Abstract
Heat transfer at industrial levels has been revolutionized with the advancement of nanofluid and hybrid nanofluid. Keeping this development in view, this article aims to present the rate of heat transfer for conventional and hybrid nanofluids, incorporating the Hall Effect over a stretchable surface. The flow governing equations are obtained with the help of suitable assumptions, and the problem is attempted with the boundary value problem technique in MATLAB. The highly non-linear partial differential equations are transformed into non-dimensional forms using suitable similarity transforms. The criterion of convergence for solution or tolerance of a problem is adjusted to 10−7. Water is considered as a base fluid; copper (Cu) and silver (Ag) nanoparticles are mixed to obtain nanofluid. This novel work is incorporated for conventional and hybrid nanofluid with the effect of Hall current above the stretching/shrinking surface. Increasing the Stefan blowing parameter reduces the flow rate; it increases the heat transfer rate and nano-particle concentration of conventional and hybrid nanofluid. Both velocity components decreases by increasing the magnetic field. The Hall Effect also decreases the velocity of nanofluid. The outcomes are compared to previously published work, demonstrating that the existing study is legitimate. The heat transfer rate of the hybrid nanofluid is higher than the convential nanofluid. This study suggests more frequent use of hybrid nanofluid because of high heat transfer rates and reduced skin friction.
1. Introduction
When an electricity-passing fluid is oxidized with high intensity of the applied magnetic field, the normal magnetic field strength is decreased because of the free swirling of cations and anions around the magnetic lines of force. In such an incident, a current known as a Hall current is created in a normal direction to both the electric and magnetic fields. The effects of Hall currents cannot be ignored whenever the magnetic field intensity is high. In a 2D system, the Hall effect creates a cross-flow, producing the 3D flow. The effect of Hall currents on the outcomes of hydrodynamical problems is interesting and essential to understand. Hall accelerators, flight magnetohydrodynamics, refrigeration loops, and electricity transformers all use magneto-hydrodynamic flows with the Hall effect. Numerous astrophysical and geophysical conditions, as well as flows of laboratory plasmas, MHD power generation, accelerators, and other situations all, involve the effects of Hall current.
The subject of the magneto-hydrodynamic flow and heat transfer of a viscous, electrically conducting, and incompressible fluid across an unsteady semi-infinite stretched sheet is studied by Shateyi and Motsa [1]. Hayat et al. [2] examined the effects of viscous dissipation on mixed convection 3D flow of Jeffery fluid over a perpendicular stretchable surface, considering the effects of Hall and ions. Shah et al. [3] inspected the Hall effect on titanium nanofluid thin-layer flow and the thermal radiation effect with different base fluids on an inclined rotating surface. With the Hall effect, Abdelaziz [4] investigated laminar boundary layer magneto-hydrodynamic slip flow through a stretchable surface in a water-based nanofluid. Hayat et al. [5] inspected the Hall effect on the peristaltic transmission of dual stress fluid in a inclined cavity. Using Hall currents, Gaffar et al. [6] studied non-isothermal, magneto-hydrodynamic free convective boundary layer flow, heat, and mass transfer of non-Newtonian Eyring–Powell fluid from a perpendicular surface in a non-Darcy, isotropic, identical porous medium. Ahmed and Zueco [7] used hall current to model the perpendicular rotating porous channel for heat and mass transmission analysis. Awan et al. [8] explored the micropolar nanofluid between parallel plates using the Hall current effect.
Surfaces and interfaces have been historically good research topics for researchers, especially in fluid dynamics. The discovery of nanoparticles has changed the researcher’s attention dramatically. Currently, the intention of researchers is shifting to advancements in the knowledge of basic and practical features of nanoparticles and nanofluids, allowing scholars and involved engineers from many fields to connect and share their newest findings.
The notion of a nanofluid has been offered in recent years to improve the performance of heat transmission rates in currently employed fluids. First, Choi [9] presented the concept of nanofluid by suspending nanometer-sized nanoparticles to increase the thermal conductivity of fluids, such as oil and ethylene glycol, etc. Hussain et al. [10] investigated rotating nanofluid flow over a stretchable surface with a magnetic effect. Naseer et al. [11] explored the importance of the thickness of phase transition materials in thermal management. Sajjad et al. [12] gave a review on progress and prospects for personal heat management. Khan [13] investigated the Brownian motion parameter in the nano bio-convection model to check the enhancement of thermal conductivity and causes of resistance to microbe flow. Bahiraei and Heshmation [14] studied the capabilities of graphene-based nanofluids, as well as improvements in preparation procedures, stability analyses, and the types of surfactants employed. They discussed future studies, as well as thermophysical characteristics, hydrodynamic features, boiling and convective heat transport, heat exchangers, energy storage, artificial intelligence (AI), and molecular dynamics. Ejaz et al. [15] gave a review on T-junction geometry branching evolution. Arshad et al. [16] described the effects of source power and process time on pure and mixed plastic conversion. Lin et al. [17] considered the internal heat generation above a stretchable surface unsteady nanofluid flow. Akbar et al. [18] studied the radiative effect on the stagnation point flow for the stretchable surface. Khan et al. [19] used the rheologic equations of an isotropic Williamson and Casson nanofluid to investigate flow, heat transmission, nanoparticle concentration, and gyrotactic microorganisms. Bahiraei [20] gave a review of previous works on nanofluids, considering particle flow, simulation of molecular dynamics, and other theoretical investigations using the Buongiorno model. He found that particle flow is one of the reasons for discrepancies in prior studies’ results, among other things.
Waini et al. [21] studied unsteady flow and temperature transmission in a hybrid nanofluid through a shrinking/stretching sheet, as well as temporal steadiness study of the dual solutions. Bahiraei and Heshmatian [22] made a critical review on the cooling of electronic devices with the help of nanofluid. Dalkilic et al. [23] investigated the irregular temperature transmission properties of Graphite - hybrid nanofluid flow in a plane-smooth duct with and without quad-channel perverted tape inserts of lengths ranging from 0 to 0.42 m with fixed ratio of 5. Ahmadpour et al. [24] investigated the development of the solid/liquid boundary during the solidification of liquid metal. Ahmadi et al. [25] numerically investigated the influence of the gas diffusion layer on a polymer exchange membrane. Al-Sharafi et al. [26] investigated droplet heating and stretching hydrophobic surfaces. Jing et al. [27] explained the wet foam fluid’s non-uniform heat transfer behavior in a confined fracture channel. Gulzar et al. [28] performed a tentative analysis of the rheologic behavior and steadiness characterization of hybrid nanofluid using a two-step technique. Rosca and Pop [29] used the Buongiorno model to elaborate on the unstable boundary layer flow of nanofluids. Palwasha et al. [30] investigated with variable thermophysical characteristics thin-film fluid flow. Khan et al. [31] described the inclined magnetic effect with graphene-based nanofluid. Many researchers have worked for their interests [32,33,34,35,36,37,38,39,40,41,42,43,44,45,46,47,48,49,50,51]. Ali et al. [52] used an analytical methodology for MHD liquid movement with variable viscosity and thermal conductivity. Khan et al. [53] examined effective temperature transmission, particle static motion, and Brownian motion, which defines the effects of particle size, volumetric concentration, temperature dependence, particle kind, and base fluid combination.
The discussion is based on the examination of various fluid characteristics, but there is still a gap in the literature for the comparative study of ordinary and hybrid nanofluids with the joint effect of the magnetic and electric field (known as the Hall current effect) over stretching/shrinking surfaces. The novelty of this research is to fill this gap. The Hall effect has many applications, such as monitoring flow rate, water supply treatment, oil and gas process operations, etc. So, the innovation of this article is to simulate and resolve the problem for both types of nanofluid with prominent edge accretion or ablation, as well as the Hall effect. The leading equations are transformed into ordinary differential equations via a similarity transformation. The transformed equations are tackled by MATLAB software utilizing the boundary value problem of the fourth order (bvp4c) built-in technique. The purpose of utilizing this numerical technique is to save time, be easy to tackle and provide accurate results. The outcomes of current problems, such as skin friction, Nusselt number, and mass transfer are presented with the help of graphs throughout the study.
2. Materials and Methods
Consider an viscous, incompressible fluid flowing with free stream velocity, temperature, and concentration of nanoparticles. (copper) with volume fractions of is mixed in water to gain ordinary nanofluid and then (silver) nanoparticles with volume fractions of are mixed to obtain a hybrid nanofluid. Perpendicular to the mass and heat transfer flow, a magnetic field is applied. The intensity of the electric charge and magnetic field is considered to be at its maximum. Figure 1 depicts a schematic representation of the problem.
Figure 1.
The geometry of the problem.
The problem’s basic equations in vector form for the considered fluid are given as:
Here , , and is material derivative velocity and divergence vector, respectively, is density, is stress tensor matrix, denoted the body force, is specific heat. is energy change and is heat flux and The following Cauchy stress tensor is used:
Here, I is a identity matrix and is the pressure, and is Rivlin–Ericksen tensor for a first-grade fluid. The flow governing equalities are gained by solving Equations (4) and (5). The velocity vector has components in their respective directions . The Rivlin–Ericksen tensor is defined as:
The stress components are given as:
To ignore the induced magnetic field, it is assumed that the magnetic Reynolds number is low. The three-dimensionality of the flow is caused by the force that the Hall current effect produces in the z-direction, which causes a cross-movement in that direction. Furthermore, it is presumable that the study will ignore the Joule heating, viscous dissipation, and that the temperature is constant. The following are the governing equations [1] for the velocity of unsteady laminar boundary layer flows using boundary layer approximations:
Generalized Ohm’s law involving the hall current at constant temperature can be written as
Here, is the current density vector having components in respective directions. is the electric field intensity vector, are electron frequency, electrical conductivity, and electron collision, respectively. This results in everywhere in the flow. Thus, the and components after simplifying take the form:
Here, is the Hall constraint. Considering these assumptions, the governing equations of continuity, momentum, energy, and concentration take the form:
Here, are velocity components in directions. The Hall parameter is denoted by . Dynamic viscosity, density, thermal conductivity, heat capacity, and thermal diffusivity of hybrid nanofluid are denoted by ,, and , respectively.
The boundary conditions are as follows:
where represents the external velocity and is the shrinking/stretching constraint. denotes for shrinking of the surface, denotes for extension of the surface, and for the stationary surface. Temperature and volumetric concentration of hybrid nanofluids at surface and infinity are denoted by and respectively. Thermophysical properties and relations are presented in Table 1 and Table 2, respectively.
Table 1.
Thermo-physical characteristics of base fluid and nanoparticles [10,54].
Table 2.
Thermo-physical properties of conventional and hybrid nanofluid [10,55].
2.1. Transformation
The governing equations can be transformed by using symmetry analysis [56,57,58,59]. To avoid complexity, the problem is simplified by familiarizing the following similarity transformation [29] for and for dimensionless velocities, space parameter, temperature, and nanoparticles concentration, respectively, as:
Here, is the stream function. is the leading accretion or ablation parameter and is kinematic viscosity. The term must be ( > 0.
Equation (1) is identically fulfilled by using Equations (8)–(10). The following equations are derived using information from Table 1 and Table 2 and Equations (8)–(10):
With the transformed boundary conditions:
Here, we define:
Here, denotes the derivative w.r.t
is magnetic field parameter, is Prandtl number, is the Eckert number, is the Schmidt number, and is the injection/suction (or Stefan blowing) parameter, respectively. It is interesting to note that for and the hybrid nanofluid becomes an ordinary nanofluid. If Ag/water nanofluid is gained, and if Cu/water nanofluid is obtained.
2.2. Quantities of Physical Interest
The local skin resistance coefficients (,), Nusselt number , and wall mass flux as well as other physical variables with widespread applicability in industries, should be investigated.
Here:
Note, that wall resistances, heat transmission, and mass transmission on the surface are represented by (,),, and , respectively. By utilizing Equation (31) in Equation (32) we obtain:
Here, is the local Reynolds number with as the dimensionless time parameter.
2.3. Numerical Scheme
To tackle the problem numerically, the bvp4c algorithm is utilized in MATLAB. The high-order non-linear differential equalities are converted into a set of ordinary differential equations. Initial hypotheses for new presumed variables are taken into account. The new variables are defined as follows:
The following form of ordinary differential equalities is used to solve the problem at MATLAB:
Along with the following boundary conditions:
3. Results and Discussion
The outcomes for conventional nanofluid and hybrid nanofluids are described in this section. The effects of different parameters on the velocity, temperature, and concentration profile are discussed. are used to conclude the impact of parameters on flow, heat, and mass transmission through graphs and results and are compared with the literature in Table 3 for validation of the solution. Although the published work [29] only looks at ordinary nanofluids, the authors’ study looks at both ordinary and hybrid nanofluids; the results of the current problem are related to those of the research [29]. However, there is considerable agreement in calculating in terms of parameter . The following table shows the comparison constraint . We are certain that our findings for the current outcomes are consistent.
Table 3.
Comparison of present results with literature published.
3.1. Velocity Profile
Figure 2a,b show the impacts of magnetic parameter on velocity profile and respectively. These figures show that as the magnetic field parameter is increased, the velocity of and decreases. The flow of both nanofluids is reduced by Lorentz forces because it resists flow. It is interesting to note that boundary layer thickness for is smaller compared to due to the higher density of hybrid nanofluid. In other words, nanofluid can flow easily while interacts with resistance. The impact of the stretching/shrinking constraint on velocity is shown in Figure 3a,b. For stretching/enlarging of the surface and for shrinking of the surface. It is examined that flow of nanofluid and hybrid nanofluid is accelerated when the surface extends toward positive values of and decelerates when the surface shrinks (extends toward negative values of). On velocity, there is virtually no discernible influence. In any case, the velocity of is lower in magnitude than. The reason is that has a fast flow rate due to the presence of one nanoparticle, but has a slower flow rate because of the presence of two nanoparticles. Furthermore, has a higher viscosity than. Figure 3c depicts the influence of the suction/injection (or Stefan blowing) constraint on velocity . As increases, the velocity of and increases. It can be perceived that the velocity is steady in the channel’s center region. Additionally, the boundary layer thickness of is smaller as compared to the nanofluid because of the higher density of . Figure 4a,b displays the impact of accretion/ablation constraint on velocity profiles and . As the constraint increases, the velocity of and decreases. For different values of , interesting outcomes are found. It happens to accomplish a leading-edge ablation of the magnitude by adopting the locations . An accretion event occurs when the condition is reached in the backward boundary layer with the rambling edge. When the cases and are implemented, the system resembles previous work, such as Blasius flat plate research and the Rayleigh–Stokes investigation in the case of hybrid nanoliquids. The Hall parameter effect occurs to increase the magnetic field’s strength. The Lorentz force resists the flow of ordinary and hybrid nanofluid and and it is generated by increasing the magnetic field intensity. Figure 4c is plotted to illustrate the aforementioned fact, and it can be seen that the fluid flows are decreasing. The velocity profile decreases, resulting in a lack of convection into the surface. The Lorentz forces exert a substantial influence on the flow, which eventually causes it to decrease. For a minimal value of the magnetic field constraint, the magnetic field is irrelevant to the flow. is probable in that the magnetic field’s application removes the amplification of convection caused by nanoparticles right away. The non-dimensional form in the last term, i.e., of Equation (10) proves that for low magnetic field strength, the Hall current parameter fully controls fluid motion. So, increasing the Hall current parameter decreases the velocity profile Figure 4d is schemed to display the impact of Hall current constraint on the velocity profile . When the value of increases, the boundary layer thickness decays because of resistance and velocity profile decays.

Figure 2.
(a) Impact of on velocity profile . (b) Impact of on velocity profile .

Figure 3.
(a) Impact of stretching on velocity profile . (b) Impact of shrinking on velocity profile . (c) Impact of on velocity profile .

Figure 4.
(a) Impact of on velocity profile . (b) Impact of on velocity profile . (c) Impact of on velocity profile . (d) Impact of on velocity profile.
3.2. Temperature Profile
Figure 5a illustrates the impact of Prandtl number on the temperature profile of nanoparticles. With larger values, becomes smaller. For the whole length of the channel, viscous forces have a homogeneous effect on the heat transfer rate. It is noted that the heat transmission rate of is higher compared to nanofluid. Because hybrid nanofluid has two solid nanoparticles and has a single solid nanoparticle, the density and temperature conductivity of the hybrid nanoliquid are higher than the other nanofluid. Figure 5b represents the influence of parameter stretching/shrinking on temperature . For rising values of , both and have exhibited a decrease in temperature. In stretching phenomena, the temperature of is somewhat greater than that of . The temperature of and increases when the Stefan blowing parameter rises, as shown in Figure 5c. The reduction in heat transmission is most noticeable. Here, it is noted that the temperature transmission rate of is higher as compared to nanofluid. Figure 6 is plotted to present the isotherm for study parameters.

Figure 5.
(a) Temperature profile for different values of . (b) Temperature profile for different values of . (c) Temperature profile for different values of .
Figure 6.
Isotherm plot under the study parameters.
3.3. Concentration Profile, Skin Friction, Nusselt Number, and Mass Transfer
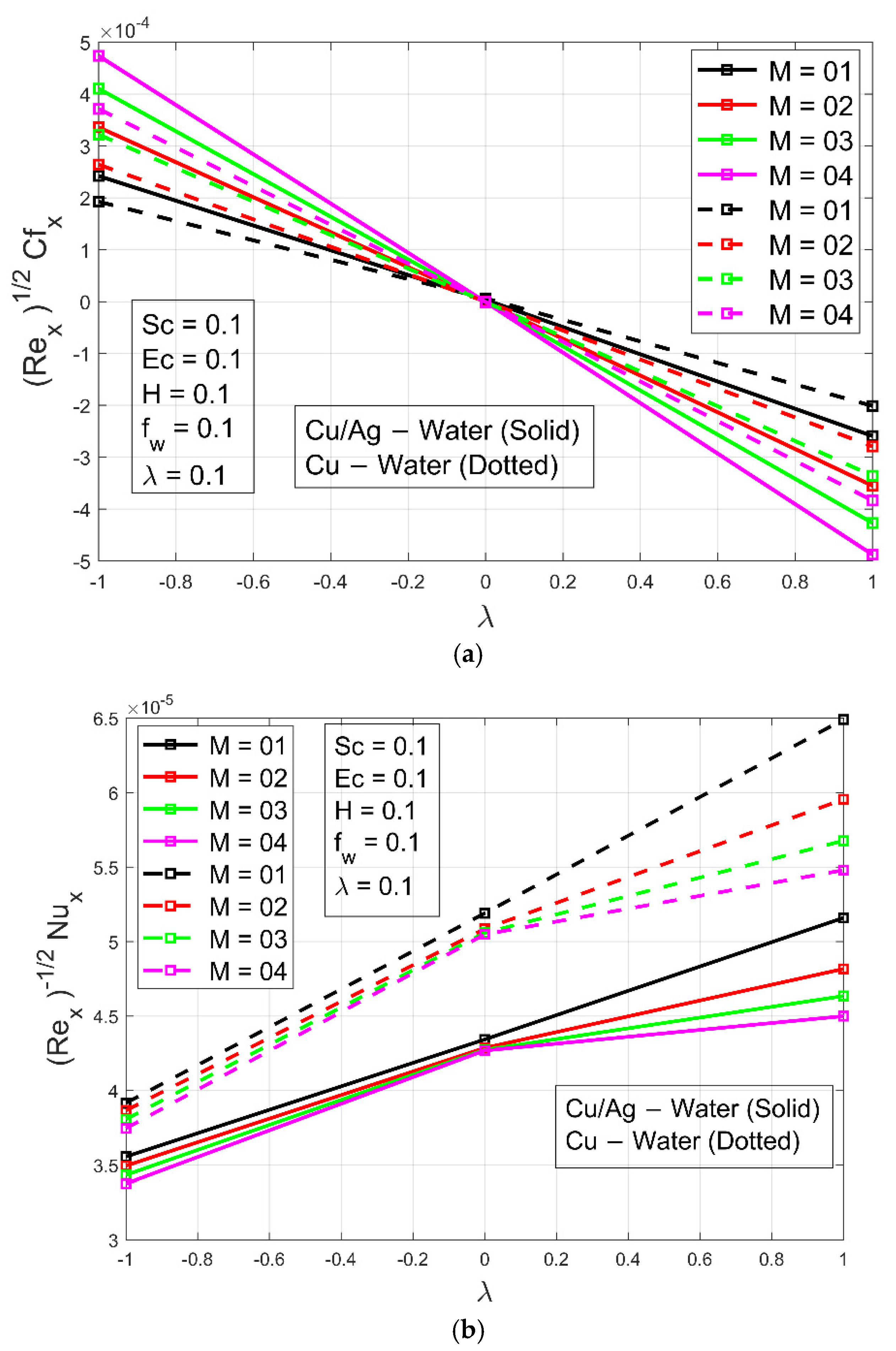
The rise in Schmidt number raises the concentration profile , as shown in Figure 7a. Viscosity increases when values are increasing. The nanoparticle concentration is increased because viscosity is a feature of cohesive forces within various layers of and that have relative flow. The viscosity of the water increases as the nanoparticles are dispersed into it, resulting in a rise in the unified forces. For small values of the change is very small but as increases, the change is more visible. The influence of suction/injection constraint is presented in Figure 7b and has an increasing effect on the nanoparticle concentration constituting as increases. Figure 7c illustrates the impact of the Hall constraint on concentration profile . It can be seen from Figure 7c that the concentration profile boosts as Hall constraint increases. The boundary layer thickness is greater in the case of as compared to because of higher viscosity and of nanofluid. Figure 8a–c shows the skin friction, Nusselt number, and mass transmission, respectively. Skin friction is higher in the case of hybrid nanofluid because of higher density as compared to nanofluid when the magnetic field constraint increases. The Nusselt number of the nanoliquid is higher as compared to the hybrid nanoliquid when the magnetic parameter increases. This is due to increasing the magnetic field parameter, which restricts the fluid from flowing. So, due to the lower density of nanofluid, the Nusselt number of the ordinary nanoliquid is higher than that of the hybrid nanoliquid. The mass transmission rate is higher for the hybrid nanofluid associated with the nanofluid as the magnetic field constraint increases.
Figure 7.
(a) Concentration profile under the impact of Schmidt number . (b) Concentration profile under the impact of Stefan blowing parameter . (c) Concentration profile under the impact of Hall parameter .

Figure 8.
(a) Skin friction for different values of . (b) Nusselt number for different values of . (c) Mass transfer for different values of .
4. Conclusions
This novel work is incorporated for the nanofluid and hybrid nanofluid with the Hall current effect over a stretchable surface to investigate the thermal transmission and mass transfer rates. Water is considered the base fluid while copper and silver are used to prepare nanofluid and hybrid nanofluid. The outcomes are obtained by using the boundary value problem technique at MATLAB and presented through graphs throughout the study. The major outcomes of the articles are:
- The velocity profile reduces when the magnetic Stefan blowing , leading-edge accretion or ablation , and Hall parameter are increased.
- The velocity profile reduces when the magnetic, Stefan blowing, leading-edge accretion or ablation parameters and Hall are increased.
- The temperature profile decays when Prandtl number and surface stretching rate increases but the behavior is opposite when Stefan blowing parameter increases.
- An increase in surface stretching rate , increases the velocity profile of both nanofluids.
- The concentration profile of nanofluids rises when the Hall parameter , Stefan blowing parameter and the Schmidt parameter are increased.
- The mass transfer rate and skin friction are higher for hybrid nanofluid when magnetic parameter increases but the Nusselt number is higher for ordinary nanofluid.
- The heat transmission rate of the hybrid nanoliquid is always higher than nanofluid.
Author Contributions
Conceptualization, M.A. and J.A.; methodology, H.K.; software, M.A.; validation, J.A., D.G. and A.M.G.; formal analysis, D.G.; investigation, M.A.; resources, J.A.; data curation, H.K.; writing—original draft preparation, M.A.; writing—review and editing, M.A.; visualization, D.G.; supervision, M.A.; project administration, A.M.G.; funding acquisition, H.K. All authors have read and agreed to the published version of the manuscript.
Funding
This research received no external funding.
Institutional Review Board Statement
Not applicable.
Informed Consent Statement
Not applicable.
Data Availability Statement
Not applicable.
Acknowledgments
Princess Nourah bint Abdulrahman University Researchers Supporting Project number (PNURSP2022R192), Princess Nourah bint Abdulrahman University, Riyadh, Saudi Arabia.
Conflicts of Interest
The authors declare that this study has no conflict of interest.
Nomenclature
| direction | |
| Greek Symbols | |
References
- Shateyi, S.; Motsa, S. Variable Viscosity on Magnetohydrodynamic Fluid Flow and Heat Transfer over an Unsteady Stretching Surface with Hall Effect. Bound. Value Probl. 2010, 2010, 257568. [Google Scholar] [CrossRef]
- Hayat, T.; Awais, M.; Nawaz, M.; Iram, S.; Alsaedi, A. Mixed Convection Three-dimensional Flow with Hall and Ion-slip Effects. Int. J. Nonlinear Sci. Numer. Simul. 2013, 14, 167–177. [Google Scholar] [CrossRef]
- Shah, Z.; Ullah, A.; Bonyah, E.; Ayaz, M.; Islam, S.; Khan, I. Hall effect on Titania nanofluids thin film flow and radiative thermal behavior with different base fluids on an inclined rotating surface. AIP Adv. 2019, 9, 055113. [Google Scholar] [CrossRef]
- El-Aziz, M.A. Effects of Hall current on the flow and heat transfer of a nanofluid over a stretching sheet with partial slip. Int. J. Mod. Phys. C 2013, 24, 1350044. [Google Scholar] [CrossRef]
- Hayat, T.; Iqbal, M.; Yasmin, H.; Alsaadi, F. Hall effects on peristaltic flow of couple stress fluid in an inclined asymmetric channel. Int. J. Biomath. 2014, 7, 1450057. [Google Scholar] [CrossRef]
- Gaffar, S.A.; Prasad, V.R.; Reddy, E.K. MHD free convection flow of Eyring–Powell fluid from vertical surface in porous media with Hall/ionslip currents and ohmic dissipation. Alex. Eng. J. 2016, 55, 875–905. [Google Scholar] [CrossRef]
- Ahmed, S.; Zueco, J. Modeling of heat and mass transfer in a rotating vertical porous channel with hall current. Chem. Eng. Commun. 2011, 198, 1294–1308. [Google Scholar] [CrossRef]
- Awan, S.E.; Raja, M.A.Z.; Gul, F.; Khan, Z.A.; Mehmood, A.; Shoaib, M. Numerical computing paradigm for investigation of micropolar nanofluid flow between parallel plates system with impact of electrical MHD and Hall current. Arab. J. Sci. Eng. 2021, 46, 645–662. [Google Scholar] [CrossRef]
- Choi, S.U.; Eastman, J.A. Enhancing Thermal Conductivity of Fluids with Nanoparticles (No. ANL/MSD/CP-84938; CONF-951135-29). In Proceedings of the 1995 International Mechanical Engineering Congress and Exhibition, San Francisco, CA, USA, 12–17 November 1995. [Google Scholar]
- Hussain, A.; Elkotb, M.A.; Arshad, M.; Rehman, A.; Sooppy Nisar, K.; Hassan, A.; Saleel, C.A. Computational investigation of the combined impact of nonlinear radiation and magnetic field on three-dimensional rotational nanofluid flow across a stretchy surface. Processes 2021, 9, 1453. [Google Scholar] [CrossRef]
- Naseer, A.; Jamil, F.; Ali, H.M.; Ejaz, A.; Khushnood, S.; Ambreen, T.; Khan, M.S.; Bashir, M.A.; Pao, W.; Yan, W.M. Role of phase change materials thickness for photovoltaic thermal management. Sustain. Energy Technol. Assess. 2021, 49, 101719. [Google Scholar] [CrossRef]
- Sajjad, U.; Hamid, K.; Sultan, M.; Abbas, N.; Ali, H.M.; Imran, M.; Wang, C.C. Personal thermal management-A review on strategies, progress, and prospects. Int. Commun. Heat Mass Transf. 2022, 130, 105739. [Google Scholar] [CrossRef]
- Khan, N.S. Bioconvection in second grade nanofluid flow containing nanoparticles and gyrotactic microorganisms. Braz. J. Phys. 2018, 48, 227–241. [Google Scholar] [CrossRef]
- Bahiraei, M.; Heshmatian, S. Graphene family nanofluids: A critical review and future research directions. Energy Convers. Manag. 2019, 196, 1222–1256. [Google Scholar] [CrossRef]
- Ejaz, F.; Pao, W.; Nasif, M.S.; Saieed, A.; Memon, Z.Q.; Nuruzzaman, M. A review: Evolution of branching T-junction geometry in terms of diameter ratio, to improve phase separation. Eng. Sci. Technol. Int. J. 2021, 24, 1211–1223. [Google Scholar] [CrossRef]
- Arshad, H.; Sulaiman, S.A.; Hussain, Z.; Naz, M.Y.; Moni, M.N.Z. Effect of input power and process time on conversion of pure and mixed plastics into fuels through microwave-metal interaction pyrolysis. Waste Biomass Valorization 2021, 12, 3443–3457. [Google Scholar] [CrossRef]
- Lin, Y.; Zheng, L.; Zhang, X.; Ma, L.; Chen, G. MHD pseudo-plastic nanofluid unsteady flow and heat transfer in a finite thin film over stretching surface with internal heat generation. Int. J. Heat Mass Transf. 2015, 84, 903–911. [Google Scholar] [CrossRef]
- Akbar, N.S.; Nadeem, S.; Haq, R.U.; Khan, Z.H. Radiation effects on MHD stagnation point flow of nano fluid towards a stretching surface with convective boundary condition. Chin. J. Aeronaut. 2013, 26, 1389–1397. [Google Scholar]
- Khan, N.S.; Gul, T.; Khan, M.A.; Bonyah, E.; Islam, S. Mixed convection in gravity-driven thin film non-Newtonian nanofluids flow with gyrotactic microorganisms. Results Phys. 2017, 7, 4033–4049. [Google Scholar] [CrossRef]
- Bahiraei, M. Particle migration in nanofluids: A critical review. Int. J. Therm. Sci. 2016, 109, 90–113. [Google Scholar] [CrossRef]
- Waini, I.; Ishak, A.; Pop, I. Unsteady flow and heat transfer past a stretching/shrinking sheet in a hybrid nanofluid. Int. J. Heat Mass Transf. 2019, 136, 288–297. [Google Scholar] [CrossRef]
- Bahiraei, M.; Heshmatian, S. Electronics cooling with nanofluids: A critical review. Energy Convers. Manag. 2018, 172, 438–456. [Google Scholar] [CrossRef]
- Dalkılıç, A.S.; Türk, O.A.; Mercan, H.; Nakkaew, S.; Wongwises, S. An experimental investigation on heat transfer characteristics of graphite-SiO2/water hybrid nanofluid flow in horizontal tube with various quad-channel twisted tape inserts. Int. Commun. Heat Mass Transf. 2019, 107, 1–13. [Google Scholar] [CrossRef]
- Ahmadpour, V.; Mirzaei, I.; Rezazadeh, S.; Ahmadi, N. Investigation of solid/liquid interface evolution in the solidification process of liquid metal in an annulus crucible at the presence of static magnetic field: Numerical study. J. Braz. Soc. Mech. Sci. Eng. 2019, 41, 404. [Google Scholar] [CrossRef]
- Ahmadi, N.; Rezazadeh, S.; Dadvand, A.; Mirzaee, I. Numerical investigation of the effect of gas diffusion layer with semicircular prominences on polymer exchange membrane fuel cell performance and species distribution. J. Renew. Energy Environ. 2015, 2, 36–46. [Google Scholar]
- Al-Sharafi, A.; Yilbas, B.; Hassan, G.; Al-Qahtani, H.; Sahin, A. Stretchable hydrophobic surfaces and droplet heating. Int. J. Heat Fluid Flow 2019, 78, 108435. [Google Scholar] [CrossRef]
- Jing, Z.; Feng, C.; Ma, X.; Qiao, M.; Wang, H.; Wang, S. Non-uniform heat transfer behavior of wet foam fluid in a narrow fracture channel. Exp. Therm. Fluid Sci. 2022, 134, 110614. [Google Scholar] [CrossRef]
- Gulzar, O.; Qayoum, A.; Gupta, R. Experimental study on stability and rheological behaviour of hybrid Al2O3-TiO2 Therminol-55 nanofluids for concentrating solar collectors. Powder Technol. 2019, 352, 436–444. [Google Scholar] [CrossRef]
- Roşca, N.C.; Pop, I. Unsteady boundary layer flow of a nanofluid past a moving surface in an external uniform free stream using Buongiorno’s model. Comput. Fluids 2014, 95, 49–55. [Google Scholar] [CrossRef]
- Palwasha, Z.; Khan, N.; Shah, Z.; Islam, S.; Bonyah, E. Study of two-dimensional boundary layer thin film fluid flow with variable thermo-physical properties in three dimensions space. AIP Adv. 2018, 8, 105318. [Google Scholar] [CrossRef]
- Khan, N.S.; Gul, T.; Kumam, P.; Shah, Z.; Islam, S.; Khan, W.; Sohail, A. Influence of inclined magnetic field on Carreau nanoliquid thin film flow and heat transfer with graphene nanoparticles. Energies 2019, 12, 1459. [Google Scholar] [CrossRef]
- Arshad, M.; Hussain, A.; Hassan, A.; Haider, Q.; Ibrahim, A.H.; Alqurashi, M.S.; Almaliki, A.H.; Abdussattar, A. Thermophoresis and Brownian Effect for Chemically Reacting Magneto-Hydrodynamic Nanofluid Flow across an Exponentially Stretching Sheet. Energies 2022, 15, 143. [Google Scholar] [CrossRef]
- Amjad, M.; Ahmad, I.; Ahmad, M.; Wróblewski, P.; Kamiński, P.; Amjad, U. Prediction of Pile Bearing Capacity Using XGBoost Algorithm: Modeling and Performance Evaluation. Appl. Sci. 2022, 12, 2126. [Google Scholar] [CrossRef]
- Hassan, A.; Hussain, A.; Arshad, M.; Alanazi, M.M.; Zahran, H.Y. Numerical and Thermal Investigation of Magneto-Hydrodynamic Hybrid Nanoparticles (SWCNT-Ag) under Rosseland Radiation: A Prescribed Wall Temperature Case. Nanomaterials 2022, 12, 891. [Google Scholar] [CrossRef]
- Wróblewski, P.; Niekurzak, M. Assessment of the Possibility of Using Various Types of Renewable Energy Sources Installations in Single-Family Buildings as Part of Saving Final Energy Consumption in Polish Conditions. Energies 2022, 15, 1329. [Google Scholar] [CrossRef]
- Hassan, A.; Hussain, A.; Arshad, M.; Haider, Q.; Althobaiti, A.; Elagan, S.K.; Alqurashi, M.S.; Abdelmohimen, M.A. Heat transport investigation of hybrid nanofluid (Ag-CuO) porous medium flow: Under magnetic field and Rosseland radiation. Ain Shams Eng. J. 2022, 13, 101667. [Google Scholar] [CrossRef]
- Ahmad, F.; Tang, X.W.; Qiu, J.N.; Wróblewski, P.; Ahmad, M.; Jamil, I. Prediction of slope stability using Tree Augmented Naive-Bayes classifier: Modeling and performance evaluation. Math. Biosci. Eng. 2022, 19, 4526–4546. [Google Scholar] [CrossRef]
- Hussain, A.; Hassan, A.; Mdallal, Q.A.; Ahmad, H.; Sherif, E.S.M.; Rehman, A.; Arshad, M. Comsolic solution of an elliptic cylindrical compressible fluid flow. Sci. Rep. 2021, 11, 1–12. [Google Scholar] [CrossRef]
- Wróblewski, P.; Rogólski, R. Experimental Analysis of the Influence of the Application of TiN, TiAlN, CrN and DLC1 Coatings on the Friction Losses in an Aviation Internal Combustion Engine Intended for the Propulsion of Ultralight Aircraft. Materials 2021, 14, 6839. [Google Scholar] [CrossRef]
- Hussain, A.; Hassan, A.; Al Mdallal, Q.; Ahmad, H.; Rehman, A.; Altanji, M.; Arshad, M. Heat transport investigation of magneto-hydrodynamics (SWCNT-MWCNT) hybrid nanofluid under the thermal radiation regime. Case Stud. Therm. Eng. 2021, 27, 101244. [Google Scholar] [CrossRef]
- Ahmad, M.; Ahmad, F.; Wróblewski, P.; Al-Mansob, R.A.; Olczak, P.; Kamiński, P.; Safdar, M.; Rai, P. Prediction of Ultimate Bearing Capacity of Shallow Foundations on Cohesionless Soils: A Gaussian Process Regression Approach. Appl. Sci. 2021, 11, 10317. [Google Scholar] [CrossRef]
- Hussain, A.; Hassan, A.; Al Mdallal, Q.; Ahmad, H.; Rehman, A.; Altanji, M.; Arshad, M. Heat transportation enrichment and elliptic cylindrical solution of time-dependent flow. Case Stud. Therm. Eng. 2021, 27, 101248. [Google Scholar] [CrossRef]
- Wróblewski, P.; Lewicki, W. A method of analyzing the residual values of low-emission vehicles based on a selected expert method taking into account stochastic operational parameters. Energies 2021, 14, 6859. [Google Scholar] [CrossRef]
- Hussain, A.; Arshad, M.; Rehman, A.; Hassan, A.; Elagan, S.K.; Ahmad, H.; Ishan, A. Three-dimensional water-based magneto-hydrodynamic rotating nanofluid flow over a linear extending sheet and heat transport analysis: A numerical approach. Energies 2021, 14, 5133. [Google Scholar] [CrossRef]
- Wróblewski, P. Analysis of Torque Waveforms in Two-Cylinder Engines for Ultralight Aircraft Propulsion Operating on 0W-8 and 0W-16 Oils at High Thermal Loads Using the Diamond-Like Carbon Composite Coating. SAE Int. J. Engines 2021, 15, 2022. [Google Scholar] [CrossRef]
- Hussain, A.; Hassan, A.; Arshad, M.; Rehman, A.; Matoog, R.T.; Abdeljawad, T. Numerical simulation and thermal enhancement of multi-based nanofluid over an embrittled cone. Case Stud. Therm. Eng. 2021, 28, 101614. [Google Scholar] [CrossRef]
- Wróblewski, P.; Koszalka, G. An experimental study on frictional losses of coated piston rings with symmetric and asymmetric geometry. SAE Int. J. Engines 2021, 14, 853. [Google Scholar] [CrossRef]
- Hussain, A.; Arshad, M.; Rehman, A.; Hassan, A.; Elagan, S.K.; Alshehri, N.A. Heat Transmission of Engine-Oil-Based Rotating Nanofluids Flow with Influence of Partial Slip Condition: A Computational Model. Energies 2021, 14, 3859. [Google Scholar] [CrossRef]
- Arshad, M.; Hussain, A.; Hassan, A.; Shah, S.A.G.A.; Elkotb, M.A.; Gouadria, S.; Alsehli, M.; Galal, A.M. Heat and mass transfer analysis above an unsteady infinite porous surface with chemical reaction. Case Stud. Therm. Eng. 2022, 36, 102140. [Google Scholar] [CrossRef]
- Wróblewski, P.; Kupiec, J.; Drożdż, W.; Lewicki, W.; Jaworski, J. The economic aspect of using different plug-in hybrid driving techniques in urban conditions. Energies 2021, 14, 3543. [Google Scholar] [CrossRef]
- Arshad, M.; Hussain, A.; Shah, S.A.G.A.; Wróblewski, P.; Elkotb, M.A.; Abdelmohimen, M.A.; Hassan, A. Thermal energy investigation of magneto-hydrodynamic nano-material liquid flow over a stretching sheet: Comparison of single and composite particles. Alex. Eng. J. 2022, 61, 10453–10462. [Google Scholar] [CrossRef]
- Ali, L.; Tassaddiq, A.; Ali, R.; Islam, S.; Gul, T.; Kumam, P.; Thounthong, P. A new analytical approach for the research of thin-film flow of magneto hydrodynamic fluid in the presence of thermal conductivity and variable viscosity. ZAMM-J. Appl. Math. Mech. 2021, 101, e201900292. [Google Scholar] [CrossRef]
- Khan, N.S.; Gul, T.; Islam, S.; Khan, I.; Alqahtani, A.M.; Alshomrani, A.S. Magnetohydrodynamic Nanoliquid Thin Film Sprayed on a Stretching Cylinder with Heat Transfer. Appl. Sci. 2017, 7, 271. [Google Scholar] [CrossRef]
- Hussain, A.; Arshad, M.; Hassan, A.; Rehman, A.; Ahmad, H.; Baili, J.; Gia, T.N. Heat transport investigation of engine oil based rotating nanomaterial liquid flow in the existence of partial slip effect. Case Stud. Therm. Eng. 2021, 28, 101500. [Google Scholar] [CrossRef]
- Nisar, K.S.; Khan, U.; Zaib, A.; Khan, I.; Baleanu, D. Numerical Simulation of Mixed Convection Squeezing Flow of a Hybrid Nanofluid Containing Magnetized Ferroparticles in 50%:50% of Ethylene Glycol–Water Mixture Base Fluids Between Two Disks with the Presence of a Non-linear Thermal Radiation Heat Flux. Front. Chem. 2020, 8, 792. [Google Scholar] [CrossRef]
- Khan, N.S.; Zuhra, S.; Shah, Z.; Bonyah, E.; Khan, W.; Islam, S.; Khan, A. Hall current and thermophoresis effects on magnetohydrodynamic mixed convective heat and mass transfer thin film flow. J. Phys. Commun. 2019, 3, 035009. [Google Scholar] [CrossRef]
- Avramenko, A.A.; Shevchuk, I.V. Lie group analysis and general forms of self-similar parabolic equations for fluid flow, heat and mass transfer of nanofluids. J. Therm. Anal. Calorim. 2019, 135, 223–235. [Google Scholar] [CrossRef]
- Arshad, M.; Hussain, A.; Hassan, A.; Khan, I.; Badran, M.; Mehrez, S.; Elfasakhany, A.; Abdeljawad, T.; Galal, A.M. Heat Transfer Analysis of Nanostructured Material Flow over an Exponentially Stretching Surface: A Comparative Study. Nanomaterials 2022, 12, 1204. [Google Scholar] [CrossRef]
- Aziz, A.; Javaid, S. Lie symmetry reductions and exact solutions for magnetohydrodynamic flow and heat transfer of third grade nanofluid with thermal radiation. J. Therm. Anal. Calorim. 2021, 143, 1957–1972. [Google Scholar] [CrossRef]
- Todd, L. A family of laminar boundary layers along a semi-infinite flat plate. Fluid Dyn. Res. 1997, 19, 235–249. [Google Scholar] [CrossRef]
Publisher’s Note: MDPI stays neutral with regard to jurisdictional claims in published maps and institutional affiliations. |
© 2022 by the authors. Licensee MDPI, Basel, Switzerland. This article is an open access article distributed under the terms and conditions of the Creative Commons Attribution (CC BY) license (https://creativecommons.org/licenses/by/4.0/).












