Incorporating Added Sugar Improves the Performance of the Health Star Rating Front-of-Pack Labelling System in Australia
Abstract
:1. Introduction
2. Methods
2.1. Data Source
2.2. Added Sugar Values
2.3. Calculation of the Health Star Rating
2.4. Product Classification
2.5. Core and Discretionary Foods
2.6. Statistical Analyses
3. Results
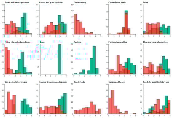
3.1. Health Star Rating within Food Groups
3.2. Added Sugar Content within Food Groups
3.3. Discrimination between Core and Discretionary Foods
4. Discussion
5. Conclusions
Supplementary Materials
Acknowledgments
Author Contributions
Conflicts of Interest
References
- Institute for Health Metrics and Evaluation. Global Burden of Disease 2015. 2015. Available online: http://vizhub.healthdata.org/gbd-compare/# (accessed on 3 May 2017).
- Monteiro, C.A.; Moubarac, J.C.; Cannon, G.; Ng, S.W.; Popkin, B. Ultra-processed products are becoming dominant in the global food system. Obes. Rev. Offic. J. Int. Assoc. Study Obes. 2013, 14, 21–28. [Google Scholar] [CrossRef] [PubMed]
- Popkin, B.M.; Adair, L.S.; Ng, S.W. Global nutrition transition and the pandemic of obesity in developing countries. Nutr. Rev. 2012, 70, 3–21. [Google Scholar] [CrossRef] [PubMed]
- Slimani, N.; Deharveng, G.; Southgate, D.A.; Biessy, C.; Chajès, V.; van Bakel, M.M.; Boutron-Ruault, M.C.; McTaggart, A.; Boutron-Ruault, M.C.; McTaggart, A.; et al. Contribution of highly industrially processed foods to the nutrient intakes and patterns of middle-aged populations in the European Prospective Investigation into Cancer and Nutrition study. Eur. J. Clin. Nutr. 2009, 63, S206–S225. [Google Scholar] [CrossRef] [PubMed]
- Campos, S.; Doxey, J.; Hammond, D. Nutrition labels on pre-packaged foods: A systematic review. Public Health Nutr. 2011, 14, 1496–1506. [Google Scholar] [CrossRef] [PubMed]
- Gortmaker, S.L.; Swinbur, B.A.; Levy, D.; Carter, R.; Mabry, P.L.; Finegood, D.T.; Huang, T.; Marsh, T.; Moodie, M.L. Changing the future of obesity: Science, policy, and action. Lancet 2011, 378, 838–847. [Google Scholar] [CrossRef]
- Sacks, G.; Veerman, J.L.; Moodie, M.; Swinburn, B. ‘Traffic-light’ nutrition labelling and ‘junk-food’ tax: A modelled comparison of cost-effectiveness for obesity prevention. Int. J. Obes. 2011, 35, 1001–1009. [Google Scholar] [CrossRef] [PubMed]
- Volkova, E.; Neal, B.; Rayner, M.; Swinburn, B.; Eyles, H.; Jiang, Y.; Michie, J.; Mhurchu, C.N. Effects of interpretive front-of-pack nutrition labels on food purchases: Protocol for the Starlight randomised controlled trial. BMC Public Health 2014, 14, 968. [Google Scholar] [CrossRef] [PubMed]
- World Health Organization. Report of the Commission on Ending Childhood Obesity; World Health Organization: Geneva, Switzerland, 2016. [Google Scholar]
- Department of Health. Health Star Rating System. 2017. Available online: http://healthstarrating.gov.au/internet/healthstarrating/publishing.nsf/Content/Home (accessed on 3 May 2017).
- National Health and Medical Research Council. Australian Dietary Guidelines; National Health and Medical Research Council: Canberra, Australia, 2013.
- Carrad, A.M.; Louie, J.C.; Yeatman, H.R.; Dunford, E.K.; Neal, B.C.; Flood, V.M. A nutrient profiling assessment of packaged foods using two star-based front-of-pack labels. Public Health Nutr. 2016, 19, 2165–2174. [Google Scholar] [CrossRef] [PubMed]
- Dunford, E.; Cobcroft, M.; Thomas, M.; Wu, J. Technical Report: Alignment of NSW Healthy Food Provision Policy with the Health Star Rating System; NSW Ministry of Health: Sydney, Australia, 2015.
- World Health Organization. Sugars Intake for Adults and Children; World Health Organization: Geneva, Switzerland, 2015. [Google Scholar]
- U.S. Food and Drug Administration. Changes to the Nutrition Facts Label. 2016. Available online: https://www.fda.gov/Food/GuidanceRegulation/GuidanceDocumentsRegulatoryInformation/LabelingNutrition/ucm385663.htm (accessed on 3 May 2017).
- Dunford, E.; Trevena, H.; Goodsell, C.; Ng, K.H.; Webster, J.; Millis, A.; Goldstein, S.; Hugueniot, O.; Neal, B. FoodSwitch: A Mobile Phone App to Enable Consumers to Make Healthier Food Choices and Crowdsourcing of National Food Composition Data. JMIR Mhealth Uhealth 2014, 2, 37. [Google Scholar] [CrossRef] [PubMed]
- Food Standards Australia New Zealand. Determining the Amount of Added Sugars and Free Sugars in Foods Listed in the AUSNUT 2011–2013 Dataset. 2017. Available online: http://www.foodstandards.gov.au/science/monitoringnutrients/ausnut/foodnutrient/Pages/Determining-the-amount-of-added-sugars-and-free-sugars-in-foods-listed-in-the-AUSNUT-201113-dataset.aspx (accessed on 16 May 2017).
- Louie, J.C.; Moshtaghian, H.; Boylan, S.; Flood, V.M.; Rangan, A.M.; Barclay, A.W.; Brand-Miller, J.C.; Gill, T.P. A systematic methodology to estimate added sugar content of foods. Eur. J. Clin. Nutr. 2015, 69, 154–161. [Google Scholar] [CrossRef] [PubMed]
- Department of Health. Guide for Industry to the Health Star Rating Calculator. 2016. Available online: http://healthstarrating.gov.au/internet/healthstarrating/publishing.nsf/Content/guide-for-industry-document (accessed on 3 May 2017).
- Dunford, E.; Webster, J.; Metzler, A.B.; Czernichow, S.; Ni Mhurchu, C.; Wolmarans, P.; Snowdon, W.; L’Abbe, M.; Li, N.; Maulik, P.K.; et al. International collaborative project to compare and monitor the nutritional composition of processed foods. Eur. J. Prev. Cardiol. 2012, 19, 1326–1332. [Google Scholar] [CrossRef] [PubMed]
- Australian Bureau of Statistics. Australian Health Survey: Users’ Guide, 2011–13. Discretionary Foods. 2014. Available online: http://www.abs.gov.au/ausstats/abs@.nsf/Lookup/4363.0.55.001Chapter65062011-13 (accessed on 18 May 2017).
- Wellard, L.; Hughes, C.; Watson, W.L. Investigating nutrient profiling and Health Star Ratings on core dairy products in Australia. Public Health Nutr. 2016, 19, 2860–2865. [Google Scholar] [CrossRef] [PubMed]
- Health Star Rating Advisory Committee. Two Year Progress Review Report on the Implementation of the Health Star Rating System-June 2014–June 2016. 2017. Available online: http://healthstarrating.gov.au/internet/healthstarrating/publishing.nsf/Content/reviews (accessed on 8 May 2017).
- Ministry for Primary Industries. Health Star Rating-Monitoring Implementation at Year Two-MPI Technical Paper No.: 2017/09; Ministry for Primary Industries: Wellington, New Zealand, 2017.
- CHOICE. Health Star Ratings and Added Sugars: A Consumer Perspective; CHOICE, Australian Consumers’ Association: Sydney, Australia, 2016. [Google Scholar]
- Food Standards Australia New Zealand. Standard 1.2.8-Nutrition Information Requirements. 2017. Available online: https://www.legislation.gov.au/Details/F2017C00311 (accessed on 3 May 2017).
- Food Standards Australia New Zealand. Labelling Review Recommendation 12. 2016. Available online: http://www.foodstandards.gov.au/consumer/labelling/review/Pages/Labelling-review-recommendation-12.aspx (accessed on 3 May 2017).
- Hawkes, C.; Smith, T.G.; Jewell, J.; Wardle, J.; Hammond, R.A.; Friel, S.; Thow, A.M.; Kain, J. Smart food policies for obesity prevention. Lancet 2015, 385, 2410–2421. [Google Scholar] [CrossRef]




| Food Group | N (% Discretionary) | HSR * | Total Sugar, g/100 g * | Has Added Sugar, % | Added Sugar, g/100 g *,† | ||||
|---|---|---|---|---|---|---|---|---|---|
| Core | Discretionary | Core | Discretionary | Core | Discretionary | Core | Discretionary | ||
| Bread and bakery products | 4021 (64) | 3.5 (3.0; 4.0) | 1.5 (1.0; 2.5) | 3 (1; 4) | 25 (5; 35) | 43 | 99 | 1 (1; 2) | 17 (3; 31) |
| Cereal and grain products | 3254 (22) | 4.0 (3.5; 4.5) | 2.5 (2.0; 3.5) | 3 (1; 14) | 25 (18; 31) | 59 | 100 | 3 (1; 11) | 14 (12; 23) |
| Confectionery | 3096 (100) | NA | 1.0 (0.5; 1.5) | NA | 53 (43; 60) | NA | 100 | NA | 46 (43; 49) |
| Convenience foods | 1602 (54) | 3.5 (3.5; 3.5) | 3.5 (3.0; 3.5) | 3 (2; 5) | 3 (2; 4) | 86 | 84 | 1 (0; 3) | 1 (0; 1) |
| Dairy | 4566 (28) | 3.5 (2.0; 4.0) | 2.0 (1.5; 3.0) | 5 (1; 10) | 21 (16; 25) | 56 | 87 | 4 (0; 5) | 15 (14; 19) |
| Edible oils and oil emulsions | 689 (23) | 3.5 (3.0; 3.5) | 1.0 (0.5; 1.0) | 1 (1; 1) | 1 (1; 1) | 0 | 0 | NA | NA |
| Eggs | 209 (0) | 4.0 (4.0; 4.0) | NA | 0 (0; 0) | NA | 0 | NA | NA | NA |
| Seafood | 1309 (0) | 4.0 (3.5; 4.0) | NA | 1 (1; 2) | NA | 39 | NA | 2 (2; 2) | NA |
| Fruit, vegetables, nuts, and legumes | 4227 (26) | 4.0 (3.5; 4.5) | 2.0 (2.0; 3.0) | 6 (3; 15) | 26 (3; 59) | 39 | 40 | 8 (5; 11) | 52 (49; 52) |
| Meat and meat alternatives | 1955 (68) | 4.0 (3.5; 4.5) | 2.0 (1.5; 3.0) | 1 (1; 2) | 1 (1; 1) | 48 | 64 | 1 (1; 8) | 1 (0; 1) |
| Non-alcoholic beverages | 3101 (45) | 4.0 (2.0; 4.5) | 1.5 (1.0; 2.0) | 9 (7; 11) | 10 (6; 11) | 68 | 71 | 3 (3; 4) | 10 (9; 10) |
| Sauces, dressings and spreads | 3588 (95) | 4.5 (4.0; 5.0) | 2.5 (1.5; 3.5) | 7 (4; 11) | 7 (3; 21) | 100 | 93 | 2 (1; 6) | 5 (1; 16) |
| Snack foods | 1328 (100) | NA | 3.0 (2.0; 4.0) | NA | 4 (2; 7) | NA | 88 | NA | 2 (1; 5) |
| Foods for specific dietary use ‡ | 598 (54) | 4.0 (2.0; 4.5) | 3.0 (2.5; 4.5) | 8 (7; 36) | 6 (3; 18) | 100 | 100 | 5 (2; 5) | 57 (57; 57) |
| Sugars, honey and related products | 772 (100) | NA | 1.0 (0.5; 1.5) | NA | 82 (60; 87) | 100 | 100 | NA | 5 (1; 36) |
© 2017 by the authors. Licensee MDPI, Basel, Switzerland. This article is an open access article distributed under the terms and conditions of the Creative Commons Attribution (CC BY) license (http://creativecommons.org/licenses/by/4.0/).
Share and Cite
Peters, S.A.E.; Dunford, E.; Jones, A.; Ni Mhurchu, C.; Crino, M.; Taylor, F.; Woodward, M.; Neal, B. Incorporating Added Sugar Improves the Performance of the Health Star Rating Front-of-Pack Labelling System in Australia. Nutrients 2017, 9, 701. https://doi.org/10.3390/nu9070701
Peters SAE, Dunford E, Jones A, Ni Mhurchu C, Crino M, Taylor F, Woodward M, Neal B. Incorporating Added Sugar Improves the Performance of the Health Star Rating Front-of-Pack Labelling System in Australia. Nutrients. 2017; 9(7):701. https://doi.org/10.3390/nu9070701
Chicago/Turabian StylePeters, Sanne A. E., Elizabeth Dunford, Alexandra Jones, Cliona Ni Mhurchu, Michelle Crino, Fraser Taylor, Mark Woodward, and Bruce Neal. 2017. "Incorporating Added Sugar Improves the Performance of the Health Star Rating Front-of-Pack Labelling System in Australia" Nutrients 9, no. 7: 701. https://doi.org/10.3390/nu9070701
APA StylePeters, S. A. E., Dunford, E., Jones, A., Ni Mhurchu, C., Crino, M., Taylor, F., Woodward, M., & Neal, B. (2017). Incorporating Added Sugar Improves the Performance of the Health Star Rating Front-of-Pack Labelling System in Australia. Nutrients, 9(7), 701. https://doi.org/10.3390/nu9070701

