Abstract
Cadmium is one of the most harmful elements to human health, and the health of postmenopausal females is an important public health issue. However, the correlation between exposure to cadmium and the survival status of postmenopausal women is currently not fully clear. This research intended to explore the correlation between cadmium exposure and mortality among postmenopausal females using a representative sample of the population in the U.S. We drew upon the data of the National Health and Nutrition Examination Survey (2001–2018). Cox’s proportional hazards models and a restricted cubic spline regression (RCS) model were utilized to analyze the correlation between blood and urine cadmium and the mortality of postmenopausal women. Stratified analyses also were conducted to identify the highest risk factor of mortality for the participants. The mean concentration of blood cadmium was 0.59 μg/L, and the mean concentration of urine cadmium was 0.73 μg/g creatinine. Higher cadmium concentrations in blood and urine were significantly related to an increase in all-cause mortality for postmenopausal females after adjustment for multivariate covariates. Furthermore, there was a linear positive correlation between urine cadmium concentrations and cancer mortality, while there was no correlation between blood cadmium and cancer death. The correlation between cadmium concentrations and all-cause mortality is stronger in older, more overweight women with a history of hypertension or smoking. We propose that cadmium remains an important risk factor of all-cause and cancer mortality among postmenopausal females in the U.S. Further decreases in cadmium exposure in the population can promote the health of postmenopausal women and prolong their lifespan.
1. Introduction
Menopause refers to the decrease in ovarian function and cessation of menstruation [1,2]. The rapid decline in estrogen secretion after menopause causes a series of symptoms and diseases, including hot flashes and night sweats, psychoneurological symptoms, cardiovascular diseases, etc. [3,4,5]. Most females enter menopause between the ages of 49 and 52 worldwide [6]. With the extension of lifespans, women will spend more time in the postmenopausal phase. Therefore, more attention needs to be paid to the health status of postmenopausal females.
Cadmium is a toxic metal widely distributed in the environment, including certain foods, groundwater, and the ambient air [7,8]. Environmental pollution, especially cadmium pollution in soil, can lead to excessive cadmium content in grains and vegetables, which is a crucial public health issue [9,10]. Cigarette consumption is the main environmental source of exposure to cadmium, while diet is the most important route of exposure to this metal among non-smokers and non-occupationally exposed populations. The widespread heavy metal pollution in soil poses a serious threat to vegetable production and food security [11]. The consumption of contaminated vegetables has become a major pathway for cadmium exposure in the human body [11,12]. Research has reported that the food categories with the highest cadmium intake in Americans are grains and bread, leafy vegetables, potatoes, legumes and nuts, and stem/root vegetables [13]. The metabolism of cadmium is slow in the human body, and most cadmium accumulates in the liver and kidneys, causing harm, especially to the kidneys [14]. It is accepted that cadmium concentration in the urine is a sign of the long-term accumulation of burden in body, while cadmium concentration in the blood is a representative marker of acute cadmium exposure. The adverse effects of daily exposure to low levels of cadmium on health have raised increasing concerns. Cadmium has also been listed as a class I human carcinogen [15].
The relationship between cadmium exposure and health is currently not fully clear. Some studies have suggested that cadmium appeared to be related to increased mortality, even at low-level exposure [16,17]. However, there is currently no research focusing on the correlation between cadmium exposure and mortality in postmenopausal females. Therefore, to better manage the health of postmenopausal women, we explored the correlation of cadmium exposure and mortality in NHANES postmenopausal participants from 2001 to 2018.
2. Materials and Methods
2.1. Study Population
National Health and Nutrition Examination Survey (NHANES) is a cross-sectional survey performed by National Center for Health Statistics (NCHS) of Centers for Disease Control and Prevention (CDC), which is intended to collect representative nutrition and the health status information of the population. All NHANES protocols were available from the CDC’s National Center for Health Statistics Ethics Review Board. The participants signed informed consent forms.
For this analysis, 9607 postmenopausal females were enrolled and received interviews and examinations from NHANES from 2001 to 2018. We excluded 1095 participants with no information on blood cadmium measures, 1310 participants with cancer at baseline or with missing data on medical conditions, 797 participants missing base and related covariate data, and 119 participants who lacked serum cotinine information. The final sample population was 6286 participants (Figure 1).
Figure 1.
Participant selection flowchart.
2.2. Cadmium Exposure
The blood and urine cadmium were measured at the Division of Environmental Health Laboratory Sciences, National Center for Environmental Health, and Centers for Disease Control and Prevention.
Blood cadmium was measured using an atomic absorption spectrometer using a Zeeman background correction in 2001–2002 and inductively coupled plasma mass spectrometry in 2003–2018. The urine cadmium information was only calculated for about one-third of the randomized subsample of the examined participants (1878 in our study). Mass spectrometry was used to measure urine cadmium. Urine cadmium data were detected in cadmium micrograms per gram of creatinine. All specimen collections, measurements, and analyses followed rigorous procedures, and laboratory details and quality assurance methods are available on the NHANES website (https://www.cdc.gov/nchs/nhanes/, accessed on 25 June 2023).
2.3. Determination of Mortality Outcomes
The present study used 2001–2018 NHANES public-use linked mortality files to determine the survival status of the follow-up population, and the survival status of participants was followed up to 31 December 2019. Additionally, ICD-10 was used to ensure disease-specific mortality, and NCHS was used to classify heart diseases (054-068), malignant neoplasms (019-043), and all other causes (010) [18].
2.4. Other Variables
Additional covariates were included in our analysis according to previous studies. Data about age, race/ethnicity, education, family income, smoking status, and alcohol intake were collected from self-reported information. The history of diabetes or hypertension was defined based on the laboratory, examination, and questionnaire data.
The variables were divided into the following groups: race/ethnicity (Mexican American, other Hispanic, non-Hispanic White, non-Hispanic Black, other Hispanic, or other race); education levels (less than a high school education, some high school, high school graduate/GED, some college or Associate of Arts (AA) degree, college graduate or more); body mass index (BMI) (underweight (<18.5), normal (18.5 to <25), overweight (25 to <30), obese (BMI 30 or greater)); smoking status (current, former, or never smoker); and alcohol intake (non-drinker, 1 to <5 drinks/month, 5 to <10 drinks/month, or 10+ drinks/month).
Serum specimens were obtained from 2001–2018 NHANES laboratory examinations, for which rigorous procedures were used throughout blood collection and analysis; all the relevant information can be obtained from https://www.cdc.gov/nchs/nhanes/, accessed on 25 June 2023 [19]. We obtained the data on plasma glycohemoglobin (%), glucose (mg/dL), cholesterol (mg/dL), direct HDL-cholesterol (mg/dL), LDL-cholesterol (mg/dL), and triglycerides (mg/dL) from NHANES laboratory examinations.
2.5. Statistical Analyses
We converted the blood cadmium and creatinine-corrected urine cadmium data into quartiles. The continuous variables are presented in terms of mean and standard deviation, and the categorical variables are indicated as percentages. Three Cox regression models were created to estimate the relationship between cadmium exposure and mortality: Model 1 (unadjusted); Model 2, which was adjusted for age, race/ethnicity, education level, poverty impact ratio (PIR), BMI, alcohol intake, hypertension, and diabetes; and Model 3, which was adjusted for age, race/ethnicity, education level, PIR, BMI, alcohol intake, hypertension, diabetes, smoking status, and serum cotinine. Schoenfeld residuals was used to detect proportional hazard based on the Cox regression models. The results are shown in Table S1, and p > 0.05 indicates that the model is applicable.
Furthermore, a restricted cubic spline regression (RCS) model was constructed to explore the non-linear relationship between blood cadmium, creatinine-corrected urine cadmium concentration, and mortality. Additionally, subgroup analyses were performed based on age (<60 years old or ≥60 years old), race/ethnicity (White or non-White), BMI (< 25.00 or ≥25.00), hypertension, diabetes, and smoking status. R software (version 4.3.1) was used for the above data analysis.
3. Results
3.1. Characteristics of Participants
The mean concentrations of blood cadmium and urine cadmium were 0.59 μg/L and 0.73 μg/g creatinine. Additionally, the distribution of participants was relatively average based on the quartile of blood cadmium and urine cadmium (Table 1 and Table 2). The blood and urine cadmium concentrations seem positively related to the following factors: age, non-Hispanic White, lower education levels, lower income, less obesity, and current smoking. It is worth noting that blood cadmium and urine cadmium were strongly correlated with smoking status and serum cotinine levels.
Table 1.
Baseline characteristics of participants of postmenopausal women according to blood cadmium in NHANES 2003–2018 data.
Table 2.
Baseline characteristics of participants of postmenopausal women according to the urine cadmium in NHANES 2003–2018 data.
In addition, we also explored the indices of glucose and lipid metabolism among participants according to cadmium exposure. Compared to lower blood cadmium, higher blood cadmium levels were correlated with lower concentrations of glucose and with higher HDL at baseline. However, urine cadmium was not related to these indicators (Table 3).
Table 3.
Baseline levels of cardiometabolic markers according to cadmium exposure among participants.
3.2. Association of Exposure to Cadmium with Mortality
Next, we investigated the correlation between cadmium concentration in blood and mortality. During the follow-up period of this study, 1416 all-cause deaths occurred, including 381 cardiovascular disease (CVD)-related deaths and 261 cancer deaths (Table 4). Three Cox regression models were constructed to explore the effect of blood cadmium on mortality. After adjusting the relevant covariates, for all-cause mortality, the fully adjusted hazard ratios (HRs) and 95% confidence intervals (CIs) were 1.00 (reference), 0.99 (0.83, 1.18), 1.13 (0.94, 1.36), and 1.39 (1.13, 1.72), according to the classification of quartile of blood cadmium (Model 3). However, there was no relationship between blood cadmium and CVD and cancer mortality.
Table 4.
HRs (95% CIs) for mortality according to cadmium exposure among participants.
Due to the complexity of the NHANES sampling, only 1878 individuals in this study had complete urine cadmium information. Therefore, we also calculated the effect of cadmium concentration in the urine on mortality. For all-cause, CVD, and cancer deaths, compared to the lowest quartiles of urine cadmium, the multivariate adjusted HRs and 95% CIs were 1.50 (1.01, 2.23), 0.51 (0.19, 1.39), and 5.70 (1.91, 16.95) in the highest quartiles (Table 5).
Table 5.
HRs (95% CIs) for mortality according to urine cadmium (μg/g creatinine) among participants.
3.3. Results of Curvilinear Relationship of Cadmium Concentration and Mortality
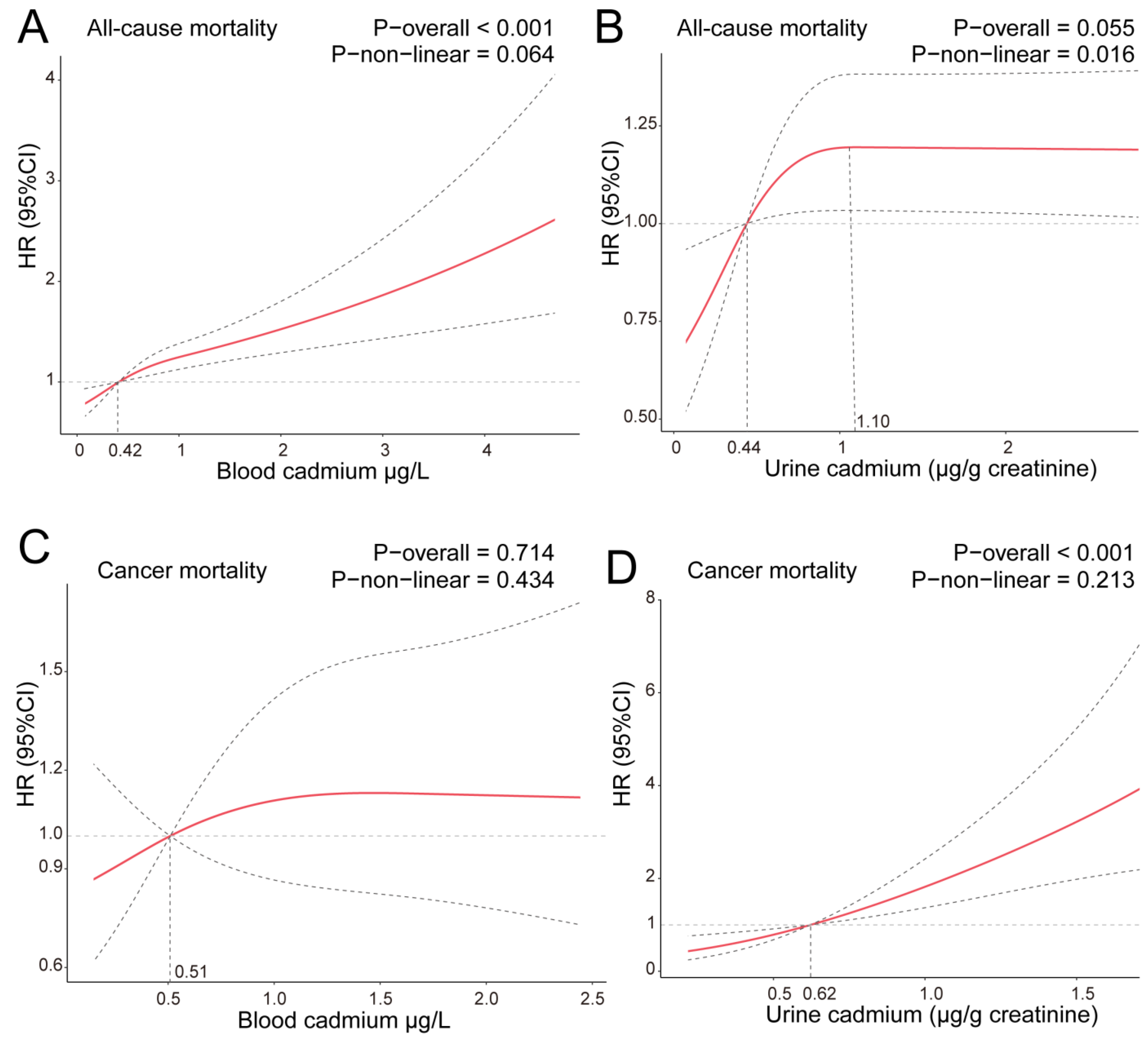
To understand whether there is a linear correlation between cadmium concentration in the blood and urine and mortality, we introduced the RCS model. As shown in Figure 2A, there is a linear correlation between blood cadmium and all-cause mortality. However, it seems that there is no linear relationship between urinary cadmium and all-cause death (Figure 2B). Within a certain range, the value of HR is positively associated with urinary cadmium. In other words, the risk of all-cause mortality in postmenopausal women no longer increases when the concentration of urinary cadmium reaches the value of 1.10 μg/g creatinine. In addition, urinary cadmium concentration is positively correlated with cancer mortality in postmenopausal females, while blood cadmium does not exhibit this correlation (Figure 2C,D).
Figure 2.
Association between blood cadmium (A,C) and urine cadmium (B,D) concentration and all-cause and cancer mortality in postmenopausal females. Adjusted for age, race/ethnicity, education level, PIR, BMI, alcohol intake, hypertension, diabetes, smoking status, and serum cotinine. The solid and dotted lines represent the estimated values and their corresponding 95% CIs, respectively.
3.4. Stratified Analyses
To further investigate the correlation between cadmium exposure and all-cause mortality, we stratified the data by age, race, BMI, history of hypertension, history of diabetes, and smoking status. In subgroup analysis, cadmium exposure presented a stronger positive correlation of all-cause mortality in older, more overweight women with histories of hypertension (Figure 3A,B). Moreover, as the concentration of cadmium in urine increases, the risk of all-cause death is higher for smokers and non-White populations.
Figure 3.
Forest plots of stratified analyses of blood cadmium (A), urine cadmium (B), and all-cause mortality. Adjusted for age, race/ethnicity, education level, PIR, BMI, alcohol intake, hypertension, diabetes, smoking status, and serum cotinine, except the variable itself.
4. Discussion
The present research is the first large prospective cohort study aimed at revealing correlations between cadmium exposure and the mortality of postmenopausal females. Our results indicate that cadmium exposure is related to all-cause mortality in the representative population of postmenopausal females after adjustment to related covariates. In addition, compared with the lowest group of urinary cadmium, there is a positive correlation between urinary cadmium level and cancer mortality. The present study does not provide support for the speculation that cadmium exposure increases the risk of CVD mortality in postmenopausal women. In addition, older, more overweight women with a history of hypertension or smoking seem to present a stronger correlation with cadmium concentration in the blood and urine and all-cause mortality.
Cadmium is mainly absorbed through the respiratory and digestive tracts. The cadmium biological half-life in the body is up to 15–30 years, making it the most easily accumulated poison in the body [17]. Cadmium in urine is considered a marker of long-term accumulated burden on the body, while blood cadmium more relies on daily fluctuations in exposure; thus, blood cadmium is defined as a marker of acute exposure [14].
Currently, most studies focus on investigating the mortality rate of individuals exposed to relatively high cadmium levels, while there is limited research on cadmium exposure and mortality in daily life [20,21]. A study on U.S. adults indicated that cadmium has a strong relationship with all-cause and CVD mortality [17]. Additionally, studies on Belgium and Japan populations all suggest that urine cadmium at baseline is related to all-cause mortality [20,21]. However, another report proposed that urinary cadmium is associated with mortality in males but not in females [22].
Menopause refers to the decline in ovarian function and the cessation of menstruation, which is a physiological process that women must undergo. Due to decreasing hormone levels, women become more vulnerable, as low estrogen levels are more likely to cause the occurrence and development of osteoporosis, cardiovascular diseases, and other related diseases among postmenopausal females. Recent studies have shown that metal accumulation in the body can affect the health status of postmenopausal women, but there have been no studies reporting the relationship between cadmium exposure and postmenopausal female mortality rates [23,24,25].
Our results found that postmenopausal women with high concentrations in the blood and urine had a higher risk of all-cause mortality, although the specific physiological mechanisms and related signaling pathways are not yet fully understood. Osteoporosis is not only a health problem that troubles postmenopausal women but also one of the main causes of death in postmenopausal women [26,27]. The existing research suggests that environmental cadmium exposure promotes the occurrence and development of osteoporosis [28,29,30]. Additionally, a systematic review and meta-analysis has indicated that cadmium exposure may be a hazard factor for osteoporosis among postmenopausal females, even at low levels [24]. Based on the above results, osteoporosis caused by cadmium exposure may be one of the reasons for the increased risk of all-cause death in postmenopausal women. Unfortunately, this study lacks complete information on osteoporosis, making it impossible to determine whether cadmium exposure is a decisive factor in postmenopausal women’s osteoporosis leading to death. This will be the focus of our future research work.
Previous studies have suggested that even low-level cadmium exposure remains a determining factor for all-cause and CVD mortality [17]. However, our results did not find a correlation between blood and urine cadmium levels and CVD death in postmenopausal women. The reasons for the above differences may be partly due to differences in the target population, and more importantly, cadmium may be considered a potent metalloestrogen [31,32,33]. Premenopausal women have a low probability of cardiovascular disease due to the protective effect of estrogen with regard to cardiovascular disease. However, during menopause, the endogenous secretion of estrogen decreases, which leads to an increased risk for and incidence rate of CVD [34,35]. Estrogen exerts its cardioprotective effect by reducing oxidative stress and fibrosis and increasing angiogenesis and vasodilation [35,36,37,38]. Additionally, cadmium can increase cell proliferation ability through an estrogen-dependent manner in vitro [31]. Therefore, we speculate that the part of reason why cadmium exposure is not associated with CVD mortality in postmenopausal females may be due to its potential estrogen-like characteristics. Unfortunately, the information regarding estrogen in the NHANES database from 2001 to 2018 is not complete, and our study cannot determine whether sex hormones are involved in the impact of cadmium on the survival status of postmenopausal women. This requires more epidemiological and basic medical research in the future.
In addition, our study shows a positive correlation between urinary cadmium concentration and cancer death among postmenopausal females, which is consistent with previous research findings. Cadmium is a recognized carcinogen for humans and animals. Numerous epidemiological studies have shown that occupational and environmental exposure to cadmium is correlated with the occurrence and progression of various types of cancer [39,40,41]. The main carcinogenic mechanisms induced by cadmium include oxidative stress, epigenetic changes, DNA damage, cell apoptosis, and gene expression changes [39,41,42,43]. This may be a potential mechanism by which cadmium increases the risk of cancer-related death in postmenopausal women. It is worth noting that our study shows that cancer mortality is associated with urinary cadmium but not with blood cadmium. Part of the explanation for the above results may be due to the insufficient sample size, and more importantly, it may also be due to the bioaccumulation of heavy metals, which increases the risk of cancer-related deaths that require long-term chronic cadmium accumulation [44,45].
Identifying sub-populations with a higher risk of all-cause death in postmenopausal women has more significant public health implications. Our study shows that the relationship between exposure to cadmium and all-cause mortality is more pronounced in the elderly, which may be related to the slower metabolism of heavy metals in the elderly. One study has also suggested that the accumulation of cadmium in the body caused by smoking mediates an increased risk of all-cause death [46,47]. Consistently with the above results, our study also found that cadmium concentration is an important determining factor in all-cause mortality among smokers, especially the concentration of cadmium in urine. Therefore, quitting smoking and reducing passive smoking may help reduce cadmium intake and accumulation, improving the health status of postmenopausal women.
The present study has some strengths. Previous research has also reported the correlation between cadmium exposure and population mortality, but for the first time, this study focused on the target group of postmenopausal females. We used NHANES data based on the nationally representative population of the U.S., which had a relatively large sample size and thus enhanced the credibility of results. In addition, the measurement of cadmium concentration in the body strictly followed the standard methods to ensure the accuracy of the data. Finally, the relationship between cadmium concentration and mortality was adjusted for confounding factors, including socioeconomic status, lifestyle, and health status, to ensure the validity of the conclusion. However, our study also has a few limitations. First, the cause and impact are indeterminable due to it being an observational study. Second, there was no long-term observation of cadmium content in the body because the present study measured cadmium concentration at only one time point, which may underestimate the correlation. Third, only one-third of the participants had urine cadmium information, which may lead to small sample sizes and result in errors in the results. Last, our study did not use hormone replacement therapy as an exclusion criterion; thus, we cannot exclude the confounding effects of sex hormone therapy.
5. Conclusions
During the past few decades, exposure to cadmium has declined substantially in the United States, but the impact of cadmium on health still deserves more attention [48]. Our study indicates that, compared to low levels of cadmium exposure, high concentrations of cadmium are linked to higher risks of all-cause and cancer mortality in postmenopausal females. In addition, high cadmium concentrations are linked to a higher risk of all-cause death in older, more overweight women with a history of hypertension or smoking. These findings support focusing on cadmium levels in postmenopausal females to help improve their health status.
Supplementary Materials
The following supporting information can be downloaded at: https://www.mdpi.com/article/10.3390/nu15214604/s1; Table S1: The p value of Schoenfeld residuals.
Author Contributions
J.-W.S.: conceptualization, methodology, software, formal analysis, visualization, writing—original draft, writing—review and editing. D.-X.F.: data curation, software, validation, writing—review and editing. M.-Q.L.: conceptualization, methodology, supervision, project administration, writing—review and editing, funding acquisition. All authors have read and agreed to the published version of the manuscript.
Funding
This work was supported by the Major Research Program of National Natural Science Foundation of China (NSFC 31970798, 92057119), the Shanghai Natural Science Foundation (23ZR1408200), the Program for Zhuoxue of Fudan University (JIF157602), and the Support Project for Original Personalized Research of Fudan University (IDF157014/002).
Institutional Review Board Statement
This study is an analysis based on the publicly available data of NHANES. The data collection was approved by the NCHS Research Ethics Review Board. The use of publicly available datasets does not require IRB review or exemption determination.
Informed Consent Statement
All participants signed informed consent forms.
Data Availability Statement
All the data are publicly available at https://wwwn.cdc.gov/nchs/nhanes (accessed on 25 June 2023).
Acknowledgments
The authors thank the National Health and Nutrition Examination Survey for the publicly available data.
Conflicts of Interest
The authors declare no conflict of interest.
References
- Davis, S.R.; Lambrinoudaki, I.; Lumsden, M.; Mishra, G.D.; Pal, L.; Rees, M.; Santoro, N.; Simoncini, T. Menopause. Nat. Rev. Dis. Primers. 2015, 1, 15004. [Google Scholar] [CrossRef] [PubMed]
- Nelson, H.D. Menopause. Lancet 2008, 371, 760–770. [Google Scholar] [CrossRef]
- Alblooshi, S.; Taylor, M.; Gill, N. Does menopause elevate the risk for developing depression and anxiety? Results from a systematic review. Australas Psychiatry 2023, 31, 165–173. [Google Scholar] [CrossRef] [PubMed]
- American Association of Neurological Surgeons (AANS); American Society of Neuroradiology (ASNR); Cardiovascular and Interventional Radiology Society of Europe (CIRSE); Canadian Interventional Radiology Association (CIRA); Congress of Neurological Surgeons (CNS); European Society of Minimally Invasive Neurological Therapy (ESMINT); European Society of Neuroradiology (ESNR); European Stroke Organization (ESO); Society for Cardiovascular Angiography and Interventions (SCAI); Society of Interventional Radiology (SIR); et al. Multisociety Consensus Quality Improvement Revised Consensus Statement for Endovascular Therapy of Acute Ischemic Stroke. Int. J. Stroke 2018, 13, 612–632. [Google Scholar]
- Utian, W.H. Psychosocial and socioeconomic burden of vasomotor symptoms in menopause: A comprehensive review. Health Qual. Life Outcomes 2005, 3, 47. [Google Scholar] [CrossRef] [PubMed]
- Gold, E.B.; Bromberger, J.; Crawford, S.; Samuels, S.; Greendale, G.A.; Harlow, S.D.; Skurnick, J. Factors associated with age at natural menopause in a multiethnic sample of midlife women. Am. J. Epidemiol. 2001, 153, 865–874. [Google Scholar] [CrossRef]
- Haider, F.U.; Liqun, C.; Coulter, J.A.; Cheema, S.A.; Wu, J.; Zhang, R.; Wenjun, M.; Farooq, M. Cadmium toxicity in plants: Impacts and remediation strategies. Ecotoxicol. Environ. Saf. 2021, 211, 111887. [Google Scholar] [CrossRef]
- Cullen, J.T.; Maldonado, M.T. Biogeochemistry of cadmium and its release to the environment. Cadmium Toxic. Essentiality 2013, 11, 31–62. [Google Scholar]
- Satarug, S.; Vesey, D.A.; Gobe, G.C. Current health risk assessment practice for dietary cadmium: Data from different countries. Food Chem. Toxicol. 2017, 106, 430–445. [Google Scholar] [CrossRef]
- Satarug, S.; Vesey, D.A.; Gobe, G.C. Health Risk Assessment of Dietary Cadmium Intake: Do Current Guidelines Indicate How Much is Safe? Environ. Health Perspect. 2017, 125, 284–288. [Google Scholar] [CrossRef]
- Sun, T.; Hu, Y.; Wang, Z.; Xia, W.; Lv, Q.; Wang, Y.; Fang, P.; Xu, P. A tissue atlas of cadmium accumulation and the correlation with thiol-containing chelates in zucchini provide insights into cadmium partitioning and food safety. J. Hazard. Mater. 2022, 421, 126756. [Google Scholar] [CrossRef] [PubMed]
- Khan, M.A.; Khan, S.; Khan, A.; Alam, M. Soil contamination with cadmium, consequences and remediation using organic amendments. Sci. Total Environ. 2017, 601–602, 1591–1605. [Google Scholar] [CrossRef]
- Kim, K.; Melough, M.M.; Vance, T.M.; Noh, H.; Koo, S.I.; Chun, O.K. Dietary Cadmium Intake and Sources in the US. Nutrients 2018, 11, 2. [Google Scholar] [CrossRef] [PubMed]
- Faroon, O.; Ashizawa, A.; Wright, S.; Tucker, P.; Jenkins, K.; Ingerman, L.; Rudisill, C. Toxicological Profile for Cadmium; Agency for Toxic Substances and Disease Registry (US): Atlanta, GA, USA, 2012. [Google Scholar]
- IARC. Monographs Volume 100C Cadmium and Cadmium Compounds—IARC. 2012. Available online: https://monographs.iarc.fr/iarc-monographs-volume-100c-cadmium-and-cadmium-compounds/ (accessed on 25 June 2023).
- Larsson, S.C.; Wolk, A. Urinary cadmium and mortality from all causes, cancer and cardiovascular disease in the general population: Systematic review and meta-analysis of cohort studies. Int. J. Epidemiol. 2016, 45, 782–791. [Google Scholar] [CrossRef]
- Tellez-Plaza, M.; Navas-Acien, A.; Menke, A.; Crainiceanu, C.M.; Pastor-Barriuso, R.; Guallar, E. Cadmium exposure and all-cause and cardiovascular mortality in the U.S. general population. Environ. Health Perspect. 2012, 120, 1017–1022. [Google Scholar] [CrossRef] [PubMed]
- World Health Organization. International Statistical Classification of Diseases and Related Health Problems, 5th ed.; World Health Organization: Geneva, Switzerland, 2016. [Google Scholar]
- CDC. NHANES Laboratory/Medical Technologists Procedures Manual. Atlanta, GA, CDC. 2001. Available online: https://www.cdc.gov/nchs/nhanes/index.htm (accessed on 8 January 2022).
- Nakagawa, H.; Nishijo, M.; Morikawa, Y.; Miura, K.; Tawara, K.; Kuriwaki, J.; Kido, T.; Ikawa, A.; Kobayashi, E.; Nogawa, K. Urinary cadmium and mortality among inhabitants of a cadmium-polluted area in Japan. Environ. Res. 2006, 100, 323–329. [Google Scholar] [CrossRef] [PubMed]
- Nawrot, T.S.; Van Hecke, E.; Thijs, L.; Richart, T.; Kuznetsova, T.; Jin, Y.; Vangronsveld, J.; Roels, H.A.; Staessen, J.A. Cadmium-related mortality and long-term secular trends in the cadmium body burden of an environmentally exposed population. Environ. Health Perspect. 2008, 116, 1620–1628. [Google Scholar] [CrossRef]
- Menke, A.; Muntner, P.; Silbergeld, E.K.; Platz, E.A.; Guallar, E. Cadmium levels in urine and mortality among U.S. adults. Environ. Health Perspect. 2009, 117, 190–196. [Google Scholar] [CrossRef]
- Nguyen, H.D. Cadmium, lead, and mercury interactions on obstructive lung function in pre- and postmenopausal women. Environ. Sci. Pollut. Res. 2023, 30, 73485–73496. [Google Scholar] [CrossRef]
- Kunioka, C.T.; Manso, M.C.; Carvalho, M. Association between Environmental Cadmium Exposure and Osteoporosis Risk in Postmenopausal Women: A Systematic Review and Meta-Analysis. Int. J. Environ. Res. Public Health 2022, 20, 485. [Google Scholar] [CrossRef]
- Van Maele-Fabry, G.; Lombaert, N.; Lison, D. Dietary exposure to cadmium and risk of breast cancer in postmenopausal women: A systematic review and meta-analysis. Environ. Int. 2016, 86, 1–13. [Google Scholar] [CrossRef] [PubMed]
- Rossi, L.M.M.; Copes, R.M.; Dal Osto, L.C.; Flores, C.; Comim, F.V.; Premaor, M.O. Factors related with osteoporosis treatment in postmenopausal women. Medicine 2018, 97, e11524. [Google Scholar] [CrossRef] [PubMed]
- Stevenson, J.C. A woman’s journey through the reproductive, transitional and postmenopausal periods of life: Impact on cardiovascular and musculo-skeletal risk and the role of estrogen replacement. Maturitas 2011, 70, 197–205. [Google Scholar] [CrossRef] [PubMed]
- James, K.A.; Meliker, J.R. Environmental cadmium exposure and osteoporosis: A review. Int. J. Public Health 2013, 58, 737–745. [Google Scholar] [CrossRef]
- Luo, H.; Gu, R.; Ouyang, H.; Wang, L.; Shi, S.; Ji, Y.; Bao, B.; Liao, G.; Xu, B. Cadmium exposure induces osteoporosis through cellular senescence, associated with activation of NF-kappaB pathway and mitochondrial dysfunction. Environ. Pollut. 2021, 290, 118043. [Google Scholar] [CrossRef]
- Ma, Y.; Ran, D.; Shi, X.; Zhao, H.; Liu, Z. Cadmium toxicity: A role in bone cell function and teeth development. Sci. Total Environ. 2021, 769, 144646. [Google Scholar] [CrossRef]
- Brama, M.; Gnessi, L.; Basciani, S.; Cerulli, N.; Politi, L.; Spera, G.; Mariani, S.; Cherubini, S.; Scotto d’Abusco, A.; Scandurra, R.; et al. Cadmium induces mitogenic signaling in breast cancer cell by an ERalpha-dependent mechanism. Mol. Cell. Endocrinol. 2007, 264, 102–108. [Google Scholar] [CrossRef]
- Huff, M.O.; Todd, S.L.; Smith, A.L.; Elpers, J.T.; Smith, A.P.; Murphy, R.D.; Bleser-Shartzer, A.S.; Hoerter, J.E.; Radde, B.N.; Klinge, C.M. Arsenite and Cadmium Activate MAPK/ERK via Membrane Estrogen Receptors and G-Protein Coupled Estrogen Receptor Signaling in Human Lung Adenocarcinoma Cells. Toxicol Sci. 2016, 152, 62–71. [Google Scholar] [CrossRef]
- Safe, S. Cadmium’s disguise dupes the estrogen receptor. Nat. Med. 2003, 9, 1000–1001. [Google Scholar] [CrossRef]
- Dworatzek, E.; Mahmoodzadeh, S. Targeted basic research to highlight the role of estrogen and estrogen receptors in the cardiovascular system. Pharmacol. Res. 2017, 119, 27–35. [Google Scholar] [CrossRef]
- Iorga, A.; Cunningham, C.M.; Moazeni, S.; Ruffenach, G.; Umar, S.; Eghbali, M. The protective role of estrogen and estrogen receptors in cardiovascular disease and the controversial use of estrogen therapy. Biol. Sex. Differ. 2017, 8, 33. [Google Scholar] [CrossRef]
- Pelzer, T.; Jazbutyte, V.; Hu, K.; Segerer, S.; Nahrendorf, M.; Nordbeck, P.; Bonz, A.W.; Muck, J.; Fritzemeier, K.H.; Hegele-Hartung, C.; et al. The estrogen receptor-alpha agonist 16alpha-LE2 inhibits cardiac hypertrophy and improves hemodynamic function in estrogen-deficient spontaneously hypertensive rats. Cardiovasc. Res. 2005, 67, 604–612. [Google Scholar] [CrossRef] [PubMed]
- Zhou, L.; Chen, H.; Mao, X.; Qi, H.; Baker, P.N.; Zhang, H. G-protein-coupled receptor 30 mediates the effects of estrogen on endothelial cell tube formation in vitro. Int. J. Mol. Med. 2017, 39, 1461–1467. [Google Scholar] [CrossRef]
- Zhu, X.; Tang, Z.; Cong, B.; Du, J.; Wang, C.; Wang, L.; Ni, X.; Lu, J. Estrogens increase cystathionine-gamma-lyase expression and decrease inflammation and oxidative stress in the myocardium of ovariectomized rats. Menopause 2013, 20, 1084–1091. [Google Scholar] [CrossRef] [PubMed]
- Genchi, G.; Sinicropi, M.S.; Lauria, G.; Carocci, A.; Catalano, A. The Effects of Cadmium Toxicity. Int. J. Environ. Res. Public Health. 2020, 17, 3782. [Google Scholar] [CrossRef] [PubMed]
- Tarhonska, K.; Lesicka, M.; Janasik, B.; Roszak, J.; Reszka, E.; Braun, M.; Kolacinska-Wow, A.; Jablonska, E. Cadmium and breast cancer—Current state and research gaps in the underlying mechanisms. Toxicol. Lett. 2022, 361, 29–42. [Google Scholar] [CrossRef]
- Souza-Arroyo, V.; Fabian, J.J.; Bucio-Ortiz, L.; Miranda-Labra, R.U.; Gomez-Quiroz, L.E.; Gutierrez-Ruiz, M.C. The mechanism of the cadmium-induced toxicity and cellular response in the liver. Toxicology 2022, 480, 153339. [Google Scholar] [CrossRef]
- Pizzino, G.; Bitto, A.; Interdonato, M.; Galfo, F.; Irrera, N.; Mecchio, A.; Pallio, G.; Ramistella, V.; De Luca, F.; Minutoli, L.; et al. Oxidative stress and DNA repair and detoxification gene expression in adolescents exposed to heavy metals living in the Milazzo-Valle del Mela area (Sicily, Italy). Redox. Biol. 2014, 2, 686–693. [Google Scholar] [CrossRef]
- Xiao, C.; Liu, Y.; Xie, C.; Tu, W.; Xia, Y.; Costa, M.; Zhou, X. Cadmium induces histone H3 lysine methylation by inhibiting histone demethylase activity. Toxicol. Sci. 2015, 145, 80–89. [Google Scholar] [CrossRef]
- Lubovac-Pilav, Z.; Borras, D.M.; Ponce, E.; Louie, M.C. Using expression profiling to understand the effects of chronic cadmium exposure on MCF-7 breast cancer cells. PLoS ONE 2013, 8, e84646. [Google Scholar] [CrossRef]
- Ponce, E.; Aquino, N.B.; Louie, M.C. Chronic cadmium exposure stimulates SDF-1 expression in an ERalpha dependent manner. PLoS ONE 2013, 8, e72639. [Google Scholar] [CrossRef]
- Aoki, Y.; Yee, J.; Mortensen, M.E. Blood cadmium by race/hispanic origin: The role of smoking. Environ. Res. 2017, 155, 193–198. [Google Scholar] [CrossRef] [PubMed]
- Kim, J.; Song, H.; Lee, J.; Kim, Y.J.; Chung, H.S.; Yu, J.M.; Jang, G.; Park, R.; Chung, W.; Oh, C.M.; et al. Smoking and passive smoking increases mortality through mediation effect of cadmium exposure in the United States. Sci. Rep. 2023, 13, 3878. [Google Scholar] [CrossRef] [PubMed]
- Tellez-Plaza, M.; Navas-Acien, A.; Caldwell, K.L.; Menke, A.; Muntner, P.; Guallar, E. Reduction in cadmium exposure in the United States population, 1988–2008: The contribution of declining smoking rates. Environ. Health Perspect. 2012, 120, 204–209. [Google Scholar] [CrossRef] [PubMed]
Disclaimer/Publisher’s Note: The statements, opinions and data contained in all publications are solely those of the individual author(s) and contributor(s) and not of MDPI and/or the editor(s). MDPI and/or the editor(s) disclaim responsibility for any injury to people or property resulting from any ideas, methods, instructions or products referred to in the content. |
© 2023 by the authors. Licensee MDPI, Basel, Switzerland. This article is an open access article distributed under the terms and conditions of the Creative Commons Attribution (CC BY) license (https://creativecommons.org/licenses/by/4.0/).


