Mid-Luteal Progesterone Is Inversely Associated with Premenstrual Food Cravings
Abstract
1. Introduction
2. Materials and Methods
2.1. Study Design
2.2. Study Sample
2.3. Study Procedures
2.4. Diagnosis
2.5. Study Measures
Food Cravings
2.6. Data Analysis
3. Results
3.1. Study Participants
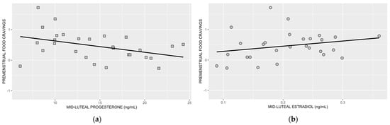
3.2. Relationship between Sex Hormones and Food Cravings
4. Discussion
Supplementary Materials
Author Contributions
Funding
Institutional Review Board Statement
Informed Consent Statement
Data Availability Statement
Acknowledgments
Conflicts of Interest
References
- Dutton, G.R.; Kim, Y.; Jacobs, D.R., Jr.; Li, X.; Loria, C.M.; Reis, J.P.; Carnethon, M.; Durant, N.H.; Gordon-Larsen, P.; Shikany, J.M.; et al. 25-Year Weight Gain in a Racially Balanced Sample of US Adults: The CARDIA Study. Obesity 2016, 24, 1962–1968. [Google Scholar] [CrossRef]
- Norman, J.E.; Bild, D.; Lewis, C.E.; Liu, K.; West, D.S. The impact of weight change on cardiovascular disease risk factors in young black and white adults: The CARDIA study. Int. J. Obes. 2003, 27, 369–376. [Google Scholar] [CrossRef]
- Gordon-Larsen, P.; The, N.S.; Adair, L.S. Longitudinal Trends in Obesity in the United States from Adolescence to the Third Decade of Life. Obesity 2010, 18, 1801–1804. [Google Scholar] [CrossRef]
- McVay, M.A.; Copeland, A.L.; Geiselman, P.J. Eating disorder pathology and menstrual cycle fluctuations in eating variables in oral contraceptive users and non-users. Eat. Behav. 2011, 12, 49–55. [Google Scholar] [CrossRef]
- Ross, C.; Coleman, G.; Stojanovska, C. Relationship between the NEO personality inventory revised neuroticism scale and prospectively reported negative affect across the menstrual cycle. J. Psychosom. Obstet. Gynecol. 2001, 22, 165–176. [Google Scholar] [CrossRef]
- Rozin, P.; Levine, E.; Stoess, C. Chocolate craving and liking. Appetite 1991, 17, 199–212. [Google Scholar] [CrossRef]
- Hartlage, S.A.; Freels, S.; Gotman, N.; Yonkers, K. Criteria for Premenstrual Dysphoric Disorder Secondary Analyses of Relevant Data Sets. Arch. Gen. Psychiatry 2012, 69, 300–305. [Google Scholar] [CrossRef]
- Hill, A.J.; Heatonbrown, L. The Experience of Food Craving—A Prospective Investigation in Healthy Women. J. Psychosom. Res. 1994, 38, 801–814. [Google Scholar] [CrossRef]
- Zellner, D.A.; Garriga-Trillo, A.; Centeno, S.; Wadsworth, E. Chocolate craving and the menstrual cycle. Appetite 2004, 42, 119–121. [Google Scholar] [CrossRef]
- Dang, N.; Khalil, D.; Sun, J.; Naveed, A.; Soumare, F.; Hamidovic, A. Waist Circumference and Its Association with Premenstrual Food Craving: The PHASE Longitudinal Study. Front. Psychiatry 2022, 13, 784316. [Google Scholar] [CrossRef]
- Gold, E.B.; Wells, C.; Rasor, M.O. The Association of Inflammation with Premenstrual Symptoms. J. Womens Health 2016, 25, 865–874. [Google Scholar] [CrossRef]
- Weinland, C.; Mühle, C.; Kornhuber, J.; Lenz, B. Progesterone serum levels correlate negatively with craving in female postmenopausal in-patients with alcohol use disorder: A sex-and menopausal status-separated study. Prog. Neuro-Psychopharmacol. Biol. Psychiatry 2021, 110, 110278. [Google Scholar] [CrossRef]
- Sinha, P.; Clements, V.K.; Bunt, S.K.; Albelda, S.M.; Ostrand-Rosenberg, S. Cross-talk between myeloid-derived suppressor cells and macrophages subverts tumor immunity toward a type 2 response. J. Immunol. 2007, 179, 977–983. [Google Scholar] [CrossRef]
- Moran-Santa Maria, M.M.; Sherman, B.J.; Brady, K.T.; Baker, N.L.; Hyer, J.M.; Ferland, C.; McRae-Clark, A.L. Impact of endogenous progesterone on reactivity to yohimbine and cocaine cues in cocaine-dependent women. Pharmacol. Biochem. Behav. 2018, 165, 63–69. [Google Scholar] [CrossRef]
- Forray, A.; Gilstad-Hayden, K.; Suppies, C.; Bogen, D.; Sofuoglu, M.; Yonkers, K.A. Progesterone for smoking relapse prevention following delivery: A pilot, randomized, double-blind study. Psychoneuroendocrinology 2017, 86, 96–103. [Google Scholar] [CrossRef]
- Saladin, M.E.; McClure, E.A.; Baker, N.L.; Carpenter, M.J.; Ramakrishnan, V.; Hartwell, K.J.; Gray, K.M. Increasing progesterone levels are associated with smoking abstinence among free-cycling women smokers who receive brief pharmacotherapy. Nicotine Tob. Res. 2015, 17, 398–406. [Google Scholar] [CrossRef]
- Howards, P.P.; Schisterman, E.F.; Wactawski-Wende, J.; Reschke, J.E.; Frazer, A.A.; Hovey, K.M. Timing clinic visits to phases of the menstrual cycle by using a fertility monitor: The BioCycle Study. Am. J. Epidemiol. 2009, 169, 105–112. [Google Scholar] [CrossRef]
- Mumford, S.; Schisterman, E.; Gaskins, A.; Pollack, A.; Perkins, N.; Whitcomb, B.; Ye, A.; Wactawski-Wende, J. Realign ment and multiple imputation of longitudinal data: An application to menstrual cycle data. Paediatr. Perinat. Epidemiol. 2011, 25, 448–459. [Google Scholar] [CrossRef]
- Taylor, A.E.; Keevil, B.; Huhtaniemi, I.T. Mass spectrometry and immunoassay: How to measure steroid hormones today and tomorrow. Eur. J. Endocrinol. 2015, 173, D1–D12. [Google Scholar] [CrossRef]
- Stanczyk, F.Z.; Clarke, N.J. Advantages and challenges of mass spectrometry assays for steroid hormones. J. Steroid Biochem. Mol. Biol. 2010, 121, 491–495. [Google Scholar] [CrossRef]
- Ney, L.J.; Felmingham, K.L.; Bruno, R.; Matthews, A.; Nichols, D.S. Simultaneous quantification of endocannabinoids, oleoylethanolamide and steroid hormones in human plasma and saliva. J. Chromatogr. B 2020, 1152, 122252. [Google Scholar] [CrossRef]
- Kenny, P.J. Common cellular and molecular mechanisms in obesity and drug addiction. Nat. Rev. Neurosci. 2011, 12, 638–651. [Google Scholar] [CrossRef]
- Endicott, J.; Nee, J.; Harrison, W. Daily Record of Severity of Problems (DRSP): Reliability and validity. Arch. Womens Ment. Health 2006, 9, 41–49. [Google Scholar] [CrossRef]
- Sohda, S.; Suzuki, K.; Igari, I. Relationship between the Menstrual Cycle and Timing of Ovulation Revealed by New Protocols: Analysis of Data from a Self-Tracking Health. App. J. Med. Internet Res. 2017, 19, e391. [Google Scholar] [CrossRef]
- Leiva, R.A.; Bouchard, T.P.; Abdullah, S.H.; Ecochard, R. Urinary Luteinizing Hormone Tests: Which Concentration Threshold Best Predicts Ovulation? Front. Public Health 2017, 5, 320. [Google Scholar] [CrossRef]
- Hamidovic, A.; Soumare, F.; Naveed, A.; Davis, J.; Sun, J.; Dang, N. Reduced Dehydroepiandrosterone-Sulfate Levels in the Mid-Luteal Subphase of the Menstrual Cycle: Implications to Women’s Health Research. Metabolites 2022, 12, 941. [Google Scholar] [CrossRef]
- Li, H.J.; Goff, A.; Rudzinskas, S.A.; Jung, Y.; Dubey, N.; Hoffman, J.; Hipolito, D.; Mazzu, M.; Rubinow, D.R.; Schmidt, P.J.; et al. Altered estradiol-dependent cellular Ca2+ homeostasis and endoplasmic reticulum stress response in Premenstrual Dysphoric Disorder. Mol. Psychiatry 2021, 26, 6963–6974. [Google Scholar] [CrossRef]
- Dubey, N.; Hoffman, J.F.; Schuebel, K.; Yuan, Q.; Martinez, P.E.; Nieman, L.K.; Rubinow, D.R.; Schmidt, P.J.; Goldman, D. The ESC/E(Z) complex, an effector of response to ovarian steroids, manifests an intrinsic difference in cells from women with premenstrual dysphoric disorder. Mol. Psychiatry 2017, 22, 1172–1184. [Google Scholar] [CrossRef]
- Schmidt, P.J.; Martinez, P.E.; Nieman, L.K.; Koziol, D.E.; Thompson, K.D.; Schenkel, L.; Wakim, P.G.; Rubinow, D.R. Premenstrual Dysphoric Disorder Symptoms following Ovarian Suppression: Triggered by Change in Ovarian Steroid Levels but Not Continuous Stable Levels. Am. J. Psychiatry 2017, 174, 980–989. [Google Scholar] [CrossRef]
- Marrocco, J.; Einhorn, N.R.; Petty, G.H.; Li, H.; Dubey, N.; Hoffman, J.; Berman, K.F.; Goldman, D.; Lee, F.S.; Schmidt, P.J.; et al. Epigenetic intersection of BDNF Val66Met genotype with premenstrual dysphoric disorder transcriptome in a cross-species model of estradiol add-back. Mol. Psychiatry 2020, 25, 572–583. [Google Scholar] [CrossRef]
- Beck, A.T.; Ward, C.; Mendelson, M.; Mock, J.; Erbaugh, J. Beck depression inventory (BDI). Arch. Gen. Psychiatry 1961, 4, 561–571. [Google Scholar] [CrossRef]
- Beck, A.T.; Steer, R.A.; Garbin, M.G. Psychometric properties of the Beck Depression Inventory: Twenty-five years of evaluation. Clin. Psychol. Rev. 1988, 8, 77–100. [Google Scholar] [CrossRef]
- Beck, A.T.; Epstein, N.; Brown, G.; Steer, R.A. An inventory for measuring clinical anxiety: Psychometric properties. J. Consult. Clin. Psychol. 1988, 56, 893. [Google Scholar] [CrossRef]
- R Core Team. R: A language and Environment for Statistical Computing; R Foundation for Statistical Computing: Vienna, Austria, 2019. [Google Scholar]
- Wetherill, R.R.; Franklin, T.R.; Allen, S.S. Ovarian hormones, menstrual cycle phase, and smoking: A review with recommendations for future studies. Curr. Addict. Rep. 2016, 3, 1–8. [Google Scholar] [CrossRef]
- Hilz, E.N.; Lee, H.J. Estradiol and progesterone in female reward-learning, addiction, and therapeutic interventions. Front. Neuroendocrinol. 2023, 68, 101043. [Google Scholar] [CrossRef]
- Mello, N.K. Hormones, nicotine, and cocaine: Clinical studies. Horm. Behav. 2010, 58, 57–71. [Google Scholar] [CrossRef]
- DeVito, E.E.; Herman, A.I.; Waters, A.J.; Valentine, G.W.; Sofuoglu, M. Subjective, physiological, and cognitive responses to intravenous nicotine: Effects of sex and menstrual cycle phase. Neuropsychopharmacology 2014, 39, 1431–1440. [Google Scholar] [CrossRef]
- Tomasi, D.; Volkow, N.D. Striatocortical pathway dysfunction in addiction and obesity: Differences and similarities. Crit. Rev. Biochem. Mol. Biol. 2013, 48, 1–19. [Google Scholar] [CrossRef]
- Volkow, N.D.; Wang, G.J.; Fowler, J.S.; Tomasi, D.; Telang, F.; Baler, R. Addiction: Decreased reward sensitivity and increased expectation sensitivity conspire to overwhelm the brain’s control circuit. Bioessays 2010, 32, 748–755. [Google Scholar] [CrossRef]
- Carbone, E.A.; Caroleo, M.; Rania, M.; Calabrò, G.; Staltari, F.A.; de Filippis, R.; Aloi, M.; Condoleo, F.; Arturi, F.; Segura-Garcia, C. An open-label trial on the efficacy and tolerability of naltrexone/bupropion SR for treating altered eating behaviours and weight loss in binge eating disorder. Eat. Weight Disord. 2021, 26, 779–788. [Google Scholar] [CrossRef]
- Wang, G.J.; Zhao, J.; Tomasi, D.; Kojori, E.S.; Wang, R.; Wiers, C.E.; Caparelli, E.C.; Volkow, N.D. Effect of combined naltrexone and bupropion therapy on the brain’s functional connectivity. Int. J. Obes. 2018, 42, 1890–1899. [Google Scholar] [CrossRef]
- Shiffman, S.; Johnston, J.A.; Khayrallah, M.; Elash, C.A.; Gwaltney, C.J.; Paty, J.A.; Gnys, M.; Evoniuk, G.; DeVeaugh-Geiss, J. The effect of bupropion on nicotine craving and withdrawal. Psychopharmacology 2000, 148, 33–40. [Google Scholar] [CrossRef]
- Teneggi, V.; Tiffany, S.T.; Squassante, L.; Milleri, S.; Ziviani, L.; Bye, A. Effect of sustained-release (SR) bupropion on craving and withdrawal in smokers deprived of cigarettes for 72 h. Psychopharmacology 2005, 183, 1–12. [Google Scholar] [CrossRef]
- Lim, A.C.; Roche, D.J.O.; Ray, L.A. Distress Tolerance and Craving for Cigarettes among Heavy Drinking Smokers. J. Stud. Alcohol. Drugs 2018, 79, 918–928. [Google Scholar] [CrossRef]
- Lobmaier, P.P.; Kunøe, N.; Gossop, M.; Waal, H. Naltrexone depot formulations for opioid and alcohol dependence: A systematic review. CNS Neurosci. Ther. 2011, 17, 629–636. [Google Scholar] [CrossRef]
- Hulse, G.K.; Ngo, H.T.; Tait, R.J. Risk factors for craving and relapse in heroin users treated with oral or implant naltrexone. Biol. Psychiatry 2010, 68, 296–302. [Google Scholar] [CrossRef]
- Jansen, J.M.; Daams, J.G.; Koeter, M.W.; Veltman, D.J.; van den Brink, W.; Goudriaan, A.E. Effects of non-invasive neurostimulation on craving: A meta-analysis. Neurosci. Biobehav. Rev. 2013, 37 Pt 2, 2472–2480. [Google Scholar] [CrossRef]
- Volkow, N.D.; Wang, G.J.; Baler, R.D. Reward, dopamine and the control of food intake: Implications for obesity. Trends Cogn. Sci. 2011, 15, 37–46. [Google Scholar] [CrossRef]
- Draper, C.F.; Duisters, K.; Weger, B.; Chakrabarti, A.; Harms, A.C.; Brennan, L.; Hankemeier, T.; Goulet, L.; Konz, T.; Martin, F.P.; et al. Menstrual cycle rhythmicity: Metabolic patterns in healthy women. Sci. Rep. 2018, 8, 14568. [Google Scholar] [CrossRef]
- Fong, A.K.; Kretsch, M.J. Changes in dietary intake, urinary nitrogen, and urinary volume across the menstrual cycle. Am. J. Clin. Nutr. 1993, 57, 43–46. [Google Scholar] [CrossRef]
- Kriengsinyos, W.; Wykes, L.J.; Goonewardene, L.A.; Ball, R.O.; Pencharz, P.B. Phase of menstrual cycle affects lysine requirement in non-PMDD women. Am. J. Physiol. Endocrinol. Metab. 2004, 287, E489–E496. [Google Scholar] [CrossRef]
- Lariviere, F.; Moussalli, R.; Garrel, D.R. Increased leucine flux and leucine oxidation during the luteal phase of the menstrual cycle in women. Am. J. Physiol. 1994, 267 Pt 1, E422–E428. [Google Scholar] [CrossRef]
- Moller, S.E.; Moller, B.M.; Olesen, M.; Fjalland, B. Effects of oral contraceptives on plasma neutral amino acids and cholesterol during a menstrual cycle. Eur. J. Clin. Pharmacol. 1996, 50, 179–184. [Google Scholar] [CrossRef]
- Wallace, M.; Hashim, Y.Z.; Wingfield, M.; Culliton, M.; McAuliffe, F.; Gibney, M.J.; Brennan, L. Effects of menstrual cycle phase on metabolomic profiles in premenopausal women. Hum. Reprod. 2010, 25, 949–956. [Google Scholar] [CrossRef]
- Strauss, J.F.; Barbieri, R.L. Yen & Jaffe’s Reproductive Endocrinology: Physiology, Pathophysiology, and Clinical Management, 7th ed.; Elsevier: Philadelphia, PA, USA, 2014. [Google Scholar]
- Benton, M.J.; Hutchins, A.M.; Dawes, J.J. Effect of menstrual cycle on resting metabolism: A systematic review and meta-analysis. PLoS ONE 2020, 15, e0236025. [Google Scholar] [CrossRef]
- Roney, J.R.; Simmons, Z.L. Ovarian hormone fluctuations predict within-cycle shifts in women’s food intake. Horm. Behav. 2017, 90, 8–14. [Google Scholar] [CrossRef]
- Ney, L.J.; Felmingham, K.L.; Nichols, D. Reproducibility of saliva progesterone measured by immunoassay compared to liquid chromatography mass spectrometry. Anal. Biochem. 2020, 610, 113984. [Google Scholar] [CrossRef]
- Mueller, J.W.; Gilligan, L.C.; Idkowiak, J.; Arlt, W.; Foster, P.A. The Regulation of Steroid Action by Sulfation and Desulfation. Endocr. Rev. 2015, 36, 526–563. [Google Scholar] [CrossRef]
- Gorczyca, A.M.; Sjaarda, L.A.; Mitchell, E.M.; Perkins, N.J.; Schliep, K.C.; Wactawski-Wende, J.; Mumford, S.L. Changes in macronutrient, micronutrient, and food group intakes throughout the menstrual cycle in healthy, premenopausal women. Eur. J. Nutr. 2016, 55, 1181–1188. [Google Scholar] [CrossRef]
- Peart, D.R.; Andrade, A.K.; Logan, C.N.; Knackstedt, L.A.; Murray, J.E. Regulation of cocaine-related behaviours by estrogen and progesterone. Neurosci. Biobehav. Rev. 2022, 135, 104584. [Google Scholar] [CrossRef]
- de Carvalho, A.B.; Cardoso, T.A.; Mondin, T.C.; da Silva, R.A.; Souza, L.D.M.; Magalhães, P.V.D.S.; Jansen, K. Prevalence and factors associated with Premenstrual Dysphoric Disorder: A community sample of young adult women. Psychiatry Res. 2018, 268, 42–45. [Google Scholar] [CrossRef] [PubMed]
- Pearlstein, T.B.; Frank, E.; Rivera-Tovar, A.; Thoft, J.S.; Jacobs, E.; Mieczkowski, T.A. Prevalence of axis I and axis II disorders in women with late luteal phase dysphoric disorder. J. Affect. Disord. 1990, 20, 129–134. [Google Scholar] [CrossRef] [PubMed]
- Gaikwad, N.W. Mass spectrometry evidence for formation of estrogen-homocysteine conjugates: Estrogens can regulate homocysteine levels. Free Radic. Biol. Med. 2013, 65, 1447–1454. [Google Scholar] [CrossRef]



| Category | Mean (SD) or N |
|---|---|
| AGE | |
| 26.53 (4.93) | |
| RACE | |
| White | 12 |
| African American | 7 |
| American Indian/Alaska Native | 1 |
| Asian | 7 |
| Native Hawaiian or Other Pacific Islander | 0 |
| More than 1 race | 1 |
| Unknown/Do not want to specify | 4 |
| ETHNICITY | |
| Hispanic | 10 |
| Non-Hispanic | 20 |
| Unknown/Do not want to specify | 2 |
| STUDENT STATUS | |
| Yes | 17 |
| No | 15 |
| MARITAL STATUS | |
| Single/Never married | 28 |
| Married | 3 |
| Divorced | 1 |
| INCOME | |
| Less than USD 20,000 | 5 |
| USD 20,000–USD 34,999 | 15 |
| USD 35,000–USD 49,999 | 4 |
| USD 50,000–USD 74,999 | 5 |
| USD 75,000 or more | 3 |
| MENARCHE AGE | |
| 11.86 (1.43) | |
| BMI * | |
| 25.48 (4.71) | |
| BDI ** | |
| 2.65 (3.00) | |
| Estimate | Std. Error | t Value | p Value | |
|---|---|---|---|---|
| STEP 1 | ||||
| Mid-luteal progesterone | −0.487 | 0.228 | −2.134 | 0.042 * |
| STEP 2 | ||||
| Mid-luteal progesterone | −0.499 | 0.230 | −2.165 | 0.041 * |
| Mid-follicular progesterone | 0.177 | 0.087 | 2.048 | 0.053 |
| STEP 3 | ||||
| Mid-luteal progesterone | −0.599 | 0.237 | −2.524 | 0.020 * |
| Mid-follicular progesterone | 0.144 | 0.082 | 1.741 | 0.097 |
| Mid-luteal estradiol | 0.495 | 0.223 | 2.214 | 0.038 * |
| Mid-follicular estradiol | 0.033 | 0.138 | 0.236 | 0.815 |
| STEP 4 | ||||
| Mid-luteal progesterone | −0.692 | 0.311 | −2.226 | 0.038 * |
| Mid-follicular progesterone | 0.167 | 0.097 | 1.717 | 0.102 |
| Mid-luteal estradiol | 0.452 | 0.245 | 1.846 | 0.080 |
| Mid-follicular estradiol | 0.052 | 0.147 | 0.352 | 0.729 |
| BMI | −0.105 | 0.220 | −0.478 | 0.638 |
| STEP 5 | ||||
| Mid-luteal progesterone | −1.253 | 0.407 | −3.077 | 0.006 ** |
| Mid-follicular progesterone | 0.150 | 0.093 | 1.614 | 0.125 |
| Mid-luteal estradiol | 0.553 | 0.254 | 2.176 | 0.043 * |
| Mid-follicular estradiol | −0.046 | 0.148 | −0.311 | 0.760 |
| BMI | −0.129 | 0.214 | −0.603 | 0.554 |
| Mid-luteal progesterone * diagnosis | 0.967 | 0.476 | 2.031 | 0.058 |
Disclaimer/Publisher’s Note: The statements, opinions and data contained in all publications are solely those of the individual author(s) and contributor(s) and not of MDPI and/or the editor(s). MDPI and/or the editor(s) disclaim responsibility for any injury to people or property resulting from any ideas, methods, instructions or products referred to in the content. |
© 2023 by the authors. Licensee MDPI, Basel, Switzerland. This article is an open access article distributed under the terms and conditions of the Creative Commons Attribution (CC BY) license (https://creativecommons.org/licenses/by/4.0/).
Share and Cite
Hamidovic, A.; Soumare, F.; Naveed, A.; Davis, J. Mid-Luteal Progesterone Is Inversely Associated with Premenstrual Food Cravings. Nutrients 2023, 15, 1097. https://doi.org/10.3390/nu15051097
Hamidovic A, Soumare F, Naveed A, Davis J. Mid-Luteal Progesterone Is Inversely Associated with Premenstrual Food Cravings. Nutrients. 2023; 15(5):1097. https://doi.org/10.3390/nu15051097
Chicago/Turabian StyleHamidovic, Ajna, Fatimata Soumare, Aamina Naveed, and John Davis. 2023. "Mid-Luteal Progesterone Is Inversely Associated with Premenstrual Food Cravings" Nutrients 15, no. 5: 1097. https://doi.org/10.3390/nu15051097
APA StyleHamidovic, A., Soumare, F., Naveed, A., & Davis, J. (2023). Mid-Luteal Progesterone Is Inversely Associated with Premenstrual Food Cravings. Nutrients, 15(5), 1097. https://doi.org/10.3390/nu15051097

