Food-Protein-Induced Proctocolitis in Pre-Term Newborns with Bloody Stools in a Neonatal Intensive Care Unit
Abstract
1. Introduction
2. Materials and Methods
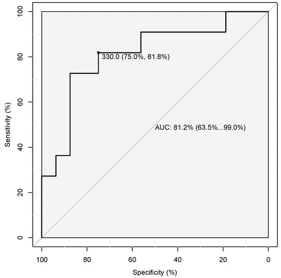
3. Results
4. Discussion
5. Conclusions
Author Contributions
Funding
Institutional Review Board Statement
Informed Consent Statement
Data Availability Statement
Conflicts of Interest
References
- Bahceci, S.; Kuyum Töz, P.; Celebi Celik, F.; Can, D. A Different Starting Line for Allergic March: Food Protein-Induced Allergic Proctocolitis. Allergol. Immunopathol. 2023, 51, 40–45. [Google Scholar] [CrossRef]
- Meyer, R.; Chebar Lozinsky, A.; Fleischer, D.M.; Vieira, M.C.; Du Toit, G.; Vandenplas, Y.; Dupont, C.; Knibb, R.; Uysal, P.; Cavkaytar, O.; et al. Diagnosis and Management of Non-IgE Gastrointestinal Allergies in Breastfed Infants—An EAACI Position Paper. Allergy 2020, 75, 14–32. [Google Scholar] [CrossRef] [PubMed]
- Burris, A.D.; Burris, J.; Järvinen, K.M. Cow’s Milk Protein Allergy in Term and Preterm Infants: Clinical Manifestations, Immunologic Pathophysiology, and Management Strategies. NeoReviews 2020, 21, e795–e808. [Google Scholar] [CrossRef] [PubMed]
- Ohtsuka, Y.; Shimizu, T.; Shoji, H.; Kudo, T.; Fujii, T.; Wada, M.; Sato, H.; Aoyagi, Y.; Haruna, H.; Nagata, S.; et al. Neonatal Transient Eosinophilic Colitis Causes Lower Gastrointestinal Bleeding in Early Infancy. J. Pediatr. Gastroenterol. Nutr. 2007, 44, 501–505. [Google Scholar] [CrossRef]
- Jang, H.-J.; Kim, A.S.; Hwang, J.-B. The Etiology of Small and Fresh Rectal Bleeding in Not-Sick Neonates: Should We Initially Suspect Food Protein-Induced Proctocolitis? Eur. J. Pediatr. 2012, 171, 1845–1849. [Google Scholar] [CrossRef]
- Miceli Sopo, S.; Monaco, S.; Bersani, G.; Romano, A.; Fantacci, C. Proposal for Management of the Infant with Suspected Food Protein-induced Allergic Proctocolitis. Pediatr. Allergy Immunol. 2018, 29, 215–218. [Google Scholar] [CrossRef]
- Koksal, B.T.; Barıs, Z.; Ozcay, F.; Yilmaz Ozbek, O. Single and Multiple Food Allergies in Infants with Proctocolitis. Allergol. Immunopathol. 2018, 46, 3–8. [Google Scholar] [CrossRef]
- Senocak, N.; Ertugrul, A.; Ozmen, S.; Bostanci, I. Clinical Features and Clinical Course of Food Protein—Induced Allergic Proctocolitis: 10-Year Experience of a Tertiary Medical Center. J. Allergy Clin. Immunol. Pract. 2022, 10, 1608–1613. [Google Scholar] [CrossRef]
- Morita, Y.; Iwakura, H.; Ohtsuka, H.; Kohno, Y.; Shimojo, N. Milk Allergy in the Neonatal Intensive Care Unit: Comparison between Premature and Full-Term Neonates. Asia Pac. Allergy 2013, 3, 35–41. [Google Scholar] [CrossRef] [PubMed]
- Florquin, M.; Eerdekens, A. What Is Known About Cow’s Milk Protein Allergy in Preterm Infants? Breastfeed. Med. 2023, 18, 767–778. [Google Scholar] [CrossRef]
- Powell, G.K. Enterocolitis in Low-Birth-Weight Infants Associated with Milk and Soy Protein Intolerance. J. Pediatr. 1976, 88, 840–844. [Google Scholar] [CrossRef]
- D’Auria, E.; Cocchi, I.; Monti, G.; Sartorio, M.U.A.; Daniele, I.; Lista, G.; Zuccotti, G.V. Food Protein-Induced Enterocolitis Syndrome in Preterm Newborns. Pediatr. Allergy Immunol. 2022, 33, e13676. [Google Scholar] [CrossRef] [PubMed]
- Coviello, C.; Rodriquez, D.C.; Cecchi, S.; Tataranno, M.L.; Farmeschi, L.; Mori, A.; Buonocore, G. Different Clinical Manifestation of Cow’s Milk Allergy in Two Preterm Twins Newborns. J. Matern. Fetal Neonatal Med. 2012, 25, 132–133. [Google Scholar] [CrossRef]
- Walsh, M.C.; Kliegman, R.M. Necrotizing Enterocolitis: Treatment Based on Staging Criteria. Pediatr. Clin. N. Am. 1986, 33, 179–201. [Google Scholar] [CrossRef] [PubMed]
- Juul, S.E.; Haynes, J.W.; McPherson, R.J. Evaluation of Eosinophilia in Hospitalized Preterm Infants. J. Perinatol. 2005, 25, 182–188. [Google Scholar] [CrossRef] [PubMed]
- Han, J.; Kil, T.; Yoon, J.; Kim, J.; Ko, K.; Lee, Y.; Lim, J. Hematologic Profiles and Eosinophilia in Very Low Birth Weight Infants. Korean J. Perinatol. 2011, 22, 285–294. [Google Scholar]
- Fayon, M.; Babin, J.P. Hypereosinophilia in premature newborn infants. Pediatrie 1988, 43, 667–672. [Google Scholar]
- Buonomo, C. The Radiology of Necrotizing Enterocolitis. Radiol. Clin. N. Am. 1999, 37, 1187–1198. [Google Scholar] [CrossRef]
- Moak, R.; Boone, N.; Eidson, N.; Rohrer, A.; Engevik, M.; Williams, K.; Chetta, K. Exploring the Links between Necrotizing Enterocolitis and Cow’s Milk Protein Allergy in Preterm Infants: A Narrative Review. Front. Pediatr. 2023, 11, 1274146. [Google Scholar] [CrossRef]
- Liu, H.; Turner, T.W.S. Allergic Colitis With Pneumatosis Intestinalis in an Infant. Pediatr. Emerg. Care 2018, 34, e14–e15. [Google Scholar] [CrossRef]
- Cordova, J.; Sriram, S.; Patton, T.; Jericho, H.; Gokhale, R.; Weinstein, D.; Sentongo, T. Manifestations of Cow’s-Milk Protein Intolerance in Preterm Infants. J. Pediatr. Gastroenterol. Nutr. 2016, 62, 140–144. [Google Scholar] [CrossRef] [PubMed]
- Mukhopadhyay, D.; Weaver, L.; Tobin, R.; Henderson, S.; Beeram, M.; Newell-Rogers, M.K.; Perger, L. Intrauterine Growth Restriction and Prematurity Influence Regulatory T Cell Development in Newborns. J. Pediatr. Surg. 2014, 49, 727–732. [Google Scholar] [CrossRef] [PubMed]
- Lahl, K.; Loddenkemper, C.; Drouin, C.; Freyer, J.; Arnason, J.; Eberl, G.; Hamann, A.; Wagner, H.; Huehn, J.; Sparwasser, T. Selective Depletion of Foxp3+ Regulatory T Cells Induces a Scurfy-like Disease. J. Exp. Med. 2007, 204, 57–63. [Google Scholar] [CrossRef] [PubMed]
- Dingle, B.M.; Liu, Y.; Fatheree, N.Y.; Min, J.; Rhoads, J.M.; Tran, D.Q. FoxP3+ Regulatory T Cells Attenuate Experimental Necrotizing Enterocolitis. PLoS ONE 2013, 8, e82963. [Google Scholar] [CrossRef] [PubMed]
- Pacella, I.; Di Chiara, M.; Prota, R.; De Luca, C.; Cardillo, A.; Potenza, E.; Grimaldos, A.P.; Pinna, V.; Piconese, S.; Terrin, G. Reduction in Regulatory T Cells in Preterm Newborns Is Associated with Necrotizing Enterocolitis. Pediatr. Res. 2023, 94, 1789–1796. [Google Scholar] [CrossRef]
- Steinborn, A.; Engst, M.; Haensch, G.M.; Mahnke, K.; Schmitt, E.; Meuer, S.; Sohn, C. Small for Gestational Age (SGA) Neonates Show Reduced Suppressive Activity of Their Regulatory T Cells. Clin. Immunol. 2010, 134, 188–197. [Google Scholar] [CrossRef]
- Tsabouri, S.; Nicolaou, N.; Douros, K.; Papadopoulou, A.; Priftis, K.N. Food Protein Induced Proctocolitis: A Benign Condition with an Obscure Immunologic Mechanism. Endocr. Metab. Immune Disord.—Drug Targets 2017, 17, 32–37. [Google Scholar] [CrossRef]
- Xanthakos, S.A.; Schwimmer, J.B.; Melin-Aldana, H.; Rothenberg, M.E.; Witte, D.P.; Cohen, M.B. Prevalence and Outcome of Allergic Colitis in Healthy Infants with Rectal Bleeding: A Prospective Cohort Study. J. Pediatr. Gastroenterol. Nutr. 2005, 41, 16–22. [Google Scholar] [CrossRef]
- Salvatore, S.; Folegatti, A.; Ferrigno, C.; Pensabene, L.; Agosti, M.; D’Auria, E. To Diet or Not to Diet This Is the Question in Food-Protein-Induced Allergic Proctocolitis (FPIAP)—A Comprehensive Review of Current Recommendations. Nutrients 2024, 16, 589. [Google Scholar] [CrossRef]
- Qi, Y.; Liu, C.; Zhong, X.; Ma, X.; Zhou, J.; Shi, Y.; Yin, Y.; Zhang, X.; He, Y.; Xu, W. IL-27 as a Potential Biomarker for Distinguishing between Necrotising Enterocolitis and Highly Suspected Early-Onset Food Protein-Induced Enterocolitis Syndrome with Abdominal Gas Signs. eBioMedicine 2021, 72, 103607. [Google Scholar] [CrossRef]
- Chen, Q.; Bei, S.; Zhang, Z.; Wang, X.; Zhu, Y. Identification of Diagnostic Biomarks and Immune Cell Infiltration in Ulcerative Colitis. Sci. Rep. 2023, 13, 6081. [Google Scholar] [CrossRef] [PubMed]
- Nowak, J.K.; Adams, A.T.; Kalla, R.; Lindstrøm, J.C.; Vatn, S.; Bergemalm, D.; Keita, Å.V.; Gomollón, F.; Jahnsen, J.; Vatn, M.H.; et al. Characterisation of the Circulating Transcriptomic Landscape in Inflammatory Bowel Disease Provides Evidence for Dysregulation of Multiple Transcription Factors Including NFE2, SPI1, CEBPB, and IRF2. J. Crohns Colitis 2022, 16, 1255–1268. [Google Scholar] [CrossRef] [PubMed]
- Huang, R.; Wang, W.; Chen, Z.; Chai, J.; Qi, Q.; Zheng, H.; Chen, B.; Wu, H.; Liu, H. Identifying Immune Cell Infiltration and Effective Diagnostic Biomarkers in Crohn’s Disease by Bioinformatics Analysis. Front. Immunol. 2023, 14, 1162473. [Google Scholar] [CrossRef] [PubMed]
- Chinnappan, A.; Sharma, A.; Agarwal, R.; Thukral, A.; Deorari, A.; Sankar, M.J. Fortification of Breast Milk With Preterm Formula Powder vs Human Milk Fortifier in Preterm Neonates: A Randomized Noninferiority Trial. JAMA Pediatr. 2021, 175, 790. [Google Scholar] [CrossRef]



| FPIAP (16) | Idiopathic Neonatal Transient Colitis (9) | NEC (18) | |
|---|---|---|---|
| Mean gestational age (weeks) | 34.38 ± 3.19 | 35.1 ± 4.47 | 31 ± 4 |
| Twin pregnancies | 8 (50%) (4/8 BC, 4/8 MC) | 6 | 12 (66%) |
| Birth weight | 1680 g | 1539 g | 1606 |
| Cesarean Section | 13 (81.3%) | 7 (77%) | 17 (94%) |
| Days of onset | 16 | 27 | 11.1 |
| SGA/IUGR | 6 (37.5%) | 2 (22%) | 3 (16%) |
| FEF before hematochezia | 7 (43.8%) | 4 (44%) | 6 (33%) |
| Family history for allergies | 5 (31.2%) | 1 (11%) | 0 |
| Protein fortification milk | 4 (25%) | 1 (11%) | 2 (1.1%) |
| FPIAP Mean (Range Min–Max) | Idiopathic Transient Colitis Mean (Range Min–Max) | NEC Mean (Range Min–Max) | |
|---|---|---|---|
| Hemoglobin (g/dL) | 13.8 (8.8–22.9) | 14.1 (9.7–18.3) | 13.6 (8.5–19) |
| Platelets ×106/L | 353,142 (118,000–533,000) | 281,428 (117,000–359,000) | 240,142 (115,000–402,000) |
| CRP mg/L | 3.8 (0–20.8) | 1.6 (0–8.9) | 27.2 (1–66) |
| White blood cells U/mL | 9982 (3590–15,810) | 11,192 (6450–19,770) | 11,962 (2940–30,610) |
| Neutrophils per mm3 | 4335 (1330–6250) | 2604 (942–6200) | 2724 (1330–9980) |
| Eosinophils per mm3 | 405 (200–1000) | 725 (140–2050) | 277 (40–870) |
Disclaimer/Publisher’s Note: The statements, opinions and data contained in all publications are solely those of the individual author(s) and contributor(s) and not of MDPI and/or the editor(s). MDPI and/or the editor(s) disclaim responsibility for any injury to people or property resulting from any ideas, methods, instructions or products referred to in the content. |
© 2024 by the authors. Licensee MDPI, Basel, Switzerland. This article is an open access article distributed under the terms and conditions of the Creative Commons Attribution (CC BY) license (https://creativecommons.org/licenses/by/4.0/).
Share and Cite
D’Auria, E.; Cavigioli, F.; Acunzo, M.; La Verde, P.A.; Di Gallo, A.; Piran, C.; Sterzi, L.; Zuccotti, G.V.; Lista, G. Food-Protein-Induced Proctocolitis in Pre-Term Newborns with Bloody Stools in a Neonatal Intensive Care Unit. Nutrients 2024, 16, 3036. https://doi.org/10.3390/nu16173036
D’Auria E, Cavigioli F, Acunzo M, La Verde PA, Di Gallo A, Piran C, Sterzi L, Zuccotti GV, Lista G. Food-Protein-Induced Proctocolitis in Pre-Term Newborns with Bloody Stools in a Neonatal Intensive Care Unit. Nutrients. 2024; 16(17):3036. https://doi.org/10.3390/nu16173036
Chicago/Turabian StyleD’Auria, Enza, Francesco Cavigioli, Miriam Acunzo, Paola Azzurra La Verde, Anna Di Gallo, Carolina Piran, Lodovico Sterzi, Gian Vincenzo Zuccotti, and Gianluca Lista. 2024. "Food-Protein-Induced Proctocolitis in Pre-Term Newborns with Bloody Stools in a Neonatal Intensive Care Unit" Nutrients 16, no. 17: 3036. https://doi.org/10.3390/nu16173036
APA StyleD’Auria, E., Cavigioli, F., Acunzo, M., La Verde, P. A., Di Gallo, A., Piran, C., Sterzi, L., Zuccotti, G. V., & Lista, G. (2024). Food-Protein-Induced Proctocolitis in Pre-Term Newborns with Bloody Stools in a Neonatal Intensive Care Unit. Nutrients, 16(17), 3036. https://doi.org/10.3390/nu16173036

