Low-Carbohydrate Diet and Metabolic Syndrome Risk in Korean Adults: A Korea National Health and Nutrition Examination Survey Study
Abstract
1. Introduction
2. Materials and Methods
2.1. Study Design and Data Source
2.2. Variables
2.2.1. Assessment of Dietary Intake and Low-Carbohydrate Diet Score
2.2.2. Assessment of Metabolic Syndrome
2.2.3. Covariates
2.3. Statistical Analysis
3. Results
3.1. Low-Carbohydrate-Diet Score and Percentage of Total Daily Energy
3.2. Comparison of the Mets Category and LCD Types with Covariates
3.3. Multivariate Logistic Regression Models for Association of LCD and Covariates
3.4. Association Between the MetS with Covariates and Metabolic Predictors
Sex-Stratified Association Between MetS and LCDs Group with Covariates
3.5. Subgroup Analysis
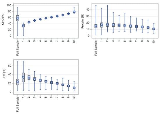
3.5.1. Macronutrient Intake by Income Level
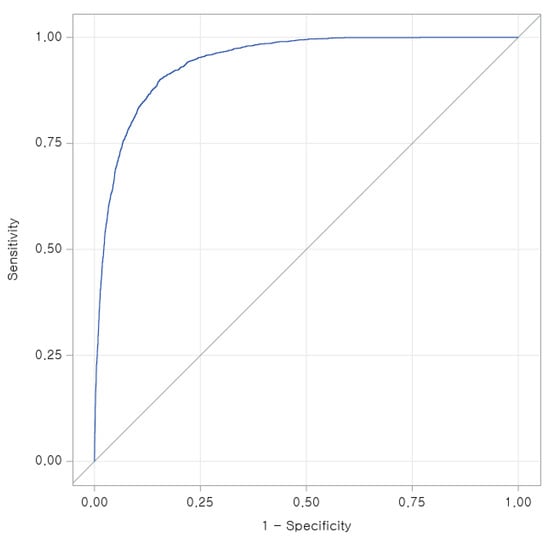
3.5.2. Prediction of Metabolic Syndrome Among Adults in the LCD Group
4. Discussion
4.1. Limitations
4.2. Policy Implications
5. Conclusions
Supplementary Materials
Author Contributions
Funding
Institutional Review Board Statement
Informed Consent Statement
Data Availability Statement
Conflicts of Interest
Abbreviations
| BMI | Body Mass Index |
| BP | Blood Pressure |
| DBP | Diastolic Blood Pressure |
| FPG | Fasting Plasma Glucose |
| HDL | High-Density Lipoprotein Cholesterol |
| KNHANES | Korea National Health and Nutrition Examination Survey |
| LCD | Low-Carbohydrate Diet |
| LCD_dec | Low-Carbohydrate Diet Score Deciles |
| LDL | Low-Density Lipoprotein Cholesterol |
| MetS | Metabolic Syndrome |
| SBP | Systolic Blood Pressure |
| TG | Triglycerides |
References
- Alberti, K.G.M.M.; Eckel, R.H.; Grundy, S.M.; Zimmet, P.Z.; Cleeman, J.I.; Donato, K.A.; Smith, S.C. Harmonizing the metabolic syndrome. Circulation 2009, 120, 1640–1645. [Google Scholar] [CrossRef] [PubMed]
- Saklayen, M.G. The Global Epidemic of the Metabolic Syndrome. Curr. Hypertens. Rep. 2018, 20, 12. [Google Scholar] [CrossRef] [PubMed]
- Obeidat, A.A.; Ahmad, M.N.; Ghabashi, M.A.; Alazzeh, A.Y.; Habib, S.M.; Abu Al-Haijaa, D.; Azzeh, F.S. Developmental Trends of Metabolic Syndrome in the Past Two Decades: A Narrative Review. J. Clin. Med. 2025, 14, 2402. [Google Scholar] [CrossRef] [PubMed]
- Muscogiuri, G.; El Ghoch, M.; Colao, A.; Hassapidou, M.; Yumuk, V.; Busetto, L. European Guidelines for Obesity Management in Adults with a Very Low-Calorie Ketogenic Diet: A Systematic Review and Meta-Analysis. Obes. Facts 2021, 14, 222–245. [Google Scholar] [CrossRef]
- Schek, A.; Braun, H.; Carlsohn, A.; Grosshauser, M.; König, D.; Lampen, A.; Mosler, S.; Nieß, A.; Oberritter, H.; Schäbethal, K.; et al. Position Stand Position of the Working Group Sports Nutrition of The German Nutrition Society (DGE): Fats, Fat Loading, and Sports Performance. Ger. J. Sports Med. 2020, 71, 199–206. [Google Scholar] [CrossRef]
- Sievenpiper, J.L. Low-carbohydrate diets and cardiometabolic health: The importance of carbohydrate quality over quantity. Nutr. Rev. 2020, 78, 69–77. [Google Scholar] [CrossRef]
- Ahmed, S.R.; Bellamkonda, S.; Zilbermint, M.; Wang, J.; Kalyani, R.R. Effects of the low carbohydrate, high fat diet on glycemic control and body weight in patients with type 2 diabetes: Experience from a community-based cohort. BMJ Open Diabetes Res. Care 2020, 8, e000980. [Google Scholar] [CrossRef]
- Gardner, C.D.; Trepanowski, J.F.; Del Gobbo, L.C.; Hauser, M.E.; Rigdon, J.; Ioannidis, J.P.A.; Desai, M.; King, A.C. Effect of Low-Fat vs Low-Carbohydrate Diet on 12-Month Weight Loss in Overweight Adults and the Association With Genotype Pattern or Insulin Secretion: The DIETFITS Randomized Clinical Trial. JAMA 2018, 319, 667–679. [Google Scholar] [CrossRef]
- Shai, I.; Schwarzfuchs, D.; Henkin, Y.; Shahar, D.R.; Witkow, S.; Greenberg, I.; Golan, R.; Fraser, D.; Bolotin, A.; Vardi, H.; et al. Weight loss with a low-carbohydrate, Mediterranean, or low-fat diet. N. Engl. J. Med. 2008, 359, 229–241. [Google Scholar] [CrossRef]
- Tan, L.J.; Kim, S.A.; Shin, S. Association between Three Low-Carbohydrate Diet Scores and Lipid Metabolism among Chinese Adults. Nutrients 2020, 12, 1307. [Google Scholar] [CrossRef]
- Zhou, X. Hepatic and lipid changes following low-carbohydrate diets in Chinese adults. Nutrients 2021, 13, 2958. [Google Scholar]
- Bijari, M.; Jangjoo, S.; Emami, N.; Raji, S.; Mottaghi, M.; Moallem, R.; Jangjoo, A.; Saberi, A. The Accuracy of Visceral Adiposity Index for the Screening of Metabolic Syndrome: A Systematic Review and Meta-Analysis. Int. J. Endocrinol. 2021, 2021, 6684627. [Google Scholar] [CrossRef] [PubMed]
- Lee, Y.; Park, S. Carbohydrate-rich diets and health outcomes in East Asian populations: A review. Asia Pac. J. Clin. Nutr. 2020, 29, 471–480. [Google Scholar]
- Li, X.; Li, M.; Xu, L.; Zeng, X.; Zhang, T.; Yang, H.; Li, H.; Zhou, Z.; Wang, Y.; Zhang, C.; et al. Associations between low-carbohydrate and low-fat diets and hepatic steatosis. Obes. Rev. 2022, 30, 2317–2328. [Google Scholar] [CrossRef]
- Fu, M.; Yang, D.; Luo, Y.; Zou, Y. Dietary patterns and metabolic syndrome amongst adult residents: A cross-sectional study in a rapidly urbanized Southern Chinese city. Medicine 2024, 103, 100087. [Google Scholar] [CrossRef] [PubMed]
- Liu, J.; Lu, W.; Lv, Q.; Wang, Y.; Xu, X.; He, Y.; Chang, H.; Zhao, Y.; Zhang, X.; Zang, X.; et al. Impact of Dietary Patterns on Metabolic Syndrome in Young Adults: A Cross-Sectional Study. Nutrients 2024, 16, 2890. [Google Scholar] [CrossRef]
- Zhu, L.; Bhimla, A.; Mann, A.; Hsueh, L.; Ma, G.X. Distinct metabolic syndrome profiles across Asian American subpopulations. Sci. Rep. 2025, 15, 29518. [Google Scholar] [CrossRef]
- Variyam, J.N. Factors Affecting the Macronutrient Intake of U.S. Adults; United States Department of Agriculture, Economic Research Service: Washington, DC, USA, 2003; Volume 101, pp. 1301–1310. [CrossRef]
- Park, S.; Jang, M.J.; Park, M.Y.; Kim, J.M.; Shin, S. Interactive effects of the low-carbohydrate diet score and genetic risk score on Hypo-HDL-cholesterolemia among Korean adults: A cross-sectional analysis from the Ansan and Ansung Study of the Korean Genome and Epidemiology Study. Food Sci. Nutr. 2022, 10, 3106–3116. [Google Scholar] [CrossRef]
- Choi, M.K.; Kang, M.H.; Park, H. Association between carbohydrate intake and metabolic syndrome in Korean adults. Nutrients 2019, 11, 2357. [Google Scholar]
- Choi, Y.J. Carbohydrate quality and metabolic syndrome risk among Korean adults. Nutrients 2023, 15, 311. [Google Scholar]
- Ha, K.; Kim, K.; Joung, H. Dietary carbohydrate intake and its relationship with metabolic syndrome in Korean adults: KNHANES analysis. Nutrients 2022, 14, 740. [Google Scholar]
- Halton Thomas, L.; Willett Walter, C.; Liu, S.; Manson JoAnn, E.; Albert Christine, M.; Rexrode, K.; Hu Frank, B. Low-Carbohydrate-Diet Score and the Risk of Coronary Heart Disease in Women. N. Engl. J. Med. 2006, 355, 1991–2002. [Google Scholar] [CrossRef] [PubMed]
- Zhang, Y. Low-carbohydrate diets and cardiometabolic markers in Asian cohorts. Nutr. Metab. Cardiovasc. Dis. 2019, 29, 97–106. [Google Scholar]
- Lim, S. High-carbohydrate dietary patterns in Korea. J. Acad. Nutr. Diet. 2020, 120, 227–239. [Google Scholar]
- Dehghan, M. Associations of carbohydrate intake with cardiovascular mortality: The PURE study. Lancet 2017, 390, 2050–2062. [Google Scholar] [CrossRef]
- Seidelmann, S.B.; Claggett, B.; Cheng, S.; Henglin, M.; Shah, A.; Steffen, L.M.; Folsom, A.R.; Rimm, E.B.; Willett, W.C.; Solomon, S.D. Dietary carbohydrate intake and mortality: A prospective cohort study and meta-analysis. Lancet Public Health 2018, 3, e419–e428. [Google Scholar] [CrossRef]
- He, X.; Rebholz, C.M.; Daya, N.; Lazo, M.; Selvin, E. Alcohol consumption and incident diabetes: The Atherosclerosis Risk in Communities (ARIC) study. Diabetologia 2019, 62, 770–778. [Google Scholar] [CrossRef]
- Ha, K.; Song, Y. Low-Carbohydrate Diets in Korea: Why Does It Matter, and What Is Next? J. Obes. Metab. Syndr. 2021, 30, 222–232. [Google Scholar] [CrossRef]
- Jung, S.; Park, Y.J. Associations of low-carbohydrate diets patterns with the risk of hyperuricemia: A national representative cross-sectional study in Korea. Nutr. J. 2025, 24, 59. [Google Scholar] [CrossRef]
- Mayén, A.-L.; Marques-Vidal, P.; Paccaud, F.; Bovet, P.; Stringhini, S. Socioeconomic determinants of dietary patterns in low- and middle-income countries: A systematic review1234. Am. J. Clin. Nutr. 2014, 100, 1520–1531. [Google Scholar] [CrossRef]
- Kim, J.; Kang, S.; Kang, H. Normal-Weight Obesity and Metabolic Syndrome in Korean Adults: A Population-Based Cross-Sectional Study. Healthcare 2023, 11, 2303. [Google Scholar] [CrossRef] [PubMed]
- Kim, Y.; Choi, Y.; Lee, K.N.; Sang, H.; Han, K.; Kim, S.; Rhee, S.Y. Disparities in trends of metabolic syndrome in Korea from 2007 to 2022 by age, sex, and lifestyle factors. Sci. Rep. 2021, 15, 21185. [Google Scholar] [CrossRef] [PubMed]
- Jang, H. Socioeconomic gradients in Korean dietary patterns. Public Health Nutr. 2022, 25, 1–11. [Google Scholar]
- Kuwabara, W.M.T.; Yokota, C.N.F.; Curi, R.; Alba-Loureiro, T.C. Obesity and Type 2 Diabetes mellitus induce lipopolysaccharide tolerance in rat neutrophils. Sci. Rep. 2018, 8, 17534. [Google Scholar] [CrossRef] [PubMed]
- Huang, Y.-C.; Huang, J.-C.; Lin, C.-I.; Chien, H.-H.; Lin, Y.-Y.; Wang, C.-L.; Liang, F.-W.; Dai, C.-Y.; Chuang, H.-Y. Comparison of Innovative and Traditional Cardiometabolic Indices in Estimating Atherosclerotic Cardiovascular Disease Risk in Adults. Diagnostics 2021, 11, 603. [Google Scholar] [CrossRef]
- Hsu, W.C. BMI and metabolic risk among Asians: A re-analysis. Diabetes Care 2015, 38, 150–158. [Google Scholar] [CrossRef]
- Chung, S. Plant-based low-carbohydrate diets and metabolic health in Asia. Clin. Nutr. 2021, 40, 2051–2059. [Google Scholar]
- Brinkworth, G.D.; Noakes, M.; Buckley, J.D.; Keogh, J.B.; Clifton, P.M. Long-term effects of a very-low-carbohydrate weight loss diet compared with an isocaloric low-fat diet after 12 mo23. Am. J. Clin. Nutr. 2009, 90, 23–32. [Google Scholar] [CrossRef]
- Silverii, G.A.; Cosentino, C.; Santagiuliana, F.; Rotella, F.; Benvenuti, F.; Mannucci, E.; Cresci, B. Effectiveness of low-carbohydrate diets for long-term weight loss in obese individuals: A meta-analysis of randomized controlled trials. Diabetes Obes. Metab. 2022, 24, 1458–1468. [Google Scholar] [CrossRef]
- Pinsawas, B.; Surawit, A.; Mongkolsucharitkul, P.; Pongkunakorn, T.; Suta, S.; Manosan, T.; Ophakas, S.; Pumeiam, S.; Sranacharoenpong, K.; Mayurasakorn, K. Asian Low-Carbohydrate Diet with Increased Whole Egg Consumption Improves Metabolic Outcomes in Metabolic Syndrome: A 52-Week Intervention Study. J. Nutr. 2024, 154, 3331–3345. [Google Scholar] [CrossRef]
- Goldstein, T.; Kark, J.D.; Berry, E.M.; Adler, B.; Ziv, E.; Raz, I. The effect of a low carbohydrate energy-unrestricted diet on weight loss in obese type 2 diabetes patients–a randomized controlled trial. E-SPEN Eur. E-J. Clin. Nutr. Metab. 2011, 6, e178–e186. [Google Scholar] [CrossRef]
- Caprio, M.; Infante, M.; Moriconi, E.; Armani, A.; Fabbri, A.; Mantovani, G.; Mariani, S.; Lubrano, C.; Poggiogalle, E.; Migliaccio, S.; et al. Very-low-calorie ketogenic diet (VLCKD) in the management of metabolic diseases: Systematic review and consensus statement from the Italian Society of Endocrinology (SIE). J. Endocrinol. Investig. 2019, 42, 1365–1386. [Google Scholar] [CrossRef]



| Variables | Carbohydrate Diet Intake | p | |||||
|---|---|---|---|---|---|---|---|
| Decile 1 | Decile 2 | Decile 3 | |||||
| (High) | (Moderate) | (Low) | |||||
| N | % | N | % | N | % | ||
| Total | 3000 | 31.2 | 2110 | 21.9 | 4507 | 46.9 | |
| MetS | <0.001 | ||||||
| No | 2080 | 21.6 | 1557 | 16.2 | 3572 | 37.1 | |
| Yes | 920 | 9.6 | 553 | 5.8 | 935 | 9.7 | |
| Age (Years) | 56.35 ± 0.46 | 49.45 ± 0.48 | 44.73 ± 0.34 | <0.001 | |||
| Age group (Years) | 0.048 | ||||||
| 20–39 | 322 | 3.3 | 437 | 4.5 | 1456 | 15.1 | |
| 40–49 | 328 | 3.4 | 350 | 3.6 | 942 | 9.8 | |
| 50–64 | 917 | 9.5 | 707 | 7.4 | 1290 | 13.4 | |
| ≥65 | 1433 | 14.9 | 616 | 6.4 | 819 | 8.5 | |
| Sex | <0.001 | ||||||
| Male | 1282 | 13.3 | 960 | 10 | 1964 | 20.4 | |
| Female | 1718 | 17.9 | 1150 | 12 | 2543 | 26.4 | |
| Education | <0.001 | ||||||
| Elementary or less | 950 | 9.9 | 306 | 3.2 | 354 | 3.7 | |
| Middle school | 403 | 4.2 | 217 | 2.3 | 291 | 3 | |
| High school | 909 | 9.5 | 746 | 7.8 | 1523 | 15.8 | |
| College or higher | 738 | 7.7 | 841 | 8.7 | 2339 | 24.3 | |
| Income | <0.001 | ||||||
| Lowest | 851 | 8.8 | 534 | 5.6 | 979 | 10.2 | |
| Low-middle | 803 | 8.3 | 527 | 5.5 | 1096 | 11.4 | |
| High-middle | 729 | 7.6 | 523 | 5.4 | 1196 | 12.4 | |
| Highest | 617 | 6.4 | 526 | 5.5 | 1236 | 12.9 | |
| Residence | |||||||
| Urban | 2134 | 22.2 | 1664 | 17.3 | 3775 | 39.3 | <0.001 |
| Rural | 866 | 9 | 446 | 4.6 | 732 | 7.6 | |
| Smoking | <0.001 | ||||||
| Yes | 1658 | 17.2 | 1060 | 11.0 | 1769 | 18.4 | |
| No | 1342 | 14.0 | 1050 | 10.9 | 1638 | 17.0 | |
| Alcohol consumption | 0.001 | ||||||
| Yes | 2064 | 21.5 | 1400 | 14.6 | 2546 | 26.5 | |
| No | 936 | 9.7 | 710 | 7.4 | 1961 | 20.4 | |
| Physical activity | 0.002 | ||||||
| Yes | 2506 | 1765 | 18.4 | 3725 | 38.7 | ||
| No | 494 | 345 | 3.6 | 782 | 8.1 | ||
| BMI Categories | 0.046 | ||||||
| Underweight | 106 | 1.1 | 110 | 1.1 | 398 | 4.1 | |
| Normal | 1041 | 10.8 | 727 | 7.6 | 1628 | 16.9 | |
| Overweight | 678 | 7.1 | 495 | 5.1 | 925 | 9.6 | |
| Obese | 983 | 10.2 | 640 | 6.7 | 1258 | 13.1 | |
| Very obese | 192 | 2 | 138 | 1.4 | 298 | 3.1 | |
| Obesity and Metabolic variables (M ± SD) | |||||||
| Waist circumference (cm) | 84.87 ± 0.24 | 84.51 ± 0.30 | 83.39 ± 0.21 | <0.001 | |||
| SBP (mmHg) | 120.93 ± 0.40 | 118.92 ± 0.41 | 116.27 ± 0.29 | <0.001 | |||
| DBP (mmHg) | 74.44 ± 0.24 | 74.67 ± 0.26 | 73.51 ± 0.19 | <0.001 | |||
| BMI (kg/m2) | 24.21 ± 0.08 | 24.29 ± 0.11 | 24.18 ± 0.07 | 0.004 | |||
| Fasting glucose (mg/dL) | 102.77 ± 0.58 | 99.99 ± 0.50 | 98.62 ± 0.37 | 0.021 | |||
| Triglycerides (mg/dL) | 134.02 ± 2.17 | 133.15 ± 2.69 | 125.26 ± 1.70 | 0.040 | |||
| HDL-cholesterol (mg/dL) | 54.70 ± 0.33 | 56.57 ± 0.35 | 58.45 ± 0.28 | <0.001 | |||
| LDL-cholesterol (mg/dL) | 112.24 ± 0.90 | 115.51 ± 1.06 | 117.35 ± 0.60 | 0.166 | |||
| Variables | Metabolic Syndrome (Yes) | |||||
|---|---|---|---|---|---|---|
| Model 1 a | Model 2 b | |||||
| OR | 95% CI | p | aOR | 95% CI | p | |
| Low carbohydrate diet intake | ||||||
| Decile 1 (High) | 1.00 | 1.00 | ||||
| Decile 2 (Medium) | 0.98 | 0.84–1.16 | 0.50 | 1.15 | 0.92–1.44 | 0.49 |
| Decile 3 (Low) | 1.14 | 1.01–1.26 | 0.02 | 1.15 | 1.045–1.40 | 0.02 |
| Age (Years) | 1.03 | 1.02–1.06 | <0.001 | 1.03 | 1.022–1.04 | <0.001 |
| Sex | ||||||
| Male | 1.00 | |||||
| Female | 0.32 | 0.266–0.381 | <0.001 | |||
| BMI & Metabolic Indicators | ||||||
| BMI | 1.25 | 1.22–1.29 | <0.001 | |||
| SBP | 1.05 | 1.04–1.05 | <0.001 | |||
| DBP | 1.04 | 1.02–1.05 | <0.001 | |||
| Glucose | 1.04 | 1.028–1.04 | <0.001 | |||
| Triglycerides | 1.01 | 1.012–1.02 | <0.001 | |||
| HDL-cholesterol | 0.91 | 0.910–0.92 | <0.001 | |||
| LDL-cholesterol | 0.99 | 0.99–1.02 | 0.65 | |||
| Metabolic Syndrome (Yes) | ||||||
|---|---|---|---|---|---|---|
| Variable | Male | Female | ||||
| AOR | 95% CI | p | AOR | 95% CI | p | |
| Carbohydrate diet intake | ||||||
| Decile 1 (High) | 1.00 | |||||
| Decile 2 (Medium) | 0.98 | 0.59–1.61 | 0.92 | 1.41 | 0.44–4.51 | 0.57 |
| Decile 3 (Low) | 1.02 | 0.68–1.53 | 0.93 | 1.71 | 0.61–4.84 | 0.31 |
| Age (Years) | 1.01 | 1.00–1.03 | 0.03 | 1.08 | 1.05–1.12 | <0.001 |
| Income | ||||||
| Lowest | 1.47 | 0.88–2.46 | 0.14 | 4.36 | 1.33–14.36 | 0.02 |
| Low-middle | 1.31 | 0.79–2.17 | 0.30 | 0.66 | 0.14–3.01 | 0.59 |
| High-middle | 1.02 | 0.59–1.75 | 0.94 | 0.76 | 0.17–3.50 | 0.73 |
| Highest | 1.00 | |||||
| Smoking | ||||||
| Yes | 1.42 | 1.05–1.92 | 0.02 | 0.59 | 0.26–1.34 | 0.20 |
| No | 1.00 | |||||
| Alcohol use | ||||||
| Yes | 0.73 | 0.51–1.07 | 0.10 | 1.51 | 0.60–3.82 | 0.38 |
| No | 1.00 | |||||
| Physical activity | ||||||
| Yes | 0.94 | 0.58–1.52 | 0.80 | 0.60 | 0.17–2.13 | 0.43 |
| No | 1.00 | |||||
| Clinical Metabolic indicators | ||||||
| Waist circumference | 0.77 | 0.76–0.78 | <0.001 | 1.31 | 1.29–1.32 | <0.001 |
| SBP | 1.01 | 1.01–1.02 | <0.001 | 0.99 | 0.99–0.99 | <0.001 |
| DBP | 0.95 | 0.94–0.95 | <0.001 | 1.06 | 1.05–1.07 | <0.001 |
| Glucose | 1.00 | 1.00–1.00 | 0.07 | 1.00 | 1.00–1.01 | 0.073 |
| Triglycerides | 1.00 | 0.99–1.00 | 0.23 | 1.00 | 1.00–1.01 | 0.231 |
| HDL-cholesterol | 1.05 | 1.05–1.06 | <0.001 | 0.95 | 0.95–0.96 | <0.001 |
| LDL-cholesterol | 1.00 | 1.00–1.01 | 0.14 | 1.00 | 0.99–1.00 | 0.138 |
| Variable | Lowest | Low-Middle | High-Middle | Highest | p |
|---|---|---|---|---|---|
| CHO intake | 60.60 ± 13.50 | 59.49 ± 13.58 | 59.13 ± 12.83 | 57.85 ± 12.98 | <0.001 |
| Fat intake | 21.69 ± 9.60 | 22.56 ± 9.86 | 22.88 ± 9.38 | 24.13 ± 9.63 | <0.001 |
| Protein intake | 14.87 ± 4.18 | 15.06 ± 4.09 | 15.39 ± 4.10 | 15.50 ± 4.04 | <0.001 |
| Predictor | Adjusted OR | 95% CI | p |
|---|---|---|---|
| Income 1 (Lowest) | 1.366 | 1.132–1.649 | <0.001 |
| Income 2 (Low-middle) | 1.138 | 0.939–1.381 | 0.189 |
| Income 3 (High-middle) | 1.011 | 0.836–1.223 | 0.908 |
| Income 4 (Highest) | 1.000 |
Disclaimer/Publisher’s Note: The statements, opinions and data contained in all publications are solely those of the individual author(s) and contributor(s) and not of MDPI and/or the editor(s). MDPI and/or the editor(s) disclaim responsibility for any injury to people or property resulting from any ideas, methods, instructions or products referred to in the content. |
© 2026 by the authors. Licensee MDPI, Basel, Switzerland. This article is an open access article distributed under the terms and conditions of the Creative Commons Attribution (CC BY) license.
Share and Cite
Rajaguru, V.; Kim, J.; Chapagain, D.D.; Kim, T.H.; Lee, S.G.; Han, W.M. Low-Carbohydrate Diet and Metabolic Syndrome Risk in Korean Adults: A Korea National Health and Nutrition Examination Survey Study. Nutrients 2026, 18, 178. https://doi.org/10.3390/nu18010178
Rajaguru V, Kim J, Chapagain DD, Kim TH, Lee SG, Han WM. Low-Carbohydrate Diet and Metabolic Syndrome Risk in Korean Adults: A Korea National Health and Nutrition Examination Survey Study. Nutrients. 2026; 18(1):178. https://doi.org/10.3390/nu18010178
Chicago/Turabian StyleRajaguru, Vasuki, Jeoungmi Kim, Durga Datta Chapagain, Tae Hyun Kim, Sang Gyu Lee, and Whiejong M. Han. 2026. "Low-Carbohydrate Diet and Metabolic Syndrome Risk in Korean Adults: A Korea National Health and Nutrition Examination Survey Study" Nutrients 18, no. 1: 178. https://doi.org/10.3390/nu18010178
APA StyleRajaguru, V., Kim, J., Chapagain, D. D., Kim, T. H., Lee, S. G., & Han, W. M. (2026). Low-Carbohydrate Diet and Metabolic Syndrome Risk in Korean Adults: A Korea National Health and Nutrition Examination Survey Study. Nutrients, 18(1), 178. https://doi.org/10.3390/nu18010178

