Yellow Pea Pasta Enhances the Saltiness and Suppression of Postprandial Blood Glucose Elevation
Abstract
1. Introduction
- (1)
- We compared the taste characteristics of YPP to commercial salt at various times.
- (2)
- We compared the effects of YPP and WP on postprandial blood glucose and insulin levels after a first and subsequent meal.
- (3)
- We compared the maintenance of satiety after eating the same of YPP to eating the same weight of WP.
- (4)
- By doing these tests, we tested whether YPP is a functional staple that could help reduce salt intake and control blood sugar.
2. Materials and Methods
2.1. Materials to Be Tested
2.2. Sensory Evaluation
2.3. Subjects for the Study of Changes in Postprandial Blood Glucose, Insulin Measurement, and Postprandial Satiety
2.4. Test Design
2.5. Test Food Processing for Postprandial Blood Glucose and Insulin Measurement
2.6. Component Analysis of the Test Food
2.7. Statistical Analysis
3. Results
3.1. Sensory Evaluation
3.2. Ingredients of Pasta and Boiled Water
3.3. Postprandial Blood Glucose, Insulin Transition, GI Measurement
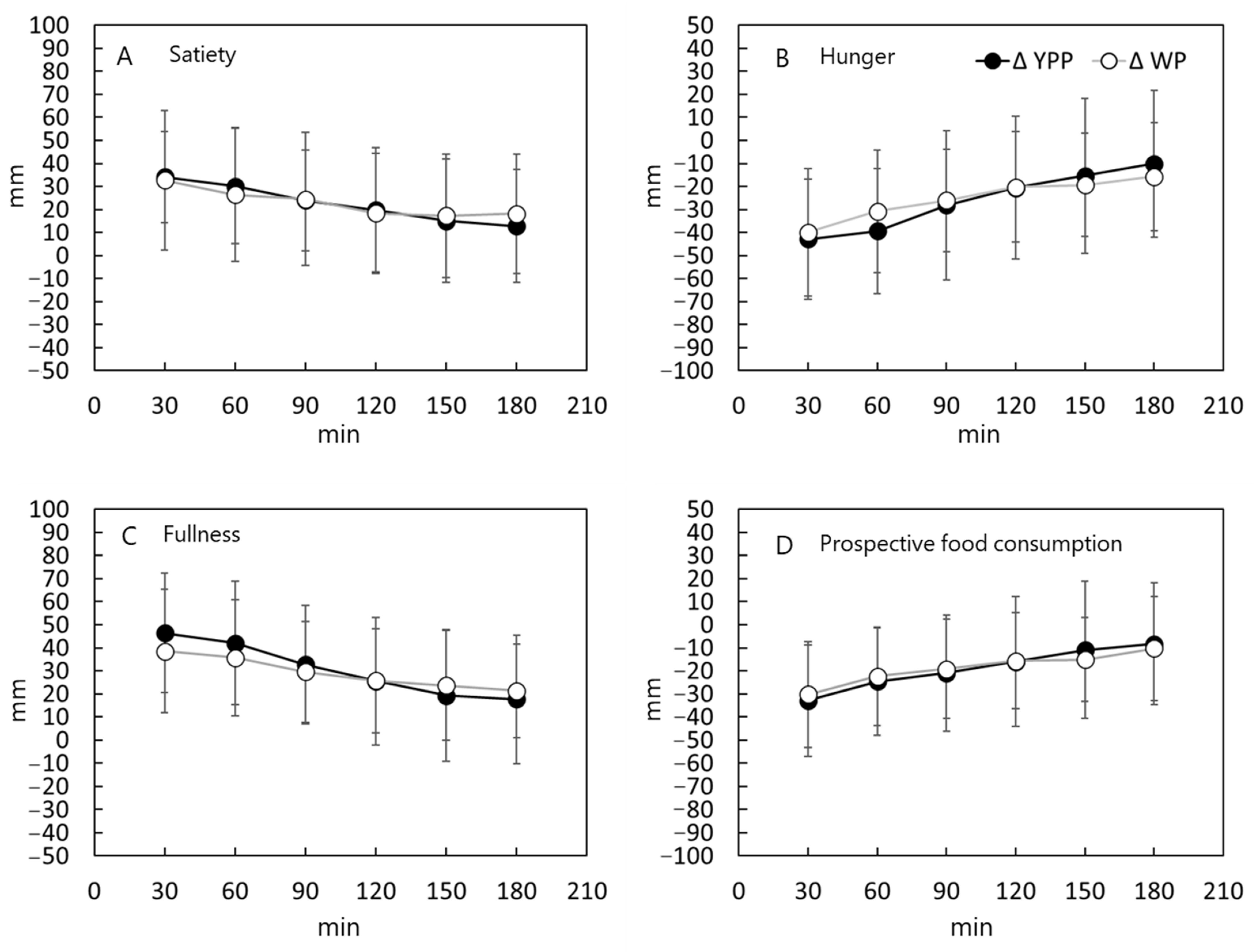
3.4. Sensations Related to Satiety after Eating
4. Discussion
4.1. Taste Properties
4.2. Effects of the First Meal on Blood Sugar, Insulin, and Postprandial Satiety
4.3. Effect of Yellow Pea Pasta on the Second Meal
5. Conclusions
Author Contributions
Funding
Institutional Review Board Statement
Informed Consent Statement
Data Availability Statement
Acknowledgments
Conflicts of Interest
References
- Grillo, A.; Salvi, L.; Coruzzi, P.; Salvi, P.; Parati, G. Sodium Intake and Hypertension. Nutrients 2019, 11, 1970. [Google Scholar] [CrossRef] [PubMed]
- Nerbass, F.B.; Pecoits-Filho, R.; McIntyre, N.J.; McIntyre, C.W.; Taal, M.W. High Sodium Intake Is Associated with Important Risk Factors in a Large Cohort of Chronic Kidney Disease Patients. Eur. J. Clin. Nutr. 2015, 69, 786–790. [Google Scholar] [CrossRef] [PubMed]
- World Health Organization. Guideline: Sodium Intake for Adults and Children; World Health Organization: Geneva, Switzerland, 2012; ISBN 978-92-4-150483-6. [Google Scholar]
- Centers for Disease Control and Prevention (CDC). Usual Sodium Intakes Compared with Current Dietary Guidelines—United States, 2005–2008. MMWR Morb. Mortal Wkly. Rep. 2011, 60, 1413–1417. [Google Scholar]
- Takimoto, H.; Saito, A.; Htun, N.C.; Abe, K. Food Items Contributing to High Dietary Salt Intake among Japanese Adults in the 2012 National Health and Nutrition Survey. Hypertens. Res. 2018, 41, 209–212. [Google Scholar] [CrossRef]
- Sasaki, S. Dietary Reference Intakes for Japanese (2020): General Remarks and Expectations in Relation to Nutritional Research. J. Jpn. Soc. Nutr. Food Sci. 2021, 74, 291–296. [Google Scholar] [CrossRef]
- Rhyu, M.-R.; Song, A.-Y.; Kim, E.-Y.; Son, H.-J.; Kim, Y.; Mummalaneni, S.; Qian, J.; Grider, J.R.; Lyall, V. Kokumi Taste Active Peptides Modulate Salt and Umami Taste. Nutrients 2020, 12, 1198. [Google Scholar] [CrossRef]
- Hayabuchi, H.; Morita, R.; Ohta, M.; Nanri, A.; Matsumoto, H.; Fujitani, S.; Yoshida, S.; Ito, S.; Sakima, A.; Takase, H.; et al. Validation of Preferred Salt Concentration in Soup Based on a Randomized Blinded Experiment in Multiple Regions in Japan—Influence of Umami (l-Glutamate) on Saltiness and Palatability of Low-Salt Solutions. Hypertens. Res. 2020, 43, 525–533. [Google Scholar] [CrossRef]
- Lawrence, G.; Salles, C.; Septier, C.; Busch, J.; Thomas-Danguin, T. Odour–Taste Interactions: A Way to Enhance Saltiness in Low-Salt Content Solutions. Food Qual. Prefer. 2009, 20, 241–248. [Google Scholar] [CrossRef]
- Petrie, J.R.; Guzik, T.J.; Touyz, R.M. Diabetes, Hypertension, and Cardiovascular Disease: Clinical Insights and Vascular Mechanisms. Can. J. Cardiol. 2018, 34, 575–584. [Google Scholar] [CrossRef]
- Atkinson, F.S.; Foster-Powell, K.; Brand-Miller, J.C. International Tables of Glycemic Index and Glycemic Load Values: 2008. Diabetes Care 2008, 31, 2281–2283. [Google Scholar] [CrossRef]
- Higgins, J.A. Whole Grains, Legumes, and the Subsequent Meal Effect: Implications for Blood Glucose Control and the Role of Fermentation. J. Nutr. Metab. 2012, 2012, 829238. [Google Scholar] [CrossRef] [PubMed]
- Lavin, J.H.; Read, N.W. The Effect on Hunger and Satiety of Slowing the Absorption of Glucose: Relationship with Gastric Emptying and Postprandial Blood Glucose and Insulin Responses. Appetite 1995, 25, 89–96. [Google Scholar] [CrossRef] [PubMed]
- Holt, S.H.; Brand Miller, J.C.; Petocz, P. Interrelationships among Postprandial Satiety, Glucose and Insulin Responses and Changes in Subsequent Food Intake. Eur. J. Clin. Nutr. 1996, 50, 788–797. [Google Scholar] [PubMed]
- Amin, T.; Mercer, J.G. Hunger and Satiety Mechanisms and Their Potential Exploitation in the Regulation of Food Intake. Curr. Obes. Rep. 2016, 5, 106–112. [Google Scholar] [CrossRef]
- Yoshimoto, J.; Kato, Y.; Ban, M.; Kishi, M.; Horie, H.; Yamada, C.; Nishizaki, Y. Palatable Noodles as a Functional Staple Food Made Exclusively from Yellow Peas Suppressed Rapid Postprandial Glucose Increase. Nutrients 2020, 12, 1839. [Google Scholar] [CrossRef]
- Rathod, R.P.; Annapure, U.S. Physicochemical Properties, Protein and Starch Digestibility of Lentil Based Noodle Prepared by Using Extrusion Processing. LWT 2017, 80, 121–130. [Google Scholar] [CrossRef]
- Blundell, J.; Finlayson, G.; Axelsen, M.; Flint, A.; Gibbons, C.; Kvist, T.; Hjerpsted, J.B. Effects of Once-weekly Semaglutide on Appetite, Energy Intake, Control of Eating, Food Preference and Body Weight in Subjects with Obesity. Diabetes Obes. Metab. 2017, 19, 1242–1251. [Google Scholar] [CrossRef]
- Ueda, Y.; Yonemitsu, M.; Tsubuku, T.; Sakaguchi, M.; Miyajima, R. Flavor Characteristics of Glutathione in Raw and Cooked Foodstuffs. Biosci. Biotechnol. Biochem. 1997, 61, 1977–1980. [Google Scholar] [CrossRef]
- Schindler, A.; Dunkel, A.; Stähler, F.; Backes, M.; Ley, J.; Meyerhof, W.; Hofmann, T. Discovery of Salt Taste Enhancing Arginyl Dipeptides in Protein Digests and Fermented Fish Sauces by Means of a Sensomics Approach. J. Agric. Food Chem. 2011, 59, 12578–12588. [Google Scholar] [CrossRef]
- Wyness, L.A.; Butriss, J.L.; Stanner, S.A. Reducing the Population’s Sodium Intake: The UK Food Standards Agency’s Salt Reduction Programme. Public Health Nutr. 2012, 15, 254–261. [Google Scholar] [CrossRef]
- He, F.J.; Pombo-Rodrigues, S.; MacGregor, G.A. Salt Reduction in England from 2003 to 2011: Its Relationship to Blood Pressure, Stroke and Ischaemic Heart Disease Mortality. BMJ Open 2014, 4, e004549. [Google Scholar] [CrossRef] [PubMed]
- Njike, V.Y.; Smith, T.M.; Shuval, O.; Shuval, K.; Edshteyn, I.; Kalantari, V.; Yaroch, A.L. Snack Food, Satiety, and Weight. Adv. Nutr. 2016, 7, 866–878. [Google Scholar] [CrossRef] [PubMed]
- Wyatt, P.; Berry, S.E.; Finlayson, G.; O’Driscoll, R.; Hadjigeorgiou, G.; Drew, D.A.; Khatib, H.A.; Nguyen, L.H.; Linenberg, I.; Chan, A.T.; et al. Postprandial Glycaemic Dips Predict Appetite and Energy Intake in Healthy Individuals. Nat. Metab. 2021, 3, 523–529. [Google Scholar] [CrossRef] [PubMed]
- Li, S.S.; Kendall, C.W.C.; de Souza, R.J.; Jayalath, V.H.; Cozma, A.I.; Ha, V.; Mirrahimi, A.; Chiavaroli, L.; Augustin, L.S.A.; Blanco Mejia, S.; et al. Dietary Pulses, Satiety and Food Intake: A Systematic Review and Meta-Analysis of Acute Feeding Trials. Obesity 2014, 22, 1773–1780. [Google Scholar] [CrossRef]
- Ullah, H.; Esposito, C.; Piccinocchi, R.; De Lellis, L.F.; Santarcangelo, C.; Minno, A.D.; Baldi, A.; Buccato, D.G.; Khan, A.; Piccinocchi, G.; et al. Postprandial Glycemic and Insulinemic Response by a Brewer’s Spent Grain Extract-Based Food Supplement in Subjects with Slightly Impaired Glucose Tolerance: A Monocentric, Randomized, Cross-Over, Double-Blind, Placebo-Controlled Clinical Trial. Nutrients 2022, 14, 3916. [Google Scholar] [CrossRef]
- Fukuhara, I.; Ikenaga, T.; Noguchi, H.; Kohashi, C. Effect of cooked rice with β-glucan enriched barley on postprandial glucose response and its second meal effect. Jpn. Pharmacol. Ther. 2013, 41, 789–795. [Google Scholar]



| Salinity | YPP | WP | p Value | |
|---|---|---|---|---|
| saltiness | 0.50% | 4.56 ± 1.05 | 4.59 ± 1.60 | 0.920 |
| 0.75% | 5.57 ± 1.35 | 4.54 ± 1.55 | 0.010 * | |
| 1.00% | 6.18 ± 1.49 | 5.89 ± 1.31 | 0.450 | |
| umami | 0.50% | 5.56 ± 1.28 | 5.15 ± 1.38 | 0.266 |
| 0.75% | 6.43 ± 1.07 | 5.18 ± 1.16 | 0.000 *** | |
| 1.00% | 6.04 ± 1.37 | 5.39 ± 1.13 | 0.062 † | |
| sweetness | 0.50% | 5.15 ± 1.29 | 5.07 ± 1.69 | 0.857 |
| 0.75% | 5.21 ± 1.40 | 4.82 ± 1.70 | 0.349 | |
| 1.00% | 5.29 ± 1.41 | 4.79 ± 1.57 | 0.216 | |
| bitterness | 0.50% | 4.78 ± 2.04 | 2.74 ± 1.58 | 0.000 *** |
| 0.75% | 3.82 ± 2.11 | 2.39 ± 1.57 | 0.005 ** | |
| 1.00% | 4.25 ± 2.19 | 2.86 ± 1.64 | 0.008 ** | |
| sourness | 0.50% | 3.89 ± 1.80 | 3.22 ± 1.78 | 0.178 |
| 0.75% | 2.93 ± 1.92 | 3.11 ± 1.61 | 0.721 | |
| 1.00% | 3.39 ± 1.87 | 3.39 ± 1.39 | 1.000 | |
| kokumi | 0.50% | 5.59 ± 1.42 | 4.63 ± 1.45 | 0.017 * |
| 0.75% | 5.82 ± 1.12 | 4.64 ± 1.57 | 0.002 ** | |
| 1.00% | 5.57 ± 1.40 | 4.54 ± 1.64 | 0.014 * | |
| overall acceptance | 0.50% | 5.11 ± 1.74 | 5.70 ± 1.14 | 0.145 |
| 0.75% | 5.96 ± 1.62 | 5.68 ± 1.61 | 0.511 | |
| 1.00% | 5.68 ± 1.44 | 5.64 ± 1.39 | 0.925 |
| Salinity | YPP-ex | WP-ex | p Value | |
|---|---|---|---|---|
| Saltiness | 0.50% | 4.67 ± 0.92 | 4.47 ± 1.31 | 0.496 |
| 0.75% | 5.53 ± 0.82 | 5.13 ± 0.97 | 0.091 † | |
| 1.00% | 5.73 ± 0.98 | 5.67 ± 1.03 | 0.798 | |
| Umami | 0.50% | 5.13 ± 1.14 | 4.50 ± 0.97 | 0.024 * |
| 0.75% | 5.30 ± 1.18 | 4.63 ± 0.89 | 0.017 * | |
| 1.00% | 5.20 ± 1.30 | 4.63 ± 1.10 | 0.073 † | |
| Sweetness | 0.50% | 4.87 ± 1.17 | 4.17 ± 0.99 | 0.015 * |
| 0.75% | 4.60 ± 1.28 | 4.23 ± 1.33 | 0.281 | |
| 1.00% | 4.87 ± 1.07 | 4.27 ± 1.05 | 0.033 * | |
| Bitterness | 0.50% | 4.27 ± 1.44 | 4.03 ± 1.33 | 0.516 |
| 0.75% | 4.60 ± 1.52 | 4.07 ± 1.44 | 0.168 | |
| 1.00% | 4.23 ± 1.43 | 4.03 ± 1.54 | 0.605 | |
| Sourness | 0.50% | 3.97 ± 1.40 | 3.93 ± 1.26 | 0.923 |
| 0.75% | 4.27 ± 1.23 | 4.23 ± 1.17 | 0.915 | |
| 1.00% | 4.13 ± 1.33 | 3.87 ± 1.43 | 0.458 | |
| Kokumi | 0.50% | 5.27 ± 1.26 | 4.23 ± 1.25 | 0.002 ** |
| 0.75% | 5.43 ± 1.45 | 4.80 ± 1.30 | 0.080 † | |
| 1.00% | 5.63 ± 1.19 | 4.87 ± 1.59 | 0.039 * | |
| overall acceptance | 0.50% | 4.67 ± 1.37 | 4.23 ± 1.14 | 0.188 |
| 0.75% | 5.23 ± 1.30 | 4.97 ± 1.38 | 0.444 | |
| 1.00% | 5.27 ± 1.57 | 4.80 ± 1.54 | 0.251 |
| Amino Acids (mg/100 g) | YPP | YPP-ex | WP | WP-ex |
|---|---|---|---|---|
| Aspartic Acid | 8.70 ± 0.19 | 2.23 ± 0.01 | 1.73 ± 0.00 | 0.70 ± 0.00 |
| Threonine | 1.53 ± 0.03 | 0.34 ± 0.00 | 0.22 ± 0.01 | 0.13 ± 0.01 |
| Serine | 2.69 ± 0.01 | 0.60 ± 0.00 | 0.25 ± 0.00 | 0.11 ± 0.00 |
| Glutamic Acid | 42.78 ± 0.79 | 10.20 ± 0.02 | 1.64 ± 0.01 | 0.76 ± 0.00 |
| Proline | 2.14 ± 0.05 | 0.42 ± 0.01 | 0.50 ± 0.02 | 0.24 ± 0.00 |
| Glycine | 2.48 ± 0.04 | 0.66 ± 0.00 | 0.34 ± 0.00 | 0.25 ± 0.03 |
| Alanine | 2.11 ± 0.03 | 0.50 ± 0.00 | 1.19 ± 0.00 | 0.50 ± 0.00 |
| Valine | 1.58 ± 0.02 | 0.30 ± 0.00 | 0.28 ± 0.00 | 0.15 ± 0.00 |
| Cysteine | N.D. (not detected) | N.D. | 0.11 ± 0.00 | 0.07 ± 0.00 |
| Methionine | 0.95 ± 0.02 | 0.15 ± 0.00 | 0.04 ± 0.00 | 0.03 ± 0.00 |
| Isoleucine | 0.62 ± 0.03 | 0.16 ± 0.00 | 0.12 ± 0.00 | 0.07 ± 0.00 |
| Leucine | 0.94 ± 0.01 | 0.02 ± 0.01 | 0.21 ± 0.00 | 0.13 ± 0.00 |
| Tyrosine | 1.50 ± 0.10 | 0.24 ± 0.01 | 0.26 ± 0.01 | 0.18 ± 0.00 |
| Phenylalanine | 2.22 ± 0.03 | 0.35 ± 0.01 | 0.10 ± 0.00 | 0.07 ± 0.00 |
| Histidine | 1.09 ± 0.02 | 0.19 ± 0.00 | 0.08 ± 0.00 | 0.04 ± 0.00 |
| Lysine | 4.79 ± 0.06 | 0.45 ± 0.00 | 0.18 ± 0.00 | 0.13 ± 0.00 |
| Tryptophan | 1.91 ± 0.06 | 0.31 ± 0.01 | 1.44 ± 0.01 | 0.99 ± 0.02 |
| Arginine | 65.47 ± 0.01 | 6.13 ± 0.03 | 0.47 ± 0.01 | 0.34 ± 0.00 |
| Asparagine | 25.96 ± 0.50 | 5.66 ± 0.01 | 2.64 ± 0.02 | 1.18 ± 0.00 |
| Glutamine | 0.64 ± 0.04 | 0.14 ± 0.01 | 0.10 ± 0.00 | 0.03 ± 0.00 |
| Total amino acids | 170.11 ± 3.42 | 29.13 ± 0.14 | 11.89 ± 0.11 | 5.99 ± 0.09 |
| Sugars (g/100 g) | ||||
| Fructose | N.D. | N.D. | 0.02 ± 0.00 | 0.01 ± 0.00 |
| Glucose | N.D. | N.D. | 0.02 ± 0.01 | 0.01 ± 0.00 |
| Sucrose | 0.39 ± 0.01 | 0.10 ± 0.00 | 0.05 ± 0.01 | 0.04 ± 0.01 |
| Maltose | N.D. | N.D. | 0.17 ± 0.00 | 0.15 ± 0.01 |
| Total sugars | 0.39 ± 0.01 | 0.10 ± 0.00 | 0.26 ± 0.02 | 0.21 ± 0.02 |
| Flavour nucleotides (mg/100 g) | ||||
| inosinic acid | N.D. | N.D. | N.D. | N.D. |
| Guanilic acid | 9.98 ± 0.23 | 3.07 ± 0.03 | 0.01 ± 0.00 | 0.03 ± 0.02 |
| Organic acids (mg/100 g) | ||||
| Citric acid | 98.00 ± 0.84 | 38.80 ± 0.09 | 4.30 ± 0.05 | 2.50 ± 0.27 |
| Malic acid | 11.52 ± 0.21 | 6.84 ± 0.02 | 14.13 ± 0.03 | 5.41 ± 0.50 |
| Succinic acid | 0.56 ± 0.00 | 0.32 ± 0.00 | 1.59 ± 0.01 | 0.57 ± 0.05 |
| Lactic acid | 1.01 ± 0.06 | 0.70 ± 0.05 | 0.39 ± 0.06 | 0.48 ± 0.10 |
| Acetic acid | 1.89 ± 0.14 | 1.09 ± 0.02 | 1.03 ± 0.01 | 0.75 ± 0.06 |
| Total organic acids | 112.98 ± 1.25 | 47.75 ± 0.18 | 21.44 ± 0.15 | 10.07 ± 0.98 |
| Gurutation (mg/100 g) | ||||
| Glutathione (Reduced Form) | 9.01 ± 1.77 | 2.44 ± 0.36 | N.D. | N.D. |
| Glutathione (Oxidized Form) | 5.00 ± 0.63 | 3.35 ± 0.47 | N.D. | N.D. |
| Total glutathione | 14.01 ± 2.41 | 5.79 ± 0.83 | N.D. | N.D. |
| Characteristic | Mean ± SD |
|---|---|
| Age (yrs) | 40.2 ± 6.8 |
| Weight (kg) | 55.7 ± 8.3 |
| Height (cm) | 163.5 ± 8.4 |
| BMI (kg/m2) | 20.8 ± 1.7 |
| Systolic blood pressure (mmHg) | 110.6 ± 10.3 |
| Diastolic blood pressure (mmHg) | 66.7 ± 6.8 |
| Fasting blood glucose (mg/dL) | 85.8 ± 4.6 |
| Triglyceride (mg/dL) | 70.3 ± 23.3 |
| Total cholesterol (mg/dL) | 198.5 ± 31.5 |
| HDL-C (mg/dL) | 68.5 ± 12.8 |
| LDL-C (mg/dL) | 112.4 ± 27.0 |
| Nutritional Composition | Glucose (Reference) | YPP | WP | White Rice |
|---|---|---|---|---|
| Energy (kJ) a | 850 | 1371 | 1637 | 917 |
| Protein (g) | 0 | 19.7 † | 12.9 † | 3 † |
| Fat (g) | 0 | 1.9 † | 2 † | 0 † |
| Total dietary fiber (g) | 0 | 14.7 † | 4.5 | 2 † |
| Available carbohydrate (g) | 50 † | 50 † | 77 † | 50 † |
| Consumption weight (g) | 300 * | 248 | 248 | 147 |
Disclaimer/Publisher’s Note: The statements, opinions and data contained in all publications are solely those of the individual author(s) and contributor(s) and not of MDPI and/or the editor(s). MDPI and/or the editor(s) disclaim responsibility for any injury to people or property resulting from any ideas, methods, instructions or products referred to in the content. |
© 2023 by the authors. Licensee MDPI, Basel, Switzerland. This article is an open access article distributed under the terms and conditions of the Creative Commons Attribution (CC BY) license (https://creativecommons.org/licenses/by/4.0/).
Share and Cite
Tsuchiya, Y.; Yoshimoto, J.; Kobayashi, H.; Ishii, S.; Kishi, M. Yellow Pea Pasta Enhances the Saltiness and Suppression of Postprandial Blood Glucose Elevation. Nutrients 2023, 15, 283. https://doi.org/10.3390/nu15020283
Tsuchiya Y, Yoshimoto J, Kobayashi H, Ishii S, Kishi M. Yellow Pea Pasta Enhances the Saltiness and Suppression of Postprandial Blood Glucose Elevation. Nutrients. 2023; 15(2):283. https://doi.org/10.3390/nu15020283
Chicago/Turabian StyleTsuchiya, Yoshihiro, Joto Yoshimoto, Hiroto Kobayashi, Sho Ishii, and Mikiya Kishi. 2023. "Yellow Pea Pasta Enhances the Saltiness and Suppression of Postprandial Blood Glucose Elevation" Nutrients 15, no. 2: 283. https://doi.org/10.3390/nu15020283
APA StyleTsuchiya, Y., Yoshimoto, J., Kobayashi, H., Ishii, S., & Kishi, M. (2023). Yellow Pea Pasta Enhances the Saltiness and Suppression of Postprandial Blood Glucose Elevation. Nutrients, 15(2), 283. https://doi.org/10.3390/nu15020283

