Photocatalytic Degradation of Deoxynivalenol over Dendritic-Like α-Fe2O3 under Visible Light Irradiation
Abstract
:1. Introduction
2. Results and Discussion
2.1. Crystal Phase and Morphology Analyses
2.2. Photocatalytic Activity
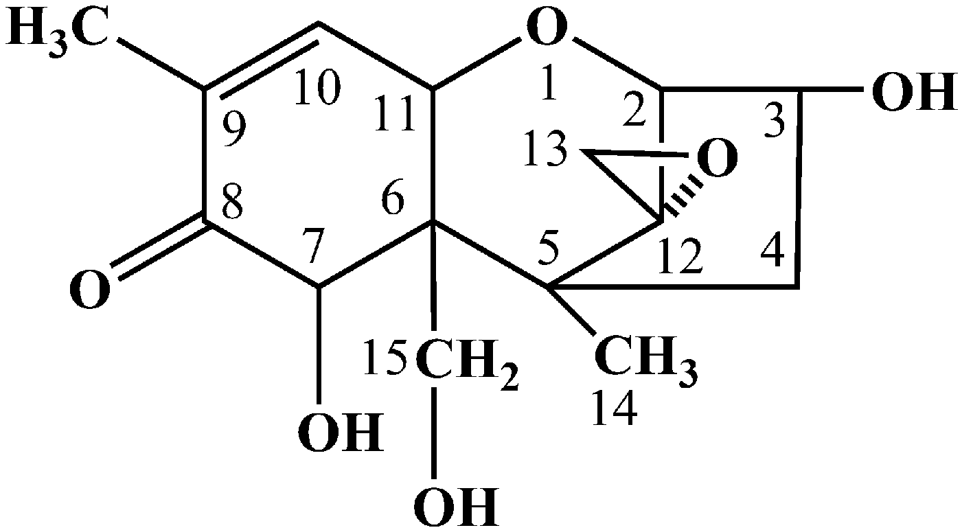
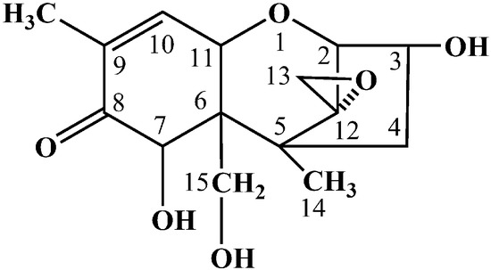
2.3. Degradation Products Analysis
3. Conclusions
4. Materials and Methods
4.1. Materials
4.2. Synthesis of Dendritic-Like α-Fe2O3 Photocatalyst
4.3. Material Characterization
4.4. Photocatalytic Measurement
4.5. Degraded Products Analysis
Author Contributions
Funding
Conflicts of Interest
References
- McEvoy, J.D. Emerging food safety issues: An EU perspective. Drug Test. Anal. 2016, 8, 511–520. [Google Scholar] [CrossRef] [PubMed]
- Schothorst, R.; Van, E.H. Critical assessment of trichothecene exposure—Report from the SCOOP project. Toxicol. Lett. 2004, 153, 133–143. [Google Scholar] [CrossRef] [PubMed]
- De Ruyck, K.; De Boevre, M.; Huybrechts, I.; De Saeger, S. Dietary mycotoxins, co-exposure, and carcinogenesis in humans: Short review. Mutat. Res. Rev. Mutat. Res. 2015, 766, 32–41. [Google Scholar] [CrossRef] [PubMed]
- Abdallah, M.F.; Girgin, G.; Baydar, T. Occurrence, Prevention and Limitation of Mycotoxins in Feeds. Anim. Nutr. Feed Technol. 2015, 15, 471–490. [Google Scholar] [CrossRef]
- Peng, Z.; Chen, L.K.; Nussler, A.K.; Liu, L.G.; Yang, W. Current sights for mechanisms of deoxynivalenol-induced hepatotoxicity and prospective views for future scientific research: A mini review. J. Appl. Toxicol. 2017, 37, 518–529. [Google Scholar] [CrossRef] [PubMed]
- Wu, W.D.; Zhou, H.R.; Pestka, J.J. Potential roles for calcium-sensing receptor (CaSR) and transient receptor potential ankyrin-1 (TRPA1) in murine anorectic response to deoxynivalenol (vomitoxin). Arch. Toxicol. 2017, 91, 495–507. [Google Scholar] [CrossRef] [PubMed]
- Tengjaroenkul, B.; Tengjaroenku, U.; Pumipuntu, N.; Pimpukdee, K.; Wongtangtintan, S.; Saipan, P. An In Vitro Comparative Study of Aflatoxin B1 Adsorption by Thai Clay and Commercial Toxin Binders. Thai J. Vet. Med. 2013, 43, 491–495. [Google Scholar]
- Yener, S.; Koksel, H. Effects of washing and drying applications on deoxynivalenol and zearalenone levels in wheat. World Mycotoxin J. 2013, 6, 335–341. [Google Scholar] [CrossRef]
- Vidal, A.; Sanchis, V.; Ramos, A.J.; Marin, S. Thermal stability and kinetics of degradation of deoxynivalenol, deoxynivalenol conjugates and ochratoxin A during baking of wheat bakery products. Food Chem. 2015, 178, 276–286. [Google Scholar] [CrossRef]
- Pronyk, C.; Cenkowski, S.; Abramson, D. Superheated steam reduction of deoxynivalenol in naturally contaminated wheat kernels. Food Control 2006, 17, 789–796. [Google Scholar] [CrossRef]
- Moazami, F.E.; Jinap, S.; Mousa, W.; Hajeb, P. Effect of Food Additives on Deoxynivalenol (DON) Reduction and Quality Attributes in Steamed-and-Fried Instant Noodles. Cereal Chem. 2014, 91, 88–94. [Google Scholar] [CrossRef]
- Wang, L.; Wang, Y.; Shao, H.L.; Luo, X.H.; Wang, R.; Li, Y.F.; Li, Y.N.; Luo, Y.P.; Zhang, D.J.; Chen, Z.X. In vivo toxicity assessment of deoxynivalenol-contaminated wheat after ozone degradation. Food Addit. Contam. A 2017, 34, 103–112. [Google Scholar] [CrossRef] [PubMed]
- Niderkorn, V.; Morgavi, D.P.; Pujos, E.; Tissandier, A.; Boudra, H. Screening of fermentative bacteria for their ability to bind and biotransform deoxynivalenol, zearalenone and fumonisins in an in vitro simulated corn silage model. Food Addit. Contam. 2007, 24, 406–415. [Google Scholar] [CrossRef]
- Vanhoutte, I.; De Mets, L.; De Boevre, M.; Uka, V.; Di Mavungu, J.D.; De Saeger, S.; De Gelder, L.; Audenaert, K. Microbial Detoxification of Deoxynivalenol (DON), Assessed via a Lemna minor L. Bioassay, through Biotransformation to 3-epi-DON and 3-epi-DOM-1. Toxins 2017, 9, 63. [Google Scholar] [CrossRef] [PubMed]
- Yang, X.; Li, L.; Duan, Y.; Yang, X. Antioxidant activity of Lactobacillus plantarum JM113 in vitro and its protective effect on broiler chickens challenged with deoxynivalenol. J. Anim. Sci. 2017, 95, 837–846. [Google Scholar] [CrossRef] [PubMed]
- Bhatkhande, D.S.; Pangarkar, V.G.; Beenackers, A.A.C.M. Photocatalytic degradation for environmental applications—A review. J. Chem. Technol. Biotechnol. 2002, 77, 102–116. [Google Scholar] [CrossRef]
- Bai, X.J.; Sun, C.P.; Liu, D.; Luo, X.H.; Li, D.; Wang, J.; Wang, N.X.; Chang, X.J.; Zong, R.L.; Zhu, Y.F. Photocatalytic degradation of deoxynivalenol using graphene/ZnO hybrids in aqueous suspension. Appl. Catal. B-Environ. 2017, 204, 11–20. [Google Scholar] [CrossRef]
- Yamaguchi, Y.; Usuki, S.; Yamatoya, K.; Suzuki, N.; Katsumata, K.; Terashima, C.; Fujishima, A.; Kudo, A.; Nakata, K. Efficient photocatalytic degradation of gaseous acetaldehyde over ground Rh-Sb co-doped SrTiO3 under visible light irradiation. RSC Adv. 2018, 8, 5331–5337. [Google Scholar] [CrossRef]
- Pelaez, M.; Baruwati, B.; Varma, R.S.; Luque, R.; Dionysiou, D.D. Microcystin-LR removal from aqueous solutions using a magnetically separable N-doped TiO2 nanocomposite under visible light irradiation. Chem. Commun. 2013, 49, 10118–10120. [Google Scholar] [CrossRef] [PubMed]
- Mao, J.; Zhang, Q.; Li, P.W.; Zhang, L.X.; Zhang, W. Geometric architecture design of ternary composites based on dispersive WO3 nanowires for enhanced visible-light-driven activity of refractory pollutant degradation. Chem. Eng. J. 2018, 334, 2568–2578. [Google Scholar] [CrossRef]
- Mao, J.; Zhang, L.X.; Wang, H.T.; Zhang, Q.; Zhang, W.; Li, P.W. Facile fabrication of nanosized graphitic carbon nitride sheets with efficient charge separation for mitigation of toxic pollutant. Chem. Eng. J. 2018, 342, 30–40. [Google Scholar] [CrossRef]
- Lassoued, A.; Lassoued, M.S.; Dkhil, B.; Ammar, S.; Gadri, A. Photocatalytic degradation of methylene blue dye by iron oxide (α-Fe2O3) nanoparticles under visible irradiation. J. Mater. Sci.-Mater. Electron. 2018, 29, 8142–8152. [Google Scholar] [CrossRef]
- Gobouri, A.A. Ultrasound enhanced photocatalytic properties of α-Fe2O3 nanoparticles for degradation of dyes used by textile industry. Res. Chem. Intermed. 2016, 42, 5099–5113. [Google Scholar] [CrossRef]
- Li, R.; Liu, J.; Jia, Y.; Zhen, Q. Photocatalytic Degradation Mechanism of Oxytetracyclines Using Fe2O3-TiO2 Nanopowders. J. Nanosci. Nanotechnol. 2017, 17, 3010–3015. [Google Scholar] [CrossRef]
- Jiang, Z.F.; Jiang, D.L.; Wei, W.; Yan, Z.X.; Xie, J.M. Natural carbon nanodots assisted development of size-tunable metal (Pd, Ag) nanoparticles grafted on bionic dendritic α-Fe2O3 for cooperative catalytic applications. J. Mater. Chem. A 2015, 3, 23607–23620. [Google Scholar] [CrossRef]
- Huang, J.H.; Cheng, W.J.; Shi, Y.H.; Zeng, G.M.; Yu, H.B.; Gu, Y.L.; Shi, L.X.; Yi, K.X. Honeycomb-like carbon nitride through supramolecular preorganization of monomers for high photocatalytic performance under visible light irradiation. Chemosphere 2018, 211, 324–334. [Google Scholar] [CrossRef] [PubMed]
- Abd Mutalib, M.; Aziz, F.; Jamaludin, N.A.; Yahya, N.; Ismail, A.F.; Mohamed, M.A.; Yusop, M.Z.M.; Salleh, W.N.W.; Jaafar, J.; Yusof, N. Enhancement in photocatalytic degradation of methylene blue by LaFeO3-GO integrated photocatalyst-adsorbents under visible light irradiation. Korean J. Chem. Eng. 2018, 35, 548–556. [Google Scholar] [CrossRef]
- Li, H.T.; Wang, M.; Wei, Y.P.; Long, F. Noble metal-free NiS2 with rich active sites loaded g-C3N4 for highly efficient photocatalytic H-2 evolution under visible light irradiation. J. Colloid Interface Sci. 2019, 534, 343–349. [Google Scholar] [CrossRef]
- Juan-Garcia, A.; Juan, C.; Manyes, L.; Ruiz, M.J. Binary and tertiary combination of alternariol, 3-acetyl-deoxynivalenol and 15-acetyl-deoxynivalenol on HepG2 cells: Toxic effects and evaluation of degradation products. Toxicol. In Vitro 2016, 34, 264–273. [Google Scholar] [CrossRef]
- Juan-Garcia, A.; Juan, C.; Konig, S.; Ruiz, M.J. Cytotoxic effects and degradation products of three mycotoxins: Alternariol, 3-acetyl-deoxynivalenol and 15-acetyl-deoxynivalenol in liver hepatocellular carcinoma cells. Toxicol. Lett. 2015, 235, 8–16. [Google Scholar] [CrossRef]
- Bretz, M.; Beyer, M.; Cramer, B.; Knecht, A.; Humpf, H.U. Thermal degradation of the Fusarium mycotoxin deoxynivalenol. J. Agric. Food Chem. 2006, 54, 6445–6451. [Google Scholar] [CrossRef]
- Sun, C.; Ji, J.; Wu, S.L.; Sun, C.P.; Pi, F.W.; Zhang, Y.Z.; Tang, L.L.; Sun, X.L. Saturated aqueous ozone degradation of deoxynivalenol and its application in contaminated grains. Food Control 2016, 69, 185–190. [Google Scholar] [CrossRef]
- Pestka, J.J. Deoxynivalenol: Toxicity, mechanisms and animal health risks. Anim. Feed Sci. Technol. 2007, 137, 283–298. [Google Scholar] [CrossRef]






© 2019 by the authors. Licensee MDPI, Basel, Switzerland. This article is an open access article distributed under the terms and conditions of the Creative Commons Attribution (CC BY) license (http://creativecommons.org/licenses/by/4.0/).
Share and Cite
Wang, H.; Mao, J.; Zhang, Z.; Zhang, Q.; Zhang, L.; Zhang, W.; Li, P. Photocatalytic Degradation of Deoxynivalenol over Dendritic-Like α-Fe2O3 under Visible Light Irradiation. Toxins 2019, 11, 105. https://doi.org/10.3390/toxins11020105
Wang H, Mao J, Zhang Z, Zhang Q, Zhang L, Zhang W, Li P. Photocatalytic Degradation of Deoxynivalenol over Dendritic-Like α-Fe2O3 under Visible Light Irradiation. Toxins. 2019; 11(2):105. https://doi.org/10.3390/toxins11020105
Chicago/Turabian StyleWang, Huiting, Jin Mao, Zhaowei Zhang, Qi Zhang, Liangxiao Zhang, Wen Zhang, and Peiwu Li. 2019. "Photocatalytic Degradation of Deoxynivalenol over Dendritic-Like α-Fe2O3 under Visible Light Irradiation" Toxins 11, no. 2: 105. https://doi.org/10.3390/toxins11020105
APA StyleWang, H., Mao, J., Zhang, Z., Zhang, Q., Zhang, L., Zhang, W., & Li, P. (2019). Photocatalytic Degradation of Deoxynivalenol over Dendritic-Like α-Fe2O3 under Visible Light Irradiation. Toxins, 11(2), 105. https://doi.org/10.3390/toxins11020105

