The Effect of Protein Supplementation and Playing Time on Recovery Kinetics During a Congested Basketball Schedule
Abstract
1. Introduction
2. Materials and Methods
2.1. Experimental Design

2.2. Participants
| PRO—High PT (n = 9) | PRO—Mod PT (n = 9) | PLA—High PT (n = 9) | PLA—Mod PT (n = 9) | p Value | |
|---|---|---|---|---|---|
| Playing Time (min) | 29:22 ± 3:06 | 15:21 ± 2:33 a | 29:23 ± 3:07 | 15:22 ± 2:08 c | 0.333 |
| Height (m) | 1.86 ± 0.07 | 1.90 ± 0.05 | 1.86 ± 0.07 | 1.90 ± 0.05 | - |
| Body Mass (kg) | 85.76 ± 9.16 | 89.71 ± 9.94 | 85.68 ± 9.30 | 89.99 ± 9.76 | 0.106 |
| RMR (kcal/day) | 1730.44 ± 287.47 | 1815.56 ± 154.20 | 1759.33 ± 327.42 | 1817.56 ± 153.30 | 0.399 |
| Lean Mass (kg) | 64.18 ± 5.6 | 66.58 ± 4.23 | 64.14 ± 5.50 | 66.78 ± 4.41 | 0.357 |
| Fat Mass (kg) | 17.07 ± 5.60 | 17.35 ± 5.55 | 17.12 ± 5.30 | 17.01 ± 4.99 | 0.418 |
| Body Mass Index (BMI) (kg/m2) | 24.67 ± 2.05 | 24.84 ± 1.81 | 24.65 ± 2.05 | 24.92 ± 1.75 | 0.97 |
| YoYo IE2 (m) | 1448.89 ± 688.12 | 1442.22 ± 321.63 | 1453.33 ± 697.14 | 1428.89 ± 309.37 | 0.421 |
| YoYo IR2 (m) | 613.33 ± 203.96 | 642.22 ± 167.46 | 604.44 ± 205.37 | 655.56 ± 142.05 | 0.291 |
| Countermovement Jump (CMJ) (cm) | 38.00 ± 7.42 | 38.14 ± 5.00 | 38.33 ± 7.02 | 38.76 ± 4.61 | 0.633 |
| Speed 5 m (s) | 1.025 ± 0.045 | 1.007 ± 0.061 | 1.019 ± 0.046 | 1.004 ± 0.070 | 0.767 |
| Speed 10 m (s) | 1.737 ± 0.077 | 1.718 ± 0.069 | 1.744 ± 0.061 | 1.724 ± 0.063 | 0.981 |
| t-Test (s) | 8.95 ± 0.32 | 9.05 ± 0.13 | 8.99 ± 0.35 | 9.02 ± 0.10 | 0.348 |
| 1RM Bench Press (kg) | 87.22 ± 7.12 | 88.10 ± 8.53 | 87.27 ± 7.64 | 88.34 ± 9.07 | 0.679 |
| 1RM Back Squat (kg) | 142.78 ± 19.86 | 131.44 ± 11.58 | 143.33 ± 19.60 | 131.41 ± 8.80 | 0.800 |
2.3. Diet Monitoring and Supplementation
2.4. Baseline Testing
2.4.1. Anthropometrics and Body Composition
2.4.2. Resting Metabolic Rate
2.4.3. Agility and Speed Performance Assessment
2.4.4. Lower-Limb Power
2.4.5. Strength Assessment
2.4.6. Basketball-Specific Conditioning Assessment
2.5. Study Outcomes
2.5.1. Muscle Function
2.5.2. Blood Sampling and Assays
2.6. Statistical Analyses
3. Results
3.1. Participants’ Characteristics
3.2. Dietary Intake
| Day 1 G1-Day | Day 2 G2-Day | Day 3 G3-Day | Day 4 24 h Post-G3 | Day 5 48 h Post-G3 | |
|---|---|---|---|---|---|
| Total energy (kcal/day) | |||||
| PRO—High PT | 2414.37 ± 276.74 | 2305.52 ± 340.83 | 2606.76 ± 444.15 | 2427.99 ± 357.24 | 2207.10 ± 248.3 |
| PRO—Mod PT | 2492.48 ± 402.45 | 2588.26 ± 504.53 | 2596.18 ± 462.28 | 2358.91 ± 403.02 | 2291.71 ± 240.72 |
| PLA—High PT | 2371.58 ± 272.08 | 2359.03 ± 301.11 | 2541.9 ± 490.59 | 2389.41 ± 359.51 | 2164.52 ± 218.76 |
| PLA—Mod PT | 2485.36 ± 414.45 | 2618.98 ± 520.03 | 2622.66 ± 479.63 | 2369.12 ± 425.97 | 2313.09 ± 224.80 |
| Protein (g/day) | |||||
| PRO—High PT | 191.63 ± 18.82 | 178.74 ± 22.48 | 188.59 ± 7.8 | 131.17 ± 11.17 * | 129.26 ± 10.77 * |
| PRO—Mod PT | 189.88 ± 27.03 | 191.84 ± 32.53 | 178.98 ± 31.4 | 132.12 ± 21.56 * | 128.18 ± 21.64 * |
| PLA—High PT | 111.56 ± 16.71 a | 103.76 ± 17.56 a | 104.05 ± 6.91 a | 103.25 ± 10.56 a | 105.84 ± 8.39 a |
| PLA—Mod PT | 109.78 ± 26.53 b | 110.64 ± 29.08 b | 103.82 ± 28.12 b | 109.1 ± 22.69 b | 105.87 ± 21.07 b |
| Protein (g/kg BW/day) | |||||
| PRO—High PT | 2.26 ± 0.34 | 2.11 ± 0.32 | 2.23 ± 0.26 | 1.55 ± 0.2 * | 1.52 ± 0.15 * |
| PRO—Mod PT | 2.14 ± 0.39 | 2.16 ± 0.43 | 2.02 ± 0.41 | 1.49 ± 0.26 * | 1.44 ± 0.24 * |
| PLA—High PT | 1.32 ± 0.26 a | 1.22 ± 0.21 a | 1.23 ± 0.18 a | 1.22 ± 0.18 a | 1.23 ± 0.15 a |
| PLA—Mod PT | 1.23 ± 0.31 b | 1.24 ± 0.34 b | 1.17 ± 0.33 b | 1.23 ± 0.28 b | 1.19 ± 0.23 b |
| Carbohydrate (g/day) | |||||
| PRO—High PT | 240.02 ± 36.67 | 220.57 ± 35.84 | 232.95 ± 31.29 | 252.28 ± 47.92 | 240.33 ± 61.9 |
| PRO—Mod PT | 266.36 ± 65.63 | 262.84 ± 56.55 | 275.71 ± 57.91 | 278.7 ± 55.76 | 258.06 ± 63.86 |
| PLA—High PT | 315.36 ± 24.68 a | 301.96 ± 34.23 a | 303.58 ± 43.46 a | 280.44 ± 47.86 *,a | 260.14 ± 57.02 *,a |
| PLA—Mod PT | 343.95 ± 64.29 b | 347.67 ± 59.64 b | 357.51 ± 57.64 b | 301.14 ± 55.57 *,b | 283.44 ± 64.74 *,b |
| Fat (g/day) | |||||
| PRO—High PT | 76.42 ± 26.05 | 78.70 ± 20.57 | 102.29 ± 45.28 | 99.35 ± 39.31 | 79.86 ± 15.45 |
| PRO—Mod PT | 74.17 ± 16.84 | 85.5 ± 27.79 | 86.38 ± 27.1 | 79.51 ± 21.91 | 82.97 ± 16.49 |
| PLA—High PT | 73.76 ± 25.77 | 81.80 ± 22.71 | 101.26 ± 46.91 | 94.96 ± 36.92 | 78.62 ± 17.38 |
| PLA—Mod PT | 74.49 ± 18.7 | 87.3 ± 28.59 | 86.37 ± 27.26 | 80.9 ± 23.27 | 83.98 ± 16.86 |
| Cysteine (g/day) | |||||
| PRO—High PT | 8.73 ± 0.54 | 8.68 ± 0.56 | 8.86 ± 0.59 | 3.22 ± 0.4 * | 3.25 ± 0.57 * |
| PRO—Mod PT | 8.78 ± 0.59 | 8.81 ± 0.63 | 8.63 ± 0.67 | 3.32 ± 0.68 * | 3.18 ± 0.57 * |
| PLA—High PT | 1.69 ± 0.56 a | 1.46 ± 0.59 a | 1.72 ± 0.61 a | 1.44 ± 0.41 a | 1.41 ± 0.57 a |
| PLA—Mod PT | 1.64 ± 0.65 b | 1.61 ± 0.62 b | 1.45 ± 0.7 b | 1.55 ± 0.72 b | 1.38 ± 0.57 b |
| Glutamic Acid (g/day) | |||||
| PRO—High PT | 39.96 ± 7.18 | 37.74 ± 8.11 | 39.28 ± 6.93 | 24.43 ± 6.05 * | 24.73 ± 7.74 * |
| PRO—Mod PT | 38.96 ± 9.22 | 39.44 ± 6.62 | 37.47 ± 10.1 | 25.85 ± 11.67 * | 23.83 ± 7.26 * |
| PLA—High PT | 25.1 ± 7.69 a | 22.56 ± 8.71 a | 24.17 ± 7.54 a | 20.59 ± 6.43 a | 20.86 ± 7.91 a |
| PLA—Mod PT | 23.62 ± 9.4 b | 23.15 ± 9.37 b | 21.58 ± 10.74 b | 22.3 ± 12.18 b | 20.27 ± 7.53 b |
| Glycine (g/day) | |||||
| PRO—High PT | 3.39 ± 0.34 | 3.44 ± 0.28 | 3.49 ± 0.24 | 2.39 ± 0.28 * | 2.41 ± 0.24 * |
| PRO—Mod PT | 3.41 ± 0.25 | 3.44 ± 0.25 | 3.51 ± 0.27 | 2.42 ± 0.17 * | 2.41 ± 0.17 * |
| PLA—High PT | 2.03 ± 0.33 a | 2.06 ± 0.29 a | 2.1 ± 0.24 a | 2.06 ± 0.27 a | 2.05 ± 0.24 a |
| PLA—Mod PT | 2.03 ± 0.26 b | 2.05 ± 0.25 b | 2.13 ± 0.28 b | 2.09 ± 0.19 b | 2.06 ± 0.18 b |
3.3. Performance
3.3.1. Isometric Strength
| Pre-G1 | Pre-G2 | Pre-G3 | 24 h Post-G3 | 48 h Post-G3 | 72 h Post-G3 | |
|---|---|---|---|---|---|---|
| Isometric Strength (Nm)—Knee Extensors | ||||||
| PRO—High PT | 310.22 ± 51.58 | 285.77 ± 48.80 * | 270.57 ± 42.87 * | 270.88 ± 47.83 * | 284.89 ± 42.39 * | 299.22 ± 59.34 |
| PRO—Mod PT | 316.63 ± 26.26 | 290.16 ± 20.40 * | 290.80 ± 27.79 * | 287.44 ± 34.96 * | 291.86 ± 30.69 | 299.14 ± 40.95 |
| PLA—High PT | 306.97 ± 52.85 | 281.22 ± 46.35 * | 282.56 ± 52.42 * | 278.59 ± 51.79 * | 279.47 ± 52.42 * | 296.60 ± 49.33 |
| PLA—Mod PT | 306.83 ± 35.79 | 277.32 ± 28.85 * | 284.62 ± 37.02 * | 283.41 ± 30.45 * | 292.62 ± 28.98 | 294.77 ± 31.22 |
| Isometric Strength (Nm)—Knee Flexors | ||||||
| PRO—High PT | 193.46 ± 26.58 | 174.24 ± 22.51 * | 160.73 ± 18.64 * | 166.51 ± 19.92 * | 175.54 ± 30.38 * | 175.56 ± 24.17 * |
| PRO—Mod PT | 194.47 ± 15.23 | 173.27 ± 12.75 * | 168.32 ± 21.43 * | 173.72 ± 21.79 * | 179.42 ± 20.15 * | 177.83 ± 25.21 * |
| PLA—High PT | 185.00 ± 21.34 | 161.06 ± 23.87 * | 160.10 ± 22.91 * | 163.74 ± 14.51 * | 172.48 ± 22.19 * | 171.17 ± 26.62 * |
| PLA—Mod PT | 191.29 ± 9.88 | 181.54 ± 11.75 | 175.59 ± 15.03 * | 175.89 ± 20.03 * | 182.77 ± 15.85 | 177.33 ± 11.80 * |
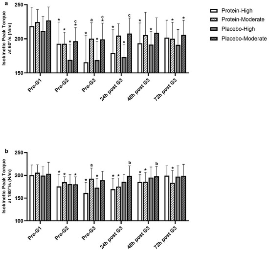
3.3.2. Concentric Peak Torque
| Pre-G1 | Pre-G2 | Pre-G3 | 24 h Post-G3 | 48 h Post-G3 | 72 h Post-G3 | |
|---|---|---|---|---|---|---|
| Concentric Peak Torque (Nm) at 60 °/s—Knee Extensors | ||||||
| PRO—High PT | 257.72 ± 32.11 | 254.11 ± 35.99 | 221.22 ± 43.43 * | 223.28 ± 41.50 * | 238.46 ± 30.72 | 253.50 ± 29.48 |
| PRO—Mod PT | 258.73 ± 39.38 | 260.57 ± 40.62 | 252.53 ± 36.53 | 242.54 ± 36.47 | 245.24 ± 38.45 | 256.99 ± 40.07 |
| PLA—High PT | 254.16 ± 34.42 | 226.91 ± 21.70 *,a | 222.10 ± 36.44 * | 227.73 ± 32.48 * | 232.87 ± 29.02 * | 248.66 ± 37.52 |
| PLA—Mod PT | 269.53 ± 36.91 | 247.56 ± 37.31 | 247.83 ± 38.53 | 244.44 ± 34.78 * | 239.68 ± 30.64 * | 254.68 ± 31.92 |
| Concentric Peak Torque (Nm) at 180 °/s—Knee Extensors | ||||||
| PRO—High PT | 190.27 ± 24.51 | 182.16 ± 28.01 * | 171.56 ± 23.50 * | 175.88 ± 26.90 * | 180.68 ± 18.81 | 181.39 ± 22.01 |
| PRO—Mod PT | 193.66 ± 19.99 | 186.22 ± 23.18 | 192.42 ± 20.50 | 183.69 ± 20.34 * | 185.06 ± 21.55 | 187.67 ± 22.64 |
| PLA—High PT | 186.22 ± 22.32 | 174.77 ± 17.45 | 176.08 ± 19.83 | 177.60 ± 19.72 | 175.90 ± 19.47 | 181.10 ± 19.06 |
| PLA—Mod PT | 200.14 ± 20.58 | 182.83 ± 27.01 * | 184.83 ± 20.56 * | 181.25 ± 22.26 * | 181.50 ± 20.58 * | 191.66 ± 18.35 |
| Concentric Peak Torque (Nm) at 60 °/s—Knee Flexors | ||||||
| PRO—High PT | 171.17 ± 19.17 | 161.86 ± 20.62 | 149.58 ± 19.74 * | 151.53 ± 25.43 * | 163.01 ± 23.22 | 168.63 ± 24.91 |
| PRO—Mod PT | 173.80 ± 14.87 | 157.83 ± 12.47 * | 166.17 ± 15.34 | 158.82 ± 15.89 | 155.19 ± 12.17 | 163.62 ± 14.71 |
| PLA—High PT | 171.87 ± 16.62 | 152.17 ± 18.74 * | 150.26 ± 18.56 * | 152.69 ± 16.17 * | 157.86 ± 23.40 | 156.81 ± 16.94 |
| PLA—Mod PT | 174.16 ± 17.04 | 169.02 ± 18.49 | 163.53 ± 16.72 | 158.46 ± 17.25 * | 154.30 ± 17.08 | 161.86 ± 14.13 |
| Concentric Peak Torque (Nm) at 180 °/s—Knee Flexors | ||||||
| PRO—High PT | 138.31 ± 17.98 | 127.40 ± 23.01 | 116.70 ± 17.39 | 120.34 ± 17.99 | 120.47 ± 12.33 | 137.76 ± 16.22 |
| PRO—Mod PT | 147.42 ± 13.79 | 131.84 ± 14.21 | 130.49 ± 16.82 | 131.30 ± 15.64 | 148.33 ± 18.67 a | 145.83 ± 20.64 |
| PLA—High PT | 137.67 ± 19.26 | 120.44 ± 10.76 | 119.17 ± 13.39 | 114.59 ± 8.32 | 128.26 ± 22.19 | 133.89 ± 18.75 |
| PLA—Mod PT | 145.32 ± 17.92 | 132.59 ± 23.53 | 133.68 ± 16.26 | 135.48 ± 18.11 c | 130.87 ± 16.02 b | 137.58 ± 19.89 |
3.3.3. Eccentric Peak Torque of Knee Flexors

3.3.4. Conventional Ratio
| Pre-G1 | Pre-G2 | Pre-G3 | 24 h Post-G3 | 48 h Post-G3 | 72 h Post-G3 | |
|---|---|---|---|---|---|---|
| Conventional ratio at 60 °/s | ||||||
| Pro—High PT | 0.6677 ± 0.0649 | 0.6420 ± 0.0845 | 0.6995 ± 0.1676 | 0.6883 ± 0.1148 | 0.6877 ± 0.0948 | 0.6659 ± 0.0785 |
| Pro—Mod PT | 0.6875 ± 0.1400 | 0.6199 ± 0.1226 | 0.6671 ± 0.0912 | 0.6599 ± 0.0466 | 0.6424 ± 0.0845 | 0.6445 ± 0.0641 |
| Pla—High PT | 0.6876 ± 0.1202 | 0.6717 ± 0.0725 | 0.6844 ± 0.0884 | 0.6773 ± 0.0847 | 0.6809 ± 0.0968 | 0.6389 ± 0.0829 |
| Pla—Mod PT | 0.6538 ± 0.0829 | 0.6926 ± 0.0980 | 0.6664 ± 0.0645 | 0.6543 ± 0.0758 | 0.6472 ± 0.0597 | 0.6430 ± 0.0856 |
| Conventional ratio at 180 °/s | ||||||
| Pro—High PT | 0.7297 ± 0.0700 | 0.7013 ± 0.0835 | 0.6809 ± 0.0563 | 0.6860 ± 0.0558 | 0.6702 ± 0.0707 | 0.7649 ± 0.0957 |
| Pro—Mo PT | 0.7655 ± 0.0812 | 0.7141 ± 0.0900 | 0.6853 ± 0.1168 * | 0.7166 ± 0.0671 | 0.8085 ± 0.1197 | 0.7809 ± 0.1021 |
| Pla—High PT | 0.7393 ± 0.0608 | 0.6909 ± 0.0424 | 0.6783 ± 0.0477 * | 0.6491 ± 0.0493 * | 0.7266 ± 0.0807 | 0.7393 ± 0.0717 |
| Pla—Mod PT | 0.7263 ± 0.0548 | 0.7271 ± 0.0903 | 0.7256 ± 0.0710 | 0.7525 ± 0.0940 | 0.7240 ± 0.0783 b | 0.7187 ± 0.0848 b |
3.3.5. Functional Ratio

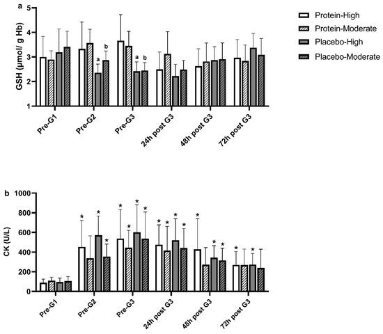
3.4. Blood Redox Status and Muscle Damage Indices

4. Discussion
5. Conclusions
Author Contributions
Funding
Institutional Review Board Statement
Informed Consent Statement
Data Availability Statement
Acknowledgments
Conflicts of Interest
References
- Svilar, L.; Jukic, I. Load Monitoring System in Top-Level Basketball Team: Relationship between External and Internal Training Load. Kinesiology 2018, 50, 25–33. [Google Scholar] [CrossRef]
- Salazar, H.; Castellano, J.; Svilar, L. Differences in External Load Variables Between Playing Positions in Elite Basketball Match-Play. J. Hum. Kinet. 2020, 75, 257–266. [Google Scholar] [CrossRef]
- Scanlan, A.; Dascombe, B.; Reaburn, P. A Comparison of the Activity Demands of Elite and Sub-Elite Australian Men’s Basketball Competition. J. Sports Sci. 2011, 29, 1153–1160. [Google Scholar] [CrossRef]
- Draganidis, D.; Chondrogianni, N.; Chatzinikolaou, A.; Terzis, G.; Karagounis, L.G.; Sovatzidis, A.; Avloniti, A.; Lefaki, M.; Protopapa, M.; Deli, C.K.; et al. Protein Ingestion Preserves Proteasome Activity during Intense Aseptic Inflammation and Facilitates Skeletal Muscle Recovery in Humans. Br. J. Nutr. 2017, 118, 189–200. [Google Scholar] [CrossRef]
- Chatzinikolaou, A.; Fatouros, I.G.; Gourgoulis, V.; Avloniti, A.; Jamurtas, A.Z.; Nikolaidis, M.G.; Douroudos, I.; Michailidis, Y.; Beneka, A.; Malliou, P.; et al. Time Course of Changes in Performance and Inflammatory Responses After Acute Plyometric Exercise. J. Strength Cond. Res. 2010, 24, 1389–1398. [Google Scholar] [CrossRef]
- Chatzinikolaou, A.; Draganidis, D.; Avloniti, A.; Karipidis, A.; Jamurtas, A.Z.; Skevaki, C.L.; Tsoukas, D.; Sovatzidis, A.; Theodorou, A.; Kambas, A.; et al. The Microcycle of Inflammation and Performance Changes after a Basketball Match. J. Sports Sci. 2014, 32, 870–882. [Google Scholar] [CrossRef]
- Souglis, A.; Bogdanis, G.C.; Giannopoulou, I.; Papadopoulos, C.; Apostolidis, N. Comparison of Inflammatory Responses and Muscle Damage Indices Following a Soccer, Basketball, Volleyball and Handball Game at an Elite Competitive Level. Res. Sports Med. 2015, 23, 59–72. [Google Scholar] [CrossRef] [PubMed]
- Pliauga, V.; Kamandulis, S.; Dargevičiūtė, G.; Jaszczanin, J.; Klizienė, I.; Stanislovaitienė, J.; Stanislovaitis, A. The Effect of a Simulated Basketball Game on Players’ Sprint and Jump Performance, Temperature and Muscle Damage. J. Hum Kinet. 2015, 46, 167–175. [Google Scholar] [CrossRef] [PubMed]
- Delextrat, A.; Hippocrate, A.; Leddington-Wright, S.; Clarke, N.D. Including Stretches to a Massage Routine Improves Recovery From Official Matches in Basketball Players. J. Strength Cond Res. 2014, 28, 716–727. [Google Scholar] [CrossRef]
- Sansone, P.; Gasperi, L.; Conte, D.; Scanlan, A.T.; Sampaio, J.; Gómez-Ruano, M.Á. Game Schedule, Travel Demands and Contextual Factors Influence Key Game-Related Statistics among the Top European Male Basketball Teams. J. Sports Sci. 2024, 42, 1759–1766. [Google Scholar] [CrossRef] [PubMed]
- Esteves, P.T.; Mikolajec, K.; Schelling, X.; Sampaio, J. Basketball Performance Is Affected by the Schedule Congestion: NBA Back-to-backs under the Microscope. Eur. J. Sport Sci. 2021, 21, 26–35. [Google Scholar] [CrossRef]
- Vázquez-Guerrero, J.; Jones, B.; Fernández-Valdés, B.; Moras, G.; Reche, X.; Sampaio, J. Physical Demands of Elite Basketball during an Official U18 International Tournament. J. Sports Sci. 2019, 37, 2530–2537. [Google Scholar] [CrossRef]
- Caparrós, T.; Casals, M.; Solana, Á.; Peña, J. Low External Workloads Are Related to Higher Injury Risk in Professional Male Basketball Games. J. Sports Sci. Med. 2018, 17, 289–297. [Google Scholar] [PubMed]
- Doeven, S.H.; Brink, M.S.; Huijgen, B.C.H.; de Jong, J.; Lemmink, K.A.P.M. Managing Load to Optimize Well-Being and Recovery During Short-Term Match Congestion in Elite Basketball. Int. J. Sports Physiol. Perform. 2021, 16, 45–50. [Google Scholar] [CrossRef]
- Orringer, M.J.; Pandya, N.K. Acutely Increased Workload Is Correlated with Significant Injuries among National Basketball Association Players. Int. J. Sports Sci. Coach. 2022, 17, 568–575. [Google Scholar] [CrossRef]
- Hulin, B.; Gabbett, T.; Lawson, D.; Caputi, P.; Sampson, J. The Acute: Chronic Workload Ratio Predicts Injury: High Chronic Workload May Decrease Injury Risk in Elite Rugby League Players. Br. J. Sports Med. 2015, 50, 231–236. [Google Scholar] [CrossRef] [PubMed]
- Montgomery, P.G.; Pyne, D.B.; Hopkins, W.G.; Dorman, J.C.; Cook, K.; Minahan, C.L. The Effect of Recovery Strategies on Physical Performance and Cumulative Fatigue in Competitive Basketball. J. Sports Sci. 2008, 26, 1135–1145. [Google Scholar] [CrossRef] [PubMed]
- Montgomery, P.G.; Pyne, D.B.; Cox, A.J.; Hopkins, W.G.; Minahan, C.L.; Hunt, P.H. Muscle Damage, Inflammation, and Recovery Interventions during a 3-day Basketball Tournament. Eur. J. Sport Sci. 2008, 8, 241–250. [Google Scholar] [CrossRef]
- Howle, K.; Waterson, A.; Duffield, R. Recovery Profiles Following Single and Multiple Matches per Week in Professional Football. Eur. J. Sport Sci. 2019, 19, 1303–1311. [Google Scholar] [CrossRef]
- Poulios, A.; Georgakouli, K.; Draganidis, D.; Deli, C.K.; Tsimeas, P.D.; Chatzinikolaou, A.; Papanikolaou, K.; Batrakoulis, A.; Mohr, M.; Jamurtas, A.Z.; et al. Protein-Based Supplementation to Enhance Recovery in Team Sports: What Is the Evidence? J. Sports Sci. Med. 2019, 18, 523–536. [Google Scholar] [PubMed]
- Heaton, L.E.; Davis, J.K.; Rawson, E.S.; Nuccio, R.P.; Witard, O.C.; Stein, K.W.; Baar, K.; Carter, J.M.; Baker, L.B. Selected In-Season Nutritional Strategies to Enhance Recovery for Team Sport Athletes: A Practical Overview. Sports Med. 2017, 47, 2201–2218. [Google Scholar] [CrossRef]
- Pasiakos, S.M.; Lieberman, H.R.; McLellan, T.M. Effects of Protein Supplements on Muscle Damage, Soreness and Recovery of Muscle Function and Physical Performance: A Systematic Review. Sports Med. 2014, 44, 655–670. [Google Scholar] [CrossRef]
- Pearson, A.G.; Hind, K.; Macnaughton, L.S. The Impact of Dietary Protein Supplementation on Recovery from Resistance Exercise-Induced Muscle Damage: A Systematic Review with Meta-Analysis. Eur. J. Clin. Nutr. 2023, 77, 767–783. [Google Scholar] [CrossRef]
- Cruzat, V.F.; Pantaleão, L.C.; Donato, J.; de Bittencourt, P.I.H.; Tirapegui, J. Oral Supplementations with Free and Dipeptide Forms of L-Glutamine in Endotoxemic Mice: Effects on Muscle Glutamine-Glutathione Axis and Heat Shock Proteins. J. Nutr. Biochem. 2014, 25, 345–352. [Google Scholar] [CrossRef]
- Michailidis, Y.; Karagounis, L.G.; Terzis, G.; Jamurtas, A.Z.; Spengos, K.; Tsoukas, D.; Chatzinikolaou, A.; Mandalidis, D.; Stefanetti, R.J.; Papassotiriou, I.; et al. Thiol-Based Antioxidant Supplementation Alters Human Skeletal Muscle Signaling and Attenuates Its Inflammatory Response and Recovery after Intense Eccentric Exercise. Am. J. Clin. Nutr. 2013, 98, 233–245. [Google Scholar] [CrossRef]
- Sakelliou, A.; Fatouros, I.G.; Athanailidis, I.; Tsoukas, D.; Chatzinikolaou, A.; Draganidis, D.; Jamurtas, A.Z.; Liacos, C.; Papassotiriou, I.; Mandalidis, D.; et al. Evidence of a Redox-Dependent Regulation of Immune Responses to Exercise-Induced Inflammation. Oxidative Med. Cell. Longev. 2016, 2016, 2840643. [Google Scholar] [CrossRef]
- Poulios, A.; Fatouros, I.G.; Mohr, M.; Draganidis, D.; Deli, C.K.; Papanikolaou, K.; Sovatzidis, A.; Nakopoulou, T.; Ermidis, G.; Tzatzakis, T.; et al. Post-Game High Protein Intake May Improve Recovery of Football-Specific Performance during a Congested Game Fixture: Results from the PRO-FOOTBALL Study. Nutrients 2018, 10, 494. [Google Scholar] [CrossRef]
- Gentle, H.L.; Love, T.D.; Howe, A.S.; Black, K.E. A Randomised Trial of Pre-Exercise Meal Composition on Performance and Muscle Damage in Well-Trained Basketball Players. J. Int. Soc. Sports Nutr. 2014, 11, 33. [Google Scholar] [CrossRef] [PubMed]
- FIBA Official Basketball Rules. Available online: https://refereeing.fiba.basketball/en/rules (accessed on 22 November 2024).
- Kreider, R.B.; Kalman, D.S.; Antonio, J.; Ziegenfuss, T.N.; Wildman, R.; Collins, R.; Candow, D.G.; Kleiner, S.M.; Almada, A.L.; Lopez, H.L. International Society of Sports Nutrition Position Stand: Safety and Efficacy of Creatine Supplementation in Exercise, Sport, and Medicine. J. Int. Soc. Sports Nutr. 2017, 14, 18. [Google Scholar] [CrossRef]
- Moore, D.R.; Areta, J.; Coffey, V.G.; Stellingwerff, T.; Phillips, S.M.; Burke, L.M.; Cléroux, M.; Godin, J.-P.; Hawley, J.A. Daytime Pattern of Post-Exercise Protein Intake Affects Whole-Body Protein Turnover in Resistance-Trained Males. Nutr. Metab. 2012, 9, 91. [Google Scholar] [CrossRef] [PubMed]
- Areta, J.L.; Burke, L.M.; Ross, M.L.; Camera, D.M.; West, D.W.D.; Broad, E.M.; Jeacocke, N.A.; Moore, D.R.; Stellingwerff, T.; Phillips, S.M.; et al. Timing and Distribution of Protein Ingestion during Prolonged Recovery from Resistance Exercise Alters Myofibrillar Protein Synthesis. J. Physiol. 2013, 591, 2319–2331. [Google Scholar] [CrossRef] [PubMed]
- Nieman, D.C.; Austin, M.D.; Benezra, L.; Pearce, S.; McInnis, T.; Unick, J.; Gross, S.J. Validation of Cosmed’s FitMateTM in Measuring Oxygen Consumption and Estimating Resting Metabolic Rate. Res. Sports Med. 2006, 14, 89–96. [Google Scholar] [CrossRef]
- Grgic, J.; Lazinica, B.; Schoenfeld, B.J.; Pedisic, Z. Test–Retest Reliability of the One-Repetition Maximum (1RM) Strength Assessment: A Systematic Review. Sports Med. Open 2020, 6, 31. [Google Scholar] [CrossRef]
- LeSuer, D.A.; McCormick, J.H.; Mayhew, J.L.; Wasserstein, R.L.; Arnold, M.D. The Accuracy of Prediction Equations for Estimating 1-RM Performance in the Bench Press, Squat, and Deadlift. J. Strength Cond. Res. 1997, 11, 211–213. [Google Scholar]
- Papanikolaou, K.; Chatzinikolaou, A.; Pontidis, T.; Avloniti, A.; Deli, C.K.; Leontsini, D.; Draganidis, D.; Tsimeas, P.D.; Rafailakis, L.; Jamurtas, A.Z.; et al. The Yo-Yo Intermittent Endurance Level 2 Test: Reliability of Performance Scores, Physiological Responses and Overload Characteristics in Competitive Soccer, Basketball and Volleyball Players. J. Hum. Kinet. 2019, 67, 223–233. [Google Scholar] [CrossRef] [PubMed]
- Ingebrigtsen, J.; Bendiksen, M.; Randers, M.B.; Castagna, C.; Krustrup, P.; Holtermann, A. Yo-Yo IR2 Testing of Elite and Sub-Elite Soccer Players: Performance, Heart Rate Response and Correlations to Other Interval Tests. J. Sports Sci. 2012, 30, 1337–1345. [Google Scholar] [CrossRef]
- Draganidis, D.; Chatzinikolaou, A.; Avloniti, A.; Barbero-Álvarez, J.C.; Mohr, M.; Malliou, P.; Gourgoulis, V.; Deli, C.K.; Douroudos, I.I.; Margonis, K.; et al. Recovery Kinetics of Knee Flexor and Extensor Strength after a Football Match. PLoS ONE 2015, 10, e0128072. [Google Scholar] [CrossRef]
- Cozette, M.; Leprêtre, P.-M.; Doyle, C.; Weissland, T. Isokinetic Strength Ratios: Conventional Methods, Current Limits and Perspectives. Front. Physiol. 2019, 10, 567. [Google Scholar] [CrossRef] [PubMed]
- Tomin, T.; Bordag, N.; Zügner, E.; Al-Baghdadi, A.; Schinagl, M.; Birner-Gruenberger, R.; Schittmayer, M. Blood Plasma Quality Control by Plasma Glutathione Status. Antioxidants 2021, 10, 864. [Google Scholar] [CrossRef] [PubMed]
- Fatouros, I.G.; Chatzinikolaou, A.; Douroudos, I.I.; Nikolaidis, M.G.; Kyparos, A.; Margonis, K.; Michailidis, Y.; Vantarakis, A.; Taxildaris, K.; Katrabasas, I.; et al. Time-Course of Changes in Oxidative Stress and Antioxidant Status Responses Following a Soccer Game. J. Strength Cond. Res. 2010, 24, 3278–3286. [Google Scholar] [CrossRef]
- Mohr, M.; Draganidis, D.; Chatzinikolaou, A.; Barbero-Álvarez, J.C.; Castagna, C.; Douroudos, I.; Avloniti, A.; Margeli, A.; Papassotiriou, I.; Flouris, A.D.; et al. Muscle Damage, Inflammatory, Immune and Performance Responses to Three Football Games in 1 Week in Competitive Male Players. Eur. J. Appl. Physiol. 2016, 116, 179–193. [Google Scholar] [CrossRef]
- Ispirlidis, I.; Fatouros, I.G.; Jamurtas, A.Z.; Nikolaidis, M.G.; Michailidis, I.; Douroudos, I.; Margonis, K.; Chatzinikolaou, A.; Kalistratos, E.; Katrabasas, I.; et al. Time-Course of Changes in Inflammatory and Performance Responses Following a Soccer Game. Clin. J. Sport Med. 2008, 18, 423–431. [Google Scholar] [CrossRef]
- Hilkens, L.; De Bock, J.; Kretzers, J.; Kardinaal, A.F.M.; Floris-Vollenbroek, E.G.; Scholtens, P.A.M.J.; Horstman, A.M.H.; van Loon, L.J.C.; van Dijk, J.-W. Whey Protein Supplementation Does Not Accelerate Recovery from a Single Bout of Eccentric Exercise. J. Sports Sci. 2021, 39, 322–331. [Google Scholar] [CrossRef] [PubMed]
- Rosvoglou, A.; Fatouros, I.G.; Poulios, A.; Tsatalas, T.; Papanikolaou, K.; Karampina, E.; Liakou, C.A.; Tsimeas, P.; Karanika, P.; Tsoukas, D.; et al. Recovery Kinetics Following Eccentric Exercise Is Volume-Dependent. J. Sports Sci. 2023, 41, 1326–1335. [Google Scholar] [CrossRef] [PubMed]
- Moreira, A.; Nosaka, K.; Viveiros, L.; Nunes, J.A.; Jamurtas, T.; Aoki, M.S. Changes in Muscle Damage Markers in Female Basketball Players. Biol. Sport 2013, 31, 3–7. [Google Scholar] [CrossRef] [PubMed]
- Clarkson, P.M.; Hubal, M.J. Exercise-Induced Muscle Damage in Humans. Am. J. Phys. Med. Rehabil. 2002, 81, S52–S69. [Google Scholar] [CrossRef]
- Delextrat, A.; Trochym, E.; Calleja-González, J. Effect of a Typical In-Season Week on Strength Jump and Sprint Performances in National-Level Female Basketball Players. J. Sports Med. Phys. Fit. 2012, 52, 128–136. [Google Scholar]
- Kraemer, W.; Ratamess, N. Fundamentals of Resistance Training: Progression and Exercise Prescription. Med. Sci. Sports Exerc. 2004, 36, 674–688. [Google Scholar] [CrossRef]
- Jayaraman, A.; Liu, M.; Ye, F.; Walter, G.A.; Vandenborne, K. Regenerative Responses in Slow- and Fast-Twitch Muscles Following Moderate Contusion Spinal Cord Injury and Locomotor Training. Eur. J. Appl. Physiol. 2013, 113, 191–200. [Google Scholar] [CrossRef]
- Fang, C.H.; Li, B.G.; Tiao, G.; Wang, J.J.; Fischer, J.E.; Hasselgren, P.O. The Molecular Regulation of Protein Breakdown Following Burn Injury Is Different in Fast- and Slow-Twitch Skeletal Muscle. Int. J. Mol. Med. 1998, 1, 163–172. [Google Scholar] [CrossRef] [PubMed]
Disclaimer/Publisher’s Note: The statements, opinions and data contained in all publications are solely those of the individual author(s) and contributor(s) and not of MDPI and/or the editor(s). MDPI and/or the editor(s) disclaim responsibility for any injury to people or property resulting from any ideas, methods, instructions or products referred to in the content. |
© 2024 by the authors. Licensee MDPI, Basel, Switzerland. This article is an open access article distributed under the terms and conditions of the Creative Commons Attribution (CC BY) license (https://creativecommons.org/licenses/by/4.0/).
Share and Cite
Pantazis, D.; Avloniti, A.; Dimitrios, D.; Stampoulis, T.; Protopapa, M.; Kokkotis, C.; Balampanos, D.; Arsenis, S.; Poulios, A.; Papanikolaou, K.; et al. The Effect of Protein Supplementation and Playing Time on Recovery Kinetics During a Congested Basketball Schedule. Nutrients 2025, 17, 128. https://doi.org/10.3390/nu17010128
Pantazis D, Avloniti A, Dimitrios D, Stampoulis T, Protopapa M, Kokkotis C, Balampanos D, Arsenis S, Poulios A, Papanikolaou K, et al. The Effect of Protein Supplementation and Playing Time on Recovery Kinetics During a Congested Basketball Schedule. Nutrients. 2025; 17(1):128. https://doi.org/10.3390/nu17010128
Chicago/Turabian StylePantazis, Dimitrios, Alexandra Avloniti, Draganidis Dimitrios, Theodoros Stampoulis, Maria Protopapa, Christos Kokkotis, Dimitrios Balampanos, Sotirios Arsenis, Athanasios Poulios, Konstantinos Papanikolaou, and et al. 2025. "The Effect of Protein Supplementation and Playing Time on Recovery Kinetics During a Congested Basketball Schedule" Nutrients 17, no. 1: 128. https://doi.org/10.3390/nu17010128
APA StylePantazis, D., Avloniti, A., Dimitrios, D., Stampoulis, T., Protopapa, M., Kokkotis, C., Balampanos, D., Arsenis, S., Poulios, A., Papanikolaou, K., Laschou, V. C., Tsimeas, P., Vitkas, G., Papaspanos, N., Zaras, N., Gioftsidou, A., Malliou, P., Michalopoulou, M., Jamurtas, A. Z., ... Athanasios, C. (2025). The Effect of Protein Supplementation and Playing Time on Recovery Kinetics During a Congested Basketball Schedule. Nutrients, 17(1), 128. https://doi.org/10.3390/nu17010128

