Association of Diet Quality with Depression, Anxiety, and Comorbidity Symptoms in Chinese School-Aged Children
Abstract
1. Introduction
2. Materials and Methods
2.1. Study Population
2.2. Dietary Data Collection and Assessment
2.3. Mental Health Assessment and Scoring
2.4. Covariates
2.5. Statistical Analysis
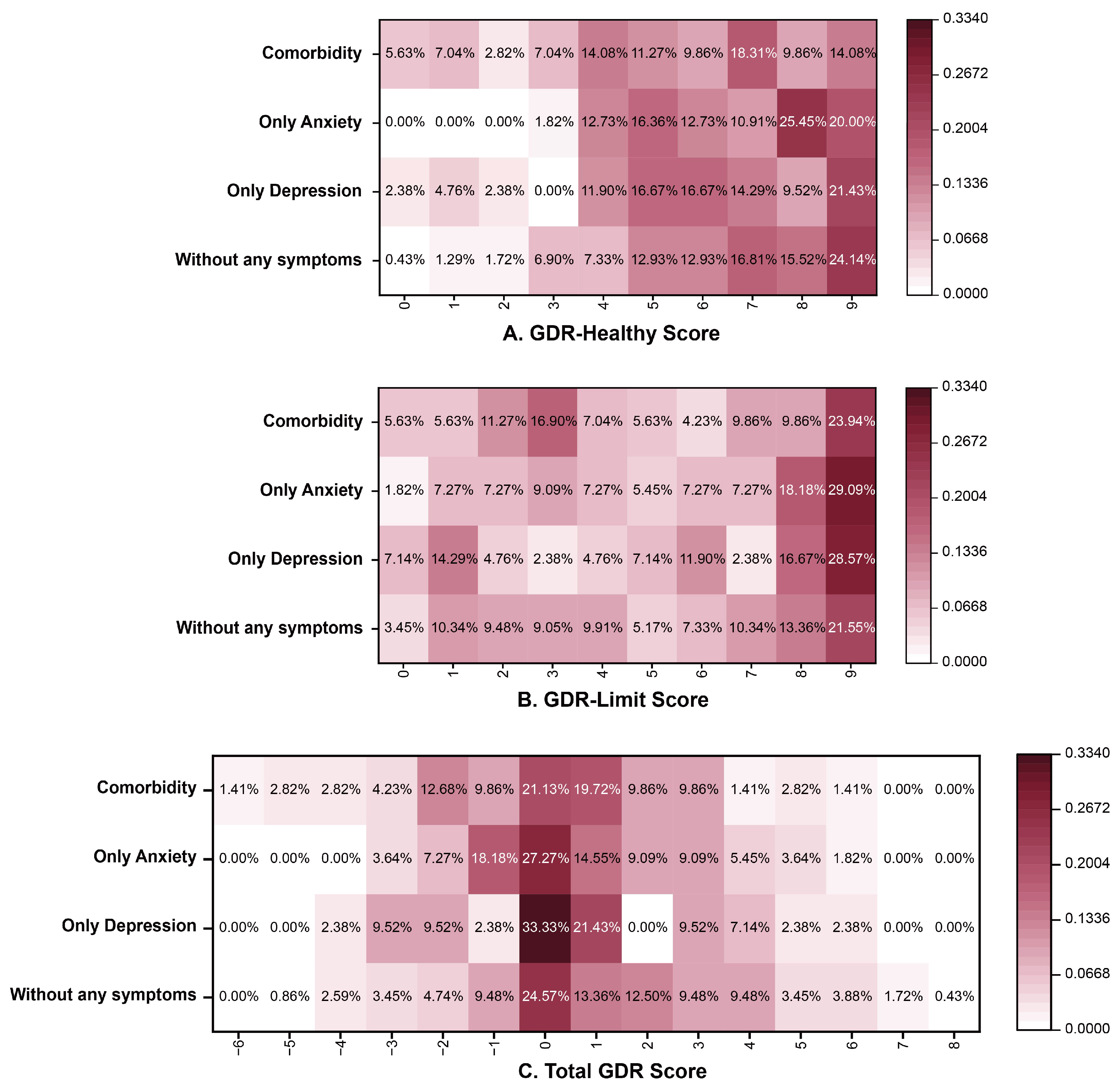
3. Results
3.1. Characteristics and Prevalence of Depression and Anxiety Symptoms
3.2. Association Between GDR Scores and Depression and Anxiety Symptoms
3.3. Association Between GDR-Healthy/GDR-Limit Scores and Depression and Anxiety Symptoms
3.4. Subgroup Analysis
4. Discussion
5. Conclusions
Supplementary Materials
Author Contributions
Funding
Institutional Review Board Statement
Informed Consent Statement
Data Availability Statement
Acknowledgments
Conflicts of Interest
References
- McGrath, J.J.; Al-Hamzawi, A.; Alonso, J.; Altwaijri, Y.; Andrade, L.H.; Bromet, E.J.; Bruffaerts, R.; de Almeida, J.M.C.; Chardoul, S.; Chiu, W.T.; et al. Age of onset and cumulative risk of mental disorders: A cross-national analysis of population surveys from 29 countries. Lancet Psychiatry 2023, 10, 668–681. [Google Scholar] [CrossRef] [PubMed]
- Global Burden of Disease. 2021. Available online: https://vizhub.healthdata.org/gbd-results/ (accessed on 9 July 2025).
- Psychogiou, L.; Navarro, M.C.; Orri, M.; Côté, S.M.; Ahun, M.N. Childhood and Adolescent Depression Symptoms and Young Adult Mental Health and Psychosocial Outcomes. JAMA Netw. Open 2024, 7, e2425987. [Google Scholar] [CrossRef] [PubMed]
- Kyrou, I.; Kollia, N.; Panagiotakos, D.; Georgousopoulou, E.; Chrysohoou, C.; Tsigos, C.; Randeva, H.S.; Yannakoulia, M.; Stefanadis, C.; Papageorgiou, C.; et al. Association of depression and anxiety status with 10-year cardiovascular disease incidence among apparently healthy Greek adults: The ATTICA Study. Eur. J. Prev. Cardiol. 2017, 24, 145–152. [Google Scholar] [CrossRef] [PubMed]
- Choi, K.W.; Stein, M.B.; Nishimi, K.M.; Ge, T.; Coleman, J.R.I.; Chen, C.Y.; Ratanatharathorn, A.; Zheutlin, A.B.; Dunn, E.C.; Breen, G.; et al. An Exposure-Wide and Mendelian Randomization Approach to Identifying Modifiable Factors for the Prevention of Depression. Am. J. Psychiatry 2020, 177, 944–954. [Google Scholar] [CrossRef]
- Kris-Etherton, P.M.; Petersen, K.S.; Hibbeln, J.R.; Hurley, D.; Kolick, V.; Peoples, S.; Rodriguez, N.; Woodward-Lopez, G. Nutrition and behavioral health disorders: Depression and anxiety. Nutr. Rev. 2021, 79, 247–260. [Google Scholar] [CrossRef]
- Hepsomali, P.; Groeger, J.A. Diet, Sleep, and Mental Health: Insights from the UK Biobank Study. Nutrients 2021, 13, 2573. [Google Scholar] [CrossRef]
- Głąbska, D.; Guzek, D.; Groele, B.; Gutkowska, K. Fruit and Vegetable Intake and Mental Health in Adults: A Systematic Review. Nutrients 2020, 12, 115. [Google Scholar] [CrossRef]
- Coletro, H.N.; Mendonça, R.D.; Meireles, A.L.; Machado-Coelho, G.L.L.; de Menezes, M.C. Multiple health risk behaviors, including high consumption of ultra-processed foods and their implications for mental health during the COVID-19 pandemic. Front. Nutr. 2022, 9, 1042425. [Google Scholar] [CrossRef]
- Tolkien, K.; Bradburn, S.; Murgatroyd, C. An anti-inflammatory diet as a potential intervention for depressive disorders: A systematic review and meta-analysis. Clin. Nutr. 2019, 38, 2045–2052. [Google Scholar] [CrossRef]
- Lassale, C.; Batty, G.D.; Baghdadli, A.; Jacka, F.; Sánchez-Villegas, A.; Kivimäki, M.; Akbaraly, T. Healthy dietary indices and risk of depressive outcomes: A systematic review and meta-analysis of observational studies. Mol. Psychiatry 2019, 24, 965–986. [Google Scholar] [CrossRef]
- Yin, W.; Löf, M.; Chen, R.; Hultman, C.M.; Fang, F.; Sandin, S. Mediterranean diet and depression: A population-based cohort study. Int. J. Behav. Nutr. Phys. Act. 2021, 18, 153. [Google Scholar] [CrossRef] [PubMed]
- Bayes, J.; Schloss, J.; Sibbritt, D. The effect of a Mediterranean diet on the symptoms of depression in young males (the “AMMEND: A Mediterranean Diet in MEN with Depression” study): A randomized controlled trial. Am. J. Clin. Nutr. 2022, 116, 572–580. [Google Scholar] [CrossRef] [PubMed]
- Bizzozero-Peroni, B.; Martínez-Vizcaíno, V.; Fernández-Rodríguez, R.; Jiménez-López, E.; Núñez de Arenas-Arroyo, S.; Saz-Lara, A.; Díaz-Goñi, V.; Mesas, A.E. The impact of the Mediterranean diet on alleviating depressive symptoms in adults: A systematic review and meta-analysis of randomized controlled trials. Nutr. Rev. 2025, 83, 29–39. [Google Scholar] [CrossRef] [PubMed]
- Wang, K.; Zhao, Y.; Nie, J.; Xu, H.; Yu, C.; Wang, S. Higher HEI-2015 Score is Associated with Reduced Risk of Depression: Result from NHANES 2005–2016. Nutrients 2021, 13, 348. [Google Scholar] [CrossRef]
- Wang, H.; Herforth, A.W.; Xi, B.; Zou, Z. Validation of the Diet Quality Questionnaire in Chinese Children and Adolescents and Relationship with Pediatric Overweight and Obesity. Nutrients 2022, 14, 3551. [Google Scholar] [CrossRef]
- Ma, S.; Herforth, A.W.; Vogliano, C.; Zou, Z. Most Commonly-Consumed Food Items by Food Group, and by Province, in China: Implications for Diet Quality Monitoring. Nutrients 2022, 14, 1754. [Google Scholar] [CrossRef]
- Wang, Y.; Bi, C.; Liu, H.; Lin, H.; Cai, R.; Zhang, J. Association of sugar-sweetened beverage consumption with psychological symptoms among Chinese university students during the COVID-19 pandemic. Front. Psychol. 2022, 13, 1024946. [Google Scholar] [CrossRef]
- Herforth, A.W.; Ballard, T.; Rzepa, A. Development of the Diet Quality Questionnaire for Measurement of Dietary Diversity and Other Diet Quality Indicators. Curr. Dev. Nutr. 2024, 8, 103798. [Google Scholar] [CrossRef]
- Dietary Quality Questionnaire for China. Available online: https://www.dietquality.org/countries/chn (accessed on 14 July 2025).
- Timbremont, B.; Braet, C.; Dreessen, L. Assessing depression in youth: Relation between the Children’s Depression Inventory and a structured interview. J. Clin. Child. Adolesc. Psychol. 2004, 33, 149–157. [Google Scholar] [CrossRef]
- Tiantian, C.; Yuling, W.; Baoxia, Y.; Limei, M.; Ling, F. Survey of characteristics of social anxiety in 4–6 grade pupils in Beijing—Taking two schools in Xicheng District as an example. China J. Health Psychol. 2021, 29, 371–376. [Google Scholar]
- Li, X.; Jin, W.; Han, L.; Chen, X.; Li, L. Comparison and application of depression screening tools for adolescents: Scale selection and clinical practice. Child. Adolesc. Psychiatry Ment. Health 2025, 19, 53. [Google Scholar] [CrossRef] [PubMed]
- Lu, X.; Wu, L.; Shao, L.; Fan, Y.; Pei, Y.; Lu, X.; Borné, Y.; Ke, C. Adherence to the EAT-Lancet diet and incident depression and anxiety. Nat. Commun. 2024, 15, 5599. [Google Scholar] [CrossRef] [PubMed]
- Ogden, C.L.; Ansai, N.; Fryar, C.D.; Wambogo, E.A.; Brody, D.J. Depression and Diet Quality, US Adolescents and Young Adults: National Health and Nutrition Examination Survey, 2015–March 2020. J. Acad. Nutr. Diet 2025, 125, 247–255. [Google Scholar] [CrossRef] [PubMed]
- WHO Child Growth Standards based on length/height, weight and age. Acta Paediatr. Suppl. 2006, 450, 76–85.
- Richardson, D.B.; Kinlaw, A.C.; MacLehose, R.F.; Cole, S.R. Standardized binomial models for risk or prevalence ratios and differences. Int. J. Epidemiol. 2015, 44, 1660–1672. [Google Scholar] [CrossRef]
- NCD Risk Factor Collaboration. Worldwide trends in body-mass index, underweight, overweight, and obesity from 1975 to 2016: A pooled analysis of 2416 population-based measurement studies in 128·9 million children, adolescents, and adults. Lancet 2017, 390, 2627–2642. [Google Scholar] [CrossRef]
- Wiebenga, J.X.M.; Dickhoff, J.; Mérelle, S.Y.M.; Eikelenboom, M.; Heering, H.D.; Gilissen, R.; van Oppen, P.; Penninx, B. Prevalence, course, and determinants of suicide ideation and attempts in patients with a depressive and/or anxiety disorder: A review of NESDA findings. J. Affect. Disord. 2021, 283, 267–277. [Google Scholar] [CrossRef]
- Moore Heslin, A.; McNulty, B. Adolescent nutrition and health: Characteristics, risk factors and opportunities of an overlooked life stage. Proc. Nutr. Soc. 2023, 82, 142–156. [Google Scholar] [CrossRef]
- Berding, K.; Vlckova, K.; Marx, W.; Schellekens, H.; Stanton, C.; Clarke, G.; Jacka, F.; Dinan, T.G.; Cryan, J.F. Diet and the Microbiota-Gut-Brain Axis: Sowing the Seeds of Good Mental Health. Adv. Nutr. 2021, 12, 1239–1285. [Google Scholar] [CrossRef]
- Kovatcheva-Datchary, P.; Nilsson, A.; Akrami, R.; Lee, Y.S.; De Vadder, F.; Arora, T.; Hallen, A.; Martens, E.; Björck, I.; Bäckhed, F. Dietary Fiber-Induced Improvement in Glucose Metabolism Is Associated with Increased Abundance of Prevotella. Cell Metab. 2015, 22, 971–982. [Google Scholar] [CrossRef]
- Yahfoufi, N.; Alsadi, N.; Jambi, M.; Matar, C. The Immunomodulatory and Anti-Inflammatory Role of Polyphenols. Nutrients 2018, 10, 1618. [Google Scholar] [CrossRef]
- Du, J.; Zhu, M.; Bao, H.; Li, B.; Dong, Y.; Xiao, C.; Zhang, G.Y.; Henter, I.; Rudorfer, M.; Vitiello, B. The Role of Nutrients in Protecting Mitochondrial Function and Neurotransmitter Signaling: Implications for the Treatment of Depression, PTSD, and Suicidal Behaviors. Crit. Rev. Food Sci. Nutr. 2016, 56, 2560–2578. [Google Scholar] [CrossRef]
- Aucoin, M.; LaChance, L.; Naidoo, U.; Remy, D.; Shekdar, T.; Sayar, N.; Cardozo, V.; Rawana, T.; Chan, I.; Cooley, K. Diet and Anxiety: A Scoping Review. Nutrients 2021, 13, 4418. [Google Scholar] [CrossRef] [PubMed]
- Healthy Diet Metrics: Monitoring of Healthy Diets Globally: A Call to Action. Available online: https://www.who.int/publications/i/item/9789240074743 (accessed on 2 August 2025).
- Herforth, A.W.; Wiesmann, D.; Martínez-Steele, E.; Andrade, G.; Monteiro, C.A. Introducing a Suite of Low-Burden Diet Quality Indicators That Reflect Healthy Diet Patterns at Population Level. Curr. Dev. Nutr. 2020, 4, nzaa168. [Google Scholar] [CrossRef] [PubMed]
- Healthy Diet. Available online: https://www.who.int/publications/m/item/healthy-diet-factsheet394 (accessed on 2 August 2025).
- Manners, R.; Adewopo, J.; Niyibituronsa, M.; Remans, R.; Ghosh, A.; Schut, M.; Egoeh, S.G.; Kilwenge, R.; Fraenzel, A. Leveraging Digital Tools and Crowdsourcing Approaches to Generate High-Frequency Data for Diet Quality Monitoring at Population Scale in Rwanda. Front. Sustain. Food Syst. 2022, 5, 804821. [Google Scholar] [CrossRef]
- Tao, Y.; Wall, M.; Larson, N.; Neumark-Sztainer, D.; Winpenny, E.M. Changes in diet quality across life transitions from adolescence to early adulthood: A latent growth analysis. Am. J. Clin. Nutr. 2024, 120, 1215–1224. [Google Scholar] [CrossRef]
- Winpenny, E.M.; van Sluijs, E.M.F.; White, M.; Klepp, K.I.; Wold, B.; Lien, N. Changes in diet through adolescence and early adulthood: Longitudinal trajectories and association with key life transitions. Int. J. Behav. Nutr. Phys. Act. 2018, 15, 86. [Google Scholar] [CrossRef]


| Total (N = 400) | Without Comorbidity Symptoms (N = 329) | Comorbid Anxiety–Depression (N = 71) | p-Value | ||
|---|---|---|---|---|---|
| Sex (%) | Boys | 259 (64.75) | 222 (67.48) | 37 (52.11) | 0.014 * |
| Girls | 141 (35.25) | 107 (32.52) | 34 (47.89) | ||
| Age (SD) | 10.26 ± 0.63 | 10.28 ± 0.64 | 10.21 ± 0.60 | 0.425 | |
| zBMI (SD) | 0.66 ± 1.44 | 0.69 ± 1.42 | 0.54 ± 1.52 | 0.422 | |
| Physical activity level (%) | Low | 142 (35.50) | 110 (33.43) | 32 (45.07) | 0.109 |
| Moderate | 85 (21.25) | 75 (22.80) | 10 (14.08) | ||
| High | 173 (43.25) | 144 (43.77) | 29 (40.85) | ||
| Region of residence (%) | Rural | 68 (17.00) | 51 (15.50) | 17 (23.94) | 0.189 |
| Township | 75 (18.75) | 61 (18.54) | 14 (19.72) | ||
| Urban | 257 (64.25) | 217 (65.96) | 40 (56.34) | ||
| Only child (%) | Yes | 132 (33.00) | 102 (31.00) | 30 (42.25) | 0.067 |
| No | 268 (67.00) | 227 (69.00) | 41 (57.75) | ||
| Education level of mother (%) | Primary school or below | 41 (10.25) | 34 (10.33) | 7 (9.86) | 0.976 |
| Secondary school | 228 (57.00) | 188 (57.14) | 40 (56.34) | ||
| Undergraduate | 131 (32.75) | 107 (32.52) | 24 (33.80) | ||
| Education level of father (%) | Primary school or below | 55 (13.75) | 41 (12.46) | 14 (19.72) | 0.223 |
| Secondary school | 223 (55.75) | 184 (55.93) | 39 (54.93) | ||
| Undergraduate | 122 (30.50) | 104 (31.61) | 18 (25.35) | ||
| GDR score (SD) | 0.84 ± 2.43 | 0.99 ± 2.42 | 0.15 ± 2.37 | 0.008 | |
| GDR-Healthy score (IQR) | 7.00 (5.00, 8.00) | 7.00 (5.00, 8.00) | 6.00 (4.00, 7.00) | 0.001 * | |
| GDR-Limit score (IQR) | 6.00 (3.00, 8.00) | 6.00 (3.00, 8.00) | 5.00 (3.00, 8.00) | 0.526 | |
| Model 1 | Model 2 | Model 3 | |||||
|---|---|---|---|---|---|---|---|
| RR (95% CI) | p-Value | RR (95% CI) | p-Value | RR (95% CI) | p-Value | ||
| Depressive symptoms | |||||||
| Quartile 1 | 1.00 (Ref) | 1.00 (Ref) | 1.00 (Ref) | ||||
| Quartile 2 | 0.84 (0.55, 1.26) | 0.393 | 0.84 (0.56, 1.26) | 0.403 | 0.86 (0.57, 1.29) | 0.466 | |
| Quartile 3 | 0.85 (0.56, 1.27) | 0.427 | 0.87 (0.58, 1.33) | 0.527 | 0.86 (0.57, 1.30) | 0.474 | |
| Quartile 4 | 0.60 (0.37, 0.97) | 0.036 * | 0.60 (0.37, 0.98) | 0.040 * | 0.60 (0.37, 0.98) | 0.040 * | |
| Continuous | 0.90 (0.85, 0.96) | 0.002 * | 0.90 (0.84, 0.96) | 0.002 * | 0.90 (0.84, 0.96) | 0.002 * | |
| Anxiety symptoms | |||||||
| Quartile 1 | 1.00 (Ref) | 1.00 (Ref) | 1.00 (Ref) | ||||
| Quartile 2 | 0.74 (0.50, 1.08) | 0.117 | 0.73 (0.49, 1.08) | 0.118 | 0.77 (0.52, 1.15) | 0.208 | |
| Quartile 3 | 0.82 (0.57, 1.18) | 0.278 | 0.84 (0.58, 1.20) | 0.338 | 0.85 (0.59, 1.22) | 0.386 | |
| Quartile 4 | 0.56 (0.36, 0.87) | 0.010 * | 0.57 (0.37, 0.88) | 0.011 * | 0.60 (0.39, 0.93) | 0.021 * | |
| Continuous | 0.93 (0.88, 0.98) | 0.007 * | 0.92 (0.87, 0.98) | 0.007 * | 0.93 (0.88, 0.99) | 0.017 * | |
| Comorbidity | |||||||
| Quartile 1 | 1.00 (Ref) | 1.00 (Ref) | 1.00 (Ref) | ||||
| Quartile 2 | 0.61 (0.34, 1,10) | 0.100 | 0.62 (0.35, 1.12) | 0.115 | 0.64 (0.35, 1.16) | 0.140 | |
| Quartile 3 | 0.84 (0.50, 1.41) | 0.512 | 0.89 (0.53, 1.49) | 0.646 | 0.85 (0.51, 1.43) | 0.539 | |
| Quartile 4 | 0.47 (0.24, 0.90) | 0.023 * | 0.48 (0.25, 0.92) | 0.026 * | 0.48 (0.25, 0.94) | 0.031 * | |
| Continuous | 0.88 (0.81, 0.97) | 0.008 * | 0.88 (0.80, 0.97) | 0.010 * | 0.88 (0.79, 0.97) | 0.012 * | |
| Model 1 | Model 2 | Model 3 | |||||
|---|---|---|---|---|---|---|---|
| RR (95% CI) | p-Value | RR (95% CI) | p-Value | RR (95% CI) | p-Value | ||
| GDR-Healthy score | |||||||
| Depression symptoms | |||||||
| Quartile 1 | 1.00 (Ref) | 1.00 (Ref) | 1.00 (Ref) | ||||
| Quartile 2 | 0.66 (0.44, 0.99) | 0.044 * | 0.66 (0.44, 0.99) | 0.042 * | 0.69 (0.46, 1.05) | 0.086 | |
| Quartile 3 | 0.58 (0.39, 0.86) | 0.007 * | 0.59 (0.39, 0.88) | 0.010 * | 0.63 (0.41, 0.95) | 0.029 * | |
| Quartile 4 | 0.53 (0.33, 0.85) | 0.008 * | 0.54 (0.34, 0.86) | 0.010 * | 0.58 (0.36, 0.93) | 0.025 * | |
| Continuous | 0.87 (0.82, 0.94) | <0.001 * | 0.88 (0.82, 0.94) | <0.001 * | 0.89 (0.83, 0.96) | 0.002 * | |
| Anxiety symptoms | |||||||
| Quartile 1 | 1.00 (Ref) | 1.00 (Ref) | 1.00 (Ref) | ||||
| Quartile 2 | 0.73 (0.49, 1.08) | 0.116 | 0.71 (0.48, 1.05) | 0.085 | 0.79 (0.52, 1.19) | 0.254 | |
| Quartile 3 | 0.79 (0.55, 1.14) | 0.206 | 0.81 (0.57, 1.16) | 0.256 | 0.87 (0.60, 1.25) | 0.454 | |
| Quartile 4 | 0.60 (0.38, 0.95) | 0.029 * | 0.61 (0.39, 0.97) | 0.038 * | 0.69 (0.43, 1.13) | 0.139 | |
| Continuous | 0.93 (0.88, 0.99) | 0.034 * | 0.94 (0.89, 1.00) | 0.065 | 0.96 (0.90, 1.03) | 0.230 | |
| Comorbidity | |||||||
| Quartile 1 | 1.00 (Ref) | 1.00 (Ref) | 1.00 (Ref) | ||||
| Quartile 2 | 0.46 (0.26, 0.81) | 0.008 * | 0.45 (0.26, 0.79) | 0.006 * | 0.51 (0.28, 0.94) | 0.030 * | |
| Quartile 3 | 0.52 (0.31, 0.86) | 0.012 * | 0.54 (0.32, 0.92) | 0.022 * | 0.58 (0.35, 0.98) | 0.041 * | |
| Quartile 4 | 0.38 (0.19, 0.73) | 0.004 * | 0.40 (0.20, 0.77) | 0.006 * | 0.45 (0.23, 0.88) | 0.019 * | |
| Continuous | 0.84 (0.77, 0.92) | <0.001 * | 0.85 (0.78, 0.93) | 0.001 * | 0.87 (0.79, 0.95) | 0.003 * | |
| GDR-Limit score | |||||||
| Depression symptoms | |||||||
| Quartile 1 | 1.00 (Ref) | 1.00 (Ref) | 1.00 (Ref) | ||||
| Quartile 2 | 0.95 (0.60, 1.48) | 0.814 | 0.92 (0.58, 1.45) | 0.720 | 0.91 (0.58, 1.44) | 0.702 | |
| Quartile 3 | 0.83 (0.54, 1.30) | 0.420 | 0.83 (0.54, 1.30) | 0.424 | 0.87 (0.56, 1.35) | 0.543 | |
| Quartile 4 | 1.02 (0.66, 1.58) | 0.938 | 1.02 (0.66, 1.58) | 0.918 | 1.07 (0.70, 1.66) | 0.748 | |
| Continuous | 0.99 (0.94, 1.04) | 0.695 | 0.99 (0.94, 1.05) | 0.761 | 1.00 (0.95, 1.06) | 0.987 | |
| Anxiety symptoms | |||||||
| Quartile 1 | 1.00 (Ref) | 1.00 (Ref) | 1.00 (Ref) | ||||
| Quartile 2 | 1.25 (0.81, 1.93) | 0.311 | 1.24 (0.81, 1.91) | 0.324 | 1.29 (0.83, 2.00) | 0.251 | |
| Quartile 3 | 1.05 (0.68, 1.62) | 0.826 | 1.06 (0.69, 1.64) | 0.779 | 1.09 (0.71, 1.68) | 0.695 | |
| Quartile 4 | 1.25 (0.81, 1.93) | 0.311 | 1.27 (0.83, 1.96) | 0.270 | 1.33 (0.88, 2.03) | 0.176 | |
| Continuous | 1.01 (0.97, 1.06) | 0.596 | 1.02 (0.97, 1.07) | 0.480 | 1.02 (0.98, 1.07) | 0.355 | |
| Comorbidity | |||||||
| Quartile 1 | 1.00 (Ref) | 1.00 (Ref) | 1.00 (Ref) | ||||
| Quartile 2 | 1.24 (0.69, 2.23) | 0.464 | 1.20 (0.66, 2.16) | 0.552 | 1.21 (0.66, 2.22) | 0.547 | |
| Quartile 3 | 0.80 (0.43, 1.49) | 0.477 | 0.81 (0.44, 1.51) | 0.516 | 0.86 (0.46, 1.59) | 0.629 | |
| Quartile 4 | 1.01 (0.54, 1.87) | 0.983 | 1.04 (0.56, 1.92) | 0.906 | 1.09 (0.59, 1.99) | 0.789 | |
| Continuous | 0.97 (0.91, 1.04) | 0.447 | 0.98 (0.92, 1.05) | 0.578 | 0.99 (0.92, 1.06) | 0.735 | |
Disclaimer/Publisher’s Note: The statements, opinions and data contained in all publications are solely those of the individual author(s) and contributor(s) and not of MDPI and/or the editor(s). MDPI and/or the editor(s) disclaim responsibility for any injury to people or property resulting from any ideas, methods, instructions or products referred to in the content. |
© 2025 by the authors. Licensee MDPI, Basel, Switzerland. This article is an open access article distributed under the terms and conditions of the Creative Commons Attribution (CC BY) license (https://creativecommons.org/licenses/by/4.0/).
Share and Cite
Zhao, Y.; Chen, M.; Wang, J.; Ye, Z.; Qu, Y.; Wang, Z.; Wang, X.; Jiang, Y. Association of Diet Quality with Depression, Anxiety, and Comorbidity Symptoms in Chinese School-Aged Children. Nutrients 2025, 17, 3842. https://doi.org/10.3390/nu17243842
Zhao Y, Chen M, Wang J, Ye Z, Qu Y, Wang Z, Wang X, Jiang Y. Association of Diet Quality with Depression, Anxiety, and Comorbidity Symptoms in Chinese School-Aged Children. Nutrients. 2025; 17(24):3842. https://doi.org/10.3390/nu17243842
Chicago/Turabian StyleZhao, Yuankai, Manman Chen, Jiahui Wang, Zichen Ye, Yimin Qu, Zhenghe Wang, Xijie Wang, and Yu Jiang. 2025. "Association of Diet Quality with Depression, Anxiety, and Comorbidity Symptoms in Chinese School-Aged Children" Nutrients 17, no. 24: 3842. https://doi.org/10.3390/nu17243842
APA StyleZhao, Y., Chen, M., Wang, J., Ye, Z., Qu, Y., Wang, Z., Wang, X., & Jiang, Y. (2025). Association of Diet Quality with Depression, Anxiety, and Comorbidity Symptoms in Chinese School-Aged Children. Nutrients, 17(24), 3842. https://doi.org/10.3390/nu17243842

