Broadband Piezoelectric Energy Harvester Based on Coupling Resonance Frequency Tuning
Abstract
1. Introduction
2. Coupling Resonance Frequency Tuning Mechanism
2.1. Modeling
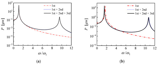
2.2. Frequency Broadening Mechanism
3. Influencing Factors of Frequency Modulation Bandwidth
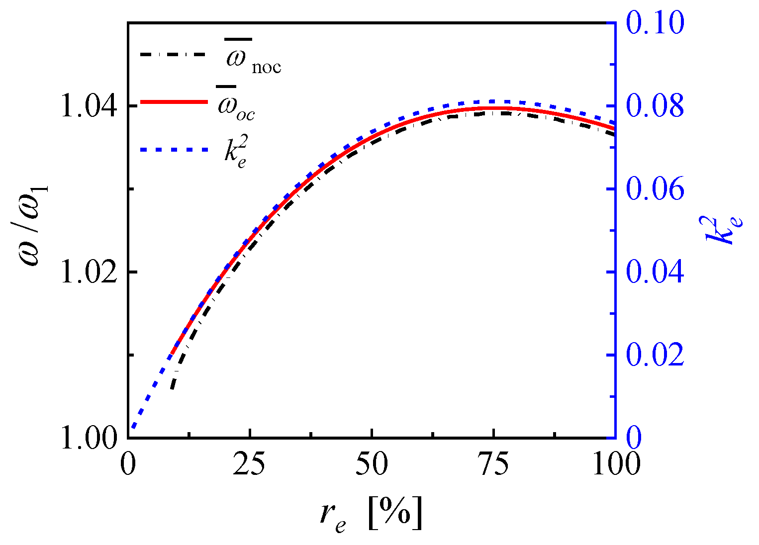
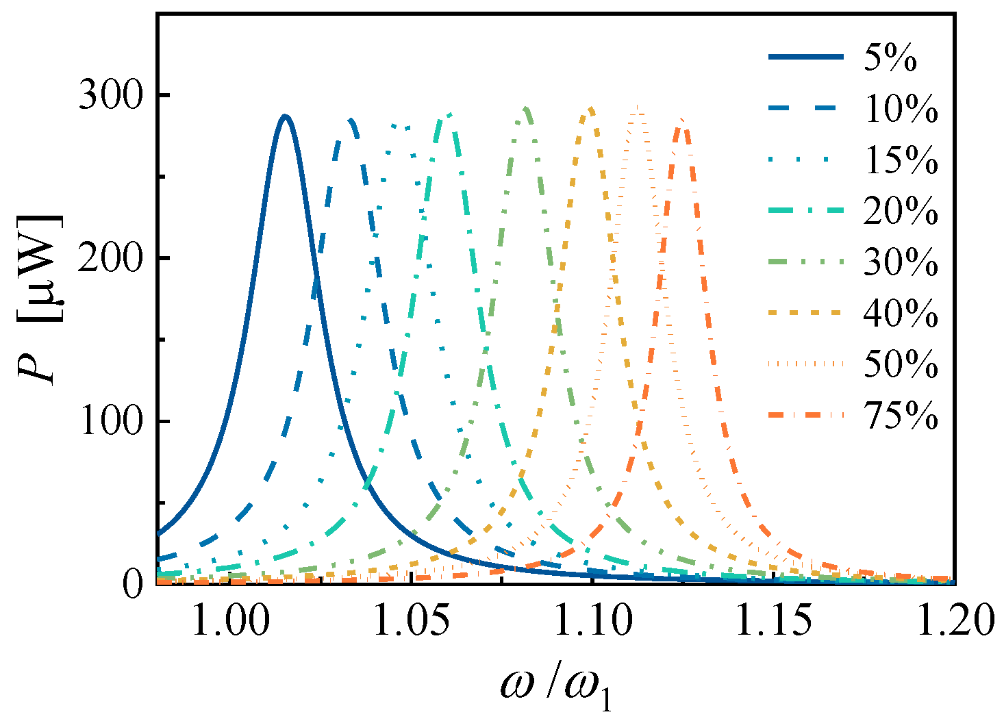
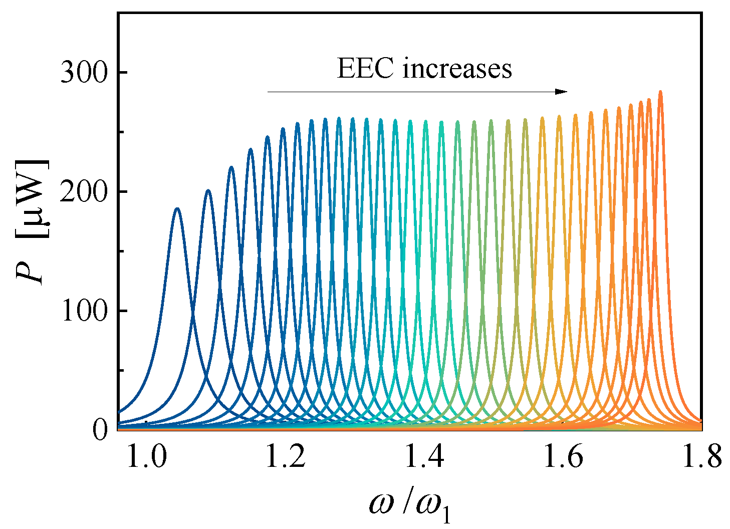
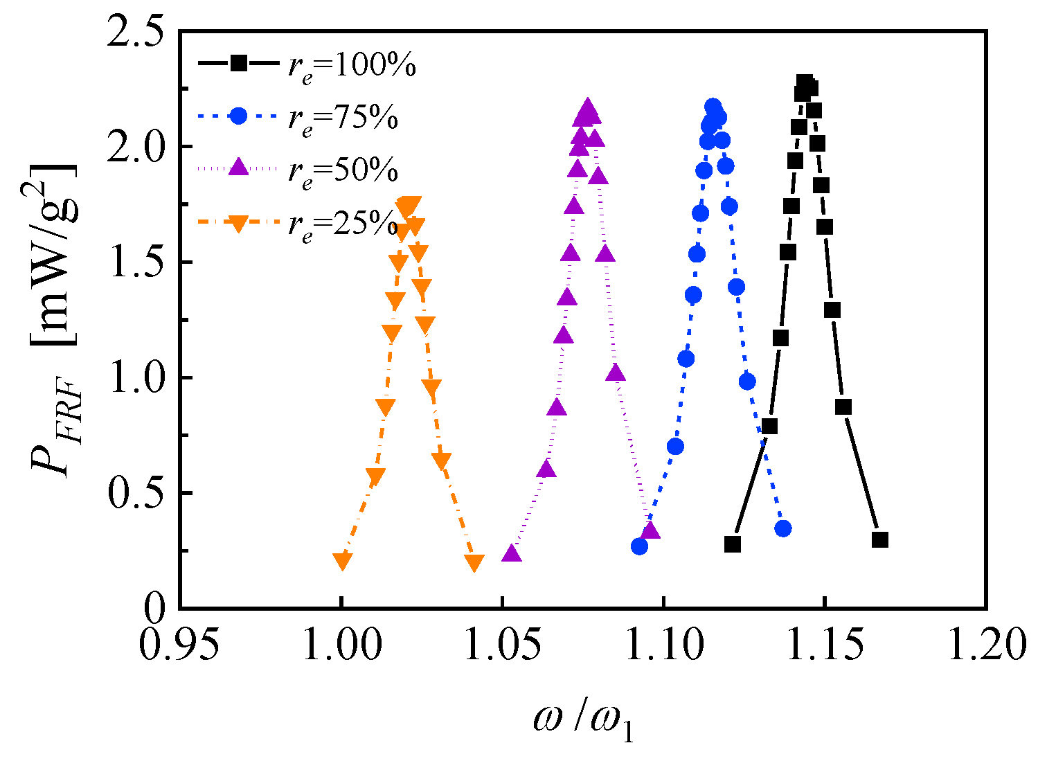
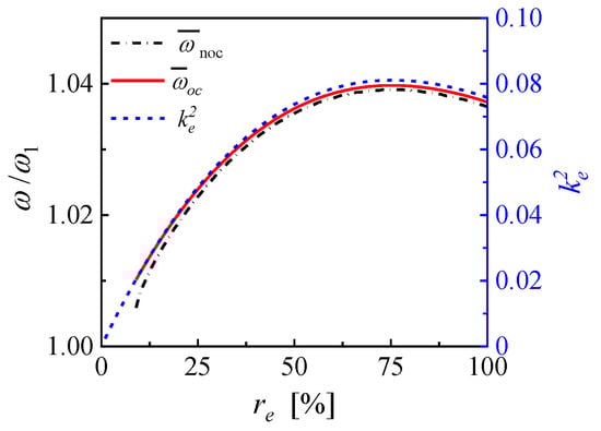
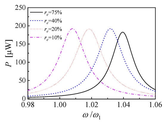
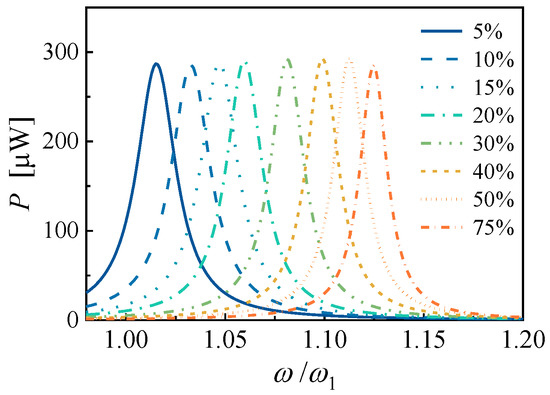
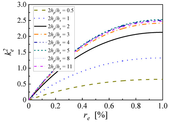
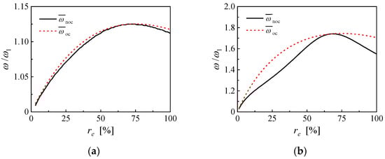
3.1. Effective Electromechanical Coefficient
3.2. Piezoelectric Property
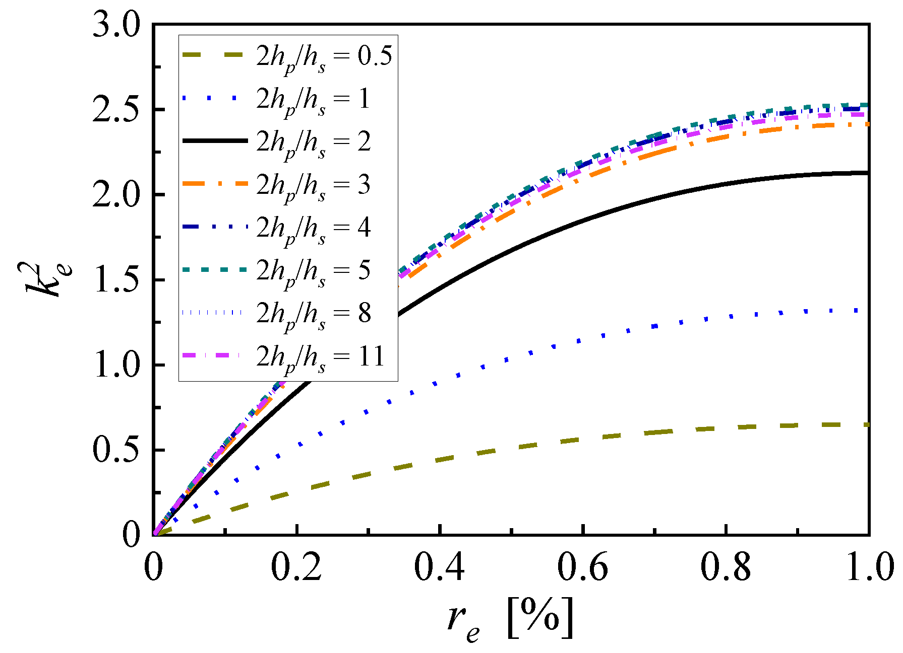
3.3. Cantilever Structure Parameter
4. Experiment
5. Conclusions
Author Contributions
Funding
Data Availability Statement
Acknowledgments
Conflicts of Interest
Appendix A
| Symbol | Description | Value |
|---|---|---|
| b | Width of beam | 10 mm |
| L | Length of beam | 30 mm |
| hs | Thickness of substrate | 200 μm |
| hp | Thickness of PZT | 200 μm |
| LM | Length of mass | 10 mm |
| hM | Height of mass | 1.8 mm |
| ρs | Density of steel | 7732 kg/m3 |
| ρM | Density of copper | 8960 kg/m3 |
| ρp | Density of PZT | 7018 kg/m3 |
| Young’s modulus of steel | 200 GPa | |
| Young’s modulus of PZT | 54 GPa | |
| Relative permittivity constant | 3928 | |
| e31 | Piezoelectric constant | −14.58 C/m2 |
| PZT | PMN-PT | PZN-PT | |
|---|---|---|---|
| 4373 | 6080 | 6099 | |
| Coupling factor K31 | 0.4 | 0.62 | |
| Coupling factor K32 | 0.877 | ||
| Piezoelectric constant d31 [pC/N] | −270 | −920 | |
| Piezoelectric constant d32 [pC/N] | −1346 | ||
| [GPa] | 54 | 19.8 | |
| [GPa] | 22.93 | ||
| Density [kg/m3] | 7018 | 7986 | 8333 |
References
- Pan, H.; Qi, L.; Zhang, Z.; Yan, J. Kinetic energy harvesting technologies for applications in land transportation: A comprehensive review. Appl. Energy 2021, 286, 116518. [Google Scholar] [CrossRef]
- Jiang, J.; Liu, S.; Feng, L.; Zhao, D. A Review of piezoelectric vibration energy harvesting with magnetic coupling based on different structural characteristics. Micromachines 2021, 12, 436. [Google Scholar] [CrossRef]
- Ambrożkiewicz, B.; Czyż, Z.; Karpiński, P.; Stactek, P.; Litak, G.; Grbowski, Ł. Ceramic-based piezoelectric material for energy harvesting using hybrid excitation. Materials 2021, 14, 5816. [Google Scholar] [CrossRef]
- Du, X.; Wang, Y.; Chen, H.; Li, C.; Han, Y.; Yurchenko, D.; Wang, J.; Yu, H. Vortex-induced piezoelectric cantilever beam vibration for ocean wave energy harvesting via airflow from the orifice of oscillation water column chamber. Nano Energy 2022, 104, 107870. [Google Scholar] [CrossRef]
- Maamer, B.; Boughamoura, A.; El-Bab, A.; Francis, L.A.; Tounsi, F. A review on design improvements and techniques for mechanical energy harvesting using piezoelectric and electromagnetic schemes. Energy Convers. Manag. 2019, 199, 111973. [Google Scholar] [CrossRef]
- Yang, Y.; Chen, Z.; Kuai, Q.; Liang, J.; Liu, J.; Zeng, X. Circuit techniques for high efficiency piezoelectric energy harvesting. Micromachines 2022, 13, 1044. [Google Scholar] [CrossRef]
- Lu, D.; Li, Z.; Hu, G.; Zhou, B.; Yang, Y.; Zhang, G. Two-degree-of-freedom piezoelectric energy harvesting from vortex-induced vibration. Micromachines 2022, 13, 1936. [Google Scholar] [CrossRef]
- Wei, C.; Jing, X. A comprehensive review on vibration energy harvesting: Modelling and realization. Renew. Sustain. Energy Rev. 2017, 74, 1–18. [Google Scholar] [CrossRef]
- Erturk, A.; Inman, D.J. Broadband piezoelectric power generation on high-energy orbits of the bistable duffing oscillator with electromechanical coupling. J. Sound Vib. 2011, 330, 2339–2353. [Google Scholar] [CrossRef]
- Tran, N.; Ghayesh, M.H.; Arjomandi, M. Ambient vibration energy harvesters: A review on nonlinear techniques for performance enhancement. Int. J. Eng. Sci. 2018, 127, 162–185. [Google Scholar] [CrossRef]
- Yildirim, T.; Ghayesh, M.H.; Li, W.; Alici, G. A review on performance enhancement techniques for ambient vibration energy harvesters. Renew. Sustain. Energy Rev. 2017, 71, 435–449. [Google Scholar] [CrossRef]
- Erturk, A.; Hoffmann, J.; Inman, D.J. A piezomagnetoelastic structure for broadband vibration energy harvesting. Appl. Phys. Lett. 2009, 94, 254102. [Google Scholar] [CrossRef]
- Hu, Y.; Xu, Y. A wideband vibration energy harvester based on a folded asymmetric gapped cantilever. Appl. Phys. Lett. 2014, 104, 329. [Google Scholar] [CrossRef]
- Tang, Q.; Li, X. Two-stage wideband energy harvester driven by multimode coupled vibration. IEEE/ASME Trans. Mechatron. 2015, 20, 115–121. [Google Scholar] [CrossRef]
- Sang, Y.; Huang, X.; Liu, H.; Jin, P. A vibration-based hybrid energy harvester for wireless sensor systems. IEEE Trans. Magn. 2012, 48, 4495–4498. [Google Scholar] [CrossRef]
- Dong, L.; Closson, A.B.; Jin, C.; Trase, I.; Zhang, J.X.J. Vibration-energy-harvesting system: Transduction mechanisms, frequency tuning techniques, and biomechanical applications. Adv. Mater. Technol. 2019, 4, 1900177. [Google Scholar] [CrossRef]
- Song, H.C.; Kim, S.W.; Kim, H.S.; Lee, D.G.; Kang, C.Y.; Nahm, S. Piezoelectric energy harvesting design principles for materials and structures: Material figure-of-merit and self-resonance tuning. Adv. Mater. 2020, 32, e2002208. [Google Scholar] [CrossRef]
- Ibrahim, S.W.; Ali, W.G. A review on frequency tuning methods for piezoelectric energy harvesting systems. J. Renew. Sustain. Ener. 2012, 4, 062703. [Google Scholar] [CrossRef]
- Dong, L.; Prasad, M.G.; Fisher, F.T. Two-dimensional resonance frequency tuning approach for vibration-based energy harvesting. Smart Mater. Struct. 2016, 25, 065019. [Google Scholar] [CrossRef]
- Eichhorn, C.; Tchagsim, R.; Wilhelm, N.; Woias, P. A smart and self-sufficient frequency tunable vibration energy harvester. J. Micromech. Microeng. 2011, 21, 104003. [Google Scholar] [CrossRef]
- Badel, A.; Lefeuvre, E. Wideband piezoelectric energy harvester tuned through its electronic interface circuit. J. Phys. Conf. Ser. 2014, 557, 012115. [Google Scholar] [CrossRef]
- Lan, C.; Liao, Y.; Hu, G.; Tang, L. Equivalent impedance and power analysis of monostable piezoelectric energy harvesters. J. Intell. Mater. Syst. Struct. 2020, 31, 1697–1715. [Google Scholar] [CrossRef]
- Hu, K.; Zhou, B.; Wang, F.; Yang, Z.; Wang, M. Influence of effective electrode coverage on the energy harvesting performance of piezoelectric cantilevers. Energy Convers. Manag. 2021, 248, 114758. [Google Scholar] [CrossRef]
- Fu, H.; Chen, G.; Bai, N. Electrode coverage optimization for piezoelectric energy harvesting from tip excitation. Sensors 2018, 18, 804. [Google Scholar] [CrossRef] [PubMed]
- Stewart, M.; Weaver, P.M.; Cain, M.G. Charge redistribution in piezoelectric energy harvesters. Appl. Phys. Lett. 2012, 100, 271. [Google Scholar] [CrossRef]
- Du, S.; Jia, Y.; Chen, S.T.; Zhao, C.; Sun, B.; Arroyo, E.; Seshia, A. A new electrode design method in piezoelectric vibration energy harvesters to maximize output power. Sens. Actuator A-Phys. 2017, 263, 693–701. [Google Scholar] [CrossRef]
- Erturk, A.; Inman, D.J. A distributed parameter electromechanical model for cantilevered piezoelectric energy harvesters. J. Vib. Acoust. 2008, 130, 041002. [Google Scholar] [CrossRef]
- Liao, Y.; Sodano, H. Optimal power, power limit and damping of vibration based piezoelectric power harvesters. Smart Mater. Struct. 2018, 27, 075057. [Google Scholar] [CrossRef]
- Yang, Z.; Qin, Z.; Zu, J. Charging capacitors using single crystal PMN-PT and PZN-PT energy harvesters coupled with the SSHI circuit. Sens. Actuator A-Phys. 2017, 266, 76–84. [Google Scholar] [CrossRef]
















| re | 10% | 20% | 40% | 75% | Built-Up |
|---|---|---|---|---|---|
| Maximum power [μW] | 192.3 | 191.2 | 192.1 | 182.1 | 192.3 |
| Bandwidth [%] | 2 | 2.1 | 1.9 | 1.5 | 4.9 |
| Effective average power [μW] | 148.8 | 149.1 | 150.2 | 144.7 | 164.4 |
| PMN-PT | PZN-PT | |||
|---|---|---|---|---|
| Unimodal | Multi-Modal | Unimodal | Multi-Modal | |
| 1.117 | 1.112 | 1.705 | 1.536 | |
| Pmax [μW] | 295.8 | 297.9 | 282.5 | 285.9 |
| Ropt [MΩ] | 0.4411 | 0.4000 | 4.162 | 2.433 |
Disclaimer/Publisher’s Note: The statements, opinions and data contained in all publications are solely those of the individual author(s) and contributor(s) and not of MDPI and/or the editor(s). MDPI and/or the editor(s) disclaim responsibility for any injury to people or property resulting from any ideas, methods, instructions or products referred to in the content. |
© 2022 by the authors. Licensee MDPI, Basel, Switzerland. This article is an open access article distributed under the terms and conditions of the Creative Commons Attribution (CC BY) license (https://creativecommons.org/licenses/by/4.0/).
Share and Cite
Hu, K.; Wang, M. Broadband Piezoelectric Energy Harvester Based on Coupling Resonance Frequency Tuning. Micromachines 2023, 14, 105. https://doi.org/10.3390/mi14010105
Hu K, Wang M. Broadband Piezoelectric Energy Harvester Based on Coupling Resonance Frequency Tuning. Micromachines. 2023; 14(1):105. https://doi.org/10.3390/mi14010105
Chicago/Turabian StyleHu, Kun, and Min Wang. 2023. "Broadband Piezoelectric Energy Harvester Based on Coupling Resonance Frequency Tuning" Micromachines 14, no. 1: 105. https://doi.org/10.3390/mi14010105
APA StyleHu, K., & Wang, M. (2023). Broadband Piezoelectric Energy Harvester Based on Coupling Resonance Frequency Tuning. Micromachines, 14(1), 105. https://doi.org/10.3390/mi14010105

