Laser Ultrasound Investigations of AlScN(0001) and AlScN(11-20) Thin Films Prepared by Magnetron Sputter Epitaxy on Sapphire Substrates
Abstract
1. Introduction
2. Materials and Methods
2.1. Substrate and Film Geometries
2.2. Fabrication of AlScN Films
2.3. Application of the Laser Ultrasound Approach
3. Results
3.1. Substrates
3.1.1. Elastic Constants of Sapphire Substrates
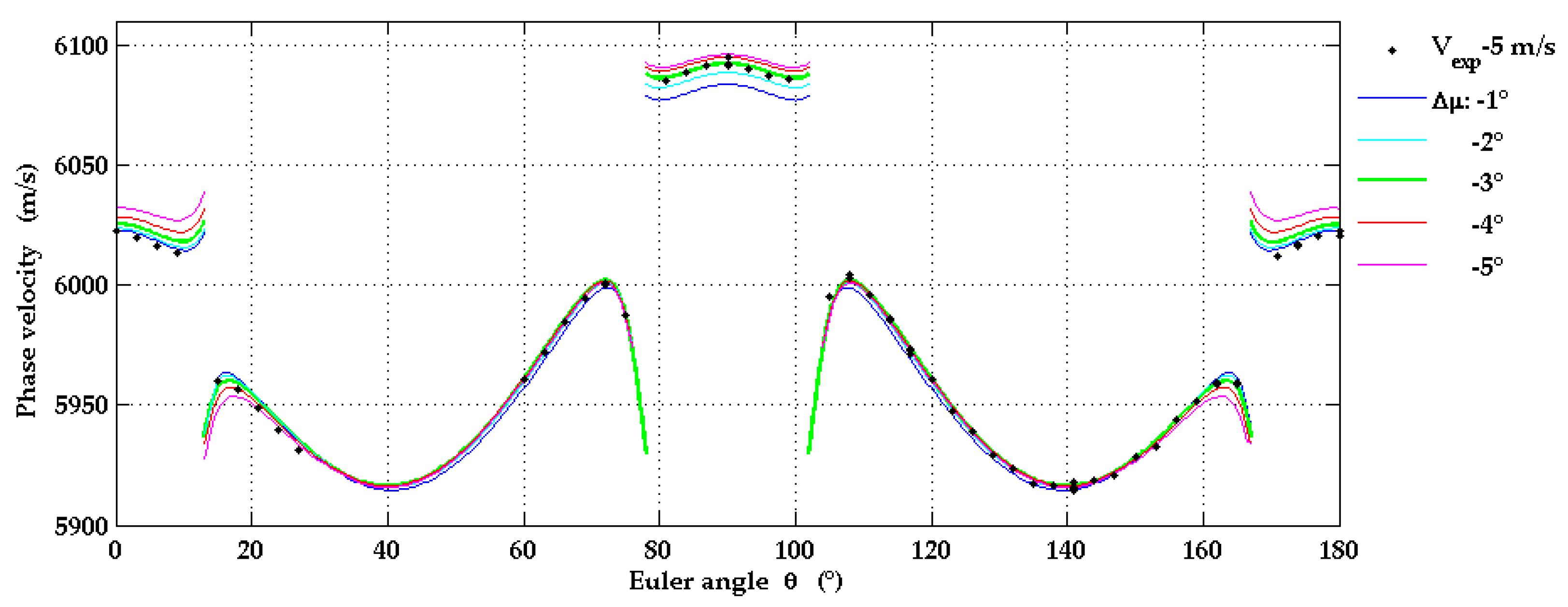
3.1.2. Off-Cut Angle in Al2O3(1-102) Substrates
3.2. Film on Substrate: Al0.77Sc0.23N/Al2O3
3.2.1. C-Plane Samples
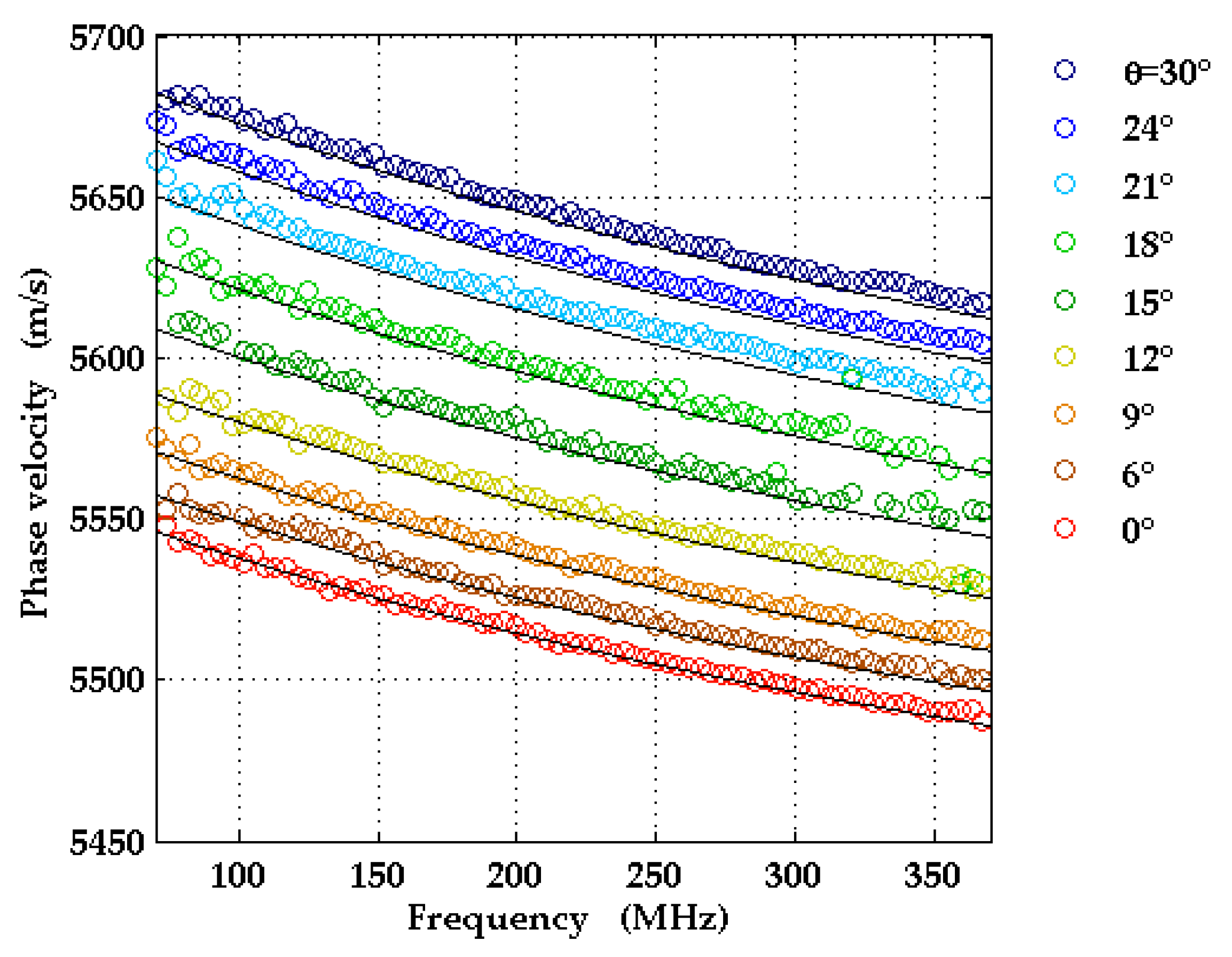
3.2.2. A-Plane Samples
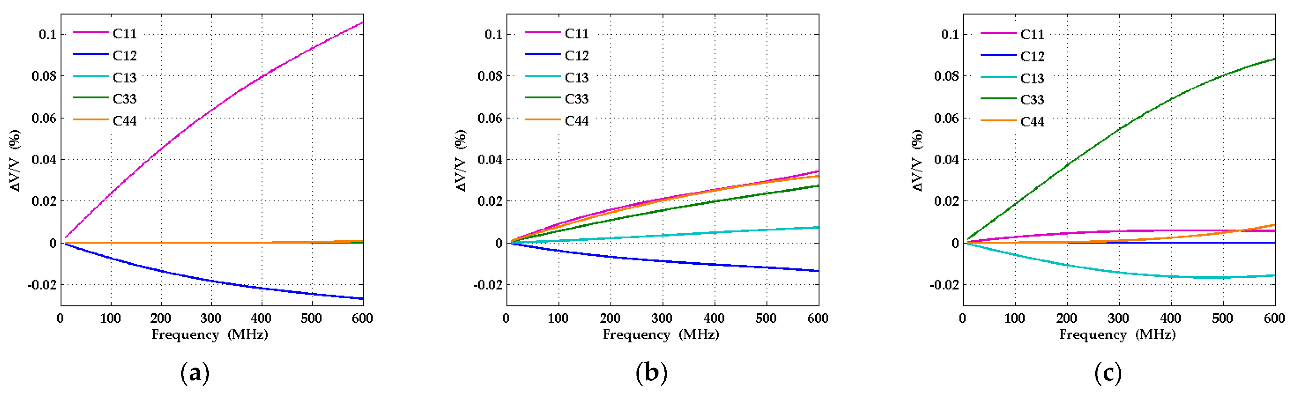
3.3. Sensitivity Analysis
4. Discussion and Conclusions
- SAW dispersion curves were measured by laser ultrasound for various wavevector directions in c-plane and a-plane Al0.77Sc0.23N films on sapphire substrates. They are in very good agreement with the corresponding theoretical dispersion curves computed with the elastic moduli and piezo-electric constants obtained in ab initio calculations by Urban et al. [5]. The theoretical elastic constants for Al1-xScxN in [5] are given in the form of interpolation formulas quadratic in the parameter x. For the Sc concentrations, x = 0.14 and x = 0.32, the authors of [5] compare their calculated elastic constants with corresponding data determined by Kurz et al. [10] with the help of SAW resonators. For both concentrations, the agreement is very good (2% deviation on average, less than 5% in the worst case). This confirms the high-quality of the theoretical data in [5] and may also be regarded as an additional, indirect confirmation of the measured SAW dispersion curves presented here.
- The off-cut angle of 3° in the r-plane sapphire substrate, needed to provide optimal growth conditions for a-plane AlScN, can easily be detected with the laser ultrasound setup described above.
- Sensitivities of the SAW dispersion curves with respect to variations of each of the independent elastic constants of the AlScN film have been calculated as functions of the SAW wavevector direction and frequency. Due to the strong anisotropy of the a-plane geometry in the surface plane, the sensitivities show strong variations with wavevector direction. In certain intervals of wavevector directions, only a few elastic constants predominantly influence the dispersion curve, while the sensitivity with respect to the others is much smaller. In other wavevector directions, certain elastic constants change their role with respect to their influence on the SAW dispersion curves. This finding can be made use of in the development of fit strategies for an accurate determination of all elastic constants of AlScN films.
Author Contributions
Funding
Institutional Review Board Statement
Informed Consent Statement
Data Availability Statement
Acknowledgments
Conflicts of Interest
References
- Akiyama, M.; Kamohara, T.; Kano, K.; Teshigahara, A.; Takeuchi, Y.; Kawahara, N. Enhancement of piezoelectric response in scandium aluminum nitride alloy thin films prepared by dual reactive cosputtering. Adv. Mater. 2009, 21, 593–596. [Google Scholar] [CrossRef] [PubMed]
- Wingqvist, G.; Tasnádi, F.; Žukauskaitė, A.; Birch, J.; Arwin, H.; Hultman, L. Increased electromechanical coupling in w-ScxAl1-xN. Appl. Phys. Lett. 2010, 97, 112902. [Google Scholar] [CrossRef]
- Yanagitani, T.; Arakawa, K.; Kano, K.; Teshigahara, A.; Akiyama, M. Giant shear mode electromechanical coupling coefficient k15 in c-axis tilted ScAlN films. In Proceedings of the 2010 IEEE International Ultrasonics Symposium, San Diego, CA, USA, 11–14 October 2010; pp. 2095–2098. [Google Scholar]
- Tasnádi, F.; Alling, B.; Höglund, C.; Wingqvist, G.; Birch, J.; Hultman, L.; Abrikosov, I.A. Origin of the anomalous piezoelectric response in wurtzite ScxAl1-xN alloys. Phys. Rev. Lett. 2010, 104, 137601. [Google Scholar] [CrossRef] [PubMed]
- Urban, D.F.; Ambacher, O.; Elsässer, C. First-principles calculation of electroacoustic properties of wurtzite (Al, Sc)N. Phys. Rev. B 2021, 103, 115204. [Google Scholar] [CrossRef]
- Olsson, R.H.; Tang, Z.; D’Agati, M. Doping of aluminum nitride and the impact on thin film piezoelectric and ferroelectric device performance. In Proceedings of the 2020 IEEE Custom Integrated Circuits Conference (CICC), Boston, MI, USA, 22–25 March 2020; pp. 1–6. [Google Scholar] [CrossRef]
- Ichihashi, H.; Yanagitani, T.; Suzuki, M.; Takayanagi, S.; Matsukawa, M. Effect of Sc concentration on shear wave velocities in ScAlN films measured by micro-Brillouin scattering technique. In Proceedings of the 2014 IEEE International Ultrasonics Symposium, Chicago, IL, USA, 3–6 September 2014; pp. 2521–2524. [Google Scholar]
- Ichihashi, H.; Yanagitani, T.; Suzuki, M.; Takayanagi, S.; Kawabe, M.; Tomita, S.; Matsukawa, M. Acoustic-wave velocities and refractive indices in an m-plane GaN single-crystal plate and c-axis-oriented ScAlN films measured by Brillouin scattering techniques. IEEE Trans. Ultrason. Ferroelectr. Freq. Control 2016, 63, 717–725. [Google Scholar] [CrossRef]
- Carlotti, G.; Sadhu, J.; Dumont, F. Dependence of the different elastic constants of ScAlN films on Sc content: A Brillouin scattering study with polarization analysis. In Proceedings of the 2017 IEEE International Ultrasonics Symposium, Washington, DC, USA, 6–9 September 2017; pp. 1–5. [Google Scholar]
- Kurz, N.; Ding, A.; Urban, D.F.; Lu, Y.; Kirste, L.; Feil, N.M.; Žukauskaitė, A.; Ambacher, O. Experimental determination of the electroacoustic properties of thin film AlScN using surface acoustic wave resonators. J. Appl. Phys. 2019, 126, 075106. [Google Scholar] [CrossRef]
- Feil, N.M.; Mayer, E.; Nair, A.; Christian, B.; Ding, A.; Sun, S.; Mihalic, S.; Kessel, M.; Žukauskaitė, A.; Ambacher, O. Properties of higher-order surface acoustic wave modes in Al1−xScxN/sapphire structures. J. Appl. Phys. 2021, 130, 164501. [Google Scholar] [CrossRef]
- Soluch, W.; Brzozowski, E.; Lysakowska, M.; Sadura, J. Determination of mass density, dielectric, elastic, and piezoelectric constants of bulk GaN crystal. IEEE Trans. Ultrason. Ferroelectr. Freq. Control 2011, 58, 2469–2474. [Google Scholar] [CrossRef]
- Zhang, S.; Fu, W.Y.; Holec, D.; Humphreys, C.J.; Moram, M.A. Elastic constants and critical thicknesses of ScGaN and ScAlN. J. Appl. Phys. 2013, 114, 243516. [Google Scholar] [CrossRef]
- Caro, M.A.; Zhang, S.; Ylilammi, M.; Riekkinen, T.; Moram, M.A.; Lopez-Acevedo, O.; Molarius, J.; Laurila, T. Piezoelectric coefficients and spontaneous polarization of ScAlN. J. Phys. Condens. Matter 2015, 27, 245901, Erratum in J. Phys. Condens. Matter 2015, 27, 279602. [Google Scholar] [CrossRef]
- Momida, H.; Teshigahara, A.; Oguchi, T. Strong enhancement of piezoelectric constants in ScxAl1−xN: First-principles calculations. AIP Adv. 2016, 6, 065006. [Google Scholar] [CrossRef]
- Shen, Z.H.; Lomonosov, A.M.; Hess, P.; Fischer, M.; Gsell, S.; Schreck, M. Multimode photoacoustic method for the evaluation of mechanical properties of heteroepitaxial diamond layers. J. Appl. Phys. 2010, 108, 083524. [Google Scholar] [CrossRef]
- Rogall, O.; Feil, N.M.; Ding, A.; Mayer, E.; Pupyrev, P.D.; Lomonosov, A.M.; Žukauskaitė, A.; Ambacher, O.; Mayer, A.P. Determining elastic constants of AlScN films on silicon substrates by laser ultrasonics. In Proceedings of the 2020 IEEE International Ultrasonics Symposium, Las Vegas, NV, USA, 6–11 September 2020; pp. 1–4. [Google Scholar]
- Lu, Y.; Reusch, M.; Kurz, N.; Ding, A.; Christoph, T.; Prescher, M.; Kirste, L.; Ambacher, O.; Žukauskaitė, A. Elastic modulus and coefficient of thermal expansion of piezoelectric Al1−xScxN (up to x = 0.41) thin films. APL Mater. 2018, 6, 076105. [Google Scholar] [CrossRef]
- Ding, A.; Reusch, M.; Lu, Y.; Kurz, N.; Lozar, R.; Christoph, T.; Driad, R.; Ambacher, O.; Žukauskaitė, A. Investigation of temperature characteristics and substrate influence on AlScN-based SAW resonators. In Proceedings of the 2018 IEEE International Ultrasonics Symposium, Kobe, Japan, 22–25 October 2018; pp. 1–9. [Google Scholar]
- Ding, A.; Kirste, L.; Lu, Y.; Driad, R.; Kurz, N.; Lebedev, V.; Christoph, T.; Feil, N.M.; Lozar, R.; Metzger, T.; et al. Enhanced electromechanical coupling in SAW resonators based on sputtered non-polar Al0.77Sc0.23N (11-20) thin films. Appl. Phys. Lett. 2020, 116, 101903. [Google Scholar] [CrossRef]
- Ding, A.; Driad, R.; Lu, Y.; Feil, N.M.; Kirste, L.; Christoph, T.; Ambacher, O.; Žukauskaitė, A. Non-polar a-plane AlScN (1120) thin film based SAW resonators with significantly improved electromechanical coupling. In Proceedings of the 2020 IEEE International Ultrasonics Symposium, Las Vegas, NV, USA, 6–11 September 2020; pp. 1–4. [Google Scholar]
- Nair, A.; Kessel, M.; Kirste, L.; Žukauskaitė, A. Growth optimization of non-polar Al0.7Sc0.3N(11-20)/Al2O3 (Al2O3(1-102)) thin films using reactive magnetron sputter epitaxy. Phys. Status Solidi 2022. [Google Scholar] [CrossRef]
- Baeumler, M.; Lu, Y.; Kurz, N.; Kirste, L.; Prescher, M.; Christoph, T.; Wagner, J.; Žukauskaitė, A.; Ambacher, O. Optical constants and band gap of wurtzite Al1−xScxN/Al2O3 prepared by magnetron sputter epitaxy for scandium concentrations up to x = 0.41. J. Appl. Phys. 2019, 126, 045715. [Google Scholar] [CrossRef]
- Gusev, V.E.; Karabutov, A.A. Laser Optoacoustics; American Institute of Physics: New York, NY, USA, 1993. [Google Scholar]
- Lomonosov, A.; Mayer, A.P.; Hess, P. Laser-based surface acoustic waves in materials science. In Experimental Methods in the Physical Sciences; Levy, M., Bass, H.E., Stern, R., Eds.; Academic Press: San Diego, CA, USA, 2001; Volume 39, pp. 65–134. [Google Scholar]
- Peach, R. On the existence of surface acoustic waves on piezoelectric substrates. IEEE Trans. Ultrason. Ferroelectr. Freq. Control 2001, 48, 1308–1320. [Google Scholar] [CrossRef]
- Gladden, J.R.; So, J.H.; Maynard, J.D.; Saxe, P.W.; Le Page, Y. Reconciliation of ab initio theory and experimental elastic properties of Al2O3. Appl. Phys. Lett. 2004, 85, 392–394. [Google Scholar] [CrossRef]
- Hovis, D.B.; Reddy, A.; Heuer, A.H. X-ray elastic constants for α-Al2O3. Appl. Phys. Lett. 2006, 88, 131910. [Google Scholar] [CrossRef]
- Tefft, W.E. Elastic constants of synthetic single crystal corundum. J. Res. Natl. Bur. Stand.-A Phys. Chem. (Natl. Bur. Stand.) 1966, 70A, 277–280. [Google Scholar] [CrossRef]
- Gieske, J.H.; Barsch, G.R. Pressure dependence of the elastic constants of single crystalline aluminum oxide. Phys. Status Solidi 1968, 29, 121–131. [Google Scholar] [CrossRef]
- Goto, T.; Anderson, O.L.; Ohno, I.; Yamamoto, S. Elastic constants of corundum up to 1825 K. J. Geophys. Res. 1989, 94, 7588–7602. [Google Scholar] [CrossRef]
- Every, A.G.; McCurdy, A.K. Second and higher order elastic constants. In Landolt-Börnstein Group III Condensed Matter (Second and Higher Order Elastic Constants); Nelson, D.F., Ed.; Springer: Berlin, Germany, 1992; Volume 29A. [Google Scholar]
- Auld, B.A. Acoustic Fields and Waves in Solids, 2nd ed.; Krieger Publishing: Malabar, FL, USA, 1990; Volume 1. [Google Scholar]
- Wikipedia. Available online: https://en.wikipedia.org/wiki/Molybdenum (accessed on 7 June 2022).
- Grundmann, M.; Lorenz, M. Azimuthal anisotropy of rhombohedral (corundum phase) heterostructures. Phys. Status Solidi B 2021, 258, 2100104. [Google Scholar] [CrossRef]
- Ambacher, O.; Christian, B.; Feil, N.; Urban, D.F.; Elsässer, C.; Prescher, M.; Kirste, L. Wurtzite ScAlN, InAlN, and GaAlN crystals, a comparison of structural, elastic, dielectric, and piezoelectric properties. J. Appl. Phys. 2021, 130, 045102. [Google Scholar] [CrossRef]
- Bruls, R.J.; Hintzen, H.T.; de With, G.; Metselaar, R. The temperature dependence of the Young’s modulus of MgSiN2, AlN and Si3N4. J. Eur. Ceram. Soc. 2001, 21, 263–268. [Google Scholar] [CrossRef]
- Reeber, R.R.; Wang, K. High temperature elastic constant prediction of some group III nitrides. MRS Internet J. Nitride Semicond. Res. 2001, 6, 3. [Google Scholar] [CrossRef]












| Parameter | Value |
|---|---|
| N2 gas flow (sccm) | 20 1, 30 2 |
| Target-to-substrate distance (mm) | 65 |
| Chuck temperature (°C) | 450 |
| Base pressure (Pa) | <9 × 10−6 |
| PAl + PSc (W) | 1000 |
| Material | Sample 1 | Sample 2 | Sample 3 |
|---|---|---|---|
| Substrate | Al2O3(0001) | Al2O3(1-102) | Al2O3(1-102) |
| Piezoelectric film, thickness (nm) | Al0.77Sc0.23N(0001) | - | Al0.77Sc0.23N(11-20) |
| 1035 | - | 860 | |
| Metal film, thickness (nm) | Mo | Mo | Mo |
| 50 | 50 | 50 |
| Tefft et al. 1966 [29] * | Gieske et al. 1968 [30] | Goto et al. 1989 [31] | Landolt- Börnstein [32] | Auld 1990 [33] | Gladden 2004 [27] | |
|---|---|---|---|---|---|---|
| c11 | 497.4 | 497.6 | 497.3 | 496 | 494 | 497.5 |
| c12 | 164.0 | 162.6 | 162.8 | 159 | 158 | 162.7 |
| c13 | 112.3 | 117.2 | 116 | 114 | 114 | 115.5 |
| c14 | −23.6 | −22.9 | −21.9 | −23 | −23 | 22.5 |
| c33 | 499.4 | 501.9 | 500.9 | 499 | 496 | 503.3 |
| c44 | 147.4 | 147.2 | 146.8 | 146 | 145 | 147.4 |
Publisher’s Note: MDPI stays neutral with regard to jurisdictional claims in published maps and institutional affiliations. |
© 2022 by the authors. Licensee MDPI, Basel, Switzerland. This article is an open access article distributed under the terms and conditions of the Creative Commons Attribution (CC BY) license (https://creativecommons.org/licenses/by/4.0/).
Share and Cite
Mayer, E.A.; Rogall, O.; Ding, A.; Nair, A.; Žukauskaitė, A.; Pupyrev, P.D.; Lomonosov, A.M.; Mayer, A.P. Laser Ultrasound Investigations of AlScN(0001) and AlScN(11-20) Thin Films Prepared by Magnetron Sputter Epitaxy on Sapphire Substrates. Micromachines 2022, 13, 1698. https://doi.org/10.3390/mi13101698
Mayer EA, Rogall O, Ding A, Nair A, Žukauskaitė A, Pupyrev PD, Lomonosov AM, Mayer AP. Laser Ultrasound Investigations of AlScN(0001) and AlScN(11-20) Thin Films Prepared by Magnetron Sputter Epitaxy on Sapphire Substrates. Micromachines. 2022; 13(10):1698. https://doi.org/10.3390/mi13101698
Chicago/Turabian StyleMayer, Elena A., Olga Rogall, Anli Ding, Akash Nair, Agnė Žukauskaitė, Pavel D. Pupyrev, Alexey M. Lomonosov, and Andreas P. Mayer. 2022. "Laser Ultrasound Investigations of AlScN(0001) and AlScN(11-20) Thin Films Prepared by Magnetron Sputter Epitaxy on Sapphire Substrates" Micromachines 13, no. 10: 1698. https://doi.org/10.3390/mi13101698
APA StyleMayer, E. A., Rogall, O., Ding, A., Nair, A., Žukauskaitė, A., Pupyrev, P. D., Lomonosov, A. M., & Mayer, A. P. (2022). Laser Ultrasound Investigations of AlScN(0001) and AlScN(11-20) Thin Films Prepared by Magnetron Sputter Epitaxy on Sapphire Substrates. Micromachines, 13(10), 1698. https://doi.org/10.3390/mi13101698

