Reusable Embedded Microcoils for Magnetic Nano-Beads Trapping in Microfluidics: Magnetic Simulation and Experiments
Abstract
1. Introduction
2. Optimal Coils Design
2.1. Magnetic Field Generation
2.2. FE Simulation of Microcoils
- Paths (1 to 3) along the z-axis at three different positions in x-axis: center (x = 0), inner wire (x = Rin) and outer wire (x = Rex) of the coil.
- Paths (4 to 7) along the x-axis at different distances from the wire surface (Cu). z = 0; 10; 30; 70 μm.
2.3. Simulation Results
2.3.1. Profile of the Magnetic Field
2.3.2. Coil Geometry Effects on Power Loss and Heating
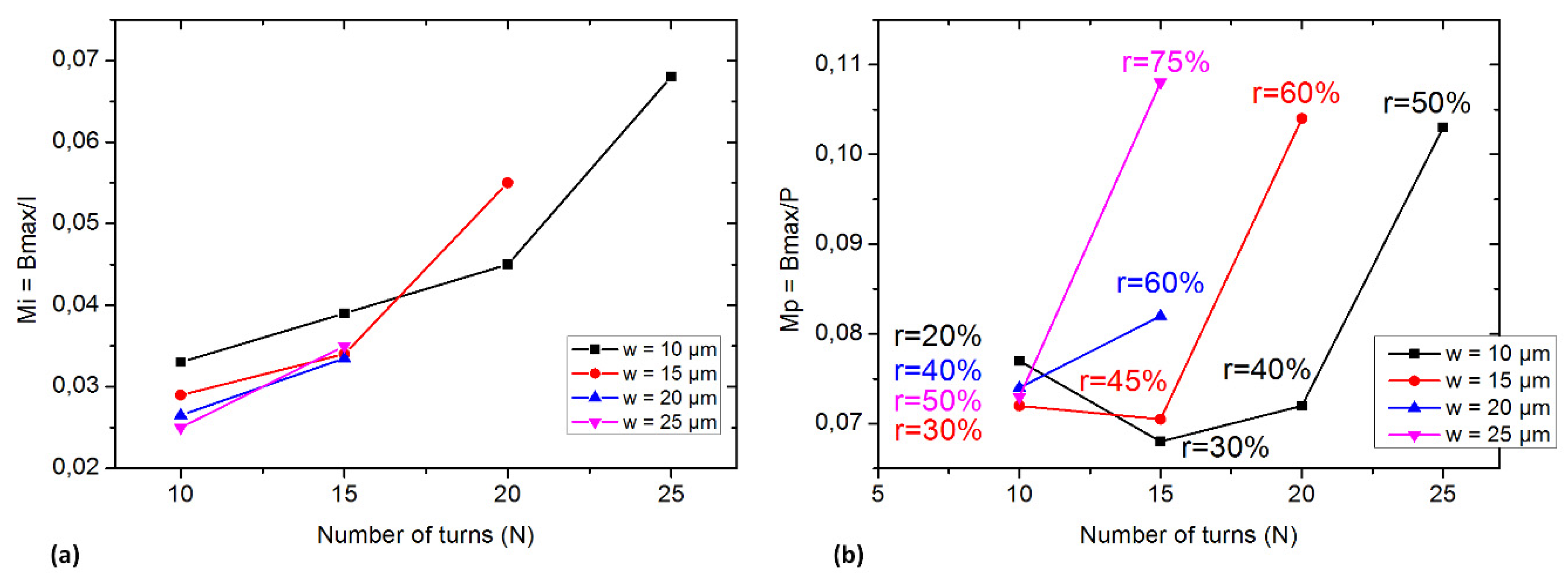
2.3.3. Power Consumption and Merit Factors
- -
- the magnetic field decreases fast with the distance to the coil’s surface: for a given section determined by the liquid flow considerations, the microchannels should preferentially be wide, provided the chosen width does not lead to the microchannels collapse,
- -
- the magnetic field ripple in the coil’s vicinity strongly reinforces the trapping force: the protective layer should be as thin as possible. The protective layer should be much thinner than the conductors’ width,
- -
- the coils conductors should be wide in a manner that the coil surface is mainly supporting the conductors. Empty spaces due to the center connection and the space between turns should be minimized: the windings should fill all the available space.
3. Fabrication of Microfluidic Chip
3.1. Microcoil Fabrication
3.2. Microfluidic Chip Fabrication
3.2.1. PDMS Channel Fabrication
3.2.2. Microfluidic Chip Assembly
4. Trapping Magnetic Beads Experiments and Temperature Measurements
5. Immunoassay Complex Validation
5.1. ELISA Protocol Description
5.1.1. Beads Grafting
5.1.2. Microchannels Preparation
5.2. Validation of Magnetic Immunoassay Using Microcoils
6. Conclusions
Author Contributions
Funding
Acknowledgments
Conflicts of Interest
References
- Choi, W.J.; Oh, K.W.; Thomas, J.H.; Heineman, W.R.; Halsall, H.B.; Nevin, J.H.; Helmicki, A.J.; Henderson, H.T.; Ahn, C.H. An integrated microfluidic biochemical detection system for protein analysis with magnetic bead-based sampling capabilities. Lab a Chip 2002, 2, 27–30. [Google Scholar] [CrossRef]
- Fulcrand, R.; Bancaud, A.; Escriba, C.; He, Q.; Charlot, S.; Boukabache, A.; Gué, A.-M. On chip magnetic actuator for batch-mode dynamic manipulation of magnetic particles in compact lab-on-chip. Sens. Actuators B Chem. 2011, 160, 1520–1528. [Google Scholar] [CrossRef]
- Neethirajan, S.; Kobayashi, I.; Nakajima, M.; Wu, D.; Nandagopal, S.; Lin, F. Microfluidics for food, agriculture and biosystems industries. Lab a Chip 2011, 11, 1574–1586. [Google Scholar] [CrossRef]
- Liu, C.-J.; Lien, K.-Y.; Weng, C.-Y.; Shin, J.-W.; Chang, T.-Y.; Lee, G.-B. Magnetic-bead-based microfluidic system for ribonucleic acid extraction and reverse transcription processes. Biomed. Microdevices 2009, 11, 339–350. [Google Scholar] [CrossRef] [PubMed]
- Yushan, Z.; Sawan, M. Planar Microcoil Array Based Temperature-Controllable Lab-on-Chip Platform, Magnetics. IEEE Trans. Magn. 2013, 49, 5236–5242. [Google Scholar]
- Farniya, A.A.; Esplandiu, M.J.; Bachtold, A. Sequential Tasks Performed by Catalytic Pumps for Colloidal Crystallization. Langmuir 2014, 30, 11841–11845. [Google Scholar] [CrossRef] [PubMed]
- Farniya, A.A.; Esplandiu, M.J.; Reguera, D.; Bachtold, A. Imaging the Proton Concentration and Mapping the Spatial Distribution of the Electric Field of Catalytic Micropumps. Phys. Rev. Lett. 2013, 111, 168301. [Google Scholar] [CrossRef]
- Niu, R.; Palberg, T. Seedless assembly of colloidal crystals by inverted micro-fluidic pumping. Soft Matter 2018, 14, 3435–3442. [Google Scholar] [CrossRef]
- Niu, R.; Oğuz, E.C.; Müller, H.; Reinmüller, A.; Botin, D.; Löwen, H.; Palberg, T. Controlled assembly of single colloidal crystals using electro- osmotic micro-pumps. Phys. Chem. Chem. Phys. 2017, 19, 3104–3114. [Google Scholar] [CrossRef]
- Ortiz-rivera, I.; Courtney, T.M.; Sen, A. Enzyme Micropump-Based Inhibitor Assays. Adv. Funct. Mater. 2016, 26, 2135–2142. [Google Scholar] [CrossRef]
- Liebchen, B.; Niu, R.; Palberg, T.; Löwen, H. Unraveling modular microswimmers: From self-assembly to ion-exchange-driven motors. Phys. Rev. E 2018, 98, 052610. [Google Scholar] [CrossRef]
- Niu, R.; Fischer, A.; Palberg, T.; Speck, T. Dynamics of Binary Active Clusters Driven by Ion-Exchange Particles. ACS Nano 2018, 12, 10932–10938. [Google Scholar] [CrossRef] [PubMed]
- Silverio, V.; Amaral, M.; Gaspar, J.; Cardoso, S.; Freitas, P.P. Manipulation of Magnetic Beads with Thin Film Microelectromagnet Traps. Micromachines 2019, 10, 607. [Google Scholar] [CrossRef] [PubMed]
- Lin, C.-C.; Wang, J.-H.; Wu, H.-W.; Lee, G.-B. Microfluidic Immunoassays. J. Assoc. Lab. Autom. 2010, 15, 253–274. [Google Scholar] [CrossRef]
- Song, S.-H.; Lee, H.-L.; Min, Y.H.; Jung, H.-I. Electromagnetic microfluidic cell labeling device using on-chip microelectromagnet and multi-layered channels. Sens. Actuators B Chem. 2009, 141, 210–216. [Google Scholar] [CrossRef]
- Zhu, T.; Lichlyter, D.; Haidekker, M.; Mao, L. Analytical model of microfluidic transport of non-magnetic particles in ferrofluids under the influence of a permanent magnet. Microfluid. Nanofluidics 2011, 10, 1233–1245. [Google Scholar] [CrossRef]
- Kim, K.S.; Park, J.-K. Magnetic force-based multiplexed immunoassay using superparamagnetic nanoparticles in microfluidic channel. Lab a Chip 2005, 5, 657–664. [Google Scholar]
- Tarn, M.D.; Fakhrullin, R.F.; Paunov, V.N.; Pamme, N. Microfluidic device for the rapid coating of magnetic cells with polyelectrolytes. Mater. Lett. 2013, 95, 182–185. [Google Scholar] [CrossRef]
- Vergauwe, N.; Vermeir, S.; Wacker, J.B.; Ceyssens, F.; Cornaglia, M.; Puers, R.; Gijs, M.A.M.; Lammertyn, J.; Witters, D. A highly efficient extraction protocol for magnetic particles on a digital microfluidic chip. Sens. Actuators B Chem. 2014, 196, 282–291. [Google Scholar] [CrossRef]
- Smistrup, K.; Tang, P.T.; Hansen, O.; Hansen, M.F. Microelectromagnet for magnetic manipulation in lab-on-a-chip systems. J. Magn. Magn. Mater. 2006, 300, 418–426. [Google Scholar] [CrossRef]
- Beyzavi, A.; Nguyen, N.-T. Modeling and optimization of planar microcoils. J. Micromech. Microeng. 2008, 18, 095018. [Google Scholar] [CrossRef]
- Rong, R.; Jin-Woo, C.; Chong, H.A. An on-chip magnetic bead separator for biocell sorting. J. Micromech. Microeng. 2006, 16, 2783. [Google Scholar] [CrossRef]
- Choi, J.-W.; Liakopoulos, T.M.; Ahn, C.H. An on-chip magnetic bead separator using spiral electromagnets with semi-encapsulated permalloy. Biosens. Bioelectron. 2001, 16, 409–416. [Google Scholar] [CrossRef]
- Lee, C.-Y.; Chen, Z.-H.; Chang, H.-T.; Wen, C.-Y.; Cheng, C.-H. Design and fabrication of novel micro electromagnetic actuator. Microsyst. Technol. 2009, 15, 1171–1177. [Google Scholar] [CrossRef]
- Song, S.-H.; Kwak, B.-S.; Park, J.-S.; Kim, W.; Jung, H.-I.L. Novel application of Joule heating to maintain biocompatible temperatures in a fully integrated electromagnetic cell sorting system. Sens. Actuators A Phys. 2009, 151, 64–70. [Google Scholar] [CrossRef]
- Fu, R.; Xu, B.; Li, D. Study of the temperature field in microchannels of a PDMS chip with embedded local heater using temperature-dependent fluorescent dye. Int. J. Therm. Sci. 2006, 45, 841–847. [Google Scholar] [CrossRef]
- Lee, H.; Liu, Y.; Westervelt, R.M.; Ham, D. IC/Microfluidic hybrid system for magnetic manipulation of biological cells. IEEE J. Solid State Circuits 2006, 41, 1471–1480. [Google Scholar] [CrossRef]
- García, A.; Carrasco, J.A.; Soto, J.F.; Maganto, F.; Morón, C. A method for calculating the magnetic field produced by a coil of any shape. Sens. Actuators A Phys. 2001, 91, 230–232. [Google Scholar] [CrossRef]
- McDonald, J.C.; Whitesides, G.M. Poly(dimethylsiloxane) as amaterial for fabricating. Acc. Chem. Res. 2002, 35, 491–499. [Google Scholar] [CrossRef]
- Wu, T.; Suzuki, H.; Su, Y.; Tang, Z.; Zhang, L.; Yomo, T. Bio-inspired three-dimensional self-patterning of functional coatings for PDMS microfluidics. Soft Matter 2013, 9, 3473–3477. [Google Scholar] [CrossRef]
- Gijs, M.A.M. Magnetic bead handling on-chip: New opportunities for analytical applications. Microfluid. Nanofluidics 2004, 1, 22–40. [Google Scholar] [CrossRef]
- Cao, H.H. The Fabrication Process of Microfluidic Devices Integrating Microcoils for Trapping Magnetic Nano Particles for Biological Applications. Doctoral Thesis, Université Paris Sud—Paris XI, Paris, France, 2015. [Google Scholar]
- Ali, B.; Nam-Trung, N. One-dimensional actuation of a ferrofluid droplet by planar microcoils. J. Phys. D Appl. Phys. 2009, 42, 015004. [Google Scholar]
- Lefebvre, O.; Smadja, C.; Martincic, E.; Woytasik, M.; Ammar, M. Integration of microcoils for on-chip immunosensors based onmagnetic nanoparticles capture. Sens. Bio Sens. Res. 2017, 13, 115–121. [Google Scholar] [CrossRef][Green Version]
- Mattarozzi, M.; Milioli, M.; Bignardi, C.; Elviri, L.; Corradini, C.; Careri, M. Investigation of different sample pre-treatment routes for liquid chromatography e tandem mass spectrometry detection of caseins and Ovalbumin in forti fi ed red wine. Food Control 2014, 38, 82–87. [Google Scholar] [CrossRef]
- Cucu, T.; Devreese, B.; Trashin, S.; Kerkaert, B.; Rogge, M.; De Meulenaer, B. Related to the Detectability in Processed Foodstuffs. J. AOAC Int. 2012, 95, 149–156. [Google Scholar] [CrossRef] [PubMed]















| Input Parameters for Calculation | Simulated Values |
|---|---|
| w (width of Cu wire) | 10, 15, 20, 25, 30, 35, 40, 45, 50 μm |
| s (separation between 2 Cu wires) | 10 μm |
| h (height of Cu wire) | 15 μm |
| N (number of turns) | 10, 15, 20, 25, 30, 35, 40 |
| Rex (outer radius of the coil) | 500, 750 and 1000 μm |
| J (current density) | 1.109 A/m2 (kept constant) |
© 2020 by the authors. Licensee MDPI, Basel, Switzerland. This article is an open access article distributed under the terms and conditions of the Creative Commons Attribution (CC BY) license (http://creativecommons.org/licenses/by/4.0/).
Share and Cite
Lefebvre, O.; Cao, H.H.; Cortés Francisco, M.; Woytasik, M.; Dufour-Gergam, E.; Ammar, M.; Martincic, E. Reusable Embedded Microcoils for Magnetic Nano-Beads Trapping in Microfluidics: Magnetic Simulation and Experiments. Micromachines 2020, 11, 257. https://doi.org/10.3390/mi11030257
Lefebvre O, Cao HH, Cortés Francisco M, Woytasik M, Dufour-Gergam E, Ammar M, Martincic E. Reusable Embedded Microcoils for Magnetic Nano-Beads Trapping in Microfluidics: Magnetic Simulation and Experiments. Micromachines. 2020; 11(3):257. https://doi.org/10.3390/mi11030257
Chicago/Turabian StyleLefebvre, Olivier, Hong Ha Cao, Meritxell Cortés Francisco, Marion Woytasik, Elisabeth Dufour-Gergam, Mehdi Ammar, and Emile Martincic. 2020. "Reusable Embedded Microcoils for Magnetic Nano-Beads Trapping in Microfluidics: Magnetic Simulation and Experiments" Micromachines 11, no. 3: 257. https://doi.org/10.3390/mi11030257
APA StyleLefebvre, O., Cao, H. H., Cortés Francisco, M., Woytasik, M., Dufour-Gergam, E., Ammar, M., & Martincic, E. (2020). Reusable Embedded Microcoils for Magnetic Nano-Beads Trapping in Microfluidics: Magnetic Simulation and Experiments. Micromachines, 11(3), 257. https://doi.org/10.3390/mi11030257
