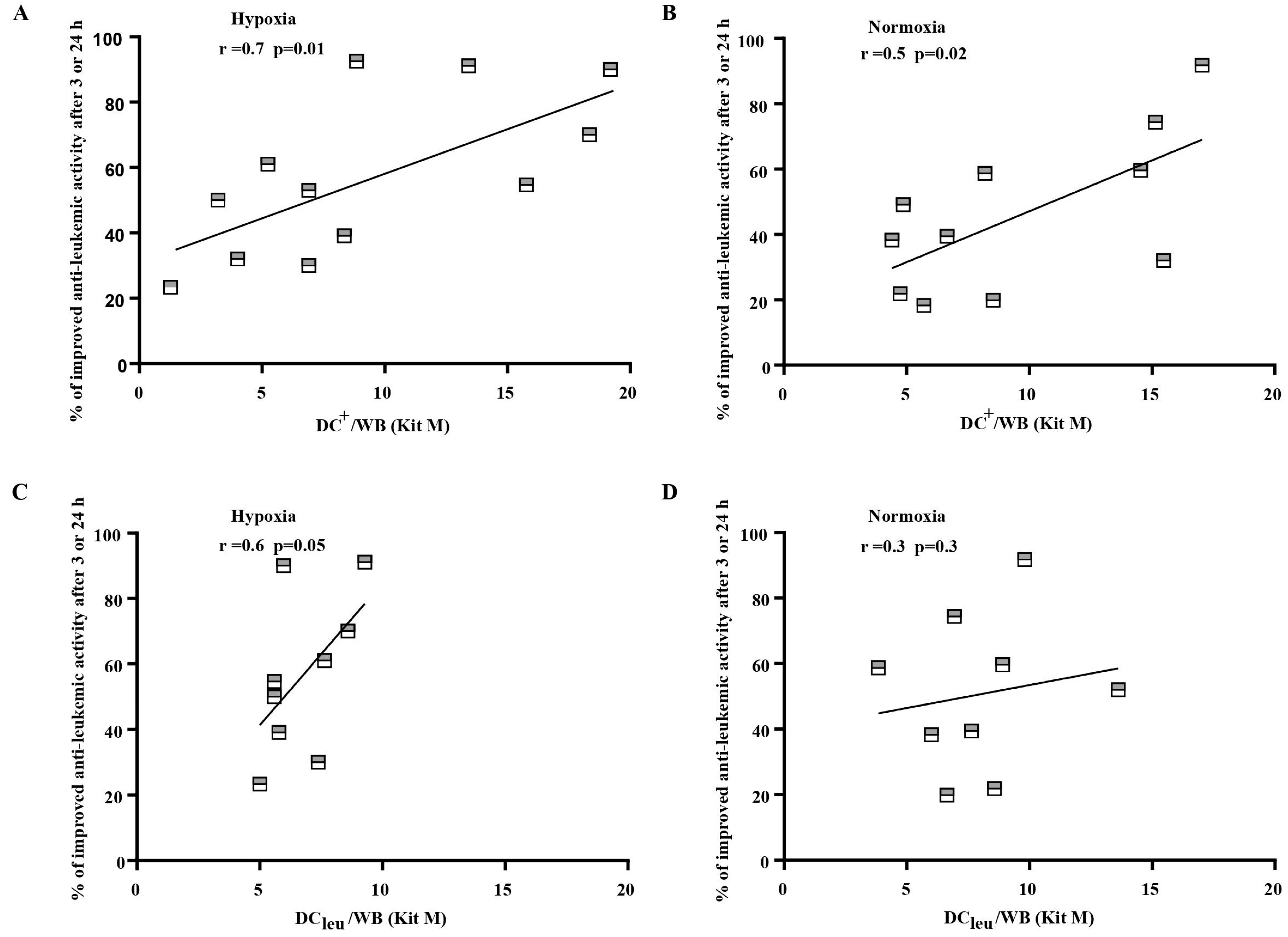
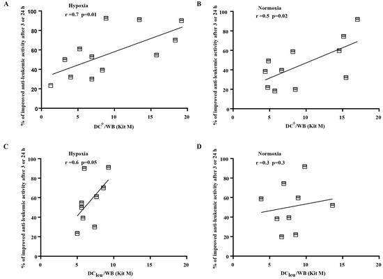
3.9. Significant Correlation of Anti-Leukemic Reactivity and DC/DCleu Subtypes under Hypoxic as Well as Normoxic Conditions
4. Discussion
4.1. DC/DCleu-Based Immunotherapy for AML
4.2. Hypoxia, a Condition with Influence on Haematological and Immune Reactions
4.3. Generation of DC/DCleu from Leukemic Cell Lines
4.4. DC/DCleu-Generation from Healthy and AML PBMNCs and WB
4.5. DC/DCleu-Stimulation in T Cell Enriched MLC Results in Activated Cells of the Innate and Adaptive Immune System
4.6. DC/DCleu Stimulation after T Cell Enriched MLC Results in Improved Anti-Leukemic Activity
4.7. Correlation of Anti-Leukemic Cytotoxicity of Immunoreactive Cells Stimulated by DC/DCleu
5. Conclusions
Author Contributions
Funding
Institutional Review Board Statement
Informed Consent Statement
Data Availability Statement
Acknowledgments
Conflicts of Interest
References
- Döhner, H.; Wei, A.H.; Appelbaum, F.R.; Craddock, C.; DiNardo, C.D.; Dombret, H.; Ebert, B.L.; Fenaux, P.; Godley, L.A.; Hasserjian, R.P.; et al. Diagnosis and management of AML in adults: 2022 recommendations from an international expert panel on behalf of the ELN. Blood 2022, 140, 1345–1377. [Google Scholar] [CrossRef] [PubMed]
- Heuser, M.; Ofran, Y.; Boissel, N.; Brunet Mauri, S.; Craddock, C.; Janssen, J.; Wierzbowska, A.; Buske, C. Acute myeloid leukaemia in adult patients: ESMO Clinical Practice Guidelines for diagnosis, treatment and follow-up. Ann. Oncol. 2020, 31, 697–712. [Google Scholar] [CrossRef]
- Yuan, C.; Song, G.; Jiang, G. The characterization and role of leukemia cell-derived dendritic cells in immunotherapy for leukemic diseases. Intractable Rare Dis. Res. 2012, 1, 53–65. [Google Scholar] [CrossRef] [PubMed][Green Version]
- Van Acker, H.H.; Versteven, M.; Lichtenegger, F.S.; Roex, G.; Campillo-Davo, D.; Lion, E.; Subklewe, M.; Van Tendeloo, V.F.; Berneman, Z.N.; Anguille, S. Dendritic Cell-Based Immunotherapy of Acute Myeloid Leukemia. J. Clin. Med. 2019, 8, 579. [Google Scholar] [CrossRef] [PubMed]
- Beaulieu, S.; Robbiani, D.F.; Du, X.; Rodrigues, E.; Ignatius, R.; Wei, Y.; Ponath, P.; Young, J.W.; Pope, M.; Steinman, R.M.; et al. Expression of a functional eotaxin (CC chemokine ligand 11) receptor CCR3 by human dendritic cells. J. Immunol. 2002, 169, 2925–2936. [Google Scholar] [CrossRef] [PubMed]
- Amberger, D.C.; Doraneh-Gard, F.; Gunsilius, C.; Weinmann, M.; Mobius, S.; Kugler, C.; Rogers, N.; Bock, C.; Kodel, U.; Werner, J.O.; et al. PGE1-Containing Protocols Generate Mature (Leukemia-Derived) Dendritic Cells Directly from Leukemic Whole Blood. Int. J. Mol. Sci. 2019, 20, 4590. [Google Scholar] [CrossRef] [PubMed]
- Wan, H.; Dupasquier, M. Dendritic cells in vivo and in vitro. Cell Mol. Immunol. 2005, 2, 28–35. [Google Scholar] [PubMed]
- Schmetzer, H.M.; Kremser, A.; Loibl, J.; Kroell, T.; Kolb, H.J. Quantification of ex vivo generated dendritic cells (DC) and leukemia-derived DC contributes to estimate the quality of DC, to detect optimal DC-generating methods or to optimize DC-mediated T-cell-activation-procedures ex vivo or in vivo. Leukemia 2007, 21, 1338–1341. [Google Scholar] [CrossRef] [PubMed]
- Kremser, A.; Dressig, J.; Grabrucker, C.; Liepert, A.; Kroell, T.; Scholl, N.; Schmid, C.; Tischer, J.; Kufner, S.; Salih, H.; et al. Dendritic cells (DCs) can be successfully generated from leukemic blasts in individual patients with AML or MDS: An evaluation of different methods. J. Immunother. 2010, 33, 185–199. [Google Scholar] [CrossRef]
- Johnson, L.A.; Jackson, D.G. Control of dendritic cell trafficking in lymphatics by chemokines. Angiogenesis 2014, 17, 335–345. [Google Scholar] [CrossRef]
- Lanzavecchia, A.; Sallusto, F. Regulation of T cell immunity by dendritic cells. Cell 2001, 106, 263–266. [Google Scholar] [CrossRef] [PubMed]
- Grakoui, A.; Bromley, S.K.; Sumen, C.; Davis, M.M.; Shaw, A.S.; Allen, P.M.; Dustin, M.L. Pillars article: The immunological synapse: A molecular machine controlling T cell activation. Science. 1999, 285: 221–227. J. Immunol. 2015, 194, 4066–4072. [Google Scholar] [PubMed]
- Golubovskaya, V.; Wu, L. Different Subsets of T Cells, Memory, Effector Functions, and CAR-T Immunotherapy. Cancers 2016, 8, 36. [Google Scholar] [CrossRef] [PubMed]
- Schick, J.; Vogt, V.; Zerwes, M.; Kroell, T.; Kraemer, D.; Kohne, C.H.; Hausmann, A.; Buhmann, R.; Tischer, J.; Schmetzer, H. Antileukemic T-cell responses can be predicted by the composition of specific regulatory T-cell subpopulations. J. Immunother. 2013, 36, 223–237. [Google Scholar] [CrossRef] [PubMed]
- Vogt, V.; Schick, J.; Ansprenger, C.; Braeu, M.; Kroell, T.; Kraemer, D.; Kohne, C.H.; Hausmann, A.; Buhmann, R.; Tischer, J.; et al. Profiles of activation, differentiation-markers, or beta-integrins on T cells contribute to predict T cells’ antileukemic responses after stimulation with leukemia-derived dendritic cells. J. Immunother. 2014, 37, 331–347. [Google Scholar] [CrossRef] [PubMed]
- Pepeldjiyska, E.; Li, L.; Gao, J.; Seidel, C.L.; Blasi, C.; Özkaya, E.; Schmohl, J.; Kraemer, D.; Schmid, C.; Rank, A.; et al. Leukemia derived dendritic cell (DC(leu)) mediated immune response goes along with reduced (leukemia-specific) regulatory T-cells. Immunobiology 2022, 227, 152237. [Google Scholar] [CrossRef] [PubMed]
- Robertson, F.C.; Berzofsky, J.A.; Terabe, M. NKT cell networks in the regulation of tumor immunity. Front. Immunol. 2014, 5, 543. [Google Scholar] [CrossRef] [PubMed]
- Montoya, C.J.; Pollard, D.; Martinson, J.; Kumari, K.; Wasserfall, C.; Mulder, C.B.; Rugeles, M.T.; Atkinson, M.A.; Landay, A.L.; Wilson, S.B. Characterization of human invariant natural killer T subsets in health and disease using a novel invariant natural killer T cell-clonotypic monoclonal antibody, 6B11. Immunology 2007, 122, 1–14. [Google Scholar] [CrossRef] [PubMed]
- Boeck, C.L.; Amberger, D.C.; Doraneh-Gard, F.; Sutanto, W.; Guenther, T.; Schmohl, J.; Schuster, F.; Salih, H.; Babor, F.; Borkhardt, A.; et al. Significance of Frequencies, Compositions, and/or Antileukemic Activity of (DC-stimulated) Invariant NKT, NK and CIK Cells on the Outcome of Patients With AML, ALL and CLL. J. Immunother. 2017, 40, 224–248. [Google Scholar] [CrossRef]
- Marenzana, M.; Arnett, T.R. The Key Role of the Blood Supply to Bone. Bone Res. 2013, 1, 203–215. [Google Scholar] [CrossRef]
- Deynoux, M.; Sunter, N.; Herault, O.; Mazurier, F. Hypoxia and Hypoxia-Inducible Factors in Leukemias. Front. Oncol. 2016, 6, 41. [Google Scholar] [CrossRef] [PubMed]
- Rieger, C.T.; Fiegl, M. Microenvironmental oxygen partial pressure in acute myeloid leukemia: Is there really a role for hypoxia? Exp. Hematol. 2016, 44, 578–582. [Google Scholar] [CrossRef]
- Vasold, J.; Wagner, M.; Drolle, H.; Deniffel, C.; Kutt, A.; Oostendorp, R.; Sironi, S.; Rieger, C.; Fiegl, M. The bone marrow microenvironment is a critical player in the NK cell response against acute myeloid leukaemia in vitro. Leuk. Res. 2015, 39, 257–262. [Google Scholar] [CrossRef] [PubMed]
- Sironi, S.; Wagner, M.; Kuett, A.; Drolle, H.; Polzer, H.; Spiekermann, K.; Rieger, C.; Fiegl, M. Microenvironmental hypoxia regulates FLT3 expression and biology in AML. Sci. Rep. 2015, 5, 17550. [Google Scholar] [CrossRef]
- Schwepcke, C.; Klauer, L.K.; Deen, D.; Amberger, D.C.; Fischer, Z.; Doraneh-Gard, F.; Gunsilius, C.; Hirn-Lopez, A.; Kroell, T.; Tischer, J.; et al. Generation of Leukaemia-Derived Dendritic Cells (DC(leu)) to Improve Anti-Leukaemic Activity in AML: Selection of the Most Efficient Response Modifier Combinations. Int. J. Mol. Sci. 2022, 23, 8333. [Google Scholar] [CrossRef]
- Hirn Lopez, A.; Deen, D.; Fischer, Z.; Rabe, A.; Ansprenger, C.; Stein, K.; Vogt, V.; Schick, J.; Kroell, T.; Kraemer, D.; et al. Role of Interferon (IFN)α in “Cocktails” for the Generation of (Leukemia-derived) Dendritic Cells (DCleu) From Blasts in Blood From Patients (pts) With Acute Myeloid Leukemia (AML) and the Induction of Antileukemic Reactions. J. Immunother. 2019, 42, 143–161. [Google Scholar] [CrossRef]
- Sato, M.; Takayama, T.; Tanaka, H.; Konishi, J.; Suzuki, T.; Kaiga, T.; Tahara, H. Generation of mature dendritic cells fully capable of T helper type 1 polarization using OK-432 combined with prostaglandin E(2). Cancer Sci. 2003, 94, 1091–1098. [Google Scholar] [CrossRef] [PubMed]
- Klauer, L.K.; Schutti, O.; Ugur, S.; Doraneh-Gard, F.; Amberger, D.C.; Rogers, N.; Krämer, D.; Rank, A.; Schmid, C.; Eiz-Vesper, B.; et al. Interferon Gamma Secretion of Adaptive and Innate Immune Cells as a Parameter to Describe Leukaemia-Derived Dendritic-Cell-Mediated Immune Responses in Acute Myeloid Leukaemia in vitro. Transfus. Med. Hemother. 2022, 49, 44–61. [Google Scholar] [CrossRef]
- Plett, C.; Klauer, L.K.; Amberger, D.C.; Ugur, S.; Rabe, A.; Fischer, Z.; Deen, D.; Hirn-Lopez, A.; Gunsilius, C.; Werner, J.O.; et al. Immunomodulatory kits generating leukaemia derived dendritic cells do not induce blast proliferation ex vivo: IPO-38 as a novel marker to quantify proliferating blasts in acute myeloid leukaemia. Clin. Immunol. 2022, 242, 109083. [Google Scholar] [CrossRef]
- Grabrucker, C.; Liepert, A.; Dreyig, J.; Kremser, A.; Kroell, T.; Freudenreich, M.; Schmid, C.; Schweiger, C.; Tischer, J.; Kolb, H.J.; et al. The quality and quantity of leukemia-derived dendritic cells from patients with acute myeloid leukemia and myelodysplastic syndrome are a predictive factor for the lytic potential of dendritic cells-primed leukemia-specific T cells. J. Immunother. 2010, 33, 523–537. [Google Scholar] [CrossRef]
- Kim, K.H.; Lee, J.M.; Zhou, Y.; Harpavat, S.; Moore, D.D. Glucocorticoids Have Opposing Effects on Liver Fibrosis in Hepatic Stellate and Immune Cells. Mol. Endocrinol. 2016, 30, 905–916. [Google Scholar] [CrossRef] [PubMed]
- Zhang, C.; Wang, Y.Q.; Jin, G.; Wu, S.; Cui, J.; Wang, R.F. Selection of reference genes for gene expression studies in human bladder cancer using SYBR-Green quantitative polymerase chain reaction. Oncol. Lett. 2017, 14, 6001–6011. [Google Scholar] [CrossRef] [PubMed]
- Cassier, P.A.; Castets, M.; Belhabri, A.; Vey, N. Targeting apoptosis in acute myeloid leukaemia. Br. J. Cancer 2017, 117, 1089–1098. [Google Scholar] [CrossRef] [PubMed]
- Geiger, T.L.; Rubnitz, J.E. New approaches for the immunotherapy of acute myeloid leukemia. Discov. Med. 2015, 19, 275–284. [Google Scholar] [PubMed]
- Subklewe, M.; von Bergwelt-Baildon, M.; Humpe, A. Chimeric Antigen Receptor T Cells: A Race to Revolutionize Cancer Therapy. Transfus. Med. Hemother. 2019, 46, 15–24. [Google Scholar] [CrossRef] [PubMed]
- Platt, A.M.; Randolph, G.J. Dendritic cell migration through the lymphatic vasculature to lymph nodes. Adv. Immunol. 2013, 120, 51–68. [Google Scholar] [CrossRef] [PubMed]
- Van Tendeloo, V.F.; Van de Velde, A.; Van Driessche, A.; Cools, N.; Anguille, S.; Ladell, K.; Gostick, E.; Vermeulen, K.; Pieters, K.; Nijs, G.; et al. Induction of complete and molecular remissions in acute myeloid leukemia by Wilms’ tumor 1 antigen-targeted dendritic cell vaccination. Proc. Natl. Acad. Sci. USA 2010, 107, 13824–13829. [Google Scholar] [CrossRef] [PubMed]
- Rosenblatt, J.; Stone, R.M.; Uhl, L.; Neuberg, D.; Joyce, R.; Levine, J.D.; Arnason, J.; McMasters, M.; Luptakova, K.; Jain, S.; et al. Individualized vaccination of AML patients in remission is associated with induction of antileukemia immunity and prolonged remissions. Sci. Trans. Med. 2016, 8, 368ra171. [Google Scholar] [CrossRef] [PubMed]
- Weinstock, M.; Rosenblatt, J.; Avigan, D. Dendritic Cell Therapies for Hematologic Malignancies. Mol. Ther. Methods Clin. Dev. 2017, 5, 66–75. [Google Scholar] [CrossRef]
- Fiegl, M.; Samudio, I.; Clise-Dwyer, K.; Burks, J.K.; Mnjoyan, Z.; Andreeff, M. CXCR4 expression and biologic activity in acute myeloid leukemia are dependent on oxygen partial pressure. Blood 2009, 113, 1504–1512. [Google Scholar] [CrossRef]
- Sitkovsky, M.V.; Hatfield, S.; Abbott, R.; Belikoff, B.; Lukashev, D.; Ohta, A. Hostile, hypoxia-A2-adenosinergic tumor biology as the next barrier to overcome for tumor immunologists. Cancer Immunol. Res. 2014, 2, 598–605. [Google Scholar] [CrossRef]
- Lee, C.T.; Mace, T.; Repasky, E.A. Hypoxia-driven immunosuppression: A new reason to use thermal therapy in the treatment of cancer? Int. J. Hyperth. 2010, 26, 232–246. [Google Scholar] [CrossRef] [PubMed]
- Abdollahi, H.; Harris, L.J.; Zhang, P.; McIlhenny, S.; Srinivas, V.; Tulenko, T.; DiMuzio, P.J. The role of hypoxia in stem cell differentiation and therapeutics. J. Surg. Res. 2011, 165, 112–117. [Google Scholar] [CrossRef] [PubMed]
- Carreau, A.; El Hafny-Rahbi, B.; Matejuk, A.; Grillon, C.; Kieda, C. Why is the partial oxygen pressure of human tissues a crucial parameter? Small molecules and hypoxia. J. Cell Mol. Med. 2011, 15, 1239–1253. [Google Scholar] [CrossRef] [PubMed]
- Drolle, H.; Wagner, M.; Vasold, J.; Kutt, A.; Deniffel, C.; Sotlar, K.; Sironi, S.; Herold, T.; Rieger, C.; Fiegl, M. Hypoxia regulates proliferation of acute myeloid leukemia and sensitivity against chemotherapy. Leuk. Res. 2015, 39, 779–785. [Google Scholar] [CrossRef] [PubMed]
- Baharaghdam, S.; Yousefi, M.; Movasaghpour, A.; Solali, S.; Talebi, M.; Ahani-Nahayati, M.; Lotfimehr, H.; Shamsasanjan, K. Effects of Hypoxia on Biology of Human Leukemia T-cell Line (MOLT-4 cells) Co-cultured with Bone Marrow Mesenchymal Stem Cells. Avicenna J. Med. Biotechnol. 2018, 10, 62–68. [Google Scholar] [PubMed]
- Goto, M.; Miwa, H.; Suganuma, K.; Tsunekawa-Imai, N.; Shikami, M.; Mizutani, M.; Mizuno, S.; Hanamura, I.; Nitta, M. Adaptation of leukemia cells to hypoxic condition through switching the energy metabolism or avoiding the oxidative stress. BMC Cancer 2014, 14, 76. [Google Scholar] [CrossRef] [PubMed]
- Köhler, T.; Reizis, B.; Johnson, R.S.; Weighardt, H.; Förster, I. Influence of hypoxia-inducible factor 1α on dendritic cell differentiation and migration. Eur. J. Immunol. 2012, 42, 1226–1236. [Google Scholar] [CrossRef] [PubMed]
- Rein, L.A.; Chao, N.J. WT1 vaccination in acute myeloid leukemia: New methods of implementing adoptive immunotherapy. Expert Opin. Investig. Drugs 2014, 23, 417–426. [Google Scholar] [CrossRef] [PubMed]
- Unterfrauner, M.; Rejeski, H.A.; Hartz, A.; Bohlscheid, S.; Baudrexler, T.; Feng, X.; Rackl, E.; Li, L.; Rank, A.; Filippini Velázquez, G.; et al. Granulocyte-Macrophage-Colony-Stimulating-Factor Combined with Prostaglandin E1 Create Dendritic Cells of Leukemic Origin from AML Patients’ Whole Blood and Whole Bone Marrow That Mediate Antileukemic Processes after Mixed Lymphocyte Culture. Int. J. Mol. Sci. 2023, 24, 7436. [Google Scholar] [CrossRef]
- Sallusto, F.; Lenig, D.; Förster, R.; Lipp, M.; Lanzavecchia, A. Two subsets of memory T lymphocytes with distinct homing potentials and effector functions. Nature 1999, 401, 708–712. [Google Scholar] [CrossRef] [PubMed]
- Facciabene, A.; Motz, G.T.; Coukos, G. T-regulatory cells: Key players in tumor immune escape and angiogenesis. Cancer Res. 2012, 72, 2162–2171. [Google Scholar] [CrossRef] [PubMed]
- Hassin, D.; Garber, O.G.; Meiraz, A.; Schiffenbauer, Y.S.; Berke, G. Cytotoxic T lymphocyte perforin and Fas ligand working in concert even when Fas ligand lytic action is still not detectable. Immunology 2011, 133, 190–196. [Google Scholar] [CrossRef] [PubMed]
- Rauf, A.; Khatri, M.; Murgia, M.V.; Saif, Y.M. Fas/FasL and perforin-granzyme pathways mediated T cell cytotoxic responses in infectious bursal disease virus infected chickens. Results Immunol. 2012, 2, 112–119. [Google Scholar] [CrossRef]
- Bakdash, G.; Schreurs, I.; Schreibelt, G.; Tel, J. Crosstalk between dendritic cell subsets and implications for dendritic cell-based anticancer immunotherapy. Expert. Rev. Clin. Immunol. 2014, 10, 915–926. [Google Scholar] [CrossRef]






| Pat.# | Age at dgn. | Sex | Subtype AML FAB | Blast Phenotype (CD) | Blasts (%) in PB * | ELN-Risk Stratification |
|---|---|---|---|---|---|---|
| Patients with First Diagnosis | ||||||
| P1 | 61 | f | p/M5 | 13, 33, 34, 64, 117 | 40 | adverse |
| P2 | 52 | m | p/M2 | 13, 33, 117 | 96 | favorable |
| P3 | 79 | m | p/M5 | 13, 33, 34, 117 | 70 | favorable |
| P5 | 59 | f | s/M4 | 33, 13, 14, 65, 117, 34 | 15 | favorable |
| P6 | 60 | m | s/M4 | 33, 13, 14, 65, 117, 34 | 81 | favorable |
| P7 | 73 | f | p/M4 | 117, 33, 61 | 14 | intermediate |
| P8 | 64 | m | p/ M1 | 13, 33, 34, 117 | 28 | favorable |
| P9 | 36 | f | p/M1 | 33, 65, 15, 34, 117 | 63 | favorable |
| P10 | 21 | m | p/M5 | 34, 117, 33, 13 | 33 | adverse |
| P11 | 44 | m | p/M4 | 34, 117, 33, 13 | 50 | intermediate |
| P12 | 54 | m | p/M4 | 33, 64, 11, 4, 56 | 7 | favorable |
| P13 | 78 | f | p/M2 | 34, 33, 15, 65 | 61 | adverse |
| P14 | 78 | f | s/n.d. | 34, 64, 14, 33, 13 | 30 | adverse |
| P16 | 39 | m | p/M2 | 15, 117 | 30 | favorable |
| P17 | 33 | f | p/M2 | 33, 13, 34, 117, 56 | 83 | favorable |
| P18 | 73 | m | p/M2 | 33, 13, 34, 117 | 84 | adverse |
| P21 | 69 | m | s/n.d. | 13, 33, 117 | 38 | adverse |
| P22 | 66 | m | n.d. | 34, 13, 33, 117 | 12 | intermediate |
| P23 | 63 | f | p/M4 | 117, 13, 64 | 12 | intermediate |
| P24 | 75 | m | p/M5 | 117, 33, 64 | 40 | adverse |
| P25 | 77 | m | p/M5 | 13, 34, 33, 64 | 55 | n.d. |
| P26 | 44 | m | p/M4 | 34, 117, 13, 33, 64 | 46 | n.d. |
| P27 | 77 | m | p/M1 | 13, 33, 34, 117 | 50 | intermediate |
| P28 | 50 | f | s/M2 | 13, 33, 34, 117 | 43 | n.d. |
| P29 | 55 | f | p/M5 | 13, 34, 7, 117 | 87 | adverse |
| P30 | 74 | m | n.d. | 13, 33, 117, 34 | 53 | n.d. |
| P31 | 56 | m | p/M4 | 13, 33, 34, 117 | 66 | intermediate |
| P33 | 47 | f | s/n.d. | 117, 33, 56, 4 | 61 | favorable |
| P34 | 63 | m | s/M5 | 4, 56, 14, 34 | 25 | Favorable |
| Patients with relapse | ||||||
| P4 | 59 | f | p/M5 | 33, 34, 117, 13, 64, 7, 56 | 58 | |
| P19 | 70 | m | s/M1 | 13, 33, 117, 34, 56, 64, 14 | 80 | |
| P20 | 78 | m | p/M1 | 13, 33, 34, 117 | 60 | |
| P32 | 47 | m | p/M2 | 13, 34, 117 | 56 | |
| Patients with relapse after hematopoietic stem cell transplantation | ||||||
| P15 | 60 | f | p/M1 | 13, 33, 34, 56, 14 | 30 | |
| AML Cell Line | Subtype AML (FAB) | Blast phenotype (CD) | Fusion gene | Fusion gene Original Source | ||
| NB-4 | M3 | 13, 15, 33 | PML-RARA | PB | ||
| Mono-Mac-6 | M5 | 13, 14, 15, 33, 68 | KMT2A-MLLT3 | PB | ||
| KG-1 | M4 | 13, 15, 33 | FGFR1OP2-FGFR1 | PB | ||
| THP-1 | M5 | 33, 13, 14, 15 | KMT2A-MLLT3 | PB | ||
Disclaimer/Publisher’s Note: The statements, opinions and data contained in all publications are solely those of the individual author(s) and contributor(s) and not of MDPI and/or the editor(s). MDPI and/or the editor(s) disclaim responsibility for any injury to people or property resulting from any ideas, methods, instructions or products referred to in the content. |
© 2024 by the authors. Licensee MDPI, Basel, Switzerland. This article is an open access article distributed under the terms and conditions of the Creative Commons Attribution (CC BY) license (https://creativecommons.org/licenses/by/4.0/).
Share and Cite
Doraneh-Gard, F.; Amberger, D.C.; Amend, C.; Weinmann, M.; Schwepcke, C.; Klauer, L.; Schutti, O.; Hosseini, H.; Krämer, D.; Rank, A.; et al. Anti-Leukemic Effects Induced by Dendritic Cells of Leukemic Origin from Leukemic Blood Samples Are Comparable under Hypoxic vs. Normoxic Conditions. Cancers 2024, 16, 2383. https://doi.org/10.3390/cancers16132383
Doraneh-Gard F, Amberger DC, Amend C, Weinmann M, Schwepcke C, Klauer L, Schutti O, Hosseini H, Krämer D, Rank A, et al. Anti-Leukemic Effects Induced by Dendritic Cells of Leukemic Origin from Leukemic Blood Samples Are Comparable under Hypoxic vs. Normoxic Conditions. Cancers. 2024; 16(13):2383. https://doi.org/10.3390/cancers16132383
Chicago/Turabian StyleDoraneh-Gard, Fatemeh, Daniel Christoph Amberger, Carina Amend, Melanie Weinmann, Christoph Schwepcke, Lara Klauer, Olga Schutti, Hedayatollah Hosseini, Doris Krämer, Andreas Rank, and et al. 2024. "Anti-Leukemic Effects Induced by Dendritic Cells of Leukemic Origin from Leukemic Blood Samples Are Comparable under Hypoxic vs. Normoxic Conditions" Cancers 16, no. 13: 2383. https://doi.org/10.3390/cancers16132383
APA StyleDoraneh-Gard, F., Amberger, D. C., Amend, C., Weinmann, M., Schwepcke, C., Klauer, L., Schutti, O., Hosseini, H., Krämer, D., Rank, A., Schmid, C., & Schmetzer, H. M. (2024). Anti-Leukemic Effects Induced by Dendritic Cells of Leukemic Origin from Leukemic Blood Samples Are Comparable under Hypoxic vs. Normoxic Conditions. Cancers, 16(13), 2383. https://doi.org/10.3390/cancers16132383

