Semi-Automated Extraction of the Distribution of Single Defects for nMOS Transistors
Abstract
1. Introduction
2. Materials and Methods
2.1. Devices and Measurements
2.2. Noise Parameter Extraction
2.3. Defect Parameter Estimation
3. Results
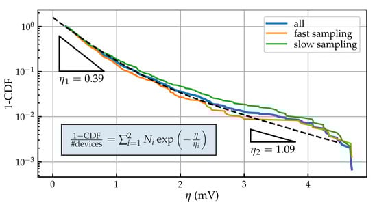
3.1. Threshold Voltage Shift and Number of Defects
3.2. Energy and Position
- (i)
- The estimation only accounts for interaction with the channel, defects interacting primarily with the gate might have inverted capture and emission time behavior which results in a negative distance.
- (ii)
- The prefactor which is assumed as constant in the estimation does change with the logarithm of the channel carrier density. This leads to some overestimation of the distance.
- (iii)
- The estimation is based on the values and first derivatives of the capture and emission times at the intersection point. Measurements which do not show within the measurement window need to be extrapolated, which leads to inaccuracies.
- (iv)
- Some defects may not be adequately described using a two state model [29].
3.3. Simulation
4. Discussion
Author Contributions
Funding
Conflicts of Interest
References
- Lenahan, P. Atomic Scale Defects Involved in MOS Reliability Problems. Microelectron. Eng. 2003, 69, 173–181. [Google Scholar] [CrossRef]
- Rzepa, G.; Waltl, M.; Goes, W.; Kaczer, B.; Grasser, T. Microscopic Oxide Defects Causing BTI, RTN, and SILC on High-k FinFETs. In Proceedings of the 2015 International Conference on Simulation of Semiconductor Processes and Devices (SISPAD), Washington, DC, USA, 9–11 September 2015; pp. 144–147. [Google Scholar]
- Denais, M.; Huard, V.; Parthasarathy, C.; Ribes, G.; Perrier, F.; Revil, N.; Bravaix, A. Interface Trap Generation and Hole Trapping under NBTI and PBTI in Advanced CMOS Technology with a 2-nm Gate Oxide. IEEE Trans. Devices Mater. Reliab. 2004, 4, 715–722. [Google Scholar] [CrossRef]
- Grasser, T.; Kaczer, B.; Gös, W.; Reisinger, H.; Aichinger, T.; Hehenberger, P.; Wagner, P.J.; Franco, J.; Toledano-Luque, M.; Nelhiebel, M. The Paradigm Shift in Understanding the Bias Temperature Instability: From Reaction-Diffusion to Switching Oxide Traps. IEEE Trans. Electron Devices 2011, 58, 3652–3666. [Google Scholar] [CrossRef]
- Stathis, J.H.; Mahapatra, S.; Grasser, T. Controversial Issues in Negative Bias Temperature Instability. Microelectron. Reliab. 2018, 81, 244–251. [Google Scholar] [CrossRef]
- Ralls, K.S.; Skocpol, W.J.; Jackel, L.D.; Howard, R.E.; Fetter, L.A.; Epworth, R.W.; Tennant, D.M. Discrete Resistance Switching in Submicrometer Silicon Inversion Layers: Individual Interface Traps and Low-Frequency () Noise. Phys. Rev. Lett. 1984, 52, 228–231. [Google Scholar] [CrossRef]
- Uren, M.; Day, D.; Kirton, M. 1/f and Random Telegraph Noise in Silicon Metal-Oxide-Semiconductor Field-effect Transistors. Appl. Phys. Lett. 1985, 47, 1195–1197. [Google Scholar] [CrossRef]
- Ghetti, A.; Compagnoni, C.; Spinelli, A.; Visconti, A. Comprehensive Analysis of Random Telegraph Noise Instability and Its Scaling in Deca–Nanometer Flash Memories. IEEE Trans. Electron Devices 2009, 56, 1746–1752. [Google Scholar] [CrossRef]
- Fukuda, K.; Shimizu, Y.; Amemiya, K.; Kamoshida, M.; Hu, C. Random Telegraph Noise in Flash Memories-Model and Technology Scaling. In Proceedings of the 2007 IEEE International Electron Devices Meeting, Washington, DC, USA, 10–12 December 2007; IEEE: Piscataway, NJ, USA, 2007; pp. 169–172. [Google Scholar]
- Kükner, H.; Weckx, P.; Franco, J.; Toledano-Luque, M.; Cho, M.; Kaczer, B.; Raghavan, P.; Jang, D.; Miyaguchi, K.; Bardon, M.G.; et al. Scaling of BTI Reliability in Presence of Time-Zero Variability. In Proceedings of the 2014 IEEE International Reliability Physics Symposium, Waikoloa, HI, USA, 1–5 June 2014; IEEE: Piscataway, NJ, USA, 2014; p. CA-5. [Google Scholar]
- Kaczer, B.; Grasser, T.; Roussel, P.J.; Franco, J.; Degraeve, R.; Ragnarsson, L.; Simoen, E.; Groeseneken, G.; Reisinger, H. Origin of NBTI Variability in Deeply Scaled pFETs. In Proceedings of the 2010 IEEE International Reliability Physics Symposium, Anaheim, CA, USA, 2–6 May 2010; pp. 26–32. [Google Scholar] [CrossRef]
- Toledano-Luque, M.; Kaczer, B.; Roussel, P.; Cho, M.; Grasser, T.; Groeseneken, G. Temperature Dependence of the Emission and Capture Times of SiON Individual Traps after Positive Bias Temperature Stress. J. Vac. Sci. Technol. B 2011, 29, 01AA04. [Google Scholar] [CrossRef]
- Park, S.; Lee, S.; Kang, Y.; Park, B.G.; Lee, J.H.; Lee, J.; Jin, G.; Shin, H. Extracting Accurate Position and Energy Level of Oxide Trap Generating Random Telegraph Noise (RTN) in Recessed Channel MOSFET’s. In Proceedings of the 40th European Solid-State Device Research Conference (ESSDERC), Seville, Spain, 14–16 September 2010; pp. 337–340. [Google Scholar]
- Grill, A.; Stampfer, B.; Waltl, M.; Im, K.S.; Lee, J.H.; Ostermaier, C.; Ceric, H.; Grasser, T. Characterization and Modeling of Single Defects in GaN/AlGaN fin-MIS-HEMTs. In Proceedings of the 2017 IEEE International Reliability Physics Symposium (IRPS), Monterey, CA, USA, 2–6 April 2017; p. 3B-5. [Google Scholar]
- Stampfer, B.; Zhang, F.; Illarionov, Y.Y.; Knobloch, T.; Wu, P.; Waltl, M.; Grill, A.; Appenzeller, J.; Grasser, T. Characterization of Single Defects in Ultrascaled MoS2 Field-Effect Transistors. ACS Nano 2018, 12, 5368–5375. [Google Scholar] [CrossRef]
- Waltl, M. Ultra-Low Noise Defect Probing Instrument for Defect Spectroscopy of MOS Transistors. Trans. Elec. Dev. 2020. submitted. [Google Scholar] [CrossRef]
- Kapila, G.; Reddy, V. Impact of Sampling Rate on RTN Time Constant Extraction and its Implications on Bias Dependence and Trap Spectroscopy. IEEE Trans. Device Mater. Reliab. 2014, 14, 616–622. [Google Scholar]
- Grasser, T.; Wagner, P.J.; Hehenberger, P.; Goes, W.; Kaczer, B. A Rigorous Study of Measurement Techniques for Negative Bias Temperature Instability. IEEE Trans. Device Mater. Reliab. 2008, 8, 526–535. [Google Scholar] [CrossRef]
- Canny, J. A Computational Approach to Edge Detection. In Readings in Computer Vision; Elsevier: Amsterdam, The Netherlands, 1987; pp. 184–203. [Google Scholar]
- McIlhagga, W. The Canny Edge Detector Revisited. Int. J. Comput. Vis. 2011, 91, 251–261. [Google Scholar] [CrossRef]
- Martin-Martinez, J.; Diaz, J.; Rodriguez, R.; Nafria, M.; Aymerich, X. New Weighted Time Lag Method for the Analysis of Random Telegraph Signals. IEEE Electron Device Lett. 2014, 35, 479–481. [Google Scholar] [CrossRef]
- Maestro, M.; Diaz, J.; Crespo-Yepes, A.; Gonzalez, M.; Martin-Martinez, J.; Rodriguez, R.; Nafria, M.; Campabadal, F.; Aymerich, X. New High Resolution Random Telegraph Noise (RTN) Characterization Method for Resistive RAM. Solid-State Electron. 2016, 115, 140–145. [Google Scholar] [CrossRef]
- Ghahramani, Z.; Jordan, M.I. Factorial Hidden Markov Models. In Advances in Neural Information Processing Systems 9, Proceedings of the 1996 Conference; MIT Press: Cambridge, MA, USA, 1996; pp. 472–478. [Google Scholar]
- Frank, D.J.; Miki, H. Analysis of Oxide Traps in Nanoscale MOSFETs Using Random Telegraph Noise. In Bias Temperature Instability for Devices and Circuits; Springer: Berlin, Germany, 2014; pp. 111–134. [Google Scholar]
- Kirton, M.; Uren, M. Noise in Solid-State Microstructures: A New Perspective on Individual Defects, Interface States and Low-Frequency (1/f) Noise. Adv. Phys. 1989, 38, 367–468. [Google Scholar] [CrossRef]
- Nagumo, T.; Takeuchi, K.; Hase, T.; Hayashi, Y. Statistical Characterization of Trap Position, Energy, Amplitude and Time Constants by RTN Measurement of Multiple Individual Traps. In Proceedings of the 2010 International Electron Devices Meeting, San Francisco, CA, USA, 6–8 December 2010; IEEE: Piscataway, NJ, USA, 2010; pp. 28–30. [Google Scholar]
- Goes, W.; Wimmer, Y.; El-Sayed, A.M.; Rzepa, G.; Jech, M.; Shluger, A.; Grasser, T. Identification of Oxide Defects in Semiconductor Devices: A Systematic Approach Linking DFT to Rate Equations and Experimental Evidence. Microelectron. Reliab. 2018, 87, 286–320. [Google Scholar] [CrossRef]
- Kaczer, B.; Roussel, P.; Grasser, T.; Groeseneken, G. Statistics of Multiple Trapped Charges in the Gate Oxide of Deeply Scaled MOSFET Devices-Application to NBTI. IEEE Electron Device Lett. 2010, 31, 411–413. [Google Scholar] [CrossRef]
- Grasser, T. Stochastic Charge Trapping in Oxides: From Random Telegraph Noise to Bias Temperature Instabilities. Microelectron. Reliab. 2012, 52, 39–70. [Google Scholar] [CrossRef]
- Rzepa, G.; Franco, J.; O’Sullivan, B.; Subirats, A.; Simicic, M.; Hellings, G.; Weckx, P.; Jech, M.; Knobloch, T.; Waltl, M.; et al. Comphy—A Compact-Physics Framework for Unified Modeling of BTI. Microelectron. Reliab. 2018, 85, 49–65. [Google Scholar] [CrossRef]
- Global TCAD Solutions. GTS Framework. Available online: http://www.globaltcad.com/framework (accessed on 17 April 2020).
- Weckx, P.; Kaczer, B.; Chen, C.; Franco, J.; Bury, E.; Chanda, K.; Watt, J.; Roussel, P.J.; Catthoor, F.; Groeseneken, G. Characterization of Time-dependent Variability using 32k Transistor Arrays in an Advanced HK/MG Technology. In Proceedings of the 2015 IEEE International Reliability Physics Symposium, Monterey, CA, USA, 19–23 April 2015; pp. 3B.1.1–3B.1.6. [Google Scholar] [CrossRef]
- Oshima, A.; Komawaki, T.; Kobayashi, K.; Kishida, R.; Weckx, P.; Kaczer, B.; Matsumoto, T.; Onodera, H. Physical-based RTN Modeling of Ring Oscillators in 40-nm SiON and 28-nm HKMG by Bimodal Defect-Centric Behaviors. In Proceedings of the 2016 International Conference on Simulation of Semiconductor Processes and Devices (SISPAD), Nuremberg, Germany, 6–8 September 2016; IEEE: Piscataway, NJ, USA, 2016; pp. 327–330. [Google Scholar]
- Waltl, M.; Rzepa, G.; Grill, A.; Goes, W.; Franco, J.; Kaczer, B.; Witters, L.; Mitard, J.; Horiguchi, N.; Grasser, T. Superior NBTI in High-k SiGe Transistors - Part I: Experimental. IEEE Trans. Electron Devices 2017, 64, 2092–2098. [Google Scholar] [CrossRef]









© 2020 by the authors. Licensee MDPI, Basel, Switzerland. This article is an open access article distributed under the terms and conditions of the Creative Commons Attribution (CC BY) license (http://creativecommons.org/licenses/by/4.0/).
Share and Cite
Stampfer, B.; Schanovsky, F.; Grasser, T.; Waltl, M. Semi-Automated Extraction of the Distribution of Single Defects for nMOS Transistors. Micromachines 2020, 11, 446. https://doi.org/10.3390/mi11040446
Stampfer B, Schanovsky F, Grasser T, Waltl M. Semi-Automated Extraction of the Distribution of Single Defects for nMOS Transistors. Micromachines. 2020; 11(4):446. https://doi.org/10.3390/mi11040446
Chicago/Turabian StyleStampfer, Bernhard, Franz Schanovsky, Tibor Grasser, and Michael Waltl. 2020. "Semi-Automated Extraction of the Distribution of Single Defects for nMOS Transistors" Micromachines 11, no. 4: 446. https://doi.org/10.3390/mi11040446
APA StyleStampfer, B., Schanovsky, F., Grasser, T., & Waltl, M. (2020). Semi-Automated Extraction of the Distribution of Single Defects for nMOS Transistors. Micromachines, 11(4), 446. https://doi.org/10.3390/mi11040446

