Dietary Factors May Delay Tolerance Acquisition in Food Protein-Induced Allergic Proctocolitis
Abstract
1. Introduction
2. Methods
2.1. Participants
2.2. Clinical Data
2.3. Questionnaires
Food Frequency Questionnaires
- (a)
- The Mediterranean Diet Score Questionnaire (MedDiet score), which estimates adherence to the Mediterranean Diet (MedDiet), recording consumption of the 11 main components (non-refined cereals, fruit, vegetables, potatoes, legumes, olive oil, fish, red meat, poultry, full-fat dairy products, and alcohol). The resultant MedDiet score is categorized: 0–13: no adherence; 14–27: insufficient; 28–41: satisfactory; 42–55: very good adherence [13].
- (b)
- The Mediterranean Oriented Culture Specific Semi-Quantitative Food Frequency Questionnaire, which includes 221 foods, subdivided into 22 food sections: (1) white grain products, including rice and potato; (2) whole wheat grain products; (3) breads/pastries; (4) stews; (5) pulses; (6) raw and cooked vegetable salads; (7) fruit and homemade juices; (8) nuts; (9) milk/dairy products; (10) meat/traditional meat dishes; (11) red meat products; (12) white meat products; (13) eggs; (14) fish/seafood; (15) fats/spreads (including olive oil); (16) traditional dips/sauces/dressings; (17) sugar/sweet preserves/confectionary; (18) “ready-to-eat” foods, including restaurant food in, delivery food and prepacked cooked food; (19) chips/salty puffed snacks; (20) herbal infusions/teas; (21) soft drinks/nonalcoholic beverages; (22) alcoholic drinks. Four additional questions concern (23) addition of extra salt, (24) use of non-stick casseroles/grilled food, (25) traditionally cooked Mediterranean homemade food, and (26) food supplements.
2.4. Statistical Analysis
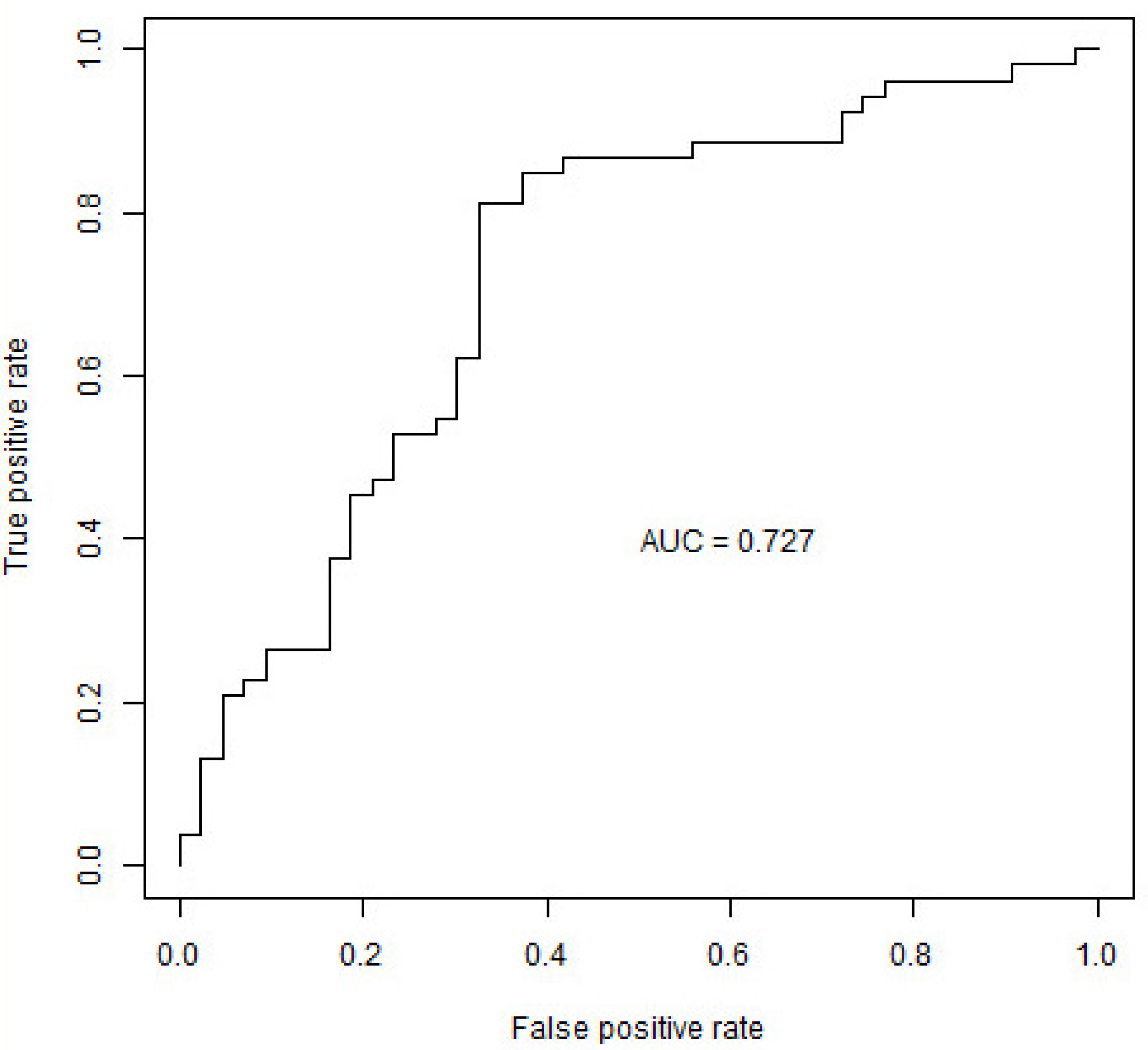
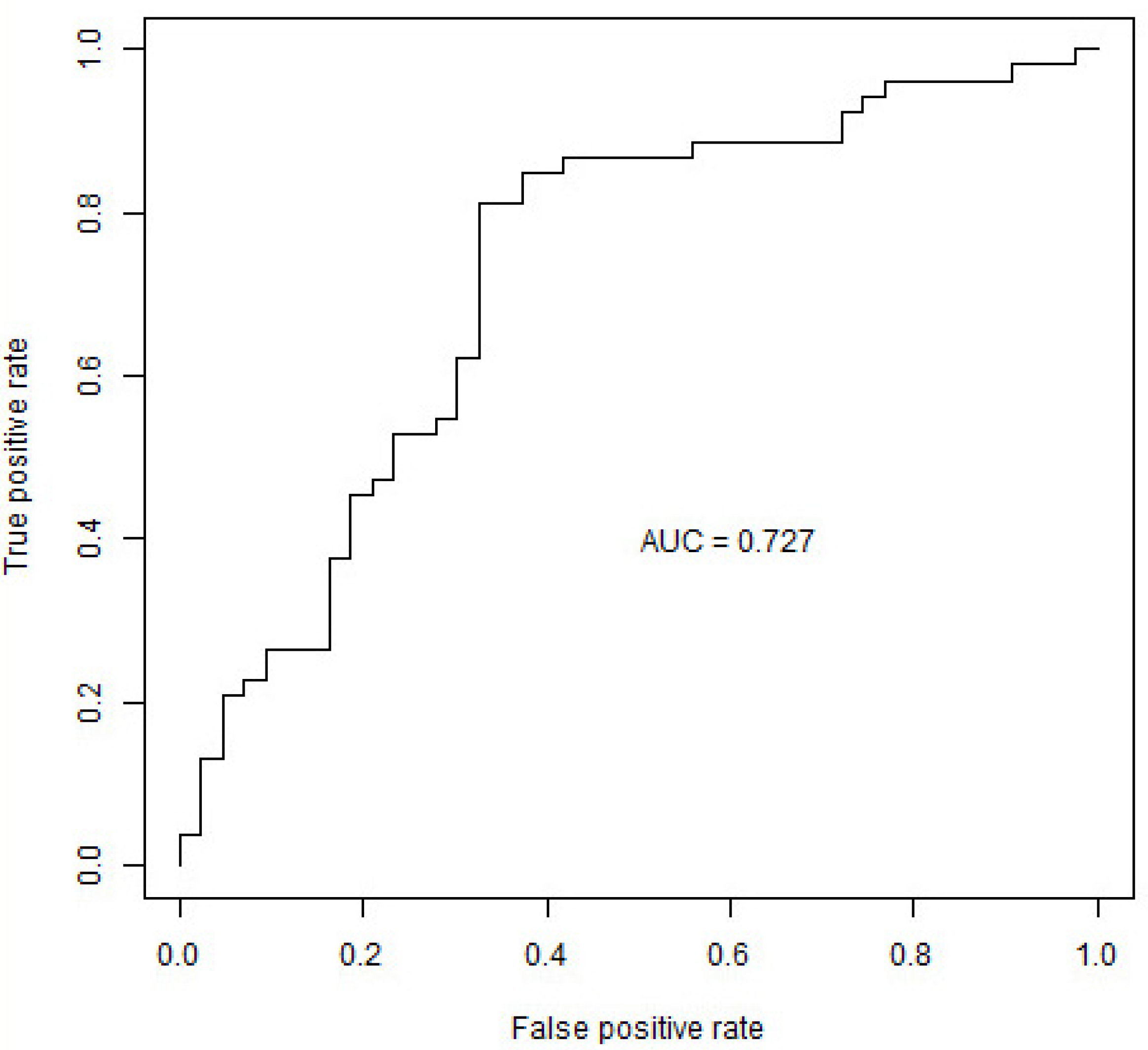
2.5. Machine Learning Analysis
3. Results
Multivariate Analysis Results
4. Discussion
5. Conclusions
Supplementary Materials
Author Contributions
Funding
Institutional Review Board Statement
Informed Consent Statement
Data Availability Statement
Conflicts of Interest
References
- Maloney, J.; Nowak-Wegrzyn, A. Educational clinical case series for pediatric allergy and immunology: Allergic proctocolitis, food protein-induced enterocolitis syndrome and allergic eosinophilic gastroenteritis with protein-losing gastroenteropathy as manifestations of non-IgE-mediated cow’s milk allergy. Pediatr. Allergy Immunol. 2007, 18, 360–367. [Google Scholar]
- Labrosse, R.; Graham, F.; Caubet, J.-C. Non-IgE-Mediated Gastrointestinal Food Allergies in Children: An Update. Nutrients 2020, 12, 2086. [Google Scholar] [CrossRef]
- Leonard, S.A. Non-IgE-mediated Adverse Food Reactions. Curr. Allergy Asthma Rep. 2017, 17, 84. [Google Scholar] [CrossRef] [PubMed]
- Martin, V.; Virkud, Y.V.; Seay, H.L.; Keet, C.; Shreffler, W.G.; Yuan, Q. A Prospective Assessment of Food Protein-Induced Allergic Proctocolitis from the GMAP Healthy Infant Cohort. J. Allergy Clin. Immunol. 2019, 143, AB136. [Google Scholar] [CrossRef]
- Ben-Shoshan, M. Food Protein-Induced Allergic Proctocolitis: Over- or Underdiagnosed? J. Allergy Clin. Immunol. Pract. 2020, 8, 1700–1701. [Google Scholar] [CrossRef]
- Meyer, R.; Lozinsky, A.C.; Fleischer, D.M.; Vieira, M.C.; Du Toit, G.; Vandenplas, Y.; Dupont, C.; Knibb, R.; Uysal, P.; Cavkaytar, O.; et al. Diagnosis and management of Non-IgE gastrointestinal allergies in breastfed infants-An EAACI Position Paper. Allergy 2020, 75, 14–32. [Google Scholar] [CrossRef] [PubMed]
- Shehu, E.; Qirko, A.G.; Qama, D.; Xhafaj, K.; Hasanaj, M. Abdominal cramps, a rare clinical manifestation of food protein-induced allergic proctocolitis. Clin. Transl. Allergy 2018, 8. [Google Scholar]
- Mennini, M.; Fiocchi, A.G.; Cafarotti, A.; Montesano, M.; Mauro, A.; Villa, M.P.; Di Nardo, G. Food protein-induced allergic proctocolitis in infants: Literature review and proposal of a management protocol. World Allergy Organ. J. 2020, 13, 100471. [Google Scholar] [CrossRef]
- Martin, V.; Virkud, Y.; Phadke, N.; Su, K.W.; Seay, H.; Atkins, M.; Keet, C.; Shreffler, W.G.; Yuan, Q. Are we causing food allergies? Food protein-induced allergic proctocolitis is prospectively associated with ige-mediated food allergy by age 3. J. Pediatr. Gastroenterol. Nutr. 2019, 69, AB201. [Google Scholar]
- Atanaskovic-Markovic, M. Refractory proctocolitis in the exclusively breast-fed infants. Endocrine, metabolic & immune disorders drug targets. Endocr. Metab. Immune Disord. Drug Targets 2014, 14, 63–66. [Google Scholar]
- Vassilopoulou, E.; Feketea, G.; Konstantinou, G.N.; Xypolias, D.Z.; Valianatou, M.; Petrodimopoulou, M.; Vourga, V.; Tasios, I.; Papadopoulos, N.G. Food Protein-Induced Allergic Proctocolitis: The Effect of Maternal Diet During Pregnancy and Breastfeeding in a Mediterranean Population. Front. Nutr. 2022, 9, 843437. [Google Scholar] [CrossRef]
- Caubet, J.C.; Szajewska, H.; Shamir, R.; Nowak-Węgrzyn, A. Non-IgE-mediated gastrointestinal food allergies in children. Pediatr. Allergy Immunol. 2017, 28, 6–17. [Google Scholar] [CrossRef] [PubMed]
- Gareth James, D.W.; Hastie, T.; Tibshirani, R. An Introduction to Statistical Learning. Available online: https://hastie.su.domains/ISLR2/ISLRv2_website.pdf2021 (accessed on 15 November 2022).
- Guestrin, T.C.C. XGBoost: A Scalable Tree Boosting System. arXiv 2016, arXiv:1603.02754v3. [Google Scholar]
- Scott, M. Lundberg GGE, Su-In Lee. Consistent Individualized Feature Attribution for Tree Ensembles. arXiv 2018, arXiv:1802.03888. [Google Scholar]
- Stekhoven, D.J.; Bühlmann, P. MissForest—Non-parametric missing value imputation for mixed-type data. Bioinformatics 2011, 28, 112–118. [Google Scholar] [CrossRef] [PubMed]
- Loo, E.X.L.; Ong, L.; Goh, A.; Chia, A.; Teoh, O.H.; Colega, M.T.; Chan, Y.H.; Saw, S.M.; Kwek, K.; Gluckman, P.D.; et al. Effect of Maternal Dietary Patterns during Pregnancy on Self-Reported Allergic Diseases in the First 3 Years of Life: Results from the GUSTO Study. Int. Arch. Allergy Immunol. 2017, 173, 105–113. [Google Scholar] [CrossRef]
- Netting, M.J.; Middleton, P.F.; Makrides, M. Does maternal diet during pregnancy and lactation affect outcomes in offspring? A systematic review of food-based approaches. Nutrition 2014, 30, 1225–1241. [Google Scholar] [CrossRef]
- Cetinkaya, P.G.; Ocak, M.; Sahiner, U.M.; Sekerel, B.E.; Soyer, O. Food protein-induced allergic proctocolitis may have distinct phenotypes. Ann. Allergy Asthma Immunol. 2021, 126, 75–82. [Google Scholar] [CrossRef]
- Cetinkaya, P.G.; Kahveci, M.; Karaatmaca, B.; Esenboga, S.; Sahiner, U.M.; Sekerel, B.E.; Soyer, O. Predictors for late tolerance development in food protein-induced allergic proctocolitis. Allergy Asthma Proc. 2020, 41, e8–e11. [Google Scholar] [CrossRef]
- Erdem, S.B.; Nacaroglu, H.T.; Karaman, S.; Erdur, C.B.; Karkıner, C.U.; Can, D. Tolerance development in food protein-induced allergic proctocolitis: Single centre experience. Allergol. Immunopathol. 2017, 45, 212–219. [Google Scholar] [CrossRef]
- Fujimura, T.; Lum, S.Z.C.; Nagata, Y.; Kawamoto, S.; Oyoshi, M.K. Influences of Maternal Factors Over Offspring Allergies and the Application for Food Allergy. Front. Immunol. 2019, 10, 1933. [Google Scholar] [CrossRef] [PubMed]
- Galip, N.; Yuruker, O.; Babayigit, A. Characteristics of allergic proctocolitis in early infancy; accuracy of diagnostic tools and factors related to tolerance development. Asian Pac. J. Allergy Immunol. 2021. [Google Scholar]
- Heine, R.G. Food Allergy Prevention and Treatment by Targeted Nutrition. Ann. Nutr. Metab. 2018, 72 (Suppl. S3), 33–45. [Google Scholar] [CrossRef]
- Senocak, N.; Ertugrul, A.; Ozmen, S.; Bostanci, I. Clinical Features and Clinical Course of Food Protein-Induced Allergic Proctocolitis: 10-Year Experience of a Tertiary Medical Center. J. Allergy Clin. Immunol. Pract. 2022, 10, 1608–1613. [Google Scholar] [CrossRef]
- Yilmaz, E.A.; Soyer, O.; Cavkaytar, O.; Karaatmaca, B.; Buyuktiryaki, B.; Sahiner, U.M.; Sekerel, B.E.; Sackesen, C. Characteristics of children with food protein-induced enterocolitis and allergic proctocolitis. Allergy Asthma Proc. 2017, 38, 54–62. [Google Scholar] [CrossRef] [PubMed]
- Netting, M.; Middleton, P.; Makrides, M. Does maternal diet during pregnancy and lactation affect allergy outcomes in their offspring? A systematic review of food based approaches. Clin. Transl. Allergy 2013, 3, O19. [Google Scholar] [CrossRef]
- West, C. Introduction of Complementary Foods to Infants. Ann. Nutr. Metab. 2017, 70, 47–54. [Google Scholar] [CrossRef] [PubMed]
- WHO Organization. Available online: https://www.who.int/news-room/fact-sheets/detail/infant-and-young-child-feeding (accessed on 15 November 2022).
- McWilliam, V.; Venter, C.; Greenhawt, M.; Perrett, K.P.; Tang, M.L.K.; Koplin, J.J.; Peters, R.L. A pragmatic approach to infant feeding for food allergy prevention. Pediatr. Allergy Immunol. 2022, 33, e13849. [Google Scholar] [CrossRef]
- Munblit, D.; Peroni, D.G.; Boix-Amoros, A.; Hsu, P.S.; Land, B.V.; Gay, M.C.L.; Kolotilina, A.; Skevaki, C.; Boyle, R.J.; Collado, M.C.; et al. Human milk and allergic diseases: An unsolved puzzle. Nutrients 2017, 9, 894. [Google Scholar] [CrossRef]
- Boix-Amoros, A.; Collado, M.C.; Van’t Land, B.; Calvert, A.; Le Doare, K.; Garssen, J.; Hanna, H.; Khaleva, E.; Peroni, D.G.; Geddes, D.T.; et al. Reviewing the evidence on breast milk composition and immunological outcomes. Nutr. Rev. 2019, 77, 541–556. [Google Scholar] [CrossRef]
- Berbenyuk, A.; Levina, D.; Gamirova, A.; Munblit, D. Maternal diet during lactation and allergy in infants: A systematic review and meta-analysis. BMC Proc. 2020, 14. [Google Scholar]
- Koksal, B.T.; Barıs, Z.; Ozcay, F.; Yilmaz Ozbek, O. Single and multiple food allergies in infants with proctocolitis. Allergol. Et Immunopathol. 2018, 46, 3–8. [Google Scholar] [CrossRef]
- Buyuktiryaki, B.; Celik, I.K.; Erdem, S.B.; Capanoglu, M.; Civelek, E.; Guc, B.U.; Guvenir, H.; Cakir, M.; Misirlioglu, E.D.; Akcal, O.; et al. Risk Factors Influencing Tolerance and Clinical Features of Food Protein–induced Allergic Proctocolitis. J. Pediatr. Gastroenterol. Nutr. 2020, 70, 574–579. [Google Scholar] [CrossRef] [PubMed]
- Feuille, E.; Nowak-Wegrzyn, A. Food Protein-Induced Enterocolitis Syndrome, Allergic Proctocolitis, and Enteropathy. Curr. Allergy Asthma Rep. 2015, 15, 50. [Google Scholar] [CrossRef] [PubMed]
- Vandenplas, Y.; Brough, H.A.; Fiocchi, A.; Miqdady, M.; Munasir, Z.; Salvatore, S.; Thapar, N.; Venter, C.; Vieira, M.C.; Meyer, R. Current guidelines and future strategies for the management of cow’s milk allergy. J. Asthma Allerg. 2021, 14, 1244–1256. [Google Scholar] [CrossRef] [PubMed]
- Meyer, R.; Fox, A.T.; Chebar Lozinsky, A.; Michaelis, L.J.; Shah, N. Non-IgE-mediated gastrointestinal allergies-Do they have a place in a new model of the Allergic March. Pediatr. Allergy Immunol. 2019, 30, 149–158. [Google Scholar] [CrossRef] [PubMed]
- Uncuoğlu, A.; Aydoğan, M.; Şimşek, I.E.; Çöğürlü, M.T.; Uçak, K.; Acar, H.C. A Prospective Assessment of Clinical Characteristics and Responses to Dietary Elimination in Food Protein-Induced Allergic Proctocolitis. J. Allergy Clin. Immunol. Pract. 2022, 10, 206–214.e1. [Google Scholar] [CrossRef] [PubMed]
- Özdoğan, E.; Melek, H.E.; Büyüktiryaki, A.B.; Nacaroǧlu, H.T.; Dut, R.; Uysal Soyer, Ö.; Şahiner, Ü.M.; Arık Yılmaz, E.; Akkaya, D.; Uslu Kızılkan, N.; et al. Over restrictive elimination of foods in children with food allergy. Turk. J. Pediatr. 2021, 63, 109–117. [Google Scholar] [CrossRef]
- Canani, B.R.; Bradatan, E.; Carucci, L.; Coppola, S.; Cosenza, L.; Cozzolino, T.; Giglio, V.; Kalach, N.; Lemoine, A.; Paparo, L.; et al. Hypoallergenicity, tolerance and safety of a new Pectin Thickened Hydrolysed Rice-proteins based Formula in children allergic to cow’s milk: An intermediate analysis. J. Pediatr. Gastroenterol. Nutr. 2021, 72, 1220. [Google Scholar]
- Celik, V.; Beken, B.; Yazicioglu, M.; Ozdemir, P.G.; Sut, N. Do traditional fermented foods protect against infantile atopic dermatitis. Pediatr. Allergy Immunol. 2019, 30, 540–546. [Google Scholar] [CrossRef]
- Uncuoglu, A.; Yologlu, N.; Simsek, I.E.; Uyan, Z.S.; Aydogan, M. Tolerance to baked and fermented cow’s milk in children with IgE-mediated and non-IgE-mediated cow’s milk allergy in patients under two years of age. Allergol. Immunopathol. 2017, 45, 560–566. [Google Scholar] [CrossRef]
- Vassilopoulou, E.; Vardaka, E.; Efthymiou, D.; Pitsios, C. Early triggers for food allergy, that in turn impacts dietary habits in childhood. Allergol. Immunopathol. 2021, 49, 146–152. [Google Scholar] [CrossRef] [PubMed]
- Devakumar, D.; Stocks, J.; Ayres, J.G.; Kirkby, J.; Yadav, S.K.; Saville, N.M.; Devereux, G.; Wells, J.C.; Manandhar, D.S.; Costello, A.; et al. Effects of antenatal multiple micronutrient supplementation on lung function in mid-childhood: Follow-up of a double-blind randomised controlled trial in Nepal. Eur. Respir. J. 2015, 45, 1566–1575. [Google Scholar] [CrossRef]
- Checkley, W.; West, K.P.; Wise, R.A.; Baldwin, M.R.; Wu, L.; LeClerq, S.C.; Christian, P.; Katz, J.; Tielsch, J.M.; Khatry, S.; et al. Maternal Vitamin A Supplementation and Lung Function in Offspring. N. Engl. J. Med. 2010, 362, 1784–1794. [Google Scholar] [CrossRef] [PubMed]
- Karcz, K.; Lehman, I.; Królak-Olejnik, B. Foods to Avoid While Breastfeeding? Experiences and Opinions of Polish Mothers and Healthcare Providers. Nutrients 2020, 12, 1644. [Google Scholar] [CrossRef] [PubMed]
- Camilleri, M.; Lyle, B.J.; Madsen, K.L.; Sonnenburg, J.; Verbeke, K.; Wu, G.D. Role for diet in normal gut barrier function: Developing guidance within the framework of food-labeling regulations. Am. J. Physiol.-Gastrointest. Liver Physiol. 2019, 317, G17–G39. [Google Scholar] [CrossRef]
- Versluis, A.; van Os-Medendorp, H.; Kruizinga, A.G.; Blom, W.M.; Houben, G.F.; Knulst, A.C. Cofactors in allergic reactions to food: Physical exercise and alcohol are the most important. Immun Inflamm Dis. 2016, 4, 392–400. [Google Scholar] [CrossRef]
- Wölbing, F.; Fischer, J.; Köberle, M.; Kaesler, S.; Biedermann, T. About the role and underlying mechanisms of cofactors in anaphylaxis. Allergy 2013, 68, 1085–1092. [Google Scholar] [CrossRef] [PubMed]
- Shin, M. Food allergies and food-induced anaphylaxis: Role of cofactors. Clin Exp Pediatr. 2021, 64, 393–399. [Google Scholar] [CrossRef] [PubMed]
- Pali-Schöll, I.; Jensen-Jarolim, E. Anti-acid medication as a risk factor for food allergy. Allergy 2011, 66, 469–477. [Google Scholar] [CrossRef] [PubMed]
- Karatas, P.; Uysal, P.; Kahraman Berberoglu, B.; Erge, D.; Calisir, H. The Low Maternal Consumption of Homemade Fermented Foods in Pregnancy Is an Additional Risk Factor for Food Protein-Induced Allergic Proctocolitis: A Case-Control Study. Int. Arch. Allergy Immunol. 2022, 183, 262–270. [Google Scholar] [CrossRef] [PubMed]
- Antonogeorgos, G.; Priftis, K.; Panagiotakos, D.; Ellwood, P.; García-Marcos, L.; Liakou, E.; Koutsokera, A.; Drakontaeidis, P.; Thanasia, M.; Mandrapylia, M.; et al. Parental Education and the Association between Fruit and Vegetable Consumption and Asthma in Adolescents: The Greek Global Asthma Network (GAN) Study. Children 2021, 8, 304. [Google Scholar] [CrossRef] [PubMed]
- Sikorska-Szaflik, H.; Sozańska, B. Primary Prevention of Food Allergy-Environmental Protection beyond Diet. Nutrients 2021, 13, 2025. [Google Scholar] [CrossRef] [PubMed]
- Yu, M.; Zheng, X.; Peake, J.; Joad, J.P.; Pinkerton, K.E. Perinatal environmental tobacco smoke exposure alters the immune response and airway innervation in infant primates. J. Allergy Clin. Immunol. 2008, 122, 640–647.e1. [Google Scholar] [CrossRef] [PubMed]
- Hansen, K.; Mangrio, E.; Lindström, M.; Rosvall, M. Early exposure to secondhand tobacco smoke and the development of allergic diseases in 4 year old children in Malmö, Sweden. BMC Pediatr. 2010, 10, 61. [Google Scholar] [CrossRef] [PubMed]



| Group A (N = 43) | Group B (N = 53) | p-Value | |
|---|---|---|---|
| Current Age (months) | 13 (9–17) | 21 (14–30) | 0.001 | 
| Male Sex | 20 (46.51%) | 28 (52.83%) | 0.68 | 
| Age at Diagnosis (months) | 1.5 (1–3) | 1.5 (1–3) | 0.57 | 
| Weight (kg) at Diagnosis | 3.85 (3.725–5.03) | 4.25 (3.7–5.15) | 0.68 | 
| Length (cm) at Diagnosis | 54.5 (52–59.875) | 55 (54–61.25) | 0.59 | 
| Symptoms | |||
| Blood in stools | 40 (93.02%) | 49 (92.45%) | >0.05 | 
| Mucus in stools | 39 (90.7%) | 48 (90.57%) | >0.05 | 
| Anemia | 0 (0%) | 3 (5.66%) | 0.32 | 
| Hypoalbuminemia | 0 (0%) | 1 (1.89%) | >0.05 | 
| Other | 4 (9.3%) | 5 (9.43%) | >0.05 | 
| Group A (N = 43) | Group B (N = 53) | p-Value | |
|---|---|---|---|
| Maternal profile | |||
| Milk Allergy | 0 (0%) | 4 (7.55%) | >0.05 | 
| Egg Allergy | 0 (0%) | 4 (7.55%) | >0.05 | 
| Fish Allergy | 0 (0%) | 1 (1.89%) | >0.05 | 
| Wheat Allergy | 0 (0%) | 1 (1.89%) | >0.05 | 
| Shellfish Allergy | 0 (0%) | 1 (1.89%) | >0.05 | 
| Peanut Allergy | 0 (0%) | 2 (3.77%) | >0.05 | 
| Hazelnut Allergy | 0 (0%) | 2 (3.77%) | >0.05 | 
| Walnut Allergy | 0 (0%) | 1 (1.89%) | >0.05 | 
| Sesame Allergy | 0 (0%) | 1 (1.89%) | >0.05 | 
| Banana Allergy | 0 (0%) | 1 (1.89%) | >0.05 | 
| Chocolate Allergy | 0 (0%) | 1 (1.89%) | >0.05 | 
| Allergic Rhinitis | 0 (0%) | 1 (1.89%) | >0.05 | 
| Asthma Wheeze | 0 (0%) | 1 (1.89%) | >0.05 | 
| Eczema | 0 (0%) | 1 (1.89%) | >0.05 | 
| Smoking | 2 (4.65%) | 11 (20.75%) | 0.04 | 
| Rural Residence | 1 (2.33%) | 14 (26.42%) | 0.003 | 
| Secondary level of Education | 5 (4–5) | 2 (2–2) | <0.001 | 
| Paternal Profile | |||
| Milk Allergy | 3 (6.98%) | 7 (13.21%) | >0.05 | 
| Fish Allergy | 0 (0%) | 5 (9.43%) | >0.05 | 
| Wheat Allergy | 1 (2.33%) | 2 (3.77%) | >0.05 | 
| Peanut Allergy | 0 (0%) | 1 (1.89%) | >0.05 | 
| Hazelnut Allergy | 0 (0%) | 3 (5.66%) | >0.05 | 
| Walnut Allergy | 0 (0%) | 1 (1.89%) | >0.05 | 
| Sesame Allergy | 0 (0%) | 2 (3.77%) | >0.05 | 
| Banana Allergy | 0 (0%) | 2 (3.77%) | >0.05 | 
| Asthma Wheeze | 1 (2.33%) | 5 (9.43%) | >0.05 | 
| Eczema | 7 (16.28%) | 9 (16.98%) | >0.05 | 
| Smoking | 3 (11.11%) | 10 (28.57%) | >0.05 | 
| Residence | 4 (9.3%) | 8 (15.09%) | >0.05 | 
| Education | 5 (5–5) | 5 (5–5.75) | >0.05 | 
| Siblings’ profile | |||
| Cow’s milk Allergy | 1 (2.33%) | 9 (16.98%) | 0.04 | 
| Egg Allergy | 0 (0%) | 5 (9.43%) | >0.05 | 
| Fish Allergy | 0 (0%) | 1 (1.89%) | >0.05 | 
| Wheat Allergy | 0 (0%) | 2 (3.77%) | >0.05 | 
| Seafood Allergy | 0 (0%) | 2 (3.77%) | >0.05 | 
| Peanut Allergy | 0 (0%) | 1 (1.89%) | >0.05 | 
| Hazelnut Allergy | 0 (0%) | 1 (1.89%) | >0.05 | 
| Walnut Allergy | 0 (0%) | 1 (1.89%) | >0.05 | 
| Pepper allergy | 0 (0%) | 1 (1.89%) | >0.05 | 
| Asthma Wheeze | 1 (2.33%) | 8 (15.09%) | >0.05 | 
| FPIAP | 3 (6.98%) | 2 (3.77%) | >0.05 | 
| Eczema | 2 (4.65%) | 10 (18.87%) | >0.05 | 
| Group A (N = 43) | Group B (N = 53) | p-Value | |
|---|---|---|---|
| Potatoes fried | 1 (0–1.5) | 1 (1–2) | 0.04 | 
| Fermented Vegetables | 0 (0–0) | 0 (0–1) | 0.02 | 
| Whole Fat Yogurt | 4 (0–5) | 2 (0–4) | 0.03 | 
| Turkey | 2 (2–3) | 2 (2–2) | 0.02 | 
| Chicken | 0 (0–0) | 0 (0–1) | 0.04 | 
| Pork | 0 (0–1) | 1 (0–2) | 0.04 | 
| Beer | 0 (0–0) | 0 (0–1) | 0.03 | 
| Olive Oil | 5 (5–5) | 5 (4–5) | <0.001 | 
| Seed Oil | 0 (0–0) | 0 (0–2) | 0.02 | 
| Margarine | 0 (0–0) | 0 (0–2) | 0.004 | 
| Butter | 0 (0–2) | 2 (0–2) | 0.007 | 
| Yellow Cheese | 2 (1.8–2.7) | 1.8 (1.4–2.2) | 0.007 | 
| Pastries | 1.12 (0.62–1.5) | 1.315 (0.75–2.12) | 0.04 | 
| Grilled Food | 1 (1–1) | 1 (1–2) | 0.01 | 
| Table Salt | 3 (2–3) | 2 (2–3) | 0.01 | 
| “Ready-to-eat” meals | 2 (2–2) | 2 (2–3) | 0.04 | 
| Multivitamins | 8 (18.6%) | 23 (43.4%) | 0.01 | 
| Group A (N = 43) | Group B (N = 53) | p-Value | |
|---|---|---|---|
| Olives | 1 (0–2) | 2 (0–3) | 0.03 | 
| Boiled vegetables (e.g., broccoli cauliflower, zucchini) | 1 (0–2) | 2 (2–3) | 0.03 | 
| Fermented Vegetables | 0 (0–0) | 0 (0–1) | 0.003 | 
| Green Vegetables | 1.4 (1.2–2) | 2 (1.2–2.55) | 0.04 | 
| Orange | 1.71 (1.14–2.29) | 2.5 (1.465–3.43) | 0.006 | 
| Other Winter fruit | 0.5 (0–3) | 3 (1–4) | 0.006 | 
| Olive Oil | 5 (5–5) | 5 (4–5) | <0.001 | 
| Margarine | 0 (0–0) | 0 (0–2) | 0.001 | 
| Butter | 0 (0–1) | 1 (0–2) | 0.008 | 
| Cheese | 2 (1.55–2.6) | 1.5 (0.6–2.2) | 0.04 | 
| Red meat | 0.73 (0.45–0.91) | 0.82 (0.55–1.09) | 0.03 | 
| White meat | 1 (0.67–1.33) | 1 (1–1.67) | 0.02 | 
| Pastries | 0.88 (0.5–1.1525) | 1.12 (0.62–2.12) | 0.01 | 
| Alcohol | 0 (0–0) | 0 (0–1) | 0.03 | 
| Disclaimer/Publisher’s Note: The statements, opinions and data contained in all publications are solely those of the individual author(s) and contributor(s) and not of MDPI and/or the editor(s). MDPI and/or the editor(s) disclaim responsibility for any injury to people or property resulting from any ideas, methods, instructions or products referred to in the content. | 
© 2023 by the authors. Licensee MDPI, Basel, Switzerland. This article is an open access article distributed under the terms and conditions of the Creative Commons Attribution (CC BY) license (https://creativecommons.org/licenses/by/4.0/).
Share and Cite
Feketea, G.; Lakoumentas, J.; Konstantinou, G.N.; Douladiris, N.; Papadopoulos, N.G.; Petrodimopoulou, M.; Tasios, I.; Valianatou, M.; Vourga, V.; Vassilopoulou, E. Dietary Factors May Delay Tolerance Acquisition in Food Protein-Induced Allergic Proctocolitis. Nutrients 2023, 15, 425. https://doi.org/10.3390/nu15020425
Feketea G, Lakoumentas J, Konstantinou GN, Douladiris N, Papadopoulos NG, Petrodimopoulou M, Tasios I, Valianatou M, Vourga V, Vassilopoulou E. Dietary Factors May Delay Tolerance Acquisition in Food Protein-Induced Allergic Proctocolitis. Nutrients. 2023; 15(2):425. https://doi.org/10.3390/nu15020425
Chicago/Turabian StyleFeketea, Gavriela, John Lakoumentas, George N. Konstantinou, Nikolaos Douladiris, Nikolaos G. Papadopoulos, Maria Petrodimopoulou, Ioannis Tasios, Mina Valianatou, Vasiliki Vourga, and Emilia Vassilopoulou. 2023. "Dietary Factors May Delay Tolerance Acquisition in Food Protein-Induced Allergic Proctocolitis" Nutrients 15, no. 2: 425. https://doi.org/10.3390/nu15020425
APA StyleFeketea, G., Lakoumentas, J., Konstantinou, G. N., Douladiris, N., Papadopoulos, N. G., Petrodimopoulou, M., Tasios, I., Valianatou, M., Vourga, V., & Vassilopoulou, E. (2023). Dietary Factors May Delay Tolerance Acquisition in Food Protein-Induced Allergic Proctocolitis. Nutrients, 15(2), 425. https://doi.org/10.3390/nu15020425
 
        



 
       