Prediction of Lymph Node Metastasis in T1 Colorectal Cancer Using Artificial Intelligence with Hematoxylin and Eosin-Stained Whole-Slide-Images of Endoscopic and Surgical Resection Specimens
Abstract
Simple Summary
Abstract
1. Introduction
2. Materials and Methods
2.1. Study Population
2.2. Clinicopathologic Features and Preparation of Whole Slide Images for the Study Population
2.3. Deep Learning Artificial Intelligence Model Development
2.4. Statistical Analysis
3. Results
3.1. Baseline Characteristics of the Study Population
3.2. Train and Test Set in Model with Four Versions
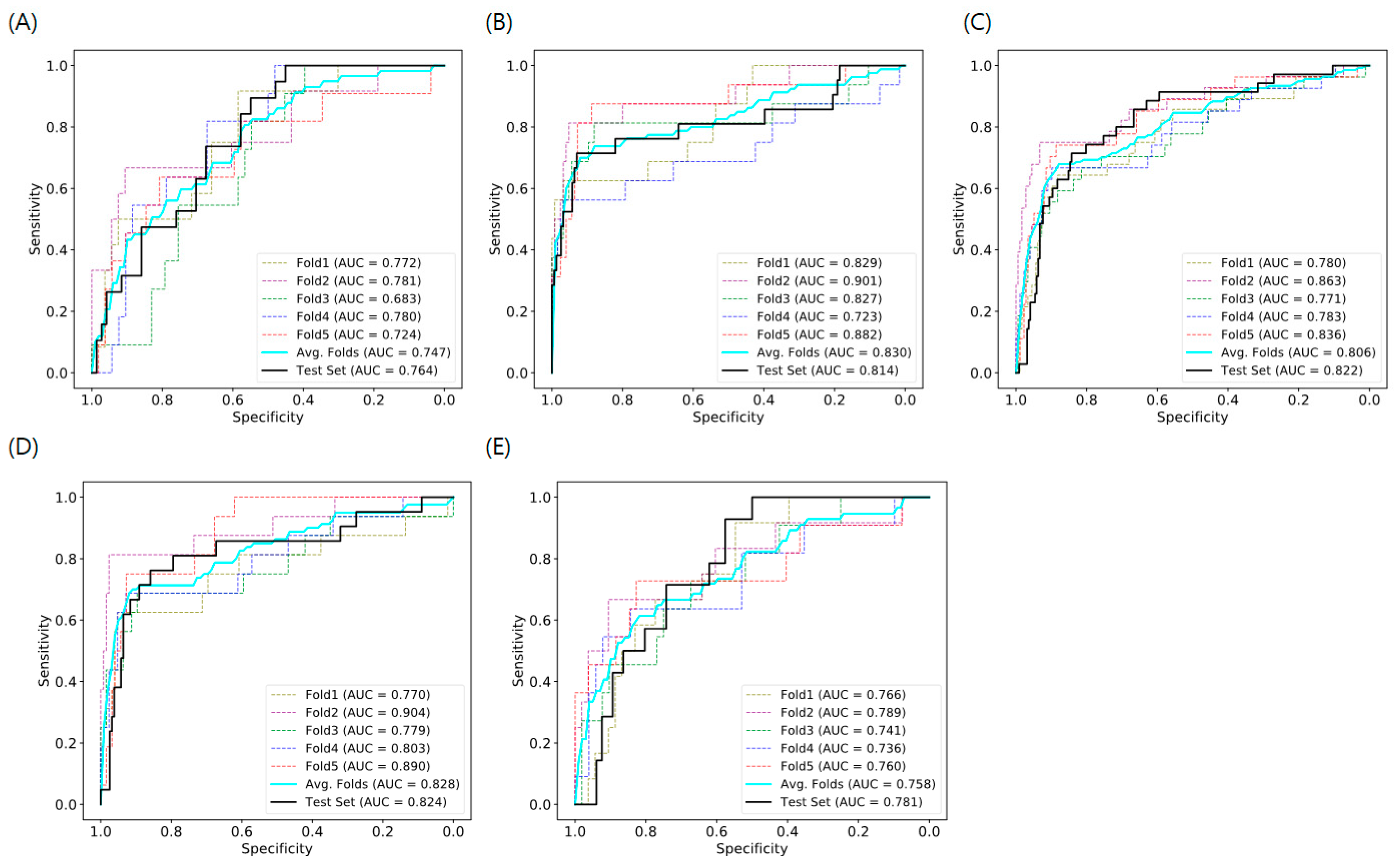
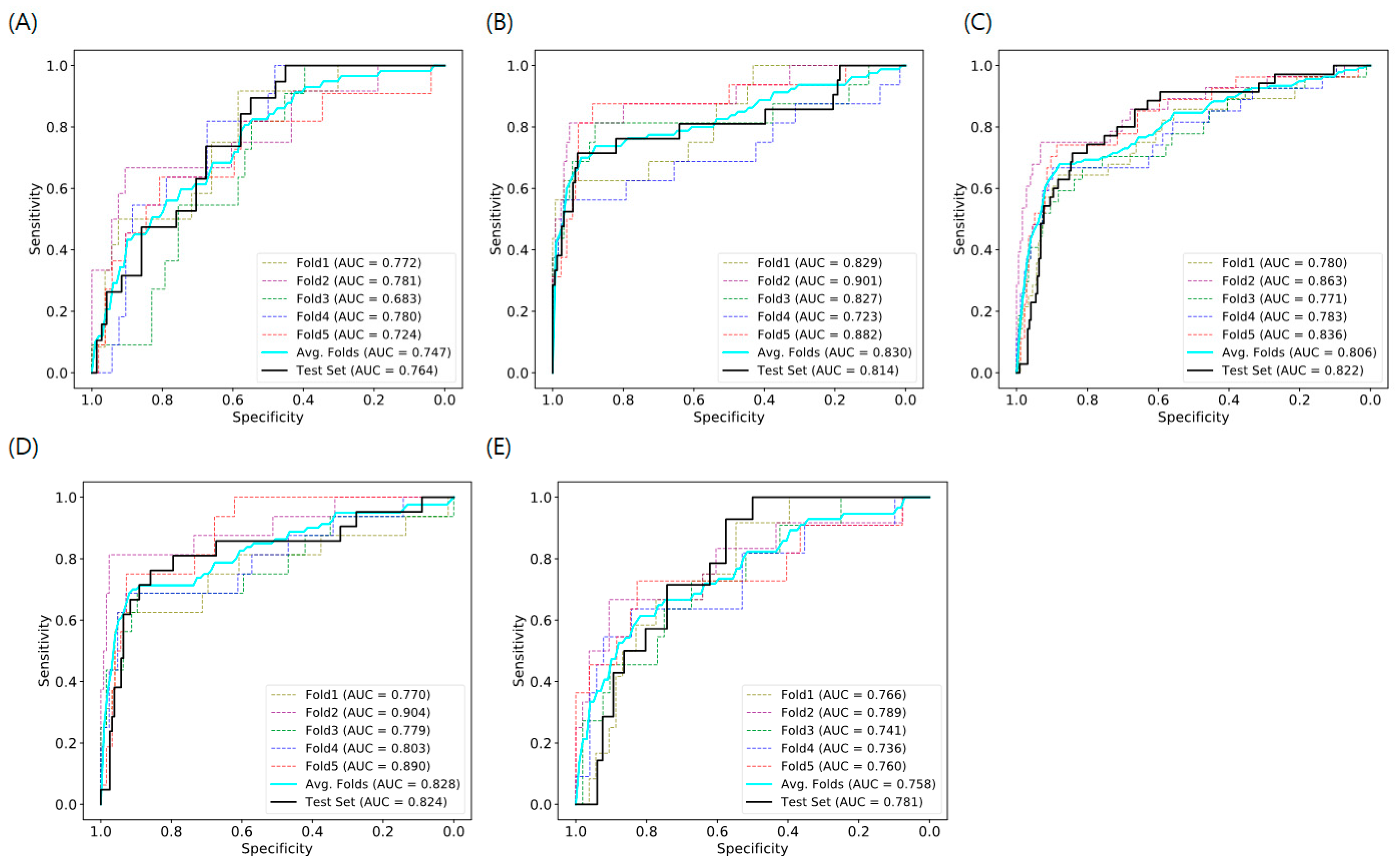
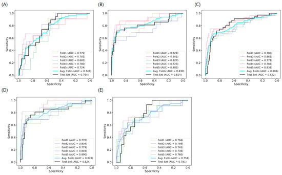
3.3. Area under the Curve for Predicting Lymph Node Metastasis
3.4. Predictive Performance of Model with Four Versions vs. That of JSCCR Guidelines
3.5. Attention Score
4. Discussion
5. Conclusions
Author Contributions
Funding
Institutional Review Board Statement
Informed Consent Statement
Data Availability Statement
Acknowledgments
Conflicts of Interest
Abbreviations
| CRC | colorectal cancer |
| LNM | lymph node metastasis |
| SM | submucosal |
| LVI | lymphovascular invasion |
| JSCCR | Japanese Society for Cancer of the Colon and Rectum |
| H&E | Hematoxylin and eosin |
| AI | artificial intelligence |
| WSI | whole slide images |
| AUC | area under the curve |
| EMR | endoscopic mucosal resection |
| ESD | endoscopic submucosal dissection |
| DCNN | a deep convolutional neural network |
| AM | attention module |
| CM | classification module |
| AS | attention score |
| FV | feature vector |
| IQR | interquartile ranges |
| ROC | receiver operating characteristic curve |
| CV | cross-validation |
| RF | random forest |
| ROI | regions of interest |
References
- Wong, M.C.S.; Ding, H.; Wang, J.; Chan, P.S.F.; Huang, J. Prevalence and risk factors of colorectal cancer in Asia. Intest. Res. 2019, 17, 317–329. [Google Scholar] [CrossRef]
- Sung, H.; Ferlay, J.; Siegel, R.L.; Laversanne, M.; Soerjomataram, I.; Jemal, A.; Bray, F. Global Cancer Statistics 2020: GLOBOCAN Estimates of Incidence and Mortality Worldwide for 36 Cancers in 185 Countries. CA Cancer J. Clin. 2021, 71, 209–249. [Google Scholar] [CrossRef] [PubMed]
- Winawer, S.J.; Zauber, A.G. The advanced adenoma as the primary target of screening. Gastrointest. Endosc. Clin. N. Am. 2002, 12, 1–9. [Google Scholar] [CrossRef] [PubMed]
- Wook, H.S.; Jeong-Sik, B. Endoscopic diagnosis and treatment of early colorectal cancer. Intest. Res. 2022, 20, 281–290. [Google Scholar]
- Kim, S.Y.; Kwak, M.S.; Yoon, S.M.; Jung, Y.; Kim, J.W.; Boo, S.-J.; Oh, E.H.; Jeon, S.R.; Nam, S.-J.; Park, S.-Y.; et al. Korean Guidelines for Postpolypectomy Colonoscopic Surveillance: 2022 revised edition. Intest. Res. 2023, 21, 20–42. [Google Scholar] [CrossRef] [PubMed]
- Fujimori, T.; Kawamata, H.; Kashida, H. Precancerous lesions of the colorectum. J. Gastroenterol. 2001, 36, 587–594. [Google Scholar] [CrossRef]
- Morson, B.C.; Whiteway, J.E.; Jones, E.A.; Macrae, F.A.; Williams, C.B. Histopathology and prognosis of malignant colorectal polyps treated by endoscopic polypectomy. Gut 1984, 25, 437–444. [Google Scholar] [CrossRef] [PubMed]
- Minamoto, T.; Mai, M.; Ogino, T.; Sawaguchi, K.; Ohta, T.; Fujimoto, T.; Takahashi, Y. Early invasive colorectal carcinomas metastatic to the lymph node with attention to their nonpolypoid development. Am. J. Gastroenterol. 1993, 88, 1035–1039. [Google Scholar] [PubMed]
- Kitajima, K.; Fujimori, T.; Fujii, S.; Takeda, J.; Ohkura, Y.; Kawamata, H.; Kumamoto, T.; Ishiguro, S.; Kato, Y.; Shimoda, T. Correlations between lymph node metastasis and depth of submucosal invasion in submucosal invasive colorectal carcinoma: A Japanese collaborative study. J. Gastroenterol. 2004, 39, 534–543. [Google Scholar] [CrossRef]
- Kyzer, S.; Begin, L.R.; Gordon, P.H.; Mitmaker, B. The care of patients with colorectal polyps that contain invasive adenocarcinoma. Endoscopic polypectomy or colectomy? Cancer 1992, 70, 2044–2050. [Google Scholar] [CrossRef]
- Nivatvongs, S.; Rojanasakul, A.; Reiman, H.M.; Dozois, R.R.; Wolff, B.G.; Pemberton, J.H.; Beart, R.W., Jr.; Jacques, L.F. The risk of lymph node metastasis in colorectal polyps with invasive adenocarcinoma. Dis. Colon Rectum 1991, 34, 323–328. [Google Scholar] [CrossRef] [PubMed]
- Netzer, P.; Forster, C.; Biral, R.; Ruchti, C.; Neuweiler, J.; Stauffer, E.; Schönegg, R.; Maurer, C.; Hüsler, J.; Halter, F.; et al. Risk factor assessment of endoscopically removed malignant colorectal polyps. Gut 1998, 43, 669–674. [Google Scholar] [CrossRef] [PubMed]
- Watanabe, T.; Muro, K.; Ajioka, Y.; Hashiguchi, Y.; Ito, Y.; Saito, Y.; Hamaguchi, T.; Ishida, H.; Ishiguro, M.; Ishihara, S.; et al. Japanese Society for Cancer of the Colon and Rectum (JSCCR) guidelines 2016 for the treatment of colorectal cancer. Int. J. Clin. Oncol. 2018, 23, 1–34. [Google Scholar] [CrossRef] [PubMed]
- Ramirez, M.; Schierling, S.; Papaconstantinou, H.T.; Thomas, J.S. Management of the malignant polyp. Clin. Colon Rectal Surg. 2008, 21, 286–290. [Google Scholar] [CrossRef] [PubMed]
- Aarons, C.B.; Shanmugan, S.; Bleier, J.I. Management of malignant colon polyps: Current status and controversies. World J. Gastroenterol. 2014, 20, 16178–16183. [Google Scholar] [CrossRef] [PubMed]
- Cooper, H.S. Surgical pathology of endoscopically removed malignant polyps of the colon and rectum. Am. J. Surg. Pathol. 1983, 7, 613–623. [Google Scholar] [CrossRef] [PubMed]
- Coverlizza, S.; Risio, M.; Ferrari, A.; Fenoglio-Preiser, C.M.; Rossini, F.P. Colorectal adenomas containing invasive carcinoma. Pathologic assessment of lymph node metastatic potential. Cancer 1989, 64, 1937–1947. [Google Scholar] [CrossRef]
- Colacchio, T.A.; Forde, K.A.; Scantlebury, V. Endoscopic Polypectomy: Inadequate Treatment for Invasive Colorectal Carcinoma. Ann. Surg. 1982, 194, 704–707. [Google Scholar] [CrossRef]
- Choi, Y.S.; Kim, W.S.; Hwang, S.W.; Park, S.H.; Yang, D.-H.; Ye, B.D.; Myung, S.-J.; Yang, S.-K.; Byeon, J.-S. Clinical outcomes of submucosal colorectal cancer diagnosed after endoscopic resection: A focus on the need for surgery. Intest. Res. 2020, 18, 96–106. [Google Scholar] [CrossRef]
- Kojima, M.; Puppa, G.; Kirsch, R.; Basturk, O.; Frankel, W.L.; Vieth, M.; Lugli, A.; Sheahan, K.; Yeh, M.; Lauwers, G.Y.; et al. Blood and lymphatic vessel invasion in pT1 colorectal cancer: An international concordance study. J. Clin. Pathol. 2015, 68, 628–632. [Google Scholar] [CrossRef]
- Kouyama, Y.; Kudo, S.E.; Miyachi, H.; Ichimasa, K.; Hisayuki, T.; Oikawa, H.; Matsudaira, S.; Kimura, Y.J.; Misawa, M.; Mori, Y.; et al. Practical problems of measuring depth of submucosal invasion in T1 colorectal carcinomas. Int. J. Color. Dis. 2016, 31, 137–146. [Google Scholar] [CrossRef]
- Barel, F.; Auffret, A.; Cariou, M.; Kermarrec, T.; Samaison, L.; Bourhis, A.; Badic, B.; Jézéquel, J.; Cholet, F.; Bail, J.P.; et al. High reproducibility is attainable in assessing histoprognostic parameters of pT1 colorectal cancer using routine histopathology slides and immunohistochemistry analyses. Pathology 2019, 51, 46–54. [Google Scholar] [CrossRef]
- Ichimasa, K.; Kudo, S.E.; Mori, Y.; Misawa, M.; Matsudaira, S.; Kouyama, Y.; Baba, T.; Hidaka, E.; Wakamura, K.; Hayashi, T.; et al. Artificial intelligence may help in predicting the need for additional surgery after endoscopic resection of T1 colorectal cancer. Endoscopy 2018, 50, 230–240. [Google Scholar] [PubMed]
- Takamatsu, M.; Yamamoto, N.; Kawachi, H.; Chino, A.; Saito, S.; Ueno, M.; Ishikawa, Y.; Takazawa, Y.; Takeuchi, K. Prediction of early colorectal cancer metastasis by machine learning using digital slide images. Comput. Methods Programs Biomed. 2019, 178, 155–161. [Google Scholar] [CrossRef]
- Kudo, S.E.; Ichimasa, K.; Villard, B.; Mori, Y.; Misawa, M.; Saito, S.; Hotta, K.; Saito, Y.; Matsuda, T.; Yamada, K. Artificial Intelligence System to Determine Risk of T1 Colorectal Cancer Metastasis to Lymph Node. Gastroenterology 2021, 160, 1075–1084.e2. [Google Scholar] [CrossRef]
- Brockmoeller, S.; Echle, A.; Ghaffari Laleh, N.; Eiholm, S.; Malmstrøm, M.L.; Plato Kuhlmann, T.; Levic, K.; Grabsch, H.I.; West, N.P.; Saldanha, O.L.; et al. Deep learning identifies inflamed fat as a risk factor for lymph node metastasis in early colorectal cancer. J. Pathol. 2022, 256, 269–281. [Google Scholar] [CrossRef]
- Takamatsu, M.; Yamamoto, N.; Kawachi, H.; Nakano, K.; Saito, S.; Fukunaga, Y.; Takeuchi, K. Prediction of lymph node metastasis in early colorectal cancer based on histologic images by artificial intelligence. Sci. Rep. 2022, 12, 2963. [Google Scholar] [CrossRef] [PubMed]
- Ichimasa, K.; Kudo, S.-e.; Lee, J.W.J.; Nemoto, T.; Yeoh, K.G. Artificial intelligence–assisted treatment strategy for T1 colorectal cancer after endoscopic resection. Gastrointest. Endosc. 2023, 97, 1148–1152. [Google Scholar] [CrossRef]
- Ichimasa, K.; Kudo, S.-E.; Lee, J.W.J.; Yeoh, K.G. “Pathologist-independent” strategy for T1 colorectal cancer after endoscopic resection. J. Gastroenterol. 2022, 57, 815–816. [Google Scholar] [CrossRef] [PubMed]
- Ahn, J.H.; Kwak, M.S.; Lee, H.H.; Cha, J.M.; Shin, H.P.; Jeon, J.W.; Yoon, J.Y. Development of a novel prognostic model for predicting lymph node metastasis in early colorectal cancer: Analysis based on the surveillance, epidemiology, and end results database. Front. Oncol. 2021, 11, 614398. [Google Scholar] [CrossRef]
- Song, J.H.; Hong, Y.; Kim, E.R.; Kim, S.-H.; Sohn, I. Utility of artificial intelligence with deep learning of hematoxylin and eosin-stained whole slide images to predict lymph node metastasis in T1 colorectal cancer using endoscopically resected specimens; prediction of lymph node metastasis in T1 colorectal cancer. J. Gastroenterol. 2022, 57, 654–666. [Google Scholar]
- Ilse, M.; Tomczak, J.; Welling, M. Attention-based deep multiple instance learning. In Proceedings of the International Conference on Machine Learning (PMLR), Stockholm, Sweden, 10–15 July 2018. [Google Scholar]
- Lu, M.Y.; Zhao, M.; Shady, M.; Lipkova, J.; Chen, T.Y.; Williamson, D.F.; Mahmood, F. Deep learning-based computational pathology predicts origins for cancers of unknown primary. arXiv 2020, arXiv:2006.13932. [Google Scholar]
- He, K.; Zhang, X.; Ren, S.; Sun, J. Deep residual learning for image recognition. In Proceedings of the IEEE Conference on Computer Vision and Pattern Recognition, Las Vegas, NV, USA, 27–30 June 2016. [Google Scholar]
- Pedregosa, F.; Varoquaux, G.; Gramfort, A.; Michel, V.; Thirion, B.; Grisel, O.; Blondel, M.; Prettenhofer, P.; Weiss, R.; Dubourg, V. Scikit-learn: Machine learning in Python. J. Mach. Learn. Res. 2011, 12, 2825–2830. [Google Scholar]
- Ruopp, M.D.; Perkins, N.J.; Whitcomb, B.W.; Schisterman, E.F. Youden Index and optimal cut-point estimated from observations affected by a lower limit of detection. Biom. J. 2008, 50, 419–430. [Google Scholar] [CrossRef] [PubMed]
- Ebbehøj, A.L.; Jørgensen, L.N.; Krarup, P.M.; Smith, H.G. Histopathological risk factors for lymph node metastases in T1 colorectal cancer: Meta-analysis. Br. J. Surg. 2021, 108, 769–776. [Google Scholar] [CrossRef] [PubMed]
- Kwak, M.S.; Lee, H.H.; Yang, J.M.; Cha, J.M.; Jeon, J.W.; Yoon, J.Y.; Kim, H.I. Deep Convolutional Neural Network-Based Lymph Node Metastasis Prediction for Colon Cancer Using Histopathological Images. Front. Oncol. 2020, 10, 619803. [Google Scholar] [CrossRef] [PubMed]
- Kang, J.; Choi, Y.J.; Kim, I.K.; Lee, H.S.; Kim, H.; Baik, S.H.; Kim, N.K.; Lee, K.Y. LASSO-Based Machine Learning Algorithm for Prediction of Lymph Node Metastasis in T1 Colorectal Cancer. Cancer Res. Treat. 2021, 53, 773–783. [Google Scholar] [CrossRef]
- Li, J.W.; Wang, L.M.; Ichimasa, K.; Lin, K.W.; Ngu, J.C.-Y.; Ang, T.L. Use of artificial intelligence in the management of T1 colorectal cancer: A new tool in the arsenal or is deep learning out of its depth? Clin. Endosc. 2023, 57, 24–35. [Google Scholar] [CrossRef]
- Kasahara, K.; Katsumata, K.; Saito, A.; Ishizaki, T.; Enomoto, M.; Mazaki, J.; Tago, T.; Nagakawa, Y.; Matsubayashi, J.; Nagao, T.; et al. Artificial intelligence predicts lymph node metastasis or risk of lymph node metastasis in T1 colorectal cancer. Int. J. Clin. Oncol. 2022, 27, 1570–1579. [Google Scholar] [CrossRef]
- Yoda, Y.; Ikematsu, H.; Matsuda, T.; Yamaguchi, Y.; Hotta, K.; Kobayashi, N.; Fujii, T.; Oono, Y.; Sakamoto, T.; Nakajima, T.; et al. A large-scale multicenter study of long-term outcomes after endoscopic resection for submucosal invasive colorectal cancer. Endoscopy 2013, 45, 718–724. [Google Scholar] [CrossRef]
- Ikematsu, H.; Yoda, Y.; Matsuda, T.; Yamaguchi, Y.; Hotta, K.; Kobayashi, N.; Fujii, T.; Oono, Y.; Sakamoto, T.; Nakajima, T.; et al. Long-term Outcomes After Resection for Submucosal Invasive Colorectal Cancers. Gastroenterology 2013, 144, 551–559. [Google Scholar] [CrossRef] [PubMed]
- Nakadoi, K.; Tanaka, S.; Kanao, H.; Terasaki, M.; Takata, S.; Oka, S.; Yoshida, S.; Arihiro, K.; Chayama, K. Management of T1 colorectal carcinoma with special reference to criteria for curative endoscopic resection. J. Gastroenterol. Hepatol. 2012, 27, 1057–1062. [Google Scholar] [CrossRef] [PubMed]
- Tanaka, S.; Haruma, K.; Oh, E.H.; Nagata, S.; Hirota, Y.; Furudoi, A.; Amioka, T.; Kitadai, Y.; Yoshihara, M.; Shimamoto, F. Conditions of curability after endoscopic resection for colorectal carcinoma with submucosally massive invasion. Oncol. Rep. 2000, 7, 783–788. [Google Scholar] [CrossRef] [PubMed]
- Egashira, Y.; Yoshida, T.; Hirata, I.; Hamamoto, N.; Akutagawa, H.; Takeshita, A.; Noda, N.; Kurisu, Y.; Shibayama, Y. Analysis of pathological risk factors for lymph node metastasis of submucosal invasive colon cancer. Mod. Pathol. 2004, 17, 503–511. [Google Scholar] [CrossRef] [PubMed]
- Lugli, A.; Kirsch, R.; Ajioka, Y.; Bosman, F.; Cathomas, G.; Dawson, H.; El Zimaity, H.; Fléjou, J.-F.; Hansen, T.P.; Hartmann, A.; et al. Recommendations for reporting tumor budding in colorectal cancer based on the International Tumor Budding Consensus Conference (ITBCC) 2016. Mod. Pathol. 2017, 30, 1299–1311. [Google Scholar] [CrossRef] [PubMed]
- Chen, L.; Yang, F.; Qi, Z.; Tai, J. Predicting lymph node metastasis and recurrence in patients with early stage colorectal cancer. Front. Med. 2022, 9, 991785. [Google Scholar] [CrossRef]
- Pyo, J.-S.; Park, M.J.; Kang, D.-W. The clinicopathological significance of micropapillary pattern in colorectal cancers. Hum. Pathol. 2018, 77, 159–165. [Google Scholar] [CrossRef]
- Zhang, S.; Zhang, D.; Yang, Z.; Zhang, X. Tumor Budding, Micropapillary Pattern, and Polyploidy Giant Cancer Cells in Colorectal Cancer: Current Status and Future Prospects. Stem Cells Int. 2016, 2016, 4810734. [Google Scholar] [CrossRef]




| Endoscopic Resection Followed by Additional Surgery (n = 400) | Surgical Resection (n = 881) | ||||||
|---|---|---|---|---|---|---|---|
| Total | Negative LNM (n = 329) | Positive LNM (n = 71) | Negative LNM (n = 780) | Positive LNM (n = 101) | p Value * | ||
| Clinical features | |||||||
| Age at diagnosis | Year (IQR) | 60.0 (52.0–68.0) | 59.0 (52.0–65.0) | 60.0 (52.0–68.0) | 60.0 (52.0–69.0) | 59.0 (52.0–67.0) | 0.041 |
| Sex | Male | 764 (59.6) | 193 (58.7) | 46 (64.8) | 467 (59.9) | 58 (57.4) | 0.504 |
| Female | 517 (40.4) | 136 (41.3) | 25 (35.2) | 313 (40.1) | 43 (42.6) | ||
| Body mass index | kg/m2 (IQR) | 24.1 (22.2–26.1) | 23.9 (22.0–26.1) | 24.8 (23.3–27.4) | 24.1 (22.2–26.0) | 24.8 (23.0–26.0) | 0.704 |
| Presence of comorbidity | No | 795 (62.1) | 217 (66.0) | 36 (50.7) | 477 (61.2) | 65 (64.4) | 0.299 |
| Yes | 486 (37.9) | 112 (34.0) | 35 (49.3) | 302 (38.7) | 36 (35.6) | ||
| Family history of CRC | No | 1143 (89.2) | 294 (86.3) | 61 (85.9) | 708 (90.8) | 90 (89.1) | 0.014 |
| yes | 138 (10.8) | 45 (13.7) | 10 (14.1) | 72 (9.2) | 11 (10.9) | ||
| Smoking status | No | 912 (71.2) | 214 (65.0) | 43 (60.6) | 588 (75.4) | 67 (66.3) | <0.001 |
| Ex-smoker | 201 (15.7) | 59 (17.9) | 10 (14.1) | 104 (13.3) | 23 (22.8) | ||
| Yes | 168 (13.1) | 56 (17.0) | 18 (25.4) | 88 (11.3) | 11 (10.9) | ||
| Alcohol consumption | No | 809 (63.2) | 192 (58.4) | 31 (43.7) | 523 (67.1) | 63 (62.4) | <0.001 |
| Ex-drinker | 71 (5.5) | 27 (8.2) | 9 (12.7) | 29 (3.7) | 6 (5.9) | ||
| Yes | 401 (31.3) | 110 (33.4) | 31 (43.7) | 228 (29.2) | 32 (21.7) | ||
| Tumor location | Left side | 913 (71.3) | 241 (73.3) | 50 (70.4) | 542 (69.5) | 80 (79.2) | 0.236 |
| Right side | 368 (28.7) | 88 (26.7) | 21 (29.6) | 238 (30.5) | 21 (20.8) | ||
| Pathologic features | |||||||
| Size of cancer | mm (IQR) | 15.0 (10.0–22.0) | 10.0 (7.3–14.0) | 8.0 (7.0–12.0) | 20.0 (15.0–25.0) | 16.5 (14.3–25.0) | <0.001 |
| Depth of SM invasion | μm (IQR) | 1775.0 | 1800.0 | 1500.0 | N/A | ||
| (1000.0–2200.0) | (1075.0–2300.0) | (1000.0–2000.0) | |||||
| SM1 | 340 (38.6) | 318 (40.8) | 22 (21.8) | N/A | |||
| SM2 | 218 (24.7) | 185 (23.7) | 33 (32.7) | ||||
| SM3 | 323 (36.7) | 277 (35.5) | 46 (45.5) | ||||
| Differentiation | Well | 760 (59.3) | 182 (55.3) | 55 (77.5) | 480 (61.5) | 43 (42.6) | 0.210 |
| Moderate | 485 (37.9) | 133 (40.4) | 14 (19.7) | 286 (36.7) | 52 (51.5) | ||
| Poorly | 36 (2.8) | 14 (4.3) | 2 (2.8) | 14 (1.8) | 6 (5.9) | ||
| Lympho-vascular invasion | No | 1030 (80.4) | 243 (73.9) | 49 (69.0) | 691 (89.6) | 47 (46.5) | <0.001 |
| Yes | 251 (19.6) | 86 (26.1) | 22 (31.0) | 89 (11.4) | 54 (53.5) | ||
| Tumor budding | No | 1084 (84.6) | 289 (87.8) | 62 (87.3) | 667 (85.5) | 66 (65.3) | 0.021 |
| Yes | 197 (15.4) | 40 (12.2) | 9 (12.7) | 113 (14.5) | 35 (34.7) | ||
| Positive resection margin | No | 1167 (91.1) | 235 (71.4) | 51 (71.8) | 780 (100) | 101 (100) | <0.001 |
| Yes | 114 (8.9) | 94 (28.6) | 20 (28.2) | 0 | 0 | ||
| Microsatellite stability | Stable | 915 (71.5) | 82 (25.0) | 28 (39.4) | 667 (85.5) | 89 (88.1) | <0.001 |
| Unstable | 86 (6.7) | 8 (2.4) | 2 (2.8) | 69 (8.8) | 7 (6.9) | ||
| Unknown | 279 (21.8) | 238 (72.6) | 41 (57.7) | 44 (5.6) | 5 (5.0) | ||
| LNM | Previous Study | Version 1 | Version 2 | Version 3 | Version 4 | ||
|---|---|---|---|---|---|---|---|
| Training (5 fold) set | + | No of patients | 57 | 80 | 137 | 137 | 137 |
| + | No of WSI | 63 | 81 | 144 | 144 | 144 | |
| − | No of patients | 263 | 624 | 887 | 887 | 887 | |
| − | No of WSI | 277 | 634 | 911 | 911 | 911 | |
| Test set | + | No of patients | 14 | 21 | 35 | 21 | 14 |
| + | No of WSI | 19 | 21 | 40 | 21 | 19 | |
| − | No of patients | 66 | 156 | 222 | 156 | 66 | |
| − | No of WSI | 71 | 157 | 228 | 157 | 71 |
| Cross-Validation on Train Set | Previous Study | Version 1 | Version 2 | Version 3 | Version 4 | |
|---|---|---|---|---|---|---|
| Attention-base WSI-level classification deep learning model | 1 | 0.772 | 0.829 | 0.780 | 0.770 | 0.766 |
| 2 | 0.781 | 0.901 | 0.863 | 0.904 | 0.789 | |
| 3 | 0.683 | 0.827 | 0.771 | 0.779 | 0.741 | |
| 4 | 0.780 | 0.723 | 0.783 | 0.803 | 0.736 | |
| 5 | 0.724 | 0.882 | 0.836 | 0.890 | 0.760 | |
| Average of five-folds | 0.747 | 0.830 | 0.806 | 0.828 | 0.758 | |
| Test set | 0.764 | 0.814 | 0.822 | 0.824 | 0.781 | |
| RF with clinicopathologic features * | 1 | 0.598 | 0.659 | 0.653 | 0.728 | 0.512 |
| 2 | 0.574 | 0.713 | 0.722 | 0.704 | 0.712 | |
| 3 | 0.703 | 0.710 | 0.739 | 0.728 | 0.746 | |
| 4 | 0.631 | 0.729 | 0.725 | 0.712 | 0.721 | |
| 5 | 0.623 | 0.670 | 0.647 | 0.666 | 0.593 | |
| Average of five-folds | 0.626 | 0.696 | 0.697 | 0.708 | 0.657 | |
| Test set | 0.598 | 0.701 | 0.635 | 0.683 | 0.516 |
| Artificial Intelligence | JSCCR | p Value | ||
|---|---|---|---|---|
| Version 1 | Sensitivity (%) | 71.4 | 100 | <0.001 |
| Specificity (%) | 92.9 | 0 | <0.001 | |
| PPV (%) | 57.7 | 11.9 | <0.001 | |
| Accuracy (%) | 90.4 | 11.9 | <0.001 | |
| Unnecessary additional Surgery (%) | 42.3 | 88.1 | <0.001 | |
| Missed LNM (%) | 28.6 | 0 | <0.001 | |
| Reduced unnecessary additional surgery (%) * | 45.8 | |||
| Version 2 | Sensitivity (%) | 71.4 | 100 | <0.001 |
| Specificity (%) | 84.2 | 0 | <0.001 | |
| PPV (%) | 41.7 | 13.6 | <0.001 | |
| Accuracy (%) | 82.5 | 13.6 | <0.001 | |
| Unnecessary additional Surgery (%) | 58.3 | 86.4 | <0.001 | |
| Missed LNM (%) | 28.6 | 0 | <0.001 | |
| Reduced unnecessary additional surgery (%) | 28.1 | |||
| Version 3 | Sensitivity (%) | 76.2 | 100 | <0.001 |
| Specificity (%) | 85.9 | 0 | <0.001 | |
| PPV (%) | 42.1 | 11.9 | <0.001 | |
| Accuracy (%) | 84.7 | 11.9 | <0.001 | |
| Unnecessary additional Surgery (%) | 57.9 | 88.1 | <0.001 | |
| Missed LNM (%) | 23.8 | 0 | <0.001 | |
| Reduced unnecessary additional surgery (%) | 30.2 | |||
| Version 4 | Sensitivity (%) | 92.9 | 100 | <0.001 |
| Specificity (%) | 57.6 | 0 | <0.001 | |
| PPV (%) | 31.7 | 17.5 | <0.001 | |
| Accuracy (%) | 63.8 | 17.5 | <0.001 | |
| Unnecessary additional Surgery (%) | 68.3 | 82.5 | <0.001 | |
| Missed LNM (%) | 7.1 | 0 | <0.001 | |
| Reduced unnecessary additional surgery (%) | 14.2 |
Disclaimer/Publisher’s Note: The statements, opinions and data contained in all publications are solely those of the individual author(s) and contributor(s) and not of MDPI and/or the editor(s). MDPI and/or the editor(s) disclaim responsibility for any injury to people or property resulting from any ideas, methods, instructions or products referred to in the content. |
© 2024 by the authors. Licensee MDPI, Basel, Switzerland. This article is an open access article distributed under the terms and conditions of the Creative Commons Attribution (CC BY) license (https://creativecommons.org/licenses/by/4.0/).
Share and Cite
Song, J.H.; Kim, E.R.; Hong, Y.; Sohn, I.; Ahn, S.; Kim, S.-H.; Jang, K.-T. Prediction of Lymph Node Metastasis in T1 Colorectal Cancer Using Artificial Intelligence with Hematoxylin and Eosin-Stained Whole-Slide-Images of Endoscopic and Surgical Resection Specimens. Cancers 2024, 16, 1900. https://doi.org/10.3390/cancers16101900
Song JH, Kim ER, Hong Y, Sohn I, Ahn S, Kim S-H, Jang K-T. Prediction of Lymph Node Metastasis in T1 Colorectal Cancer Using Artificial Intelligence with Hematoxylin and Eosin-Stained Whole-Slide-Images of Endoscopic and Surgical Resection Specimens. Cancers. 2024; 16(10):1900. https://doi.org/10.3390/cancers16101900
Chicago/Turabian StyleSong, Joo Hye, Eun Ran Kim, Yiyu Hong, Insuk Sohn, Soomin Ahn, Seok-Hyung Kim, and Kee-Taek Jang. 2024. "Prediction of Lymph Node Metastasis in T1 Colorectal Cancer Using Artificial Intelligence with Hematoxylin and Eosin-Stained Whole-Slide-Images of Endoscopic and Surgical Resection Specimens" Cancers 16, no. 10: 1900. https://doi.org/10.3390/cancers16101900
APA StyleSong, J. H., Kim, E. R., Hong, Y., Sohn, I., Ahn, S., Kim, S.-H., & Jang, K.-T. (2024). Prediction of Lymph Node Metastasis in T1 Colorectal Cancer Using Artificial Intelligence with Hematoxylin and Eosin-Stained Whole-Slide-Images of Endoscopic and Surgical Resection Specimens. Cancers, 16(10), 1900. https://doi.org/10.3390/cancers16101900

