Child and Maternal Factors Associated with Feeding Practices in Children with Poor Growth
Abstract
1. Introduction
1.1. Parental Feeding Practices in Children with Insufficient Weight Gain and/or Poor Growth
1.2. Child Temperament and Parental Feeding Practices
1.3. Maternal Mental Health and Parental Feeding Practices
1.4. The Current Study
2. Materials and Methods
2.1. Participants
2.2. Measurements
2.2.1. Feeding Practices
2.2.2. Child Temperament
2.2.3. Maternal Mental Health
2.2.4. Sociodemographic Characteristics
2.3. Data Analysis
3. Results
3.1. Study Population
3.2. Correlation Analysis
3.3. Moderation Effect of Child Temperament
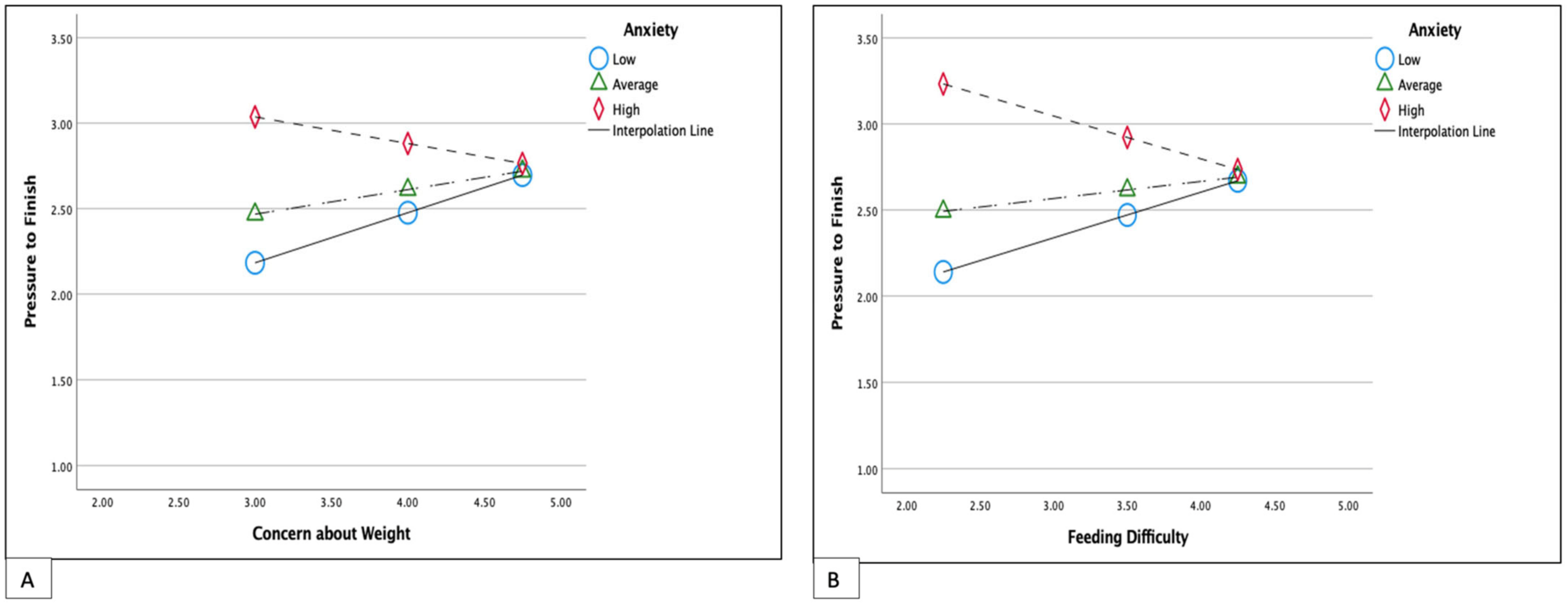
3.4. Moderation Effect of Maternal Mental Health
4. Discussion
5. Conclusions
Supplementary Materials
Author Contributions
Funding
Institutional Review Board Statement
Informed Consent Statement
Data Availability Statement
Acknowledgments
Conflicts of Interest
References
- Gahagan, S. Failure to Thrive: A Consequence of Undernutrition. Pediatr. Rev. 2006, 27, e1–e11. [Google Scholar] [CrossRef] [PubMed]
- Mazze, N.; Cory, E.; Gardner, J.; Alexanian-Farr, M.; Mutch, C.; Marcus, S.; Johnstone, J.; van den Heuvel, M. Biopsychosocial Factors in Children Referred With Failure to Thrive: Modern Characterization for Multidisciplinary Care. Glob. Pediatr. Health 2019, 6, 1–7. [Google Scholar] [CrossRef]
- Cole, S.Z.; Lanham, J.S. Failure to thrive: An update. Am. Fam. Physician 2011, 83, 829–834. [Google Scholar] [PubMed]
- Sharp, W.G.; Silverman, A.; Arvedson, J.C.; Bandstra, N.F.; Clawson, E.; Berry, R.C.; McElhanon, B.O.; Kozlowski, A.M.; Katz, M.; Volkert, V.; et al. Toward Better Understanding of Pediatric Feeding Disorder: A Proposed Framework for Patient Characterization. J. Pediatr. Gastroenterol. Nutr. 2022, 75, 351–355. [Google Scholar] [CrossRef]
- Machado, R.H.V.; Tosatti, A.M.; Malzyner, G.; Maximino, P.; Ramos, C.C.; Bozzini, A.B.; Ribeiro, L.; Fisberg, M. Maternal Feeding Practices among Children with Feeding Difficulties-Cross-sectional Study in a Brazilian Reference Center. Front. Pediatr. 2017, 5, 286. [Google Scholar] [CrossRef]
- Kerzner, B.; Milano, K.; MacLean, W.C., Jr.; Berall, G.; Stuart, S.; Chatoor, I. A practical approach to classifying and managing feeding difficulties. Pediatrics 2015, 135, 344–353. [Google Scholar] [CrossRef]
- Black, M.M.; Aboud, F.E. Responsive feeding is embedded in a theoretical framework of responsive parenting. J. Nutr. 2011, 141, 490–494. [Google Scholar] [CrossRef] [PubMed]
- Wang, J.; Wei, X.; Chang, Y.S.; Hiyoshi, A.; Winkley, K.; Cao, Y. The Relationships between Caregivers’ Concern about Child Weight and Their Non-Responsive Feeding Practices: A Systematic Review and Meta-Analysis. Nutrients 2022, 14, 2885. [Google Scholar] [CrossRef]
- Shloim, N.; Edelson, L.R.; Martin, N.; Hetherington, M.M. Parenting Styles, Feeding Styles, Feeding Practices, and Weight Status in 4–12 Year-Old Children: A Systematic Review of the Literature. Front. Psychol. 2015, 6, 1849. [Google Scholar] [CrossRef]
- Gemmill, A.W.; Worotniuk, T.; Holt, C.J.; Skouteris, H.; Milgrom, J. Maternal psychological factors and controlled child feeding practices in relation to child body mass index. Child. Obes. 2013, 9, 326–337. [Google Scholar] [CrossRef]
- Blissett, J.; Meyer, C.; Farrow, C.; Bryant-Waugh, R.; Nicholls, D. Maternal core beliefs and children’s feeding problems. Int. J. Eat. Disord. 2005, 37, 127–134. [Google Scholar] [CrossRef] [PubMed]
- Francis, L.A.; Hofer, S.M.; Birch, L.L. Predictors of maternal child-feeding style: Maternal and child characteristics. Appetite 2001, 37, 231–243. [Google Scholar] [CrossRef]
- Thompson, A.L.; Adair, L.S.; Bentley, M.E. Pressuring and restrictive feeding styles influence infant feeding and size among a low-income African-American sample. Obesity 2013, 21, 562–571. [Google Scholar] [CrossRef]
- Sanders, M.R.; Patel, R.K.; Le Grice, B.; Shepherd, R.W. Children With Persistent Feeding Difficulties: An Observational Analysis of the Feeding Interactions of Problem and Non-Problem Eaters. Health Psychol. 1993, 12, 64–73. [Google Scholar] [CrossRef]
- Robertson, J.; Puckering, C.; Parkinson, K.; Corlett, L.; Wright, C. Mother-child feeding interactions in children with and without weight faltering; nested case control study. Appetite 2011, 56, 753–759. [Google Scholar] [CrossRef]
- McMeekin, S.; Jansen, E.; Mallan, K.; Nicholson, J.; Magarey, A.; Daniels, L. Associations between infant temperament and early feeding practices. A cross-sectional study of Australian mother-infant dyads from the NOURISH randomised controlled trial. Appetite 2013, 60, 239–245. [Google Scholar] [CrossRef] [PubMed]
- Haycraft, E.; Farrow, C.; Meyer, C.; Powell, F.; Blissett, J. Relationships between temperament and eating behaviours in young children. Appetite 2011, 56, 689–692. [Google Scholar] [CrossRef] [PubMed]
- Blissett, J.; Farrow, C. Predictors of maternal control of feeding at 1 and 2 years of age. Int. J. Obes. 2007, 31, 1520–1526. [Google Scholar] [CrossRef] [PubMed]
- Emerson, J.A.; Tol, W.; Caulfield, L.E.; Doocy, S. Maternal Psychological Distress and Perceived Impact on Child Feeding Practices in South Kivu, DR Congo. Food Nutr. Bull. 2017, 38, 319–337. [Google Scholar] [CrossRef] [PubMed]
- Harpham, T.; Huttly, S.; De Silva, M.J.; Abramsky, T. Maternal mental health and child nutritional status in four developing countries. J. Epidemiol. Community Health 2005, 59, 1060–1064. [Google Scholar] [CrossRef] [PubMed]
- Hurley, K.M.; Black, M.M.; Papas, M.A.; Caulfield, L.E. Maternal symptoms of stress, depression, and anxiety are related to nonresponsive feeding styles in a statewide sample of WIC participants. J. Nutr. 2008, 138, 799–805. [Google Scholar] [CrossRef]
- Bergmeier, H.; Paxton, S.J.; Milgrom, J.; Anderson, S.E.; Baur, L.; Hill, B.; Lim, S.; Green, R.; Skouteris, H. Early mother-child dyadic pathways to childhood obesity risk: A conceptual model. Appetite 2020, 144, 104459. [Google Scholar] [CrossRef]
- Savage, J.S.; Birch, L.L. WIC mothers’ depressive symptoms are associated with greater use of feeding to soothe, regardless of perceived child negativity. Pediatr. Obes. 2017, 12, 155–162. [Google Scholar] [CrossRef]
- Haycraft, E.; Blissett, J. Predictors of paternal and maternal controlling feeding practices with 2- to 5-year-old children. J. Nutr. Educ. Behav. 2012, 44, 390–397. [Google Scholar] [CrossRef]
- Swyden, K.; Sisson, S.B.; Morris, A.S.; Lora, K.; Weedn, A.E.; Copeland, K.A.; DeGrace, B. Association Between Maternal Stress, Work Status, Concern About Child Weight, and Restrictive Feeding Practices in Preschool Children. Matern. Child. Health J. 2017, 21, 1349–1357. [Google Scholar] [CrossRef]
- Almaatani, D.; Zurbau, A.; Khoshnevisan, F.; Bandsma, R.H.J.; Khan, T.A.; Sievenpiper, J.L.; Van Den Heuvel, M. The association between parents’ stress and parental feeding practices and feeding styles: Systematic review and meta-analysis of observational studies. Matern. Child. Nutr. 2022, 19, e13448. [Google Scholar] [CrossRef]
- Farrow, C.V.; Blissett, J.M. Is Maternal Psychopathology Related to Obesigenic Feeding Practices at 1 Year? Obes. Res. 2005, 13, 1999–2005. [Google Scholar] [CrossRef] [PubMed]
- McCann, J.B.; Stein, A.; Fairburn, C.G.; Dunger, D.B. Eating habits and attitudes of mothers of children with non-organic failure to thrive. Arch. Dis. Child. 1994, 70, 234–236. [Google Scholar] [CrossRef] [PubMed][Green Version]
- Singer, L.T.; Song, L.-Y.; Hill, B.P.; Jaffe, A.C. Stress and depression in mothers of failure-to-thrive children. J. Pediatr. Psychol. 1990, 15, 711–720. [Google Scholar] [CrossRef] [PubMed]
- World Health Organization. Indicators for Assessing Infant and Young Child Feeding Practices Part 2: Measurement; World Health Organization, Department of Child and Adolescent Health and Development: Geneva, Switzerland, 2010; ISBN 978-92-4-159929-0. [Google Scholar]
- Baughcum, A.E.; Powers, S.W.; Johnson, S.B.; Chamberlin, L.A.; Deeks, C.M.; Jain, A.; Whitaker, R.C. Maternal feeding practices and beliefs and their relationships to overweight in early childhood. J. Dev. Behav. Pediatr. JDBP 2001, 22, 391–408. [Google Scholar] [CrossRef]
- Thompson, A.L.; Mendez, M.A.; Borja, J.B.; Adair, L.S.; Zimmer, C.R.; Bentley, M.E. Development and validation of the Infant Feeding Style Questionnaire. Appetite 2009, 53, 210–221. [Google Scholar] [CrossRef]
- Putnam, S.P.; Helbig, A.L.; Gartstein, M.A.; Rothbart, M.K.; Leerkes, E. Development and assessment of short and very short forms of the infant behavior questionnaire-revised. J. Pers. Assess. 2014, 96, 445–458. [Google Scholar] [CrossRef] [PubMed]
- Putnam, S.P.; Gartstein, M.A.; Rothbart, M.K. Measurement of fine-grained aspects of toddler temperament: The Early Childhood Behavior Questionnaire. Infant. Behav. Dev. 2006, 29, 386–401. [Google Scholar] [CrossRef]
- Gomez, R.; Summers, M.; Summers, A.; Wolf, A.; Summers, J. Depression Anxiety Stress Scales-21: Measurement and structural invariance across ratings of men and women. Assessment 2014, 21, 418–426. [Google Scholar] [CrossRef]
- Abidin, R.R. Parenting Stress Index: Professional Manual, 3rd ed.; Psychological Assessment Resources, Inc.: Odessa, FL, USA, 1995. [Google Scholar]
- Barroso, N.E.; Hungerford, G.M.; Garcia, D.; Graziano, P.A.; Bagner, D.M. Psychometric properties of the Parenting Stress Index-Short Form (PSI-SF) in a high-risk sample of mothers and their infants. Psychol. Assess. 2016, 28, 1331–1335. [Google Scholar] [CrossRef] [PubMed]
- WHO. WHO Child Growth Standards: Length/Height-for-Age, Weight-for-Age, Weight-for-Length, Weight-for-Height and Body Mass Index-for-Age: Methods and Development; World Health Organization: Geneva, Switzerland, 2006. [Google Scholar]
- Wetherby, A.M.; Goldstein, H.; Cleary, J.; Allen, L.; Kublin, K. Early identification of children with communication disorders: Concurrent and predictive validity of the CSBS Developmental Profile. Infants Young Child. Interdiscip. J. Early Child. Interv. 2003, 16, 161–174. [Google Scholar] [CrossRef]
- Wetherby, A.M.; Prizant, B.M. Communication and Symbolic Behavior Scales: Developmental Profile, 1st ed.; Paul H Brookes Publishing Co.: Baltimore, MD, USA, 2002. [Google Scholar]
- Wetherby, A.M.; Brosnan-Maddox, S.; Peace, V.; Newton, L. Validation of the Infant—Toddler Checklist as a broadband screener for autism spectrum disorders from 9 to 24 months of age. Autism Int. J. Res. Pract. 2008, 12, 487–511. [Google Scholar] [CrossRef] [PubMed]
- Cohen, J. Statistical Power Analysis for the Behavioral Sciences, 2nd ed.; L. Erlbaum Associates: Hillsdale, NJ, USA, 1988. [Google Scholar]
- Wang, J.; Zhu, D.; Cheng, X.; Liuzhou, Y.; Zhu, B.; Montgomery, S.; Cao, Y. Maternal perception of child weight and concern about child overweight mediates the relationship between child weight and feeding practices. Public Health Nutr. 2022, 25, 1780–1789. [Google Scholar] [CrossRef]
- Gross, R.S.; Fierman, A.H.; Mendelsohn, A.L.; Chiasson, M.A.; Rosenberg, T.J.; Scheinmann, R.; Messito, M.J. Maternal perceptions of infant hunger, satiety, and pressuring feeding styles in an urban Latina WIC population. Acad. Pediatr. 2010, 10, 29–35. [Google Scholar] [CrossRef]
- Goulding, A.N.; Rosenblum, K.L.; Miller, A.L.; Peterson, K.E.; Chen, Y.-P.; Kaciroti, N.; Lumeng, J.C. Associations between maternal depressive symptoms and child feeding practices in a cross-sectional study of low-income mothers and their young children. Int. J. Behav. Nutr. Phys. Act. 2014, 11, 75. [Google Scholar] [CrossRef]
- Hughes, S.O.; Power, T.G.; Liu, Y.; Sharp, C.; Nicklas, T.A. Parent emotional distress and feeding styles in low-income families. The role of parent depression and parenting stress. Appetite 2015, 92, 337–342. [Google Scholar] [CrossRef] [PubMed]
- Putnam, S.P.; Rothbart, M.K. Development of Short and Very Short Forms of the Children’s Behavior Questionnaire. J. Personal. Assess. 2006, 87, 102–112. [Google Scholar] [CrossRef] [PubMed]
- Lydecker, J.A.; Grilo, C.M. Fathers and mothers with eating-disorder psychopathology: Associations with child eating-disorder behaviors. J. Psychosom. Res. 2016, 86, 63–69. [Google Scholar] [CrossRef] [PubMed]



| Child Characteristics | N = 98 |
|---|---|
| Age in months (mean ± standard deviation) | 12.7 ± 5.03 |
| Sex (male, percentage) | 50 (51.5) |
| Weight-for-age z-scores (mean ± standard deviation) | −2.01 ± 1.31 |
| Height-for-age z-scores (mean ± standard deviation) | −1.54 ± 1.57 |
| Weight-for-height z-scores (mean ± standard deviation) | −1.49 ± 1.14 |
| Birth weight (kg, mean ± standard deviation) (=71) | 3.22 ± 4.26 |
| Gastro-esophageal reflux (cases, percentage) (=87) | 23 (26.4) |
| Gestational age (cases, %) (n = 91) | |
| Term | 66 (72.5) |
| Premature | 25 (27.5) |
| Small for gestational age (cases, %) (n = 79) | 34 (44.7) |
| Child Development [39] (concern, n, %) | |
| Communication composites | 21 (22.3) |
| Speech composites | 17 (18.1) |
| Symbolic composites | 25 (26.6) |
| Total composites | 22 (23.4) |
| Child Temperamenta [33,34] (mean ± standard deviation) | |
| Surgency | 5.01 ± 1.13 |
| Negative affectivity | 3.68 ± 1.24 |
| Effortful control | 4.82 ± 1.1 |
| Maternal characteristics | |
| Age (years) (mean ± standard deviation) | 35.1 ± 5.88 |
| Ethnicity (cases, percentage) | |
| Western European | 17 (17.3) |
| South Asian | 31 (31.6) |
| Eastern European | 8 (8.16) |
| East Asian (Chinese) | 8 (8.16) |
| Caribbean Region | 4 (4.08) |
| Southeast Asian | 8 (8.2) |
| West Asian | 4 (4.08) |
| Other | 18 (18.36) |
| Education (cases, percentage) | |
| University degree | 69 (70.4) |
| No certificate or degree | 2 (2) |
| High school or equivalent | 9 (9.2) |
| College or non-university certificate | 16 (16.3) |
| Apprenticeship or trades certificate or diploma | 2 (2) |
| The Depression Anxiety Stress Scale [35] (cases, percentage) (n = 97) | |
| Depression | |
| Normal | 70 (72.2) |
| Mild–Moderate | 20 (20.6) |
| Severe–Extremely severe | 7(7.2) |
| Anxiety | |
| Normal | 66 (68.0) |
| Mild–Moderate | 21(21.6) |
| Severe–Extremely severe | 10 (10.3) |
| Stress | |
| Normal | 52 (53.6) |
| Mild–Moderate | 39 (40.2) |
| Severe–Extremely severe | 6 (6.2) |
| Parenting Stress Index-Short Formb [36] (cases, percentage) (n = 96) | |
| Total stress | |
| Typical Stress Percentiles c | 78 (81.3) |
| High Stress Percentiles d | 1 (1) |
| Clinically Significant Stress Percentiles e | 4 (4.2) |
| Defensive response f | 13 (13.5) |
| Parental Distress (PD) | |
| Typical Stress Percentiles | 70 (72.9) |
| High Stress Percentiles | 6 (6.3) |
| Clinically Significant Stress Percentiles | 11 (11.5) |
| Parent-Child Dysfunctional Interaction (P-CDI) | |
| Typical Stress Percentiles | 72 (75) |
| High Stress Percentiles | 2 (2.1) |
| Clinically Significant Stress Percentiles | 4 (4.2) |
| Difficult Child (DC) | |
| Typical Stress Percentiles | 67 (69.8) |
| High Stress Percentiles | 2 (2.1) |
| Clinically Significant Stress Percentiles | 7 (7.3) |
| Responsive Satiety | Pressure to Finish | |||
|---|---|---|---|---|
| Correlation Coefficient | p-Value | Correlation Coefficient | p-Value | |
| Feeding practice beliefs | ||||
| Concern about a child's weight | −0.40 | <0.001 | 0.18 | 0.15 |
| Feeding Difficulty | −0.48 | <0.001 | 0.21 | 0.09 |
| Child Temperament | ||||
| Negative Affect | −0.24 | 0.04 | 0.11 | 0.26 |
| Surgency | 0.08 | 0.38 | 0.07 | 0.52 |
| Effortful Control | 0.14 | 0.19 | 0.08 | 0.72 |
| Maternal Mental Health | ||||
| Depression | −0.28 | 0.02 | 0.05 | 0.98 |
| Anxiety | −0.19 | 0.10 | 0.34 | 0.006 |
| Stress | −0.19 | 0.10 | 0.12 | 0.50 |
| Parenting Stress (total) | −0.37 | 0.001 | 0.18 | 0.20 |
| Parental Distress | −0.24 | 0.04 | −0.07 | 0.31 |
| Parent-child dysfunction | −0.29 | 0.01 | 0.16 | 0.19 |
| Difficult Child score | −0.33 | 0.004 | 0.32 | 0.007 |
| Feeding Perception | Feeding Practices | Child Temperament | B | 95%CI 1 | p |
|---|---|---|---|---|---|
| Concern Child Weight | Responsive Satiety | Negative Affect | −0.04 | −0.16; 0.10 | 0.52 |
| Effortful Control | −0.12 | −0.32; 0.07 | 0.22 | ||
| Surgency | −0.09 | −0.35; 0.11 | 0.30 | ||
| Concern Child Weight | Pressure to finish | Negative Affect | −0.12 | −0.30; 0.07 | 0.14 |
| Effortful Control | −0.36 | −0.56; −0.12 | 0.001 | ||
| Surgency | 0.10 | −0.09; 0.35 | 0.31 | ||
| Feeding Difficulty | Responsive Satiety | Negative Affect | −0.14 | −0.25; −0.01 | 0.06 |
| Effortful Control | −0.02 | −0.21; 0.17 | 0.78 | ||
| Surgency | −0.19 | −0.40; −0.01 | 0.02 2 | ||
| Feeding Difficulty | Pressure to finish | Negative Affect | −0.10 | −0.27; 0.07 | 0.23 |
| Effortful Control | −0.27 | −0.51; −0.07 | 0.008 | ||
| Surgency | 0.11 | −0.10; 0.34 | 0.20 | ||
| Feeding Perception | Feeding Practices | Maternal Mental Health | B | 95% CI 1 | p |
|---|---|---|---|---|---|
| Concern Child Weight | Responsive Satiety | Depression | 0.02 | 0.00; 0.04 | 0.04 2 |
| Anxiety | 0.01 | −0.01; 0.04 | 0.21 | ||
| Stress | 0.01 | −0.00; 0.03 | 0.11 | ||
| Total Parenting Stress | 0.00 | −0.03; 0.03 | 0.50 | ||
| Concern Child Weight | Pressure to finish | Depression | −0.02 | −0.05; 0.01 | 0.08 |
| Anxiety | −0.04 | −0.07; −0.01 | 0.01 | ||
| Stress | −0.00 | −0.03; 0.02 | 0.74 | ||
| Total Parenting Stress | −0.00 | −0.02; 0.01 | 0.31 | ||
| Feeding Difficulty | Responsive Satiety | Depression | 0.00 | −0.03; 0.02 | 0.88 |
| Anxiety | 0.00 | −0.02; 0.03 | 0.82 | ||
| Stress | 0.01 | −0.01; 0.02 | 0.35 | ||
| Total Parenting Stress | −0.00 | −0.01; 0.00 | 0.63 | ||
| Feeding Difficulty | Pressure to finish | Depression | −0.01 | −0.04; 0.03 | 0.57 |
| Anxiety | −0.04 | −0.08; −0.01 | 0.01 | ||
| Stress | 0.00 | −0.02; 0.03 | 0.90 | ||
| Total Parenting Stress | 0.00 | −0.01; 0.01 | 0.89 | ||
Disclaimer/Publisher’s Note: The statements, opinions and data contained in all publications are solely those of the individual author(s) and contributor(s) and not of MDPI and/or the editor(s). MDPI and/or the editor(s) disclaim responsibility for any injury to people or property resulting from any ideas, methods, instructions or products referred to in the content. |
© 2023 by the authors. Licensee MDPI, Basel, Switzerland. This article is an open access article distributed under the terms and conditions of the Creative Commons Attribution (CC BY) license (https://creativecommons.org/licenses/by/4.0/).
Share and Cite
Almaatani, D.; Cory, E.; Gardner, J.; Alexanian-Farr, M.; Hulst, J.M.; Bandsma, R.H.J.; Van Den Heuvel, M. Child and Maternal Factors Associated with Feeding Practices in Children with Poor Growth. Nutrients 2023, 15, 4850. https://doi.org/10.3390/nu15224850
Almaatani D, Cory E, Gardner J, Alexanian-Farr M, Hulst JM, Bandsma RHJ, Van Den Heuvel M. Child and Maternal Factors Associated with Feeding Practices in Children with Poor Growth. Nutrients. 2023; 15(22):4850. https://doi.org/10.3390/nu15224850
Chicago/Turabian StyleAlmaatani, Dina, Emma Cory, Julie Gardner, Mara Alexanian-Farr, Jessie M. Hulst, Robert H. J. Bandsma, and Meta Van Den Heuvel. 2023. "Child and Maternal Factors Associated with Feeding Practices in Children with Poor Growth" Nutrients 15, no. 22: 4850. https://doi.org/10.3390/nu15224850
APA StyleAlmaatani, D., Cory, E., Gardner, J., Alexanian-Farr, M., Hulst, J. M., Bandsma, R. H. J., & Van Den Heuvel, M. (2023). Child and Maternal Factors Associated with Feeding Practices in Children with Poor Growth. Nutrients, 15(22), 4850. https://doi.org/10.3390/nu15224850

