A Low-Cost, High-Fat Diet Effectively Induces Obesity and Metabolic Alterations and Diet Normalization Modulates Microbiota in C57BL/6 Mice
Abstract
1. Introduction
2. Materials and Methods
2.1. Preparation of Experimental Diets
2.2. Ethical Aspects
2.3. Experimental Design
2.4. Assessment of Weight and Body Measurements
2.5. Biochemical Analysis
2.6. Oxidative Stress
2.6.1. Homogenate Preparation
2.6.2. Superoxide Dismutase (SOD) Quantification
2.6.3. Catalase (CAT) Activity
2.6.4. Lipid Peroxidation Measurement
2.6.5. Protein Carbonyl
2.7. Short Chain Fatty Acids (SCFA)
2.8. Composition of the Intestinal Microbiota
2.9. Statistical Analysis
3. Results
3.1. Body and Metabolic Measurements
3.2. Oxidative Stress in Liver
3.3. SCFA
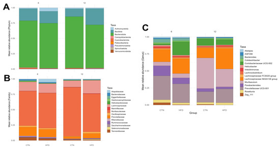
3.4. Microbiota Analysis
4. Discussion
5. Conclusions
Author Contributions
Funding
Institutional Review Board Statement
Informed Consent Statement
Data Availability Statement
Acknowledgments
Conflicts of Interest
Abbreviations
| ASV | Amplicon Sequence Variants |
| ATP | Adenosine triphosphate |
| CAT | Catalase |
| CEUA | Animal Use Ethics Committee |
| CONCEA | National Council for the Control of Animal Experimentation |
| CTN | Control |
| DIO | Diet-induced obesity |
| DNA | Deoxyribonucleic acid |
| DNPH | 2,4-dinitrophenylhydrazine |
| eWAT | Epididymal white adipose tissue |
| FAPROTAX | Functional Annotation of Prokaryotic Taxa |
| FDR | false discovery rate |
| HDL | High-density lipoprotein |
| HFD | High-fat diet |
| HFHF | High-fat high-fructose diet |
| HFHS | High-fat high-sucrose |
| LDL | Low-density lipoprotein |
| MDA | Malondialdehyde |
| mWAT | Mesenteric white adipose tissue |
| PCoA | Principal coordinates analysis |
| rpWAT | Retro-peritoneal white adipose tissue |
| rRNA | Ribosomal ribonucleic acid |
| SCFA | Short chain fatty acids |
| SD | Standard deviation |
| SOD | Superoxide dismutase |
| TBARS | Thiobarbituric Acid Reactants |
| TDP | Thiamine diphosphate |
| tWAT | Total white adipose tissue |
| VLDL | Very low-density lipoprotein |
| WAT | White adipose tissue |
References
- Mayoral, L.P.C.; Andrade, G.M.; Mayoral, E.P.C.; Huerta, T.H.; Canseco, S.P.; Rodal Canales, F.J.; Cabrera-Fuentes, H.A.; Cruz, M.M.; Pérez Santiago, A.D.; Alpuche, J.J.; et al. Obesity Subtypes, Related Biomarkers & Heterogeneity. Indian J. Med. Res. 2020, 151, 11–21. [Google Scholar] [CrossRef]
- World Health Organization. Obesity and Overweight. Available online: https://www.who.int/news-room/fact-sheets/detail/obesity-and-overweight (accessed on 2 September 2025).
- World Health Organization. Health Service Delivery Framework for Prevention and Management of Obesity; World Health Organization: Geneva, Switzerland, 2023. [Google Scholar]
- Speakman, J.R. Use of High-Fat Diets to Study Rodent Obesity as a Model of Human Obesity. Int. J. Obes. 2019, 43, 1491–1492. [Google Scholar] [CrossRef]
- Engin, A. The Definition and Prevalence of Obesity and Metabolic Syndrome: Correlative Clinical Evaluation Based on Phenotypes. In Obesity and Lipotoxicity; Advances in Experimental Medicine and Biology; Springer: Cham, Switzerland, 2024; Volume 1460, pp. 1–25. [Google Scholar] [CrossRef]
- Farley, C.; Cook, J.A.; Spar, B.D.; Austin, T.M.; Kowalski, T.J. Meal Pattern Analysis of Diet-Induced Obesity in Susceptible and Resistant Rats. Obes. Res. 2003, 11, 845–851. [Google Scholar] [CrossRef]
- Von Diemen, V.; Trindade, E.N.; Trindade, M.R.M. Experimental Model to Induce Obesity in Rats. Acta Cir. Bras. 2006, 21, 425–429. [Google Scholar] [CrossRef] [PubMed]
- de Moura e Dias, M.; dos Reis, S.A.; da Conceição, L.L.; Sediyama, C.M.N.d.O.; Pereira, S.S.; de Oliveira, L.L.; Gouveia Peluzio, M.d.C.; Martinez, J.A.; Milagro, F.I. Diet-Induced Obesity in Animal Models: Points to Consider and Influence on Metabolic Markers. Diabetol. Metab. Syndr. 2021, 13, 32. [Google Scholar] [CrossRef] [PubMed]
- Brunoro Costa, N.M.; Gouveia Peluzio, M.d.C.; Stampini Duarte Martino, H.; Simeone Henriques, G. Nutrição Experimental—Teoria e Prática, 1st ed.; Editora Rubio: Rio de Janeiro, Brazil, 2014. [Google Scholar]
- Hariri, N.; Thibault, L. High-Fat Diet-Induced Obesity in Animal Models. Nutr. Res. Rev. 2010, 23, 270–299. [Google Scholar] [CrossRef] [PubMed]
- Schneeberger, M.; Everard, A.; Gómez-Valadés, A.G.; Matamoros, S.; Ramírez, S.; Delzenne, N.M.; Gomis, R.; Claret, M.; Cani, P.D. Akkermansia Muciniphila Inversely Correlates with the Onset of Inflammation, Altered Adipose Tissue Metabolism and Metabolic Disorders during Obesity in Mice. Sci. Rep. 2015, 5, 16643. [Google Scholar] [CrossRef]
- Braga Tibaes, J.R.; Barreto Silva, M.I.; Wollin, B.; Vine, D.; Tsai, S.; Richard, C. Sex Differences in Systemic Inflammation and Immune Function in Diet-Induced Obesity Rodent Models: A Systematic Review. Obes. Rev. 2024, 25, e13665. [Google Scholar] [CrossRef]
- Reeves, P.G.; Nielsen, F.H.; Fahey, G.C. AIN-93 Purified Diets for Laboratory Rodents: Final Report of the American Institute of Nutrition Ad Hoc Writing Committee on the Reformulation of the AIN-76A Rodent Diet. J. Nutr. 1993, 123, 1939–1951. [Google Scholar] [CrossRef]
- Mera, R.; Thompson, H.; Prasad, C. How to Calculate Sample Size for an Experiment: A Case-Based Description. Nutr. Neurosci. 1998, 1, 87–91. [Google Scholar] [CrossRef]
- Miyoshi, M.; Ogawa, A.; Higurashi, S.; Kadooka, Y. Anti-Obesity Effect of Lactobacillus Gasseri SBT2055 Accompanied by Inhibition of pro-Inflammatory Gene Expression in the Visceral Adipose Tissue in Diet-Induced Obese Mice. Eur. J. Nutr. 2014, 53, 599–606. [Google Scholar] [CrossRef]
- Membrez, M.; Blancher, F.; Jaquet, M.; Bibiloni, R.; Cani, P.D.; Burcelin, R.G.; Corthesy, I.; Macé, K.; Chou, C.J. Gut Microbiota Modulation with Norfloxacin and Ampicillin Enhances Glucose Tolerance in Mice. FASEB J. 2008, 22, 2416–2426. [Google Scholar] [CrossRef]
- De Sá Del Fiol, F.; Tardelli Ferreira, A.C.M.; Marciano, J.J.; Marques, M.C.; Sant’Ana, L.L. Obesity and the Use of Antibiotics and Probiotics in Rats. Chemotherapy 2014, 60, 162–167. [Google Scholar] [CrossRef]
- Kim, S.; Hong, J.; Jeon, R.; Kim, H.S. Adzuki Bean Ameliorates Hepatic Lipogenesis and Proinflammatory Mediator Expression in Mice Fed a High-Cholesterol and High-Fat Diet to Induce Nonalcoholic Fatty Liver Disease. Nutr. Res. 2016, 36, 90–100. [Google Scholar] [CrossRef] [PubMed]
- Friedewald, W.T.; Levy, R.I.; Fredrickson, D.S. Estimation of the Concentration of Low-Density Lipoprotein Cholesterol in Plasma, Without Use of the Preparative Ultracentrifuge. Clin. Chem. 1972, 18, 499–502. [Google Scholar] [CrossRef] [PubMed]
- Dieterich, S.; Bieligk, U.; Beulich, K.; Hasenfuss, G.; Prestle, J. Gene Expression of Antioxidative Enzymes in the Human Heart: Increased Expression of Catalase in the End-Stage Failing Heart. Circulation 2000, 101, 33–39. [Google Scholar] [CrossRef] [PubMed]
- Lowry, O.H.; Rosebrough, N.J.; Farr, A.L.; Randall, R.J. Protein Measurement with the Folin Phenol Reagent. J. Biol. Chem. 1951, 193, 265–275. [Google Scholar] [CrossRef]
- Aebi, H. Catalase in Vitro. Methods Enzymol. 1984, 105, 121–126. [Google Scholar] [CrossRef]
- Buege, J.A.; Aust, S.D. Microsomal Lipid Peroxidation. Methods Enzymol. 1978, 52, 302–310. [Google Scholar] [CrossRef]
- Levine, R.L.; Garland, D.; Oliver, C.N.; Amici, A.; Climent, I.; Lenz, A.G.; Ahn, B.W.; Shaltiel, S.; Stadtman, E.R. Determination of Carbonyl Content in Oxidatively Modified Proteins. Methods Enzymol. 1990, 186, 464–478. [Google Scholar] [CrossRef]
- Siegfried, V.; Ruckermann, H.; Stumpf, G.; Siegfried, B.; Ruckemann, H.; Siegfried, R.; Siegfried, M. Method for the Determination of Organic Acids in Silage by High Performance Liquid Chromatography. Landwirtsch. Forsch. 1984, 37, 298–304. [Google Scholar]
- Louca, S.; Parfrey, L.W.; Doebeli, M. Decoupling Function and Taxonomy in the Global Ocean Microbiome. Science 2016, 353, 1272–1277. [Google Scholar] [CrossRef] [PubMed]
- Douglas, G.M.; Maffei, V.J.; Zaneveld, J.R.; Yurgel, S.N.; Brown, J.R.; Taylor, C.M.; Huttenhower, C.; Langille, M.G.I. PICRUSt2 for Prediction of Metagenome Functions. Nat. Biotechnol. 2020, 38, 685–688. [Google Scholar] [CrossRef] [PubMed]
- Bortolin, R.C.; Vargas, A.R.; Gasparotto, J.; Chaves, P.R.; Schnorr, C.E.; Martinello, K.B.; Silveira, A.K.; Rabelo, T.K.; Gelain, D.P.; Moreira, J.C.F. A New Animal Diet Based on Human Western Diet Is a Robust Diet-Induced Obesity Model: Comparison to High-Fat and Cafeteria Diets in Term of Metabolic and Gut Microbiota Disruption. Int. J. Obes. 2018, 42, 525–534. [Google Scholar] [CrossRef] [PubMed]
- Tian, D.R.; Li, X.D.; Shi, Y.S.; Wan, Y.; Wang, X.M.; Chang, J.K.; Yang, J.; Han, J.S. Changes of Hypothalamic α-MSH and CART Peptide Expression in Diet-Induced Obese Rats. Peptides 2004, 25, 2147–2153. [Google Scholar] [CrossRef]
- Buettner, R.; Schölmerich, J.; Bollheimer, L.C. High-Fat Diets: Modeling the Metabolic Disorders of Human Obesity in Rodents. Obesity 2007, 15, 798–808. [Google Scholar] [CrossRef]
- de Wit, N.J.; Bosch-Vermeulen, H.; de Groot, P.J.; Hooiveld, G.J.; Bromhaar, M.M.G.; Jansen, J.; Müller, M.; van der Meer, R. The Role of the Small Intestine in the Development of Dietary Fat-Induced Obesity and Insulin Resistance in C57BL/6J Mice. BMC Med. Genom. 2008, 1, 14. [Google Scholar] [CrossRef]
- Li, J.; Wu, H.; Liu, Y.; Yang, L. High Fat Diet Induced Obesity Model Using Four Strains of Mice: Kunming, C57BL/6, BALB/c and ICR. Exp. Anim. 2020, 69, 326. [Google Scholar] [CrossRef]
- Jayaprakasam, B.; Olson, L.K.; Schutzki, R.E.; Tai, M.H.; Nair, M.G. Amelioration of Obesity and Glucose Intolerance in High-Fat-Fed C57BL/6 Mice by Anthocyanins and Ursolic Acid in Cornelian Cherry (Cornus mas). J. Agric. Food Chem. 2005, 54, 243–248. [Google Scholar] [CrossRef]
- Skalski, H.J.; Arendt, A.R.; Harkins, S.K.; Maclachlan, M.; Corbett, C.J.M.; Goy, R.W.; Kapoor, A.; Hostetter, G.; Chandler, R.L. Key Considerations for Studying the Effects of High-Fat Diet on the Nulligravid Mouse Endometrium. J. Endocr. Soc. 2024, 8, bvae104. [Google Scholar] [CrossRef]
- Preguiça, I.; Alves, A.; Nunes, S.; Fernandes, R.; Gomes, P.; Viana, S.D.; Reis, F. Diet-Induced Rodent Models of Obesity-Related Metabolic Disorders—A Guide to a Translational Perspective. Obes. Rev. 2020, 21, e13081. [Google Scholar] [CrossRef] [PubMed]
- Fisher-Wellman, K.H.; Ryan, T.E.; Smith, C.D.; Gilliam, L.A.A.; Lin, C.T.; Reese, L.R.; Torres, M.J.; Neufer, P.D. A Direct Comparison of Metabolic Responses to High-Fat Diet in C57BL/6J and C57BL/6NJ Mice. Diabetes 2016, 65, 3249. [Google Scholar] [CrossRef] [PubMed]
- Ji, T.; Fang, B.; Wu, F.; Liu, Y.; Cheng, L.; Li, Y.; Wang, R.; Zhu, L. Diet Change Improves Obesity and Lipid Deposition in High-Fat Diet-Induced Mice. Nutrients 2023, 15, 4978. [Google Scholar] [CrossRef] [PubMed]
- Yang, X.; Bao, L.; Zhang, Y.; Long, J.; Li, Y.; Wang, H.; Cui, Y.; Yan, D. Novel Weight Loss Diet Attenuates Dietary-Induced Obesity in Mice and Might Correlate with Altered Gut Microbiota and Metabolite Profiles. Front. Nutr. 2022, 9, 987955. [Google Scholar] [CrossRef]
- Matsuzawa, Y. The Metabolic Syndrome and Adipocytokines. FEBS Lett. 2006, 580, 2917–2921. [Google Scholar] [CrossRef]
- Nassir, F.; Adewole, O.L.; Brunt, E.M.; Abumrad, N.A. CD36 Deletion Reduces VLDL Secretion, Modulates Liver Prostaglandins, and Exacerbates Hepatic Steatosis in Ob/Ob Mice. J. Lipid Res. 2013, 54, 2988. [Google Scholar] [CrossRef]
- Wilson, C.G.; Tran, J.L.; Erion, D.M.; Vera, N.B.; Febbraio, M.; Weiss, E.J. Hepatocyte-Specific Disruption of CD36 Attenuates Fatty Liver and Improves Insulin Sensitivity in HFD-Fed Mice. Endocrinology 2015, 157, 570. [Google Scholar] [CrossRef]
- Hatori, M.; Vollmers, C.; Zarrinpar, A.; DiTacchio, L.; Bushong, E.A.; Gill, S.; Leblanc, M.; Chaix, A.; Joens, M.; Fitzpatrick, J.A.J.; et al. Time Restricted Feeding without Reducing Caloric Intake Prevents Metabolic Diseases in Mice Fed a High Fat Diet. Cell Metab. 2012, 15, 848. [Google Scholar] [CrossRef]
- Lv, Y.; Gao, X.; Luo, Y.; Fan, W.; Shen, T.; Ding, C.; Yao, M.; Song, S.; Yan, L. Apigenin Ameliorates HFD-Induced NAFLD through Regulation of the XO/NLRP3 Pathways. J. Nutr. Biochem. 2019, 71, 110–121. [Google Scholar] [CrossRef]
- Nistala, R.; Habibi, J.; Lastra, G.; Manrique, C.; Aroor, A.R.; Hayden, M.R.; Garro, M.; Meuth, A.; Johnson, M.; Whaley-Connell, A.; et al. Prevention of Obesity-Induced Renal Injury in Male Mice by DPP4 Inhibition. Endocrinology 2014, 155, 2266. [Google Scholar] [CrossRef]
- Kirchner, H.; Hofmann, S.M.; Fischer-Rosinský, A.; Hembree, J.; Abplanalp, W.; Ottaway, N.; Donelan, E.; Krishna, R.; Woods, S.C.; Müller, T.D.; et al. Caloric Restriction Chronically Impairs Metabolic Programming in Mice. Diabetes 2012, 61, 2734–2742. [Google Scholar] [CrossRef]
- Minderis, P.; Fokin, A.; Dirmontas, M.; Kvedaras, M.; Ratkevicius, A. Caloric Restriction per Se Rather Than Dietary Macronutrient Distribution Plays a Primary Role in Metabolic Health and Body Composition Improvements in Obese Mice. Nutrients 2021, 13, 3004. [Google Scholar] [CrossRef]
- Gong, H.; Zuo, H.; Wu, K.; Gao, X.; Lan, Y.; Zhao, L. Systemic and Retinal Protective Effects of Butyrate in Early Type 2 Diabetes via Gut Microbiota-Lipid Metabolism Interaction. Nutrients 2025, 17, 2363. [Google Scholar] [CrossRef]
- Liu, Z.; Que, S.; Zhou, L.; Zheng, S. Dose-Response Relationship of Serum Uric Acid with Metabolic Syndrome and Non-Alcoholic Fatty Liver Disease Incidence: A Meta-Analysis of Prospective Studies. Sci. Rep. 2015, 5, 14325. [Google Scholar] [CrossRef] [PubMed]
- Mishima, M.D.V.; Bernardes, A.L.; Pinheiro, C.A.; Lana, L.G.; Campos, I.X.; de Lana, V.S.; de Carvalho, I.M.M.; Pinheiro, P.F.; Toledo, R.C.L.; Dionísio, A.P.; et al. Cashew Nut Oil Improves Lipid Metabolism and Fat Liver Deposition in High-Fat Diet-Fed C57BL/6J Mice. Lipids 2025, in press. [Google Scholar] [CrossRef] [PubMed]
- Sies, H. Oxidative Stress: A Concept in Redox Biology and Medicine. Redox Biol. 2015, 4, 180–183. [Google Scholar] [CrossRef] [PubMed]
- Fabbrini, E.; Sullivan, S.; Klein, S. Obesity and Nonalcoholic Fatty Liver Disease: Biochemical, Metabolic, and Clinical Implications. Hepatology 2010, 51, 679–689. [Google Scholar] [CrossRef]
- Lasker, S.; Rahman, M.M.; Parvez, F.; Zamila, M.; Miah, P.; Nahar, K.; Kabir, F.; Sharmin, S.B.; Subhan, N.; Ahsan, G.U.; et al. High-Fat Diet-Induced Metabolic Syndrome and Oxidative Stress in Obese Rats Are Ameliorated by Yogurt Supplementation. Sci. Rep. 2019, 9, 20026. [Google Scholar] [CrossRef]
- Dhibi, M.; Brahmi, F.; Mnari, A.; Houas, Z.; Chargui, I.; Bchir, L.; Gazzah, N.; Alsaif, M.A.; Hammami, M. The Intake of High Fat Diet with Different Trans Fatty Acid Levels Differentially Induces Oxidative Stress and Non Alcoholic Fatty Liver Disease (NAFLD) in Rats. Nutr. Metab. 2011, 8, 65. [Google Scholar] [CrossRef]
- Jarukamjorn, K.; Jearapong, N.; Pimson, C.; Chatuphonprasert, W. A High-Fat, High-Fructose Diet Induces Antioxidant Imbalance and Increases the Risk and Progression of Nonalcoholic Fatty Liver Disease in Mice. Scientifica 2016, 2016, 5029414. [Google Scholar] [CrossRef]
- Den Besten, G.; Van Eunen, K.; Groen, A.K.; Venema, K.; Reijngoud, D.J.; Bakker, B.M. The Role of Short-Chain Fatty Acids in the Interplay between Diet, Gut Microbiota, and Host Energy Metabolism. J. Lipid Res. 2013, 54, 2325–2340. [Google Scholar] [CrossRef]
- Morrison, D.J.; Preston, T. Formation of Short Chain Fatty Acids by the Gut Microbiota and Their Impact on Human Metabolism. Gut Microbes 2016, 7, 189–200. [Google Scholar] [CrossRef]
- Canfora, E.E.; Meex, R.C.R.; Venema, K.; Blaak, E.E. Gut Microbial Metabolites in Obesity, NAFLD and T2DM. Nat. Rev. Endocrinol. 2019, 15, 261–273. [Google Scholar] [CrossRef] [PubMed]
- Louis, P.; Flint, H.J. Formation of Propionate and Butyrate by the Human Colonic Microbiota. Environ. Microbiol. 2017, 19, 29–41. [Google Scholar] [CrossRef] [PubMed]
- Wang, R.; Liu, X.; Yang, K.; Liu, S.; Yu, L.; Chen, Y.; Wang, N.; Hu, Y.; Qin, B. Bioactive Component Screening and Mechanistic Study of the Anti-Diabetic Activity of Lophatherum Gracile Brongn Extract. Curr. Issues Mol. Biol. 2025, 47, 779. [Google Scholar] [CrossRef] [PubMed]
- Gryaznova, M.; Burakova, I.; Smirnova, Y.; Morozova, P.; Chirkin, E.; Gureev, A.; Mikhaylov, E.; Korneeva, O.; Syromyatnikov, M. Effect of Probiotic Bacteria on the Gut Microbiome of Mice with Lipopolysaccharide-Induced Inflammation. Microorganisms 2024, 12, 1341. [Google Scholar] [CrossRef]
- Mo, S.J.; Lee, K.; Hong, H.J.; Hong, D.K.; Jung, S.H.; Park, S.D.; Shim, J.J.; Lee, J.L. Effects of Lactobacillus Curvatus HY7601 and Lactobacillus Plantarum KY1032 on Overweight and the Gut Microbiota in Humans: Randomized, Double-Blinded, Placebo-Controlled Clinical Trial. Nutrients 2022, 14, 2484. [Google Scholar] [CrossRef]
- Zhang, C.Y.; Jiang, S.J.; Cao, J.J.; Xu, Y.; Wang, X.Y.; Li, R.; Miao, Z.W. Investigating the Causal Relationship between Gut Microbiota and Gastroenteropancreatic Neuroendocrine Neoplasms: A Bidirectional Mendelian Randomization Study. Front. Microbiol. 2024, 15, 1420167. [Google Scholar] [CrossRef]
- Cornejo-Pareja, I.; Amiar, M.R.; Ocaña-Wilhelmi, L.; Soler-Humanes, R.; Arranz-Salas, I.; Garrido-Sánchez, L.; Gutiérrez-Repiso, C.; Tinahones, F.J. Non-Alcoholic Fatty Liver Disease in Patients with Morbid Obesity: The Gut Microbiota Axis as a Potential Pathophysiology Mechanism. J. Gastroenterol. 2024, 59, 329. [Google Scholar] [CrossRef]
- Rodríguez-Daza, M.C.; Roquim, M.; Dudonné, S.; Pilon, G.; Levy, E.; Marette, A.; Roy, D.; Desjardins, Y. Berry Polyphenols and Fibers Modulate Distinct Microbial Metabolic Functions and Gut Microbiota Enterotype-Like Clustering in Obese Mice. Front. Microbiol. 2020, 11, 2032. [Google Scholar] [CrossRef]
- Parekh, P.I.; Petro, A.E.; Tiller, J.M.; Feinglos, M.N.; Surwit, R.S. Reversal of Diet-Induced Obesity and Diabetes in C57BL/6J Mice. Metabolism 1998, 47, 1089–1096. [Google Scholar] [CrossRef] [PubMed]
- Koh, A.; De Vadder, F.; Kovatcheva-Datchary, P.; Bäckhed, F. From Dietary Fiber to Host Physiology: Short-Chain Fatty Acids as Key Bacterial Metabolites. Cell 2016, 165, 1332–1345. [Google Scholar] [CrossRef] [PubMed]
- Schön, M.E.; Martijn, J.; Vosseberg, J.; Köstlbacher, S.; Ettema, T.J.G. The Evolutionary Origin of Host Association in the Rickettsiales. Nat. Microbiol. 2022, 7, 1189–1199. [Google Scholar] [CrossRef] [PubMed]
- Weinert, L.A.; Werren, J.H.; Aebi, A.; Stone, G.N.; Jiggins, F.M. Evolution and Diversity of Rickettsia Bacteria. BMC Biol. 2009, 7, 6. [Google Scholar] [CrossRef]
- Frank, R.A.W.; Titman, C.M.; Pratap, J.V.; Luisi, B.F.; Perham, R.N. A Molecular Switch and Proton Wire Synchronize the Active Sites in Thiamine Enzymes. Science 2004, 306, 872–876. [Google Scholar] [CrossRef]
- Lonsdale, D. A Review of the Biochemistry, Metabolism and Clinical Benefits of Thiamin(e) and Its Derivatives. Evid.-Based Complement. Altern. Med. 2006, 3, 49–59. [Google Scholar] [CrossRef]
- Maguire, D.; Talwar, D.; Shiels, P.G.; McMillan, D. The Role of Thiamine Dependent Enzymes in Obesity and Obesity Related Chronic Disease States: A Systematic Review. Clin. Nutr. ESPEN 2018, 25, 8–17. [Google Scholar] [CrossRef]









| Component | AIN93M | HFD | ||
|---|---|---|---|---|
| g/100 g of Diet | % | g/100 g of Diet | % | |
| Total fat | 4.00 | 11.46 | 20.90 | 45.03 |
| Total carbohydrate | 45.50 | 57.96 | 37.50 | 35.99 |
| Protein | 24.00 | 30.57 | 19.80 | 18.98 |
| Fiber | 5.00 | - | 5.00 | - |
| Ashes | 9.00 | - | 9.00 | - |
| Calories (kcal/100 g of diet) | 314 | - | 417 | - |
| Parameter | Phase 1 | Phase 2 | ||||
|---|---|---|---|---|---|---|
| CTN | HFD | p Value | CTN | HFD | p Value | |
| Final body weight [g] | 28.12 ± 1.40 | 30.42 ± 1.97 | 0.0416 | 27.12 ± 1.70 | 27.76 ± 1.14 | 0.4197 |
| Δ Weight [g] | 2.08 ± 1.35 | 7.18 ± 2.43 | 0.0004 | −0.93 ± 2.27 | −3.84 ± 2.28 | 0.0338 |
| Final abdominal circumference [cm] | 7.23 ± 0.34 | 7.63 ± 0.30 | 0.0375 | 6.51 ± 0.44 | 6.46 ± 0.24 | 0.7837 |
| Δ abdominal circumference [cm] | - | - | - | −0.38 ± 0.38 | −1.03 ± 0.24 | 0.0033 |
| Lee index | 3.37 ± 0.16 | 3.89 ± 0.13 | 0.0126 | 3.67 ± 0.07 | 3.92 ± 0.10 | <0.0001 |
| Tail blood glucose [mg/dL] | 120.0 ± 11.52 | 142.9 ± 9.83 | 0.0011 | 149.3 ± 9.55 | 149.2 ± 11.99 | 0.9844 |
Disclaimer/Publisher’s Note: The statements, opinions and data contained in all publications are solely those of the individual author(s) and contributor(s) and not of MDPI and/or the editor(s). MDPI and/or the editor(s) disclaim responsibility for any injury to people or property resulting from any ideas, methods, instructions or products referred to in the content. |
© 2025 by the authors. Licensee MDPI, Basel, Switzerland. This article is an open access article distributed under the terms and conditions of the Creative Commons Attribution (CC BY) license (https://creativecommons.org/licenses/by/4.0/).
Share and Cite
Campos, I.X.; Mishima, M.D.V.; Milagro, F.I.; Peluzio, M.d.C.G. A Low-Cost, High-Fat Diet Effectively Induces Obesity and Metabolic Alterations and Diet Normalization Modulates Microbiota in C57BL/6 Mice. Nutrients 2025, 17, 3806. https://doi.org/10.3390/nu17233806
Campos IX, Mishima MDV, Milagro FI, Peluzio MdCG. A Low-Cost, High-Fat Diet Effectively Induces Obesity and Metabolic Alterations and Diet Normalization Modulates Microbiota in C57BL/6 Mice. Nutrients. 2025; 17(23):3806. https://doi.org/10.3390/nu17233806
Chicago/Turabian StyleCampos, Iasmim Xisto, Marcella Duarte Villas Mishima, Fermín I. Milagro, and Maria do Carmo Gouveia Peluzio. 2025. "A Low-Cost, High-Fat Diet Effectively Induces Obesity and Metabolic Alterations and Diet Normalization Modulates Microbiota in C57BL/6 Mice" Nutrients 17, no. 23: 3806. https://doi.org/10.3390/nu17233806
APA StyleCampos, I. X., Mishima, M. D. V., Milagro, F. I., & Peluzio, M. d. C. G. (2025). A Low-Cost, High-Fat Diet Effectively Induces Obesity and Metabolic Alterations and Diet Normalization Modulates Microbiota in C57BL/6 Mice. Nutrients, 17(23), 3806. https://doi.org/10.3390/nu17233806

