Numerical Analysis of Mixing Performance in an Electroosmotic Micromixer with Cosine Channel Walls
Abstract
1. Introduction
2. Micromixer Design
3. Numerical Simulation Methods
3.1. Analysis Methods
3.2. Steady State Modeling
3.3. Electric Field Modeling
3.4. Mixing Efficiency Evaluation
3.5. Mesh Independency Test
4. Results and Discussions
4.1. Mixing Effect of the Structures
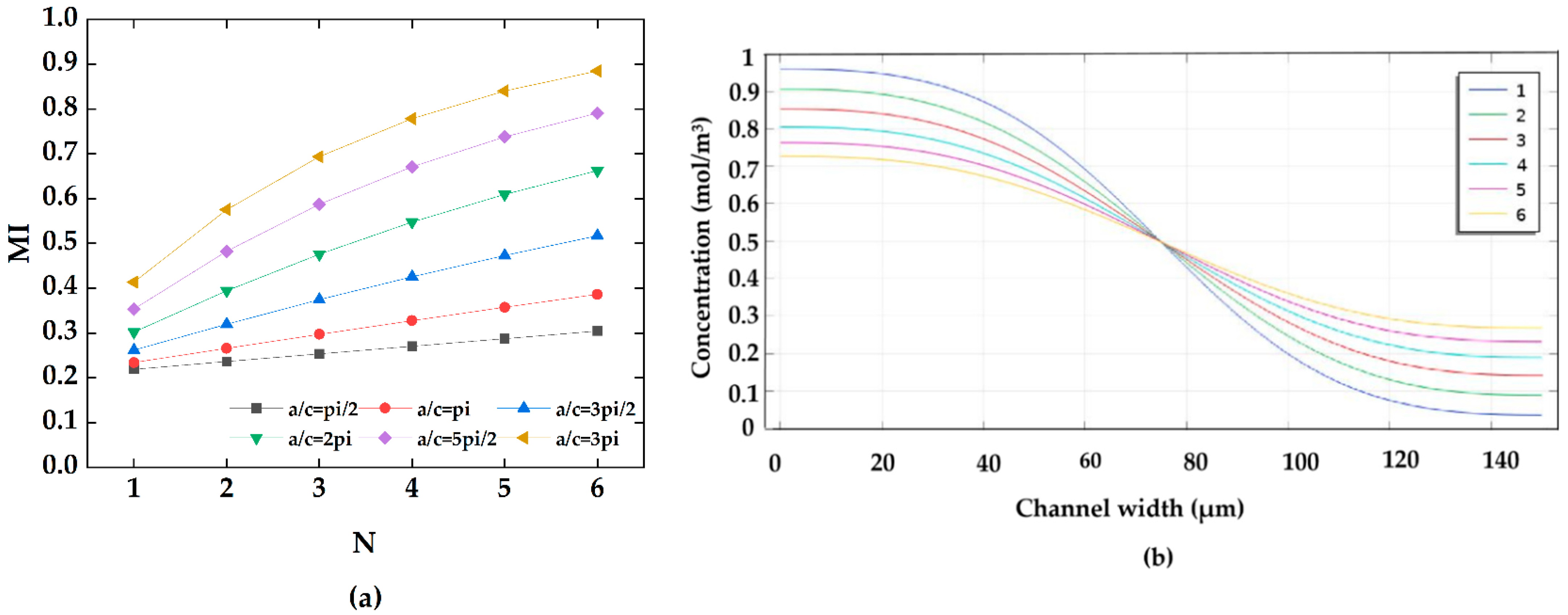
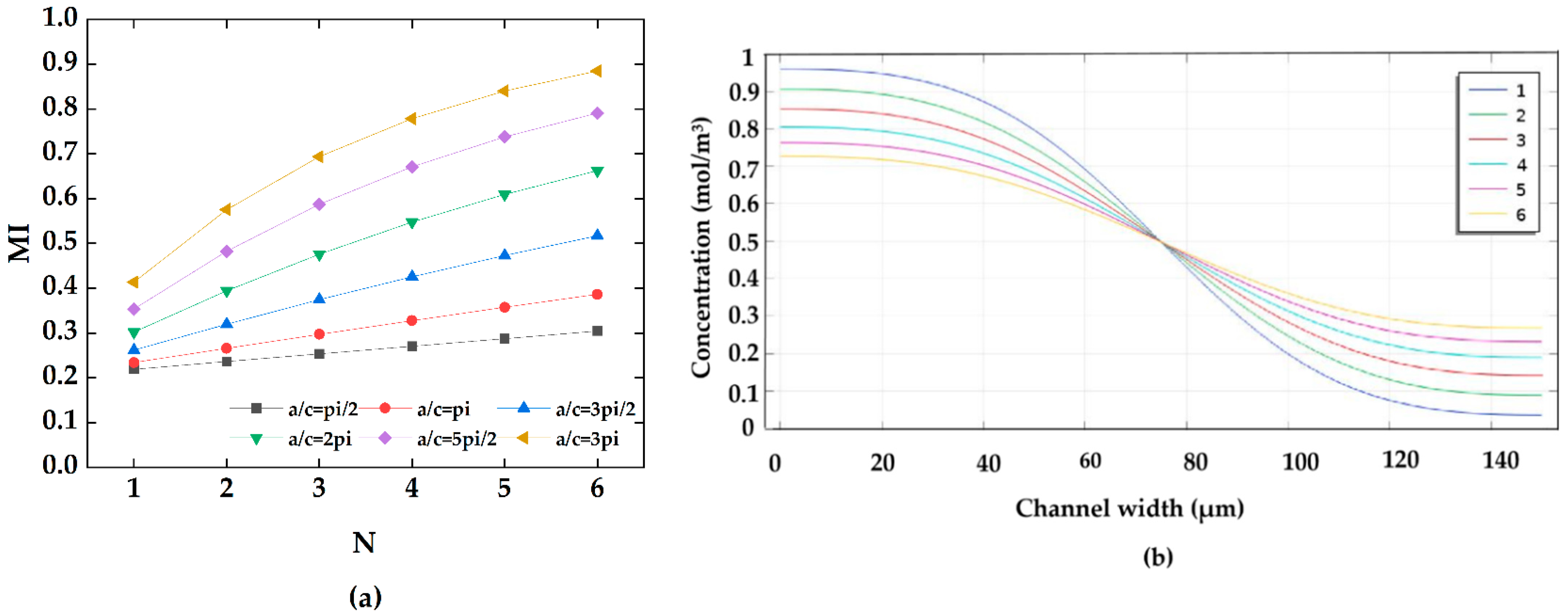
4.1.1. Mixing Effect of a/c
4.1.2. Effect of Mixing Units
4.2. Electroosmotic Flow Mixing
4.2.1. Model Validation
4.2.2. Mixing Effect of Reynolds Number
4.2.3. Mixing Effect of the Number of Electrode Pairs
4.2.4. Mixing Effect of Phase Shift
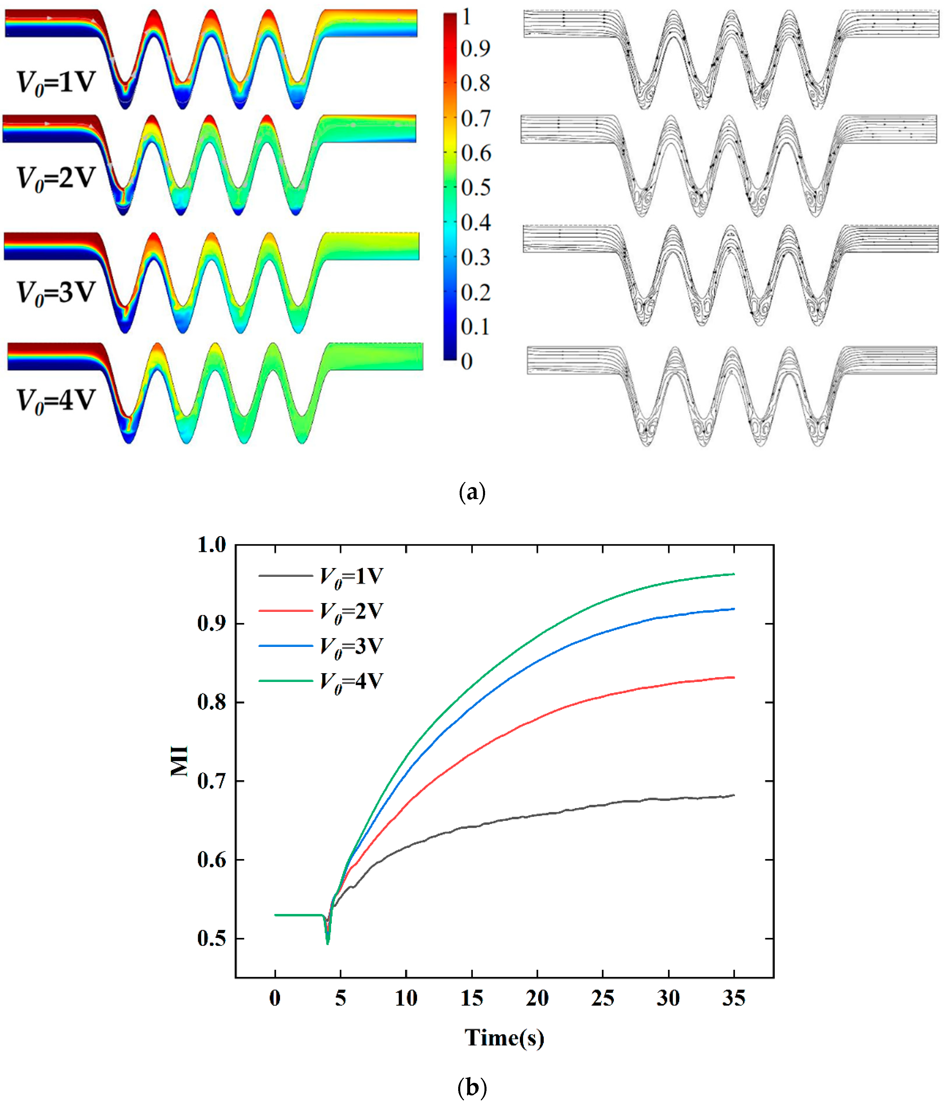
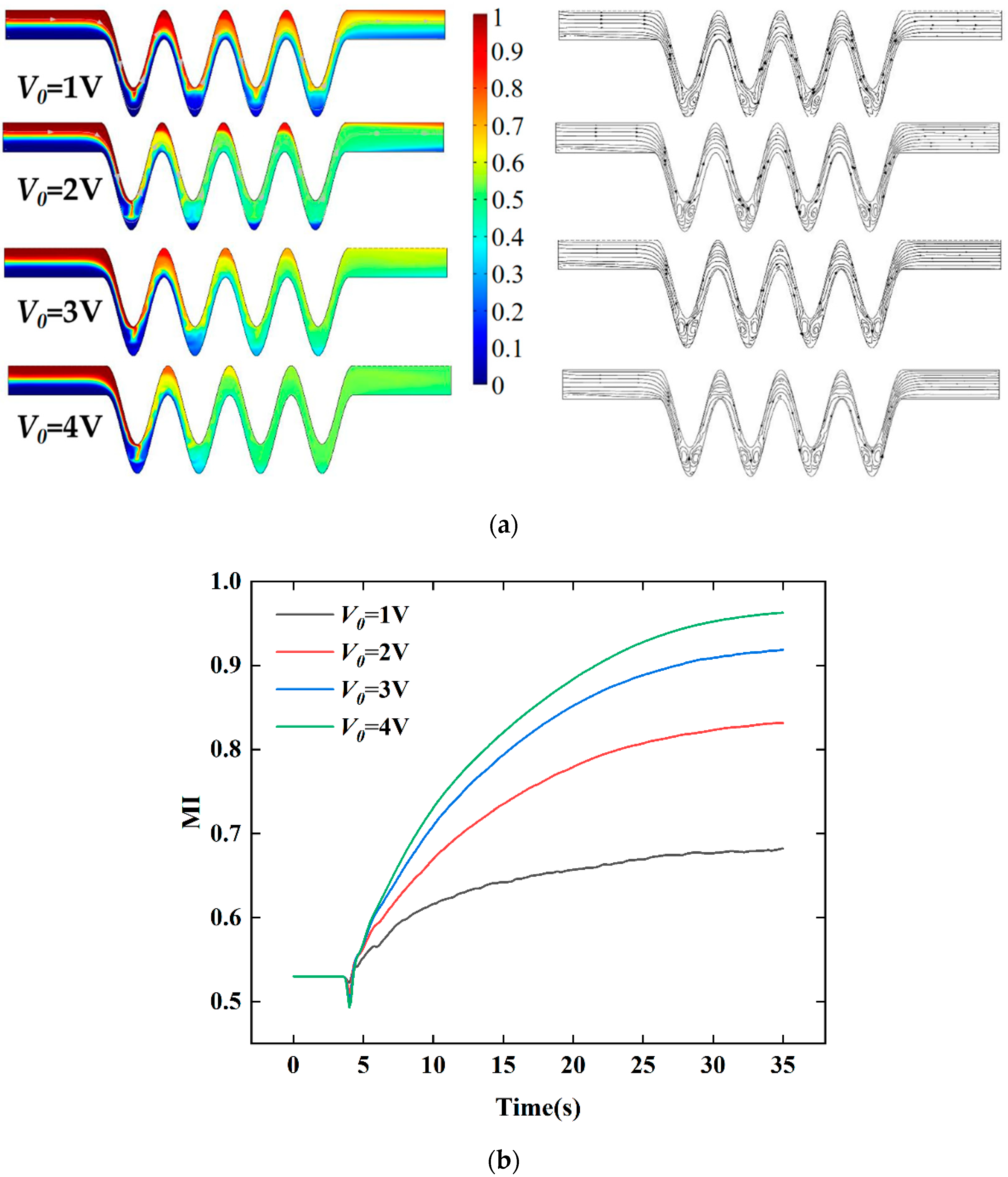
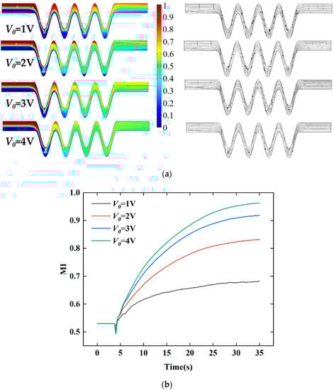
4.2.5. Mixing Effect of the Voltage
4.2.6. Mixing Effect of the Frequency
5. Conclusions
Author Contributions
Funding
Institutional Review Board Statement
Informed Consent Statement
Data Availability Statement
Conflicts of Interest
References
- Srinivasan, V.; Pamula, V.K.; Fair, R.B. An integrated digital microfluidic lab-on-a-chip for clinical diagnostics on human physiological fluids. Lab Chip 2014, 4, 310–315. [Google Scholar] [CrossRef]
- Chen, X.; Li, T.; Li, X. Numerical research on shape optimization of microchannels of passive micromixers. IEEE Sens. J. 2016, 16, 6527–6532. [Google Scholar] [CrossRef]
- SadAbadi, H.; Packirisamy, M.; Wuthrich, R. High performance cascaded PDMS micromixer based on split-and-recombination flows for lab-on-a-chip applications. RSC Adv. 2013, 2013, 7296–7305. [Google Scholar] [CrossRef]
- Chang, S.; Cho, Y.H. Static micromixers using alternating whirls and lamination. J. Micromech. Microeng. 2005, 15, 1397. [Google Scholar] [CrossRef]
- Dertinger, S.K.; Chiu, D.T.; Jeon, N.L.; Whitesides, G.M. Generation of gradients having complex shapes using microfluidic networks. Anal. Chem. 2001, 73, 1240–1246. [Google Scholar] [CrossRef]
- Lin, Y. Numerical characterization of simple three-dimensional chaotic micromixers. Chem. Eng. J. 2015, 277, 303–311. [Google Scholar] [CrossRef]
- Alam, A.; Afzal, A.; Kim, K.Y. Mixing performance of a planar micromixer with circular obstructions in a curved microchannel. Chem. Eng. Res. Des. 2014, 92, 423–434. [Google Scholar] [CrossRef]
- Hama, B.; Mahajan, G.; Fodor, P.S.; Kaufman, M.; Kothapalli, C.R. Evolution of mixing in a microfluidic reverse-staggered herringbone micromixer. Microfluid. Nanofluidics 2018, 22, 731. [Google Scholar] [CrossRef]
- Taheri, R.A.; Goodarzi, V.; Allahverdi, A. Mixing performance of a cost-effective split-and-recombine 3D micromixer fabricated by xurographic method. Micromachines 2019, 10, 786. [Google Scholar] [CrossRef]
- Raza, W.; Kim, K.Y. Unbalanced split and recombine micromixer with three-dimensional steps. Ind. Eng. Chem. Res. 2019, 59, 3744–3756. [Google Scholar] [CrossRef]
- Chung, C.K.; Shih, T.R. Effect of geometry on fluid mixing of the rhombic micromixers. Microfluid. Nanofluidics 2008, 4, 419–425. [Google Scholar] [CrossRef]
- Afzal, A.; Kim, K.Y. Performance evaluation of three types of passive micromixer with convergent-divergent sinusoidal walls. ICES J. Mar. Sci. 2014, 22, 3. [Google Scholar] [CrossRef]
- Parsa, M.K.; Hormozi, F.; Jafari, D. Mixing enhancement in a passive micromixer with convergent–divergent sinusoidal microchannels and different ratio of amplitude to wave length. Comput. Fluids 2014, 105, 82–90. [Google Scholar] [CrossRef]
- Wu, C.; Tsai, R.T. Fluid mixing via multidirectional vortices in converging–diverging meandering microchannels with semi-elliptical side walls. Chem. Eng. J. 2013, 217, 320–328. [Google Scholar] [CrossRef]
- Liu, R.; Yang, J.; Pindera, M.Z.; Athavale, M.; Grodzinski, P. Bubble-induced acoustic micromixing. Lab Chip 2002, 2, 151–157. [Google Scholar] [CrossRef] [PubMed]
- Ballard, M.; Owen, D.; Mills, Z.G.; Hesketh, P.J.; Alexeev, A. Orbiting magnetic microbeads enable rapid microfluidic mixing. Microfluid. Nanofluidics 2016, 20, 88. [Google Scholar] [CrossRef]
- Daghighi, Y.; Li, D. Numerical study of a novel induced-charge electrokinetic micro-mixer. Anal. Chim. Acta 2013, 763, 28–37. [Google Scholar] [CrossRef]
- Hajji, H.; Kolsi, L.; Hassen, W.; Al-Rashed, A.A.; Borjini, M.N.; Aichouni, M.A. Finite element simulation of antigen-antibody transport and adsorption in a microfluidic chip. Phys. E Low Dimens. Syst. Nanostruct. 2018, 104, 177–186. [Google Scholar] [CrossRef]
- Lin, C.H.; Fu, L.M.; Chien, Y.S. Microfluidic T-form mixer utilizing switching electroosmotic flow. Anal. Chem. 2004, 76, 5265–5272. [Google Scholar] [CrossRef]
- Fu, L.M.; Yang, R.J.; Lin, C.H.; Chien, Y.S. A novel microfluidic mixer utilizing electrokinetic driving forces under low switching frequency. Electrophoresis 2005, 26, 1814–1824. [Google Scholar] [CrossRef]
- Cho, C.C.; Chen, C.L. Electrokinetically-driven non-Newtonian fluid flow in rough microchannel with complex-wavy surface. J. Nonnewton Fluid Mech. 2012, 173, 13–20. [Google Scholar] [CrossRef]
- Banerjee, A.; Nayak, A.K. Influence of varying zeta potential on non-Newtonian flow mixing in a wavy patterned microchannel. J. Nonnewton Fluid Mech. 2019, 269, 17–27. [Google Scholar] [CrossRef]
- Mehta, S.K.; Pati, S.; Mondal, P.K. Numerical study of the vortex-induced electroosmotic mixing of non-Newtonian biofluids in a nonuniformly charged wavy microchannel: Effect of finite ion size. Electrophoresis 2021, 42, 422498–422510. [Google Scholar] [CrossRef]
- Mehta, S.K.; Pati, S. Enhanced electroosmotic mixing in a wavy micromixer using surface charge heterogeneity. Ind. Eng. Chem. Res. 2022, 61, 2904–2914. [Google Scholar] [CrossRef]
- Shamloo, A.; Madadelahi, M.; Abdorahimzadeh, S. Three-dimensional numerical simulation of a novel electroosmotic micromixer. Chem. Eng. Process. 2017, 119, 25–33. [Google Scholar] [CrossRef]
- Shamloo, A.; Mirzakhanloo, M.; Dabirzadeh, M.R. Numerical simulation for efficient mixing of newtonian and non-newtonian fluids in an electro-osmotic micro-mixer. Chem. Eng. Process. 2016, 107, 11–20. [Google Scholar] [CrossRef]
- Cao, J.; Cheng, P.; Hong, F. A numerical study of an electrothermal vortex enhanced micromixer. Microfluid. Nanofluidics 2008, 5, 13–21. [Google Scholar] [CrossRef]
- Usefian, A.; Bayareh, M. Numerical and experimental study on mixing performance of a novel electro-osmotic micro-mixer. Meccanica 2019, 54, 1149–1162. [Google Scholar] [CrossRef]
- Cheng, Y.; Jiang, Y.; Wang, W. Numerical simulation for electro-osmotic mixing under three types of periodic potentials in a T-shaped micro-mixer. Chem. Eng. Process. 2018, 127, 93–102. [Google Scholar] [CrossRef]
- Ding, H.; Zhong, X.; Liu, B.; Shi, L.; Zhou, T.; Zhu, Y. Mixing mechanism of a straight channel micromixer based on light-actuated oscillating electroosmosis in low-frequency sinusoidal ac electric field. Microfluid. Nanofluidics 2021, 25, 26. [Google Scholar] [CrossRef]
- Shi, H.; Nie, K.; Dong, B.; Chao, L.; Gao, F.; Ma, M.; Long, M.; Liu, Z. Mixing enhancement via a serpentine micromixer for real-time activation of carboxyl. Chem. Eng. J. 2020, 392, 123642. [Google Scholar] [CrossRef]
- Ahmadi, V.E.; Butun, I.; Altay, R.; Bazaz, S.R.; Alijani, H.; Celik, S.; Warkiani, M.E.; Koşar, A. The effects of baffle configuration and number on inertial mixing in a curved serpentine micromixer: Experimental and numerical study. Chem. Eng. Res. Des. 2021, 168, 490–498. [Google Scholar] [CrossRef]
- Xiong, S.; Chen, X.; Chen, H.; Chen, Y.; Zhang, W. Numerical study on an electroosmotic micromixer with rhombic structure. J. Dispers. Sci. Technol. 2021, 42, 1331–1337. [Google Scholar] [CrossRef]
- Rubby, M.F.; Parvez, M.S.; Biswas, P.; Huq, H.; Islam, N. Experimental and numerical analysis of fluid flow through a micromixer with the presence of electric field. In Proceedings of the 2020 18th International Conference on Nanochannels, Microchannels, and Minichannels, Online, 13–15 July 2022; Volume 83730, p. V003T06A002. [Google Scholar] [CrossRef]
- Seo, H.S.; Kim, Y.J. Effect of electrode positions on the mixing characteristics of an electroosmotic micromixer. J. Nanosci. Nanotechnol. 2014, 14, 6167–6171. [Google Scholar] [CrossRef] [PubMed]















| Dimensions | Value | Unit |
|---|---|---|
| Wavelength (c) | μm | |
| Amplitude (a) to a/c ratio of 1/2pi | 50 | μm |
| Amplitude (a) to a/c ratio of 1/pi | 100 | μm |
| Amplitude (a) to a/c ratio of 3/2pi | 150 | μm |
| Amplitude (a) to a/c ratio of 2/pi | 200 | μm |
| Amplitude (a) to a/c ratio of 5/2pi | 250 | μm |
| Amplitude (a) to a/c ratio of 3/pi | 300 | μm |
| Element Size | Maximum Element Size (μm) | Maximum Element Growth Rate |
|---|---|---|
| Whole geometry | 9 | 1.3 |
| Microchannel boundaries | 0.5 | 1.1 |
Publisher’s Note: MDPI stays neutral with regard to jurisdictional claims in published maps and institutional affiliations. |
© 2022 by the authors. Licensee MDPI, Basel, Switzerland. This article is an open access article distributed under the terms and conditions of the Creative Commons Attribution (CC BY) license (https://creativecommons.org/licenses/by/4.0/).
Share and Cite
Chen, Z.; Wang, Y.; Zhou, S. Numerical Analysis of Mixing Performance in an Electroosmotic Micromixer with Cosine Channel Walls. Micromachines 2022, 13, 1933. https://doi.org/10.3390/mi13111933
Chen Z, Wang Y, Zhou S. Numerical Analysis of Mixing Performance in an Electroosmotic Micromixer with Cosine Channel Walls. Micromachines. 2022; 13(11):1933. https://doi.org/10.3390/mi13111933
Chicago/Turabian StyleChen, Zhong, Yalin Wang, and Song Zhou. 2022. "Numerical Analysis of Mixing Performance in an Electroosmotic Micromixer with Cosine Channel Walls" Micromachines 13, no. 11: 1933. https://doi.org/10.3390/mi13111933
APA StyleChen, Z., Wang, Y., & Zhou, S. (2022). Numerical Analysis of Mixing Performance in an Electroosmotic Micromixer with Cosine Channel Walls. Micromachines, 13(11), 1933. https://doi.org/10.3390/mi13111933

