Dose-Dependent but Non-Interactive Effects of Ochratoxin A and Selenomethionine on Hepatic Lipid Metabolism and Oxidative Stress in Broiler Chickens
Abstract
1. Introduction
2. Results
2.1. Body Weight, Liver Weight
2.2. Fatty Acid Profile of Total Hepatic Phosphatides
2.3. Antioxidant and Lipid Peroxidation Parameters
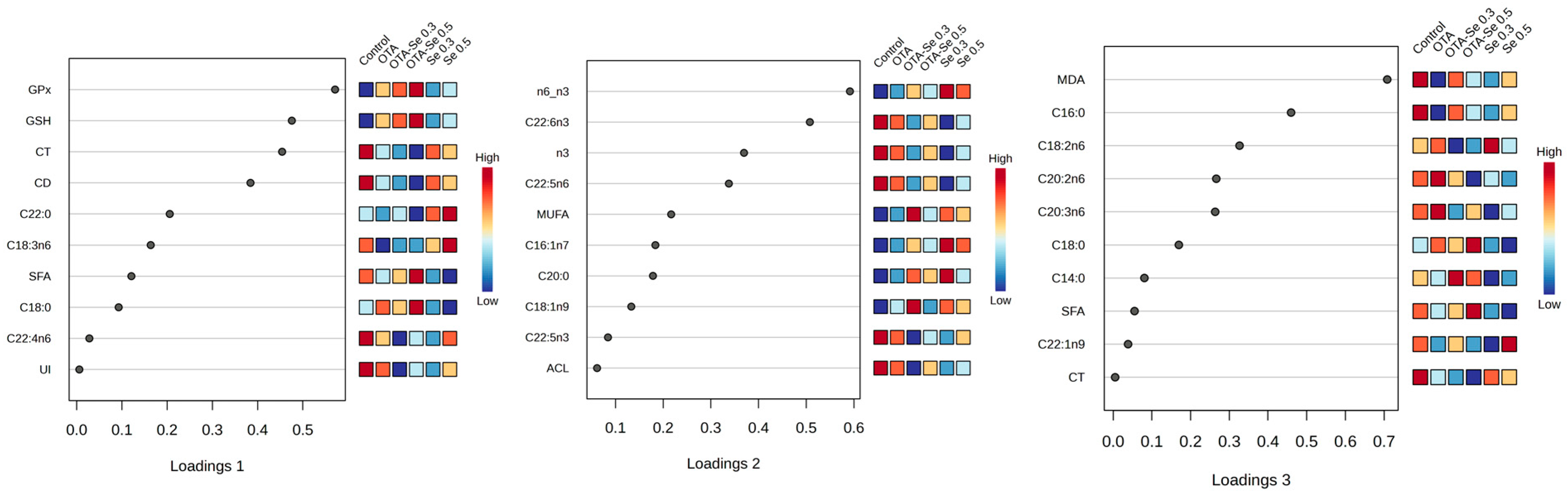
2.4. Group Classification (sPLS-DA)
3. Discussion
3.1. Alterations in Hepatic Membrane Lipid Profile
3.2. Changes in Oxidative Stress Markers
4. Conclusions
5. Materials and Methods
5.1. The Experimental Conditions
5.2. Ochratoxin A Contamination and Selenium Supplementation
5.3. The Analysis of Oxidative Stress Markers
5.4. Fatty Acid Profiling of Tissue Phospholipids
5.5. Statistical Evaluation
5.6. Ethical Issues
Supplementary Materials
Author Contributions
Funding
Institutional Review Board Statement
Informed Consent Statement
Data Availability Statement
Conflicts of Interest
References
- Casu, A.; Leggieri, M.C.; Toscano, P.; Paola, B.P. Changing climate, shifting mycotoxins: A comprehensive review of climate change impact on mycotoxin contamination. Compr. Rev. Food Sci. Food Saf. 2024, 23, e13323. [Google Scholar] [CrossRef]
- Magnoli, A.P.; Poloni, V.L.; Cavaglieri, L. Impact of mycotoxin contamination in the animal feed industry. Curr. Opin. Food Sci. 2019, 29, 99–108. [Google Scholar] [CrossRef]
- Tahir, M.A.; Abbas, A.; Muneeb, M.; Bilal, R.M.; Hussain, K.; Abdel-Moneim, A.M.E.; Farag, M.R.; Dhama, K.; Elnesr, S.S.; Alagawany, M. Ochratoxicosis in poultry: Occurrence, environmental factors, pathological alterations and amelioration strategies. World’s Poult. Sci. J. 2022, 78, 727–749. [Google Scholar] [CrossRef]
- Ganesan, A.R.; Balasubramanian, B.; Park, S.; Jha, R.; Andretta, I.; Bakare, A.G.; Kim, I.H. Ochratoxin A: Carryover from animal feed into livestock and the mitigation strategies. Anim. Nutr. 2021, 7, 56–63. [Google Scholar] [CrossRef]
- Elaroussi, M.A.; Mohamed, F.R.; El Barkouky, E.M.; Atta, A.M.; Abdou, A.M.; Hatab, M.H. Experimental ochratoxicosis in broiler chickens. Avian Pathol. 2006, 35, 263–269. [Google Scholar] [CrossRef]
- European Commission. Commission Recommendation 2006/576/EC of 17 August 2006 on the presence of ochratoxin A in products intended for animal feeding. OJEU 2006, L229, 35–37. [Google Scholar]
- Malir, F.; Ostry, V.; Pfohl-Leszkowicz, A.; Malir, J.; Toman, J. Ochratoxin A: 50 years of research. Toxins 2016, 8, 191. [Google Scholar] [CrossRef]
- Rahimtula, A.D.; Béréziat, J.C.; Bussacchini-Griot, V.; Bartsch, H. Lipid peroxidation as a possible cause of ochratoxin A toxicity. Biochem. Pharmacol. 1988, 37, 4469–4477. [Google Scholar] [CrossRef]
- Hameed, M.R.; Khan, M.Z.; Saleemi, M.K.; Khan, A.; Akhtar, M.; Hassan, Z.U.; Hussain, Z. Study of ochratoxin A (OTA)-induced oxidative stress markers in broiler chicks. Toxin Rev. 2017, 36, 270–274. [Google Scholar] [CrossRef]
- García-Pérez, E.; Ryu, D.; Lee, C.; Lee, H.J. Ochratoxin A induces oxidative stress in HepG2 Cells by impairing the gene expression of antioxidant enzymes. Toxins 2021, 13, 271. [Google Scholar] [CrossRef]
- Ali, O.; Szabó, A. Review of eukaryote cellular membrane lipid composition, with special attention to the fatty acids. Int. J. Mol. Sci. 2023, 24, 15693. [Google Scholar] [CrossRef]
- Pamplona, R.; Prat, J.; Cadenas, S.; Rojas, C.; Pérez-Campo, R.; López Torres, M.; Barja, G. Low fatty acid unsaturation protects against lipid peroxidation in liver mitochondria from long-lived species: The pigeon and human case. Mech. Ageing Dev. 1996, 86, 53–66. [Google Scholar] [CrossRef]
- Hoehler, D.; Marquardt, R.R. Influence of vitamins E and C on the toxic effects of ochratoxin A and T-2 toxin in chicks. Poult. Sci. 1996, 75, 1508–1515. [Google Scholar] [CrossRef]
- Chen, J.; Chen, F.; Peng, S.; Ou, Y.; He, B.; Li, Y.; Lin, Q. Effects of Artemisia argyi powder on egg quality, antioxidant capacity, and intestinal development of roman laying hens. Front. Physiol. 2022, 13, 902568. [Google Scholar] [CrossRef]
- Surai, P.F.; Kochish, I.I. Nutritional modulation of the antioxidant capacities in poultry: The case of selenium. Poult. Sci. 2019, 98, 4231–4239. [Google Scholar] [CrossRef]
- Huang, Z.; Rose, A.H.; Hoffmann, P.R. The role of selenium in inflammation and immunity: From molecular mechanisms to therapeutic opportunities. Antioxid. Redox Signal. 2012, 16, 705–743. [Google Scholar] [CrossRef]
- Hassan, F.U.; Liu, C.; Mehboob, M.; Bilal, R.M.; Arain, M.A.; Siddique, F.; Chen, F.; Li, Y.; Zhang, J.; Shi, P.; et al. Potential of dietary hemp and cannabinoids to modulate immune response to enhance health and performance in animals: Opportunities and challenges. Front. Immunol. 2023, 14, 1285052. [Google Scholar] [CrossRef]
- Sanmartín, C.; Plano, D.; Sharma, A.K.; Palop, J.A. Selenium compounds, apoptosis and other types of cell death: An overview for cancer therapy. Int. J. Mol. Sci. 2012, 13, 9649–9672. [Google Scholar] [CrossRef]
- Chen, F.; Zhang, K.; Wang, M.; He, Z.; Yu, B.; Wang, X.; Pan, X.; Luo, Y.; Xu, S.; Lau, J.T.Y.; et al. VEGF-FGF signaling activates quiescent CD63+ liver stem cells to proliferate and differentiate. Adv. Sci. 2024, 11, 2308711. [Google Scholar] [CrossRef]
- Ren, Z.; Hongyi He, H.; Fan, Y.; Chen, C.; Zuo, Z.; Junliang Deng, J. Research progress on the toxic antagonism of selenium against mycotoxins. Biol. Trace Elem. Res. 2019, 190, 273–280. [Google Scholar] [CrossRef]
- He, J.; Feng, X.; Liu, Y.; Wang, Y.; Ge, C.; Liu, S.; Jiang, Y. Graveoline attenuates D-GalN/LPS-induced acute liver injury via inhibition of JAK1/STAT3 signaling pathway. Biomed. Pharmacother. 2024, 177, 117163. [Google Scholar] [CrossRef]
- Li, P.; Li, K.; Zou, C.; Tong, C.; Sun, L.; Cao, Z.; Yang, S.; Lyu, Q. Selenium yeast alleviates ochratoxin A-induced hepatotoxicity via modulation of the PI3K/AKT and Nrf2/Keap1 signaling pathways in chickens. Toxins 2020, 12, 143. [Google Scholar] [CrossRef]
- Ma, L.; Lyu, W.; Zeng, T.; Wang, W.; Chen, Q.; Zhao, J.; Zhang, G.; Lu, L.; Yang, H.; Xiao, Y. Duck gut metagenome reveals the microbiome signatures linked to intestinal regional, temporal development, and rearing condition. Imeta 2024, 3, e198. [Google Scholar] [CrossRef]
- Zheng, Q.W.; Ding, X.F.; Cao, H.J.; Ni, Q.Z.; Zhu, B.; Ma, N.; Zhang, F.K.; Wang, Y.K.; Xu, S.; Chen, T.W.; et al. Ochratoxin A induces steatosis via PPARγ-CD36 axis. Toxins 2021, 13, 802. [Google Scholar] [CrossRef]
- Baldissera, M.D.; Souza, C.F.; da Silva, J.A.; Barroso, D.C.; Glória, E.M.; Mesadri, J.; Wagner, R.; Baldisserotto, B.; Val, A.L. Dietary ochratoxin A (OTA) decreases growth performance and impairs muscle antioxidant system and meat fatty acid profiles in juvenile tambaqui (Colossoma macropomum). Comp. Biochem. Physiol. C Toxicol. Pharmacol. 2020, 236, 108803. [Google Scholar] [CrossRef]
- Wu, Z.; Shangguan, D.; Huang, Q.; Wang, Y. Drug metabolism and transport mediated the hepatotoxicity of Pleuropterus multiflorus root: A review. Drug Metab. Rev. 2024, 56, 349–358. [Google Scholar] [CrossRef]
- Yang, A.; Ye, Y.; Liu, Q.; Xu, J.; Li, R.; Xu, M.; Wang, X.; Fu, S.; Yu, R. Response of nutritional values and gut microbiomes to dietary intake of ω-3 polyunsaturated fatty acids in Tenebrio molitor larvae. Insects 2025, 16, 970. [Google Scholar] [CrossRef]
- Wang, X.; Li, T.; Dong, L.; Li, Y.; Ding, H.; Wang, J.; Xu, Y.; Sun, W.; Li, L. Exploring the lipid-lowering effects of cinnamic acid and cinnamaldehyde from the perspective of the gut microbiota and metabolites. Food Funct. 2025, 16, 4399–4414. [Google Scholar] [CrossRef]
- Galvano, F.; Piva, A.; Ritieni, A.; Galvano, G.J. Dietary strategies to counteract the effects of mycotoxins: A review. J. Food Prot. 2001, 64, 120–131. [Google Scholar] [CrossRef]
- Szabó, A.; Szabó-Fodor, J.; Fébel, H.; Mézes, M.; Balogh, K.; Bázár, G.; Kocsó, D.; Ali, O.; Kovács, M. Individual and combined effects of fumonisin B1, deoxynivalenol and zearalenone on the hepatic and renal membrane lipid integrity of rats. Toxins 2017, 10, 4. [Google Scholar] [CrossRef]
- Szabó, A.; Szabó-Fodor, J.; Fébel, H.; Romvári, R.; Kovács, M. Individual and combined haematotoxic effects of fumonisin B1 and T-2 mycotoxins in rabbits. Food Chem. Toxicol. 2014, 72, 257–264. [Google Scholar] [CrossRef]
- Vettorazzi, A.; van Delft, J.; de Cerain, A.L. A review on ochratoxin A transcriptomic studies. Food Chem. Toxicol. 2013, 59, 766–783. [Google Scholar] [CrossRef]
- Zhao, Z.; Kim, J.; Lei, X.G. High dietary fat and selenium concentrations exert tissue-and glutathione peroxidase 1–dependent impacts on lipid metabolism of young-adult mice. J. Nutr. 2020, 150, 1738–1748. [Google Scholar] [CrossRef]
- Sun, Z.; Wu, K.; Feng, C.; Lei, X.G. Selenium-dependent glutathione peroxidase 1 regulates transcription of elongase 3 in murine tissues. Free Radic. Biol. Med. 2023, 208, 708–717. [Google Scholar] [CrossRef]
- Surai, P.F. Selenium in Nutrition and Health; Nottingham University Press: Nottingham, UK, 2006; Volume 974, ISBN 1-904761-16-X. [Google Scholar]
- Di Nunzio, M.; Valli, V.; Bordoni, A. PUFA and oxidative stress. Differential modulation of the cell response by DHA. Int. J. Food Sci. Nutr. 2016, 67, 834–843. [Google Scholar] [CrossRef]
- Kövesi, B.; Worlanyo, A.P.; Kulcsár, S.; Ancsin, Z.; Erdélyi, M.; Zándoki, E.; Mézes, M.; Balogh, K. Curcumin mitigates ochratoxin A-induced oxidative stress and alters gene expression in broiler chicken liver and kidney. Acta Vet. Hung. 2024, 72, 41–50. [Google Scholar] [CrossRef]
- Papp, L.V.; Lu, J.; Holmgren, A.; Khanna, K.K. From selenium to selenoproteins: Synthesis, identity, and their role in human health. Antioxid. Redox Signal. 2007, 9, 775–806. [Google Scholar] [CrossRef]
- Zhong, S.; Sun, Z.; Tian, Q.; Wen, W.; Chen, F.; Huang, X.; Li, Y. Lactobacillus delbrueckii alleviates lipopolysaccharide-induced muscle inflammation and atrophy in weaned piglets associated with inhibition of endoplasmic reticulum stress and protein degradation. FASEB 2024, 38, e70041. [Google Scholar] [CrossRef]
- Wu, B.; Mughal, M.J.; Fang, J.; Peng, X. The protective role of selenium against afb1-induced liver apoptosis by death receptor pathway in broilers. Biol. Trace Elem. Res. 2019, 191, 453–463. [Google Scholar] [CrossRef]
- Kövesi, B.; Cserháti, M.; Erdélyi, M.; Zándoki, E.; Mézes, M.; Balogh, K. Long-term effects of ochratoxin A on the glutathione redox system and its regulation in chicken. Antioxidants 2019, 8, 178. [Google Scholar] [CrossRef]
- Surai, P.F.; Dvorska, J.E.; Sparks, N.H.; Jacques, K.A. Impact of mycotoxins on the body’s antioxidant defence. In Nutritional Biotechnology in the Feed and Food Industries, 2nd ed.; Lyons, T.P., Jacques, K.A., Eds.; Nottingham University Press: Nottingham, UK, 2002; pp. 131–141. [Google Scholar]
- Giamouri, E.; Fortatos, E.; Pappas, A.C.; Papadomichelakis, G. Comparative study between dietary nanoelemental, inorganic, and organic selenium in broiler chickens: Effects on meat fatty acid composition and oxidative stability. Sustainability 2023, 15, 9762. [Google Scholar] [CrossRef]
- Holman, R.T. Autoxidation of fats and related substances. In Progress in Chemistry of Fats and Other Lipids, 2nd ed.; Holman, R.T., Lundberg, W.O., Malkin, T., Eds.; Pergamon Press: London, UK, 1956; Volume 2, pp. 51–98. [Google Scholar]
- Gao, Y.-N.; Wu, C.-Q.; Wang, J.-Q.; Zheng, N. Metabolomic analysis reveals the mechanisms of hepatotoxicity induced by aflatoxin M1 and ochratoxin A. Toxins 2022, 14, 141. [Google Scholar] [CrossRef]
- Kövesi, B.; Kulcsár, S.; Ancsin, Z.; Erdélyi, M.; Zándoki, E.; Tóth, M.; Gömbös, P.; Freiler-Nagy, Á.; Balogh, K.; Mézes, M. Short-Term Effects of Dietary Selenomethionine Supplementation on Hepatic and Renal Transcriptomic Alterations Induced by Ochratoxin a in Broiler Chickens. Toxins 2025, 17, 460. [Google Scholar] [CrossRef]
- Sobolev, O.I.; Lisohurska, D.V.; Pyvovar, P.V.; Topolnytskyi, P.P.; Gutyj, B.V.; Sobolieva, S.V.; Borshch, O.O.; Liskovich, V.A.; Verkholiuk, M.M.; Petryszak, O.Y.; et al. Modeling the effect of different dose of selenium additives in compound feed on the efficiency of broiler chicken growth. Ukr. J. Ecol. 2021, 11, 292–299. [Google Scholar] [CrossRef]
- Elkhateeb, F.S.; Ghazalah, A.A.; Lohakare, J.; Abdel-Wareth, A.A. Selenium nanoparticle inclusion in broiler diets for enhancing sustainable production and health. Sci. Rep. 2024, 14, 18557. [Google Scholar] [CrossRef]
- EFSA Panel on Additives and Products or Substances used in Animal Feed (FEEDAP); Bampidis, V.; Azimonti, G.; Bastos, M.D.L.; Christensen, H.; Durjava, M.; Dusemund, B.; Kouba, M.; López-Alonso, M.; Puente, S.L.; et al. Consumer safety of feed additives containing selenium. EFSA J. 2024, 22, e8857. [Google Scholar] [CrossRef]
- Stroka, J.; Ambrosio, M.; Doncheva, I.; Lerda, D.; Mischke, C.; Breidbach, A. Validation of an analytical method to determine the content of ochratoxin A in animal feed. IRMM 2009, 32. [Google Scholar] [CrossRef]
- AOAC. Official Methods of Analysis (28.054), 14th ed.; Association of Official Analytical Chemists: Arlington, VA, USA, 1984; p. 243. [Google Scholar]
- Botsoglou, N.A.; Fletouris, D.J.; Papageorgiou, G.E.; Vassilopoulos, V.N.; Mantis, A.J.; Trakatellis, A.G. Rapid, sensitive and specific thiobarbituric acid method for measuring lipid peroxidation in animal tissue, food and feedstuff samples. J. Agric. Food Chem. 1994, 42, 1931–1937. [Google Scholar] [CrossRef]
- Rahman, I.; Kode, A.; Biswas, S.K. Assay for quantitative determination of glutathione and glutathione disulphide levels using enzymatic recycling method. Nat. Protoc. 2007, 1, 3159–3165. [Google Scholar] [CrossRef]
- Lawrence, R.A.; Burk, R.F. Glutathione peroxidase activity in selenium deficient rat liver. Biochem. Biophys. Res. Commun. 1976, 71, 952–956. [Google Scholar] [CrossRef]
- Lowry, O.H.; Rosebrough, N.J.; Farr, A.L.; Randall, R.J. Protein measurement with the Folin phenol reagent. J. Biol. Chem. 1951, 193, 265–275. [Google Scholar] [CrossRef]
- Folch, J.; Lees, M.; Sloane Stanley, G.H. A simple method for the isolation and purification of total lipids from animal tissues. J. Biol. Chem. 1957, 226, 497–509. [Google Scholar] [CrossRef]
- Leray, C.; Andriamampandry, M.; Gutbier, G.; Cavadenti, J.; Klein-Soyer, C.; Gachet, C.; Cazenave, J.P. Quantitative analysis of vitamin E, cholesterol and phospholipid fatty acids in a single aliquot of human platelets and cultured endothelial cells. J. Chromatogr. B 1997, 696, 33–42. [Google Scholar] [CrossRef]
- Christie, W.W. A simple procedure for rapid transmethylation of glycerolipids and cholesteryl esters. J. Lipid Res. 1982, 23, 1072–1075. [Google Scholar] [CrossRef]
- Kulcsár, S.; Turbók, J.; Kövér, G.; Balogh, K.; Zándoki, E.; Ali, O.; Szabó, A.; Mézes, M. Exposure to a combination of fusarium mycotoxins leads to lipid peroxidation and influences antioxidant defenses, fatty acid composition of phospholipids, and renal histology in laying hens. Toxins 2024, 16, 226. [Google Scholar] [CrossRef]
- Xia, J.; Psychogios, N.; Young, N.; Wishart, D.S. MetaboAnalyst: A web server for metabolomic data analysis and interpretation. Nucleic Acids Res. 2009, 37 (Suppl. S2), W652–W660. [Google Scholar] [CrossRef]




| Group | Control | Se 0.3 | Se 0.5 | OTA | OTA-Se 0.3 | OTA-Se 0.5 |
|---|---|---|---|---|---|---|
| body weight (g) | 1023.33 ± 135.23 | 1046.67 ± 137.28 | 1086.67 ± 87.79 | 1053.33 ± 145.52 | 1090.83 ± 73.17 | 1079.17 ± 62.56 |
| liver (g) | 23.46 ± 5.97 | 27.16 ± 6.44 | 26.23 ± 3.01 | 25.97 ± 4.22 | 28.15 ± 2.97 | 27.27 ± 2.35 |
| rel. liver (%) | 2.27 ± 0.35 | 2.58 ± 0.40 | 2.41 ± 0.16 | 2.48 ± 0.37 | 2.58 ± 0.14 | 2.53 ± 0.15 |
| Group | Control | Se 0.3 | Se 0.5 | OTA | OTA-Se 0.3 | OTA-Se 0.5 | OTA | Se | OTA × Se | ||||||
|---|---|---|---|---|---|---|---|---|---|---|---|---|---|---|---|
| C14:0 | 0.08 ± 0.01 | 0.07 ± 0.01 | 0.07 ± 0.01 | 0.08 ± 0.02 | 0.09 ± 0.01 | 0.09 ± 0.01 | |||||||||
| C16:0 | 20.05 ± 0.36 | 19.11 ± 1.33 | 19.32 ± 0.81 | 18.80 ± 1.10 | 19.74 ± 0.94 | 19.13 ± 0.67 | |||||||||
| C18:0 | 24.50 ± 0.51 | 24.32 ± 1.52 | 23.97 ± 1.13 | 25.51 ± 0.90 | 24.68 ± 0.78 | 25.55 ± 0.98 | |||||||||
| C20:0 | 0.06 ± 0.01 | a | 0.08 ± 0.01 | b | 0.07 ± 0.01 | ab | 0.07 ± 0.01 | ab | 0.08 ± 0.01 | ab | 0.07 ± 0.01 | ab | NS | 0.09 | 0.0001 |
| C22:0 | 0.06 ± 0.01 | ab | 0.07 ± 0.01 | b | 0.07 ± 0.01 | b | 0.05 ± 0.01 | a | 0.06 ± 0.01 | ab | 0.05 ± 0.01 | a | 0.01 | 0.037 | NS |
| C23:0 | 0.02 ± 0.00 | 0.02 ± 0.01 | 0.02 ± 0.01 | 0.02 ± 0.00 | 0.01 ± 0.00 | 0.01 ± 0.00 | |||||||||
| C16:1n7 | 1.99 ± 0.60 | a | 2.99 ± 0.52 | b | 2.62 ± 0.61 | ab | 2.04 ± 0.53 | ab | 2.57 ± 0.69 | ab | 2.47 ± 0.31 | ab | NS | 0.04 | NS |
| C18:1n7 | 1.51 ± 0.26 | 1.57 ± 0.31 | 1.62 ± 0.33 | 1.52 ± 0.15 | 1.57 ± 0.17 | 1.68 ± 0.26 | |||||||||
| C18:1n9 | 16.65 ± 2.94 | a | 20.23 ± 2.40 | ab | 20.00 ± 2.13 | ab | 18.97 ± 1.99 | ab | 21.38 ± 0.75 | b | 18.89 ± 2.14 | ab | NS | NS | NS |
| C20:1n9 | 0.32 ± 0.04 | 0.32 ± 0.05 | 0.37 ± 0.07 | 0.38 ± 0.02 | 0.37 ± 0.03 | 0.35 ± 0.03 | |||||||||
| C22:1n9 | 0.03 ± 0.01 | 0.03 ± 0.00 | 0.03 ± 0.00 | 0.03 ± 0.00 | 0.03 ± 0.00 | 0.03 ± 0.00 | |||||||||
| C18:2n6 | 14.70 ± 0.60 | 15.33 ± 0.70 | 14.54 ± 1.02 | 15.14 ± 0.91 | 13.99 ± 0.96 | 14.41 ± 1.31 | |||||||||
| C18:3n6 | 0.24 ± 0.05 | 0.23 ± 0.09 | 0.25 ± 0.06 | 0.17 ± 0.03 | 0.18 ± 0.03 | 0.18 ± 0.03 | |||||||||
| C20:2n6 | 0.08 ± 0.05 | 0.07 ± 0.02 | 0.06 ± 0.02 | 0.10 ± 0.04 | 0.07 ± 0.02 | 0.06 ± 0.03 | |||||||||
| C20:3n6 | 3.15 ± 0.33 | 2.97 ± 0.36 | 3.15 ± 0.35 | 3.47 ± 0.23 | 3.06 ± 0.27 | 3.15 ± 0.24 | |||||||||
| C20:4n6 | 12.77 ± 2.55 | b | 10.08 ± 1.43 | a | 11.07 ± 1.30 | ab | 10.60 ± 1.63 | ab | 9.59 ± 0.63 | a | 10.58 ± 0.87 | ab | 0.016 | 0.017 | NS |
| C22:4n6 | 0.93 ± 0.31 | b | 0.70 ± 0.13 | ab | 0.75 ± 0.12 | ab | 0.70 ± 0.09 | ab | 0.63 ± 0.06 | a | 0.70 ± 0.09 | ab | 0.01 | 0.021 | NS |
| C22:5n6 | 1.05 ± 0.49 | b | 0.51 ± 0.07 | a | 0.60 ± 0.17 | a | 0.74 ± 0.22 | ab | 0.59 ± 0.10 | a | 0.71 ± 0.10 | ab | NS | 0.01 | 0.024 |
| C18:3n3 | 0.10 ± 0.01 | 0.11 ± 0.01 | 0.10 ± 0.02 | 0.10 ± 0.02 | 0.10 ± 0.02 | 0.10 ± 0.03 | |||||||||
| C20:5n3 | 0.44 ± 0.03 | 0.45 ± 0.07 | 0.51 ± 0.05 | 0.46 ± 0.04 | 0.46 ± 0.04 | 0.44 ± 0.05 | |||||||||
| C22:5n3 | 0.36 ± 0.14 | b | 0.25 ± 0.04 | ab | 0.28 ± 0.05 | ab | 0.31 ± 0.07 | ab | 0.23 ± 0.02 | a | 0.27 ± 0.02 | ab | NS | NS | NS |
| C22:6n3 | 0.90 ± 0.36 | b | 0.49 ± 0.03 | a | 0.53 ± 0.10 | a | 0.75 ± 0.22 | ab | 0.52 ± 0.10 | a | 0.65 ± 0.10 | ab | NS | 0.0001 | NS |
| Group | Control | Se 0.3 | Se 0.5 | OTA | OTA-Se 0.3 | OTA-Se 0.5 | OTA | Se | OTA × Se | ||||||
|---|---|---|---|---|---|---|---|---|---|---|---|---|---|---|---|
| SFA | 44.77 ± 0.40 | bc | 43.67 ± 1.11 | ab | 43.53 ± 0.67 | a | 44.53 ± 0.65 | abc | 44.65 ± 0.31 | abc | 44.90 ± 0.61 | c | 0.041 | 0.032 | 0.007 |
| MUFA | 20.51 ± 3.72 | a | 25.14 ± 2.98 | b | 24.63 ± 2.64 | ab | 22.94 ± 2.25 | ab | 25.92 ± 1.35 | b | 23.42 ± 2.28 | ab | NS | 0.005 | NS |
| PUFA | 34.72 ± 3.67 | b | 31.18 ± 2.19 | ab | 31.84 ± 2.45 | ab | 32.54 ± 2.08 | ab | 29.42 ± 1.51 | a | 31.68 ± 1.83 | ab | 0.05 | 0.001 | NS |
| n6 | 32.92 ± 3.22 | b | 29.89 ± 2.07 | ab | 30.43 ± 2.33 | ab | 30.92 ± 1.87 | ab | 28.11 ± 1.40 | a | 30.23 ± 1.72 | ab | 0.044 | 0.015 | NS |
| n3 | 1.80 ± 0.48 | b | 1.30 ± 0.13 | a | 1.41 ± 0.14 | ab | 1.61 ± 0.23 | ab | 1.32 ± 0.12 | a | 1.45 ± 0.15 | ab | NS | 0.001 | NS |
| n6/n3 | 18.86 ± 2.77 | a | 23.08 ± 1.04 | b | 21.57 ± 0.95 | ab | 19.33 ± 1.65 | a | 21.45 ± 1.14 | ab | 20.98 ± 1.59 | ab | NS | 0.0001 | NS |
| UI | 130.00 ± 12.45 | b | 117.96 ± 5.55 | ab | 121.74 ± 6.30 | ab | 121.86 ± 6.85 | ab | 114.48 ± 3.68 | a | 119.60 ± 3.92 | ab | 0.026 | 0.008 | NS |
| ACL | 18.03 ± 0.11 | b | 17.92 ± 0.05 | ab | 17.95 ± 0.07 | ab | 17.99 ± 0.08 | ab | 17.91 ± 0.04 | a | 17.96 ± 0.03 | ab | NS | 0.012 | NS |
| Parameter | OTA | Se | OTA × Se |
|---|---|---|---|
| GSH | 0.001 | NS | NS |
| GPx | 0.0001 | 0.006 | NS |
| MDA | 0.008 | NS | 0.0001 |
| CD | 0.0001 | 0.016 | NS |
| CT | 0.0001 | 0.046 | NS |
| Group | OTA | Se |
|---|---|---|
| Control | <0.01 | 0.07 |
| OTA | 2.04 ± 0.13 | 0.07 |
| Se 0.3 + OTA | 1.57 ± 0.19 | 0.29 |
| Se 0.5 + OTA | 2.09 ± 0.23 | 0.59 |
Disclaimer/Publisher’s Note: The statements, opinions and data contained in all publications are solely those of the individual author(s) and contributor(s) and not of MDPI and/or the editor(s). MDPI and/or the editor(s) disclaim responsibility for any injury to people or property resulting from any ideas, methods, instructions or products referred to in the content. |
© 2025 by the authors. Licensee MDPI, Basel, Switzerland. This article is an open access article distributed under the terms and conditions of the Creative Commons Attribution (CC BY) license (https://creativecommons.org/licenses/by/4.0/).
Share and Cite
Kulcsár, S.; Balogh, K.; Zándoki, E.; Agyarko, E.; Ali, O.; Kövesi, B.; Freiler-Nagy, Á.; Szabó, A.; Mézes, M. Dose-Dependent but Non-Interactive Effects of Ochratoxin A and Selenomethionine on Hepatic Lipid Metabolism and Oxidative Stress in Broiler Chickens. Toxins 2025, 17, 568. https://doi.org/10.3390/toxins17120568
Kulcsár S, Balogh K, Zándoki E, Agyarko E, Ali O, Kövesi B, Freiler-Nagy Á, Szabó A, Mézes M. Dose-Dependent but Non-Interactive Effects of Ochratoxin A and Selenomethionine on Hepatic Lipid Metabolism and Oxidative Stress in Broiler Chickens. Toxins. 2025; 17(12):568. https://doi.org/10.3390/toxins17120568
Chicago/Turabian StyleKulcsár, Szabina, Krisztián Balogh, Erika Zándoki, Edward Agyarko, Omeralfaroug Ali, Benjámin Kövesi, Ágnes Freiler-Nagy, András Szabó, and Miklós Mézes. 2025. "Dose-Dependent but Non-Interactive Effects of Ochratoxin A and Selenomethionine on Hepatic Lipid Metabolism and Oxidative Stress in Broiler Chickens" Toxins 17, no. 12: 568. https://doi.org/10.3390/toxins17120568
APA StyleKulcsár, S., Balogh, K., Zándoki, E., Agyarko, E., Ali, O., Kövesi, B., Freiler-Nagy, Á., Szabó, A., & Mézes, M. (2025). Dose-Dependent but Non-Interactive Effects of Ochratoxin A and Selenomethionine on Hepatic Lipid Metabolism and Oxidative Stress in Broiler Chickens. Toxins, 17(12), 568. https://doi.org/10.3390/toxins17120568

