Good Dietary Control Significantly Improves Anthropometric and Metabolic Parameters and Liver Function in Patients with Type 2 Diabetes Mellitus—A Pilot Study
Abstract
1. Introduction
2. Materials and Methods
2.1. Study Participants
2.2. Determination of the Anthropometric and Metabolic Effects of a Standard or Fiber-Enriched Diabetic Diet in T2DM Patients Following the Diet Under the Close Control of a Dietitian
2.3. Analysis of Diet Quality Scores and Nutritional Knowledge in Patients Under the Care of a Diabetes Clinic but Without Close Supervision of a Dietitian
2.4. Statistical Analysis
3. Results
3.1. Parameter Analysis Between Diabetic Diet (DD) and Fiber-Enriched Diabetic Diet (FD)
3.1.1. Anthropometric Parameters
3.1.2. Metabolic Parameters
3.1.3. Lipid Profile
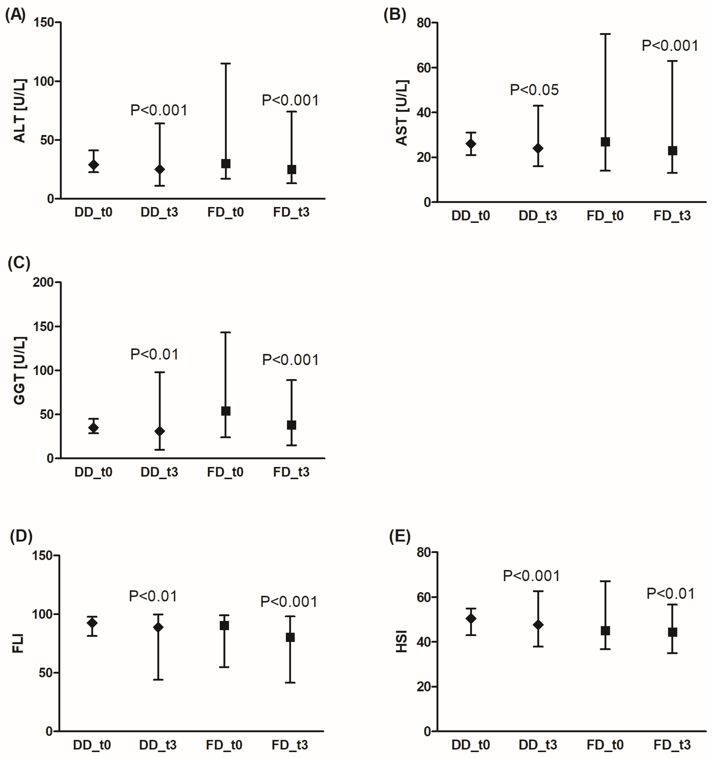
3.1.4. Liver Parameters
3.1.5. Kidney Function
3.2. Parameter Analysis Between Patients Declaring Adherence to a Diet (Diet Group) and Those Not Following a Diet (Non-Diet Group)
3.2.1. Dietary and Lifestyle Habits
3.2.2. Diet Quality Scores and Nutrition Knowledge
3.2.3. Health and Nutritional Beliefs
4. Discussion
5. Conclusions
Supplementary Materials
Author Contributions
Funding
Institutional Review Board Statement
Informed Consent Statement
Data Availability Statement
Acknowledgments
Conflicts of Interest
Abbreviations
| ALT | alanine aminotransferase |
| AST | aspartate aminotransferase |
| BMI | body mass index |
| DD | diabetic diet |
| DQS | diet quality scores |
| eGFR | glomerular filtration rate |
| FD | fiber-enriched diabetic diet |
| FLI | Fatty Liver Index |
| GGTP | gamma glutamyl transferase |
| HbA1c | glycated hemoglobin |
| hGIDI-7 | high-Glycemic-Diet-Index-7 |
| hSDI-4 | high-Sugar-Diet-Index-4 |
| hSFDI-8 | high-Saturated-Fats-Diet-Index-8 |
| HIS | Hepatic Steatosis Index |
| lGIDI-4 | low-Glycemic-Diet-Index-4 |
| NAFLD | non-alcoholic fatty liver disease |
| nHDI-14 | non-Healthy-Diet-Index |
| pHDI-10 | pro-Healthy-Diet-Index |
| T2DM | type 2 diabetes mellitus |
| WHTR | waist-to-height ratio |
References
- Zheng, Y.; Ley, S.H.; Hu, F.B. Global aetiology and epidemiology of type 2 diabetes mellitus and its complications. Nat. Rev. Endocrinol. 2018, 14, 88–98. [Google Scholar] [CrossRef]
- Iwasaki, H.; Yagyu, H.; Shimano, H. A Comprehensive Analysis of Diabetic Complications and Advances in Management Strategies. J. Atheroscler. Thromb. 2025, 32, 550–559. [Google Scholar] [CrossRef] [PubMed]
- Antar, S.A.; Ashour, N.A.; Sharaky, M.; Khattab, M.; Ashour, N.A.; Zaid, R.T.; Roh, E.J.; Elkamhawy, A.; Al-Karmalawy, A.A. Diabetes mellitus: Classification, mediators, and complications; A gate to identify potential targets for the development of new effective treatments. Biomed. Pharmacother. 2023, 168, 115734. [Google Scholar] [CrossRef] [PubMed]
- Tomic, D.; Shaw, J.E.; Magliano, D.J. The burden and risks of emerging complications of diabetes mellitus. Nat. Rev. Endocrinol. 2022, 18, 525–539. [Google Scholar] [CrossRef] [PubMed]
- Committee ADAPP. 5. Facilitating Positive Health Behaviors and Well-being to Improve Health Outcomes: Standards of Care in Diabetes—2025. Diabetes Care 2025, 48, S86–S127. [Google Scholar] [CrossRef]
- Khalid, W.; Arshad, M.S.; Jabeen, A.; Muhammad Anjum, F.; Qaisrani, T.B.; Suleria, H.A.R. Fiber-enriched botanicals: A therapeutic tool against certain metabolic ailments. Food Sci. Nutr. 2022, 10, 3203–3218. [Google Scholar] [CrossRef]
- Geuens, M. Research on Influencing Factors of Food Choice and Food Consumption. Foods 2023, 12, 1306. [Google Scholar] [CrossRef]
- Cena, H.; Calder, P.C. Defining a Healthy Diet: Evidence for the Role of Contemporary Dietary Patterns in Health and Disease. Nutrients 2020, 12, 334. [Google Scholar] [CrossRef]
- Tahreem, A.; Rakha, A.; Rabail, R.; Nazir, A.; Socol, C.T.; Maerescu, C.M.; Aadil, R.M. Fad Diets: Facts and Fiction. Front. Nutr. 2022, 9, 960922. [Google Scholar] [CrossRef]
- Araszkiewicz, A.; Bandurska-Stankiewicz, E.; Borys, S.; Broncel, M.; Budzyński, A.; Cyganek, K.; Cypryk, K.; Cyranka, K.; Czupryniak, L.; Dzida, G. Standards of Care in Diabetes. The position of diabetes Poland–2024. Curr. Top. Diabetes 2023, 3, 1–348. [Google Scholar] [CrossRef]
- Kumar, N.K.; Merrill, J.D.; Carlson, S.; German, J.; Yancy, W.S., Jr. Adherence to Low-Carbohydrate Diets in Patients with Diabetes: A Narrative Review. Diabetes Metab. Syndr. Obes. 2022, 15, 477–498. [Google Scholar] [CrossRef] [PubMed]
- Liu, N.; Heng, C.; Cui, Y.; Wu, D.; Li, L.; Bai, M.; Guo, Y.; Wang, W.; Zhang, Y. Investigating the relationship between inhibitory control and dietary adherence among patients with type 2 diabetes mellitus based on subjective and objective measures. Nutr. Diabetes 2023, 13, 23. [Google Scholar] [CrossRef] [PubMed]
- Wilson, D.; Diji, A.K.-A.; Marfo, R.; Amoh, P.; Duodu, P.A.; Akyirem, S.; Gyamfi, D.; Asare, H.; Armah, J.; Enyan, N.I.E.; et al. Dietary adherence among persons with type 2 diabetes: A concurrent mixed methods study. PLoS ONE 2024, 19, e0302914. [Google Scholar] [CrossRef] [PubMed]
- Bykowska-Derda, A.; Czlapka-Matyasik, M.; Kaluzna, M.; Ruchala, M.; Ziemnicka, K. Diet quality scores in relation to fatness and nutritional knowledge in women with polycystic ovary syndrome: Case-control study. Public Health Nutr. 2021, 24, 3389–3398. [Google Scholar] [CrossRef]
- Jeżewska-Zychowicz, M.G.J.; Wądołowska, L.; Czarnocińska, J.; Galiński, G.; Kołłajtis-Dołowy, A.; Roszkowski, W.; Wawrzyniak, A.; Przybyłowicz, K.; Krusińska, B.; Hawrysz, I.; et al. Kwestionariusz do badania poglądów i zwyczajów żywieniowych dla osób w wieku od 16 do 65 lat, wersja 1.1–kwestionariusz administrowany przez ankietera-badacza. In Kwestionariusz do Badania Poglądów i Zwyczajów Żywieniowych oraz Procedura Opracowania Danych; Wyd. Komitetu Nauki o Żywieniu Człowieka Polskiej Akademii Nauk: Warszawa, Poland, 2014; pp. 3–20, Chapter 1. [Google Scholar]
- Okada, A.; Yamada, G.; Kimura, T.; Hagiwara, Y.; Yamaguchi, S.; Kurakawa, K.I.; Nangaku, M.; Yamauchi, T.; Matsuyama, Y.; Kadowaki, T. Diagnostic ability using fatty liver and metabolic markers for metabolic-associated fatty liver disease stratified by metabolic/glycemic abnormalities. J. Diabetes Invest. 2023, 14, 463–478. [Google Scholar] [CrossRef]
- Bross, R.; Genter, P.; Lu, Y.; Serpas, L.; Campa, D.; Ipp, E. Barriers to Healthy Eating and Diabetes Diet Education: Divergent Perspectives of Patients and Their Providers. Health Educ. Behav. 2022, 49, 658–666. [Google Scholar] [CrossRef]
- Chandalia, M.; Garg, A.; Lutjohann, D.; von Bergmann, K.; Grundy, S.M.; Brinkley, L.J. Beneficial effects of high dietary fiber intake in patients with type 2 diabetes mellitus. N. Engl. J. Med. 2000, 342, 1392–1398. [Google Scholar] [CrossRef]
- Lu, K.; Yu, T.Q.; Cao, X.Y.; Xia, H.; Wang, S.K.; Sun, G.J.; Chen, L.; Liao, W. Effect of viscous soluble dietary fiber on glucose and lipid metabolism in patients with type 2 diabetes mellitus: A systematic review and meta-analysis on randomized clinical trials. Front. Nutr. 2023, 10, 1253312. [Google Scholar] [CrossRef]
- Nitzke, D.; Czermainski, J.; Rosa, C.; Coghetto, C.; Fernandes, S.A.; Carteri, R.B. Increasing dietary fiber intake for type 2 diabetes mellitus management: A systematic review. World J. Diabetes 2024, 15, 1001–1010. [Google Scholar] [CrossRef]
- Reynolds, A.N.; Lang, J.; Brand, A.; Mann, J. Higher fiber higher carbohydrate diets better than lower carbohydrate lower fiber diets for diabetes management: Rapid review with meta-analyses. Obes. Rev. 2025, 26, e13837. [Google Scholar] [CrossRef]
- Liu, X.; Yang, W.S.; Petrick, J.L.; Liao, L.M.; Wang, W.B.; He, N.; Campbell, P.T.; Zhang, Z.F.; Gioyannucci, E.; McGlynn, K.A.; et al. Higher intake of whole grains and dietary fiber are associated with lower risk of liver cancer and chronic liver disease mortality. Nat. Commun. 2021, 12, 6388. [Google Scholar] [CrossRef] [PubMed]
- Kosmalski, M.; Sliwinska, A.; Drzewoski, J. Non-Alcoholic Fatty Liver Disease or Type 2 Diabetes Mellitus-The Chicken or the Egg Dilemma. Biomedicines 2023, 11, 1097. [Google Scholar] [CrossRef] [PubMed]
- Kosmalski, M.; Ziolkowska, S.; Czarny, P.; Szemraj, J.; Pietras, T. The Coexistence of Nonalcoholic Fatty Liver Disease and Type 2 Diabetes Mellitus. J. Clin. Med. 2022, 11, 1375. [Google Scholar] [CrossRef] [PubMed]
- Zhu, Y.; Yang, H.; Zhang, Y.Z.; Rao, S.X.; Mo, Y.F.; Zhang, H.H.; Liang, S.X.; Zhang, Z.; Yang, W.S. Dietary fiber intake and non-alcoholic fatty liver disease: The mediating role of obesity. Front. Public Health 2023, 10, 1038435. [Google Scholar] [CrossRef]
- Attaye, I.; Warmbrunn, M.; Boot, A.N.A.F.; van der Wolk, S.C.; Hutten, B.A.; Daams, J.G.; Herrema, H.; Nieuwdorp, M. A Systematic Review and Meta-analysis of Dietary Interventions Modulating Gut Microbiota and Cardiometabolic Diseases-Striving for New Standards in Microbiome Studies. Gastroenterology 2022, 162, 1911–1932. [Google Scholar] [CrossRef]
- Tacke, F.; Horn, P.; Wong, V.W.S.; Ratziu, V.; Bugianesi, E.; Francque, S.; Zelber-Sagi, S.; Valenti, L.; Roden, M.; Schick, F.; et al. EASL-EASD-EASO Clinical Practice Guidelines on the management of metabolic dysfunction-associated steatotic liver disease (MASLD). J. Hepatol. 2024, 81, 492–542. [Google Scholar] [CrossRef]
- Yannakoulia, M. Eating behavior among type 2 diabetic patients: A poorly recognized aspect in a poorly controlled disease. Rev. Diabet. Stud. 2006, 3, 11–16. [Google Scholar] [CrossRef]
- Al-Salmi, N.; Cook, P.; D’Souza, M.S. Diet Adherence among Adults with Type 2 Diabetes Mellitus: A Concept Analysis. Oman Med. J. 2022, 37, e361. [Google Scholar] [CrossRef]
- Sinska, B.; Kucharska, A. Dietary guidelines in diabetes-why are they so difficult to follow? Zalecenia zywieniowe w cukrzycy-dlaczego tak trudno ich przestrzegac? Pediatr. Endocrinol. Diabetes Metab. 2023, 29, 125–127. [Google Scholar] [CrossRef]
- Diabetes and Nutrition Study Group of the European Association for the Study of Diabetes (EASD); Aas, A.-M.; Axelsen, M.; Churuangsuk, C.; Hermansen, K.; Kendall, C.W.C.; Kahleova, H.; Khan, T.; Lean, M.E.J.; Mann, J.I.; et al. Evidence-based European recommendations for the dietary management of diabetes. Diabetologia 2023, 66, 965–985. [Google Scholar] [CrossRef]
- English, L.K.; Raghavan, R.; Obbagy, J.E.; Callahan, E.H.; Fultz, A.K.; Nevins, J.E.H.; Scinto-Madonich, S.; Reigh, N.A.; Stoody, E.E. Dietary Patterns and Health: Insights From NESR Systematic Reviews to Inform the Dietary Guidelines for Americans. J. Nutr. Educ. Behav. 2024, 56, 75–87. [Google Scholar] [CrossRef]
- Kebbe, M.; Gao, M.; Perez-Cornago, A.; Jebb, S.A.; Piernas, C. Adherence to international dietary recommendations in association with all-cause mortality and fatal and non-fatal cardiovascular disease risk: A prospective analysis of UK Biobank participants. BMC Med. 2021, 19, 134. [Google Scholar] [CrossRef]
- Razaz, J.M.; Rahmani, J.; Varkaneh, H.K.; Thompson, J.; Clark, C.; Abdulazeem, H.M. The health effects of medical nutrition therapy by dietitians in patients with diabetes: A systematic review and meta-analysis: Nutrition therapy and diabetes. Prim. Care Diabetes 2019, 13, 399–408. [Google Scholar] [CrossRef]
- Salvia, M.G.; Quatromoni, P.A. Behavioral approaches to nutrition and eating patterns for managing type 2 diabetes: A review. Am. J. Med. Open 2023, 9, 100034. [Google Scholar] [CrossRef]
- Feraco, A.; Armani, A.; Amoah, I.; Guseva, E.; Camajani, E.; Gorini, S.; Strollo, R.; Padua, E.; Caprio, M.; Lombardo, M. Assessing gender differences in food preferences and physical activity: A population-based survey. Front. Nutr. 2024, 11, 1348456. [Google Scholar] [CrossRef]
- Feraco, A.; Gorini, S.; Camajani, E.; Filardi, T.; Karav, S.; Cava, E.; Strollo, R.; Padua, E.; Caprio, M.; Armani, A.; et al. Gender differences in dietary patterns and physical activity: An insight with principal component analysis (PCA). J. Transl. Med. 2024, 22, 1112. [Google Scholar] [CrossRef]




| Variables | All Participants (n = 50) | Diabetic Diet (n = 25) | Fiber-Enriched Diabetic Diet (n = 25) | p-Value |
|---|---|---|---|---|
| Age (years) | 62.3 ± 8.4 | 61.8 ± 7.7 | 62.7 ± 9.1 | 0.453 |
| Gender: | ||||
| Female n (%) | 38 (76) | 19 (76) | 19 (76) | 1.000 |
| Male n (%) | 12 (24) | 6 (24) | 6 (24) | |
| Duration of diabetes (years) | 4.5 (2.5; 12.0) | 4.0 (2.0; 9.0) | 5.0 (2.0; 12.0) | 0.714 |
| Waist circumference (cm) | 112 ± 10 | 114 ± 11 | 110 ± 10 | 0.676 |
| Body mass (kg) | 93.4 ± 15.8 | 96.7 ± 17.6 | 90.1 ± 13.2 | 0.170 |
| BMI (kg/m2) | 34.6 ± 5.6 | 36.0 ± 6.1 | 33.1 ± 4.8 | 0.232 |
| Overweight (25.0–29.9) n (%) | 10 (20) | 4 (16) | 6 (24) | |
| Class I obesity (30.0–34.9) n (%) | 18 (36) | 6 (24) | 12 (48) | 0.150 |
| Class II obesity (35.0–39.9) n (%) | 13 (26) | 9 (36) | 4 (16) | |
| Class III obesity (≥40.0) n (%) | 9 (18) | 6 (24) | 3 (12) | |
| WHR | 0.95 ± 0.07 | 0.94 ± 0.06 | 0.95 ± 0.08 | 0.171 |
| WHTR | 0.68 ± 0.06 | 0.70 ± 0.07 | 0.67 ± 0.06 | 0.437 |
| Variables | All Respondents (n = 50) | Non-Diet Group (n = 25) | Diet Group (n = 25) | p-Value |
|---|---|---|---|---|
| Gender | ||||
| Female n (%) | 24 (48) | 14 (56) | 10 (40) | 0.258 |
| Male n (%) | 26 (52) | 11 (44) | 15 (60) | |
| Age (years) | 56.8 ± 11.0 | 55.4 ± 10.0 | 58.2 ± 12.0 | 0.374 |
| Place of residence | ||||
| Village n (%) | 5 (10) | 3 (12) | 2 (8) | |
| City 20–100,000 inhabitants n (%) | 10 (20) | 5 (20) | 5 (20) | 0.724 |
| City > 100,000 inhabitants n (%) | 35 (70) | 17 (68) | 18 (72) | |
| Education | ||||
| Primary n (%) | 5 (10) | 4 (16) | 1 (4) | |
| Vocational n (%) | 9 (18) | 5 (20) | 4 (16) | 0.247 |
| Secondary n (%) | 18 (36) | 10 (40) | 8 (32) | |
| Higher n (%) | 18 (36) | 6 (24) | 12 (48) | |
| Physical activity | ||||
| Low n (%) | 20 (40) | 14 (56) | 6 (24) | |
| Moderate n (%) | 30 (60) | 11 (44) | 19 (76) | 0.021 |
| High n (%) | 0 (-) | 0 (-) | 0 (-) | |
| Body mass (kg) | 93.24 ± 21.41 | 100.63 ± 22.18 | 86.16 ± 18.39 | 0.016 |
| BMI (kg/m2) | 31.88 ± 6.56 | 34.34 ± 6.83 | 29.42 ± 5.37 | 0.008 |
| Normal range (18.5–24.9) n (%) | 8 (16) | 2 (8) | 6 (24) | |
| Overweight (25.0–29.9) n (%) | 12 (24) | 5 (20) | 7 (28) | |
| Class I obesity (30.0–34.9) n (%) | 18 (36) | 10 (40) | 8 (32) | |
| Class II obesity (35.0–39.9) n (%) | 6 (12) | 2 (8) | 4 (16) | |
| Class III obesity (≥40.0) n (%) | 6 (12) | 6 (24) | 0 (-) | |
| Waist circumference (cm) | 108.0 (100.0; 116.0) | 110.0 (107.0; 120.0) | 101.0 (90.0; 110.0) | 0.004 |
| WHTR | 0.63 ± 0.08 | 0.67 ± 0.08 | 0.59 ± 0.06 | 0.001 |
| Moderate health risk (<0.5) n (%) | 4 (8) | 1 (4) | 3 (12) | |
| Increased health risk (≥0.5) n (%) | 46 (92) | 24 (96) | 22 (88) |
| Dietary and Lifestyle Habits | All Respondents (n = 50) | Non-Diet Group (n = 25) | Diet Group (n = 25) | p-Value |
|---|---|---|---|---|
| Number of meals consumed per day | ||||
| 2 meals n (%) | 5 (10) | 3 (12) | 2 (8) | |
| 3 meals n (%) | 21 (42) | 13 (52) | 8 (32) | 0.363 |
| 4 meals n (%) | 20 (40) | 8 (32) | 12 (48) | |
| 5 meals or more n (%) | 4 (8) | 1 (4) | 3 (12) | |
| Eating meals at regular times | ||||
| No n (%) | 18 (36) | 12 (48) | 6 (24) | 0.209 |
| Yes, but only some of them n (%) | 22 (44) | 9 (36) | 13 (52) | |
| Yes, all of them n (%) | 10 (20) | 4 (16) | 6 (24) | |
| Snacking between meals | ||||
| Never n (%) | 1 (2) | 1 (4) | 0 (-) | |
| 1–3 times per month n (%) | 4 (8) | 3 (12) | 1 (4) | |
| Once per week n (%) | 7 (14) | 4 (16) | 3 (12) | 0.699 |
| Several times per week n (%) | 12 (24) | 6 (24) | 6 (24) | |
| Once per day n (%) | 20 (40) | 9 (36) | 11 (44) | |
| Several times per day n (%) | 6 (12) | 2 (8) | 4 (16) | |
| Sweetening hot beverages | ||||
| No n (%) | 29 (58) | 11 (44) | 18 (72) | |
| Yes, one teaspoon of sugar or honey n (%) | 14 (28) | 9 (36) | 5 (20) | 0.120 |
| Yes, two or more teaspoons of sugar or honey n (%) | 3 (6) | 3 (12) | 0 (-) | |
| Yes, sweeteners n (%) | 4 (8) | 2 (8) | 2 (8) | |
| Salting prepared meals | ||||
| No n (%) | 33 (66) | 18 (72) | 15 (60) | 0.321 |
| Yes, but only sometimes n (%) | 16 (32) | 6 (24) | 10 (40) | |
| Yes, most meals n (%) | 1 (2) | 1 (4) | 0 (-) | |
| Alcohol consumption | ||||
| No n (%) | 30 (60) | 17 (68) | 13 (52) | 0.248 |
| Yes n (%) | 20 (40) | 8 (32) | 12 (48) | |
| Smoking | ||||
| No n (%) | 35 (70) | 16 (64) | 19 (76) | 0.470 |
| Yes n (%) | 15 (30) | 9 (36) | 6 (24) |
| Diet Quality Scores and Nutrition Knowledge | All Respondents (n = 50) | Non-Diet Group (n = 25) | Diet Group (n = 25) | p-Value |
|---|---|---|---|---|
| pHDI-10 (% points) | 21.50 (13.50; 28.20) | 19.70 (11.20; 24.90) | 23.50 (19.70; 30.60) | 0.184 |
| Low (0–33%) n (%) | 43 (86) | 21 (84) | 22 (88) | |
| Moderate (34–66%) n (%) | 7 (14) | 4 (16) | 3 (12) | |
| High (67–100%) n (%) | 0 (-) | 0 (-) | 0 (-) | |
| nHDI-14 (% points) | 14.65 ± 6.83 | 16.72 ± 7.04 | 12.58 ± 6.07 | 0.031 |
| Low (0–33%) n (%) | 49 (98) | 24 (96) | 25 (100) | |
| Moderate (34–66%) n (%) | 1 (2) | 1 (4) | 0 (-) | |
| High (67–100%) n (%) | 0 (-) | 0 (-) | 0 (-) | |
| hGIDI-7 (% points) | 26.19 ± 12.21 | 29.48 ± 12.85 | 22.89 ± 10.80 | 0.055 |
| Low (0–33%) n (%) | 39 (78) | 17 (68) | 22 (88) | |
| Moderate (34–66%) n (%) | 11 (22) | 8 (32) | 3 (12) | |
| High (67–100%) n (%) | 0 (-) | 0 (-) | 0 (-) | |
| lGIDI-4 (% points) | 19.50 (14.00; 27.50) | 14.00 (8.75; 25.00) | 20.50 (14.75; 30.25) | 0.043 |
| Low (0–33%) n (%) | 43 (86) | 23 (92) | 20 (80) | |
| Moderate (34–66%) n (%) | 6 (12) | 2 (8) | 4 (16) | |
| High (67–100%) n (%) | 1 (2) | 0 (-) | 1 (4) | |
| hSDI-4 (% points) | 14.50 (3.13; 30.63) | 28.00 (4.25; 38.25) | 8.00 (3.13; 21.75) | 0.054 |
| Low (0–33%) n (%) | 41 (82) | 16 (64) | 25 (100) | |
| Moderate (34–66%) n (%) | 9 (18) | 9 (36) | 0 (-) | |
| High (67–100%) n (%) | 0 (-) | 0 (-) | 0 (-) | |
| hSFDI-8 (% points) | 13.94 (8.63; 19.88) | 18.13 (13.25; 21.25) | 12.50 (8.13; 15.38) | 0.015 |
| Low (0–33%) n (%) | 48 (96) | 24 (96) | 24 (96) | |
| Moderate (34–66%) n (%) | 2 (4) | 1 (4) | 1 (4) | |
| High (67–100%) n (%) | 0 (-) | 0 (-) | 0 (-) | |
| Nutrition knowledge level (points) | 11.08 ± 3.35 | 10.84 ± 3.45 | 11.32 ± 3.30 | 0.617 |
| Unsatisfactory (0–8) n (%) | 9 (18) | 6 (24) | 3 (12) | |
| Satisfactory (9–16) n (%) | 39 (78) | 19 (76) | 20 (80) | |
| Good (17–25) n (%) | 2 (4) | 0 (-) | 2 (8) |
| Health and Nutritional Beliefs | All Respondents (n = 50) | Non-Diet Group (n = 25) | Diet Group (n = 25) | p-Value |
|---|---|---|---|---|
| Self-assessment of health status compared to peers | ||||
| Worse than peers n (%) | 23 (46) | 16 (64) | 7 (28) | |
| Same as peers n (%) | 24 (48) | 8 (32) | 16 (64) | 0.072 |
| Better than peers n (%) | 3 (6) | 1 (4) | 2 (8) | |
| Self-assessment of nutrition knowledge | ||||
| Unsatisfactory n (%) | 13 (26) | 7 (28) | 6 (24) | |
| Satisfactory n (%) | 28 (56) | 16 (64) | 12 (48) | 0.105 |
| Good n (%) | 8 (16) | 1 (4) | 7 (28) | |
| Very good n (%) | 1 (2) | 1 (4) | 0 (-) | |
| Self-assessment of nutrition | ||||
| Very bad n (%) | 1 (2) | 1 (4) | 0 (-) | |
| Bad n (%) | 12 (24) | 8 (32) | 4 (16) | 0.222 |
| Good n (%) | 37 (74) | 16 (64) | 21 (84) | |
| Very good n (%) | 0 (-) | 0 (-) | 0 (-) |
Disclaimer/Publisher’s Note: The statements, opinions and data contained in all publications are solely those of the individual author(s) and contributor(s) and not of MDPI and/or the editor(s). MDPI and/or the editor(s) disclaim responsibility for any injury to people or property resulting from any ideas, methods, instructions or products referred to in the content. |
© 2026 by the authors. Licensee MDPI, Basel, Switzerland. This article is an open access article distributed under the terms and conditions of the Creative Commons Attribution (CC BY) license.
Share and Cite
Luzak, B.; Szymańska, P.; Kosmalski, M. Good Dietary Control Significantly Improves Anthropometric and Metabolic Parameters and Liver Function in Patients with Type 2 Diabetes Mellitus—A Pilot Study. Nutrients 2026, 18, 222. https://doi.org/10.3390/nu18020222
Luzak B, Szymańska P, Kosmalski M. Good Dietary Control Significantly Improves Anthropometric and Metabolic Parameters and Liver Function in Patients with Type 2 Diabetes Mellitus—A Pilot Study. Nutrients. 2026; 18(2):222. https://doi.org/10.3390/nu18020222
Chicago/Turabian StyleLuzak, Bogusława, Patrycja Szymańska, and Marcin Kosmalski. 2026. "Good Dietary Control Significantly Improves Anthropometric and Metabolic Parameters and Liver Function in Patients with Type 2 Diabetes Mellitus—A Pilot Study" Nutrients 18, no. 2: 222. https://doi.org/10.3390/nu18020222
APA StyleLuzak, B., Szymańska, P., & Kosmalski, M. (2026). Good Dietary Control Significantly Improves Anthropometric and Metabolic Parameters and Liver Function in Patients with Type 2 Diabetes Mellitus—A Pilot Study. Nutrients, 18(2), 222. https://doi.org/10.3390/nu18020222

