Previous Issue
Volume 18, April-1
 
 
nutrients-logo

Journal Browser

Journal Browser

Nutrients, Volume 18, Issue 8 (April-2 2026) – 8 articles

  • Issues are regarded as officially published after their release is announced to the table of contents alert mailing list.
  • You may sign up for e-mail alerts to receive table of contents of newly released issues.
  • PDF is the official format for papers published in both, html and pdf forms. To view the papers in pdf format, click on the "PDF Full-text" link, and use the free Adobe Reader to open them.
Order results
Result details
Section
Select all
Export citation of selected articles as:
22 pages, 1041 KB  
Review
Impact of Probiotics, Prebiotics and Synbiotics Supplementation in Chronic Kidney Disease: A Comprehensive Review of Clinical Trials
by Tiziana Di Renzo, Anna Reale, Stefania Nazzaro, Daniela Iovanna, Daniela Evangelista, Vasuk Gautam, Bruna Guida, Rosa Carrano and Mauro Cataldi
Nutrients 2026, 18(8), 1176; https://doi.org/10.3390/nu18081176 (registering DOI) - 8 Apr 2026
Abstract
Chronic kidney disease (CKD) is a progressive condition associated with metabolic disturbances, systemic inflammation, and the accumulation of gut-derived uremic toxins. Increasing evidence highlights the role of gut microbiota dysbiosis in the progression of CKD through the gut–kidney axis. Consequently, microbiome-targeted nutritional strategies, [...] Read more.
Chronic kidney disease (CKD) is a progressive condition associated with metabolic disturbances, systemic inflammation, and the accumulation of gut-derived uremic toxins. Increasing evidence highlights the role of gut microbiota dysbiosis in the progression of CKD through the gut–kidney axis. Consequently, microbiome-targeted nutritional strategies, including probiotics, prebiotics, and synbiotics, have emerged as promising complementary approaches to modulate intestinal microbial composition and metabolic functions. This review summarizes and critically evaluates the current clinical evidence regarding the use of these interventions in CKD patients. Clinical studies indicate that supplementation with probiotics, prebiotics, and synbiotic formulations may promote beneficial shifts in the composition of the gut microbiota, enhance saccharolytic fermentation, and increase the production of short-chain fatty acids (SCFAs). These changes have been associated with reduced circulating levels of gut-derived uremic toxins such as indoxyl sulfate and p-cresyl sulfate, as well as with the attenuation of systemic inflammation and oxidative stress. However, available trials remain heterogeneous in terms of study design, probiotic strains, prebiotic substrates, dosing regimens, and patient populations, and are frequently limited by small sample sizes and short intervention durations. As a result, evidence for improvements in renal function and long-term clinical outcomes remains inconclusive. While synbiotics may offer theoretical advantages by combining microbial supplementation with targeted substrates that support microbial growth and metabolic activity, current evidence does not consistently demonstrate superior clinical efficacy. Overall, these interventions often improve surrogate biomarkers, but their effects on renal function and hard clinical outcomes remain uncertain. Larger, longer-duration multicenter randomized controlled trials with standardized formulations are needed to establish their clinical utility and to better elucidate microbiota–host interactions in CKD. Advancing this field may support the development of personalized microbiome-based therapeutic strategies aimed at modulating the gut–kidney axis and ultimately improving clinical outcomes in CKD patients. Full article
12 pages, 605 KB  
Article
Effects of Time-Restricted Eating on Circadian Cortisol Secretion and Obesity-Related Metabolic Markers in Cushing’s Disease: A Pilot Study
by Lala Soltanova, Ceren Iseri, Serdar Sahin, Mihriban Kara, Suzan Aydin Guclu, Busra Yesilova, Ilkin Muradov, Banu Betul Kocaman and Pinar Kadioglu
Nutrients 2026, 18(8), 1175; https://doi.org/10.3390/nu18081175 - 8 Apr 2026
Abstract
Purpose: The aims of this study were to evaluate the feasibility of time-restricted eating (TRE) in patients with Cushing’s disease (CD) and assess its effects on body weight and metabolic parameters. Methods: Twelve CD patients in remission with obesity were enrolled in a [...] Read more.
Purpose: The aims of this study were to evaluate the feasibility of time-restricted eating (TRE) in patients with Cushing’s disease (CD) and assess its effects on body weight and metabolic parameters. Methods: Twelve CD patients in remission with obesity were enrolled in a TRE program restricting food intake to 10:00–18:00. Anthropometric data, glycemic and lipid profiles, and circadian cortisol secretion were assessed at baseline and post-intervention. Serum cortisol levels were measured at multiple time points to evaluate diurnal patterns. Results: Nine patients completed the study. Over the 12-week period, participants showed a significant reduction in body weight, with median values decreasing from 93.8 kg [83.1–106.5] to 82.6 kg [76.9–100.3] (p = 0.011). Body mass index (BMI) also declined from 37.6 kg/m2 [34.2–39.7] to 34.4 kg/m2 [32.6–38.3] (p = 0.012). No statistically significant changes were observed in fasting glucose, HbA1c, or lipid parameters. Notably, 24 h urinary free cortisol levels significantly decreased (p = 0.01), and serum cortisol showed a downward trend at all measured time points, with the most pronounced reductions during mid-day and evening hours. No clinical or biochemical evidence of CD relapse was observed during the 12-month follow-up. Conclusions: Time-restricted eating is a feasible and well-tolerated dietary approach for patients with CD in remission, promoting weight loss and modest improvements in metabolic markers and cortisol rhythmicity. Full article
(This article belongs to the Special Issue Intermittent Fasting and Metabolic Effects)
Show Figures

Figure 1

21 pages, 749 KB  
Article
A Randomized, Double-Blind, Placebo-Controlled Study to Evaluate the Effect of Limosilactobacillus fermentum K8-Lb1 Postbiotic on Weight Management and Metabolic Health Outcomes
by Ekaterina Papazova, Susanne Mitschke, Christiane Laue and Jürgen Schrezenmeir
Nutrients 2026, 18(8), 1174; https://doi.org/10.3390/nu18081174 - 8 Apr 2026
Abstract
Background: Recent research has highlighted the potential of postbiotics for addressing obesity and associated metabolic disorders. In this randomized, double-blind clinical trial, the efficacy of a postbiotic product in managing overweight and associated parameters was assessed. Methods: Sixty individuals were randomized into two [...] Read more.
Background: Recent research has highlighted the potential of postbiotics for addressing obesity and associated metabolic disorders. In this randomized, double-blind clinical trial, the efficacy of a postbiotic product in managing overweight and associated parameters was assessed. Methods: Sixty individuals were randomized into two groups: one group (n = 30) received the Postbiotic (heat-killed L. fermentum strain K8-Lb1) and the other (n = 30) a Placebo control. Body weight, waist circumference, body composition, vital signs, blood biomarkers and questionnaires for quality of life, eating behavior, eating control and gastrointestinal symptoms were assessed. Results: After a 12-week intervention, body fat mass (primary parameter) was significantly (p = 0.016) reduced in the Postbiotic group (98.15 ± 3.32% of baseline) compared to the Placebo group (100.41 ± 3.39%). In line with this, body weight (p = 0.047) and waist circumference (p = 0.034) were significantly reduced and visceral fat tended to be reduced (p = 0.053). Accordingly, the Postbiotic group tended (p = 0.066) to feel more in control of their body weight. Despite weight loss, muscle mass tended (p = 0.062) to increase. ALT, AST and GGT tended to be reduced, which may indicate an improvement in liver steatosis. Estimated average glucose (eAG) differed significantly between the groups in individuals with normal fasting glucose levels. The ability to concentrate significantly (p = 0.014) improved. Conclusions: Under an ad libitum diet, the postbiotic L. fermentum strain K8-Lb1 reduced body fat mass, body weight, and waist circumference, improved the ability to concentrate, and showed a trend towards an increase in muscle mass. The results of this pilot trial need confirmation by a pivotal trial. Full article
(This article belongs to the Section Prebiotics, Probiotics and Postbiotics)
Show Figures

Figure 1

14 pages, 2140 KB  
Article
Substituting Refined Flour with Soy Flour Improves Postprandial Glycemic Responses in Staple Foods Without Reducing Consumer Acceptability
by Stephanie I. Okoye, Rachel Carlson, Kenneth Dallmier and Marta Yanina Pepino
Nutrients 2026, 18(8), 1173; https://doi.org/10.3390/nu18081173 - 8 Apr 2026
Abstract
Background/Objectives: Soy flour has been proposed as a functional ingredient to improve the protein and fiber content of foods; however, its metabolic and sensory effects, particularly in individuals at elevated risk for metabolic disease, remain insufficiently characterized. This randomized, repeated-measures study examined [...] Read more.
Background/Objectives: Soy flour has been proposed as a functional ingredient to improve the protein and fiber content of foods; however, its metabolic and sensory effects, particularly in individuals at elevated risk for metabolic disease, remain insufficiently characterized. This randomized, repeated-measures study examined whether substituting refined wheat or corn flour with soy flour influences postprandial glucose and insulin plasma concentrations, appetite ratings, and product acceptability in adults with overweight or obesity. Methods: Participants (N = 17) attended at least three separate visits during which they consumed, in random order, a food matrix with 0% (control), 10%, or 30% soy flour substitution. Food matrices included breads (n = 10), tortillas (n = 10), and arepas (n = 8); some participants completed more than one matrix. Postprandial plasma glucose and insulin concentrations were measured at baseline and at 15, 30, 60, 90, and 120 min post-ingestion. Subjective hunger, satiety, and product liking were assessed using a 10 cm visual analog scale. Results: Compared with the control condition, substituting 30% of refined flour with soy flour significantly reduced the area under the concentration–time curve for postprandial glucose for breads (p = 0.03) and arepas (p = 0.04), and reduced plasma glucose concentrations at 90–120 min for tortillas (p = 0.0009). In contrast, postprandial insulin concentrations and subjective hunger and satiety ratings did not differ across substitution levels or food matrices (all p > 0.05). Importantly, even 30% soy flour substitution maintained product liking. Conclusions: Incorporating up to 30% soy flour may improve postprandial glycemic responses without compromising overall liking, supporting its potential as a practical food reformulation strategy to improve metabolic health in populations at increased risk of metabolic disease. Full article
(This article belongs to the Section Carbohydrates)
Show Figures

Figure 1

12 pages, 2152 KB  
Article
Age-Related Decline in Intestinal Villus Length: A Cross-Sectional Study on the Human Gut
by Francisco Vara-Luiz, Carolina Palma, Ivo Mendes, Francisco Piçarra, Ana Elisa Teles, Filipe Nogueira, Inês Costa-Santos, Gonçalo Nunes, Marta Patita, Irina Mocanu, Sara Pires, Tânia Meira, Ana Vieira, Pedro Pinto-Marques, Paulo Mascarenhas, Iryna Leskiv, Daniel Gomes-Pinto and Jorge Fonseca
Nutrients 2026, 18(8), 1172; https://doi.org/10.3390/nu18081172 - 8 Apr 2026
Abstract
Background/Objectives: There is widespread agreement that age is a significant predictor of impaired response to nutritional support. This is generally attributed to anabolic resistance, with impaired absorption considered irrelevant/non-existent. However, animal models demonstrate age-related structural changes in the intestinal mucosa that may [...] Read more.
Background/Objectives: There is widespread agreement that age is a significant predictor of impaired response to nutritional support. This is generally attributed to anabolic resistance, with impaired absorption considered irrelevant/non-existent. However, animal models demonstrate age-related structural changes in the intestinal mucosa that may reduce absorptive capacity. We aimed to evaluate potential histological changes in the duodenal mucosa associated with aging. Methods: We conducted a single-center observational cross-sectional study. Ambulatory younger (18–45 years) and older (≥70 years) adults referred for upper endoscopy were included and underwent duodenal biopsies. Those biopsies were analyzed and compared for histological/histomorphometric changes, including villus length. Clinical and laboratory data were also recorded. Results: One hundred patients were included (46 men/54 women), 50 aged 18–45 years and 50 aged ≥70 years. There were no duodenal endoscopic changes. The median villus length was 0.35 mm (IQR 0.32–0.41 mm) in older people, lower than in younger adults (0.57 mm; IQR 0.47–0.68 mm) (p < 0.001). In a multivariable regression model including age, sex, and Charlson comorbidity index, age remained inversely associated with villus length (p < 0.001). Older participants also exhibited lower hemoglobin, iron, folate, vitamin B12, albumin and vitamin D levels, despite normal inflammatory markers. Conclusions: Aging is associated with histological changes in the intestinal mucosa, including villus shortening. These findings support the concept of mucosal aging as a distinct biological process. Villus shortening may reflect reduced absorptive surface area and could contribute to age-related nutritional vulnerability, although its functional implications remain to be determined. Full article
Show Figures

Figure 1

21 pages, 3840 KB  
Article
The Association Between Serum Copper Levels and Proteomics in Mild Cognitive Impairment
by Rachaya Rattanakarun, Prapimporn Chattranukulchai Shantavasinkul, Pirada Witoonpanich, Sittiruk Roytrakul and Jintana Sirivarasai
Nutrients 2026, 18(8), 1171; https://doi.org/10.3390/nu18081171 - 8 Apr 2026
Abstract
Background/Objectives: Trace metal homeostasis is regulated by nutritional status and is crucial for maintaining redox balance, vascular function, and neuroinflammation. Dysregulation of systemic copper (Cu) metabolism, especially an elevated level of non-ceruloplasmin-bound copper (NCC), has been linked to oxidative stress and early cognitive [...] Read more.
Background/Objectives: Trace metal homeostasis is regulated by nutritional status and is crucial for maintaining redox balance, vascular function, and neuroinflammation. Dysregulation of systemic copper (Cu) metabolism, especially an elevated level of non-ceruloplasmin-bound copper (NCC), has been linked to oxidative stress and early cognitive decline. However, the nutritional and molecular pathways that connect Cu imbalance to mild cognitive impairment (MCI) are not well understood. Methods: We compared the serum Cu and zinc levels of individuals with normal cognition (NC; n = 116) and MCI (n = 184). An exploratory serum proteomic analysis using pooled samples was conducted to investigate patterns related to Cu dysregulation. We identified proteins using pattern correlation analysis and then performed a protein–protein interaction analysis using STRING and functional annotation and biological and Kyoto Encyclopedia of Genes and Genomes pathways. Results: The individuals with MCI had higher NCC levels than those with NC, indicating disrupted Cu metabolism influenced by nutrition and metabolism. The proteomic analysis revealed changes in proteins related to lipid transport, metal balance, and inflammation, including transthyretin, transferrin, apolipoprotein A-I, alpha-1 antitrypsin, antithrombin III, and alpha-2-macroglobulin, which respond to oxidative stress and vascular injury. Conclusions: In this cross-sectional analysis of baseline data, NCC levels were associated with cognitive status and specific circulating proteomic profiles. These findings suggest a potential relationship between copper-related biomarkers and mild cognitive impairment; however, longitudinal studies are required to clarify temporal relationships and potential mechanistic pathways. Full article
(This article belongs to the Section Micronutrients and Human Health)
Show Figures

Figure 1

17 pages, 1683 KB  
Article
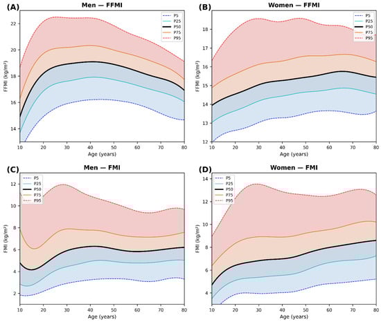
National Reference Values of FFMI and FMI Using Body Composition Chart in Korean Adults
by Hyeoijin Kim, Yong Hee Hong, Young Charles Jang, Youngil Lee, Jae Young Lee, Seon Ho Eom, Sochung Chung and Chul-Hyun Kim
Nutrients 2026, 18(8), 1170; https://doi.org/10.3390/nu18081170 - 8 Apr 2026
Abstract
Background/Objectives: Body mass index (BMI) cannot distinguish fat mass (FM) from fat-free mass (FFM). The fat-free mass index (FFMI = FFM/height2) and fat mass index (FMI = FM/height2) decompose BMI into lean and fat components. We aimed to [...] Read more.
Background/Objectives: Body mass index (BMI) cannot distinguish fat mass (FM) from fat-free mass (FFM). The fat-free mass index (FFMI = FFM/height2) and fat mass index (FMI = FM/height2) decompose BMI into lean and fat components. We aimed to establish the first nationally representative, BIA-based FFMI and FMI reference values for Korean adults, visualize body composition trajectories, and classify obesity subtypes using the body composition chart. Methods: Cross-sectional data from 10,140 participants (4508 men, 5632 women; aged 10–80 years) from KNHANES IX (2022–2023) were analyzed. Multifrequency BIA (InBody 970) measured FFM and FM. Obesity subtypes (%BF ≥ 25% men, ≥35% women) were classified as underlean (FFMI < P5), proportional (P5–P95), or heavy (>P95) relative to an 18–59-year-old reference. Results: In men, FFMI peaked at 19.1 kg/m2 (30–49 years), declining 9.7% by 70–80 years, while FMI remained stable. In women, FMI increased 44% with stable FFMI. Underlean obesity in men rose from 0.7% (30–39 years) to 17.4% (70–80 years), undetected by BMI or waist circumference. Conclusions: These reference values and body composition chart provide practical tools for identifying underlean obesity and assessing body composition beyond BMI in Korean adults. Full article
(This article belongs to the Section Nutrition and Obesity)
Show Figures

Figure 1

19 pages, 298 KB  
Article
A Framework to Assess Food Insecurity Responses Among Colleges and Universities
by Sara R. Gonzalez, Kate Thornton and Alicia Powers
Nutrients 2026, 18(8), 1169; https://doi.org/10.3390/nu18081169 - 8 Apr 2026
Abstract
Background/Objectives: Food insecurity affects college students at nearly twice the rate of US households, with documented impacts on student academic performance, physical and mental health, and socialization. While frameworks exist to conceptualize general food insecurity and food insecurity in specific contexts, researchers and [...] Read more.
Background/Objectives: Food insecurity affects college students at nearly twice the rate of US households, with documented impacts on student academic performance, physical and mental health, and socialization. While frameworks exist to conceptualize general food insecurity and food insecurity in specific contexts, researchers and practitioners lack resources to guide system-level responses to food insecurity on college and university campuses and assess those responses. In this study, we aimed to develop and validate a simple yet comprehensive framework for assessing food insecurity responses within the context of higher education. Methods: We adapted an eight-phase process for framework development: (1) map selected data sources within the multidisciplinary literature, (2) read and categorize selected sources, (3) identify and name concepts, (4) deconstruct and categorize concepts based on their features, (5) group similar concepts together, (6) synthesize concepts into a framework, (7) validate the framework using expert panel review, and (8) revise as necessary. Results: The developed Campus Food Aid Self-assessment (CFAS) framework consists of six dimensions: Student Services and Supports; Involvement; Advocacy; Awareness and Culture Efforts; Education and Training; and Research, Scholarship, and Creative Works. Expert panelists (n = 7) reviewed the proposed framework and confirmed the clarity, comprehensiveness, and representativeness of the proposed dimensions, conceptual definitions, and operational variables. Conclusions: With a comprehensive yet accessible structure, the CFAS framework supports the development, coordination, and improvement of campus-based strategies to address food insecurity and support positive student outcomes. Full article
Previous Issue
Back to TopTop