Serum Phosphate Levels Modify the Impact of FGF23 Levels on Hemoglobin in Chronic Kidney Disease
Abstract
1. Introduction
2. Materials and Methods
2.1. Study Population
2.2. Clinical Data and Laboratory Determinations
2.3. Statistical Analysis
3. Results
3.1. Description of the Study Cohort
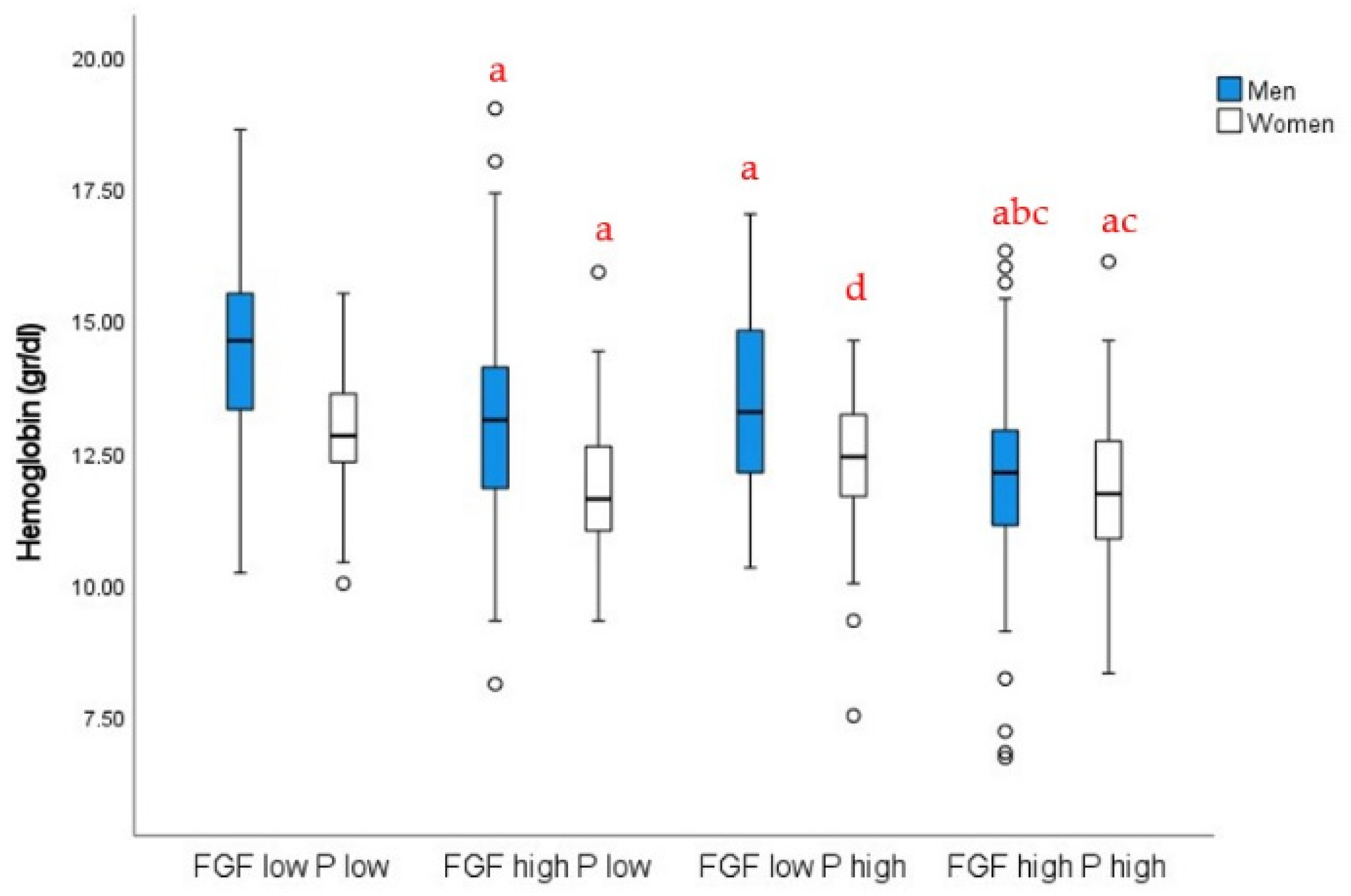
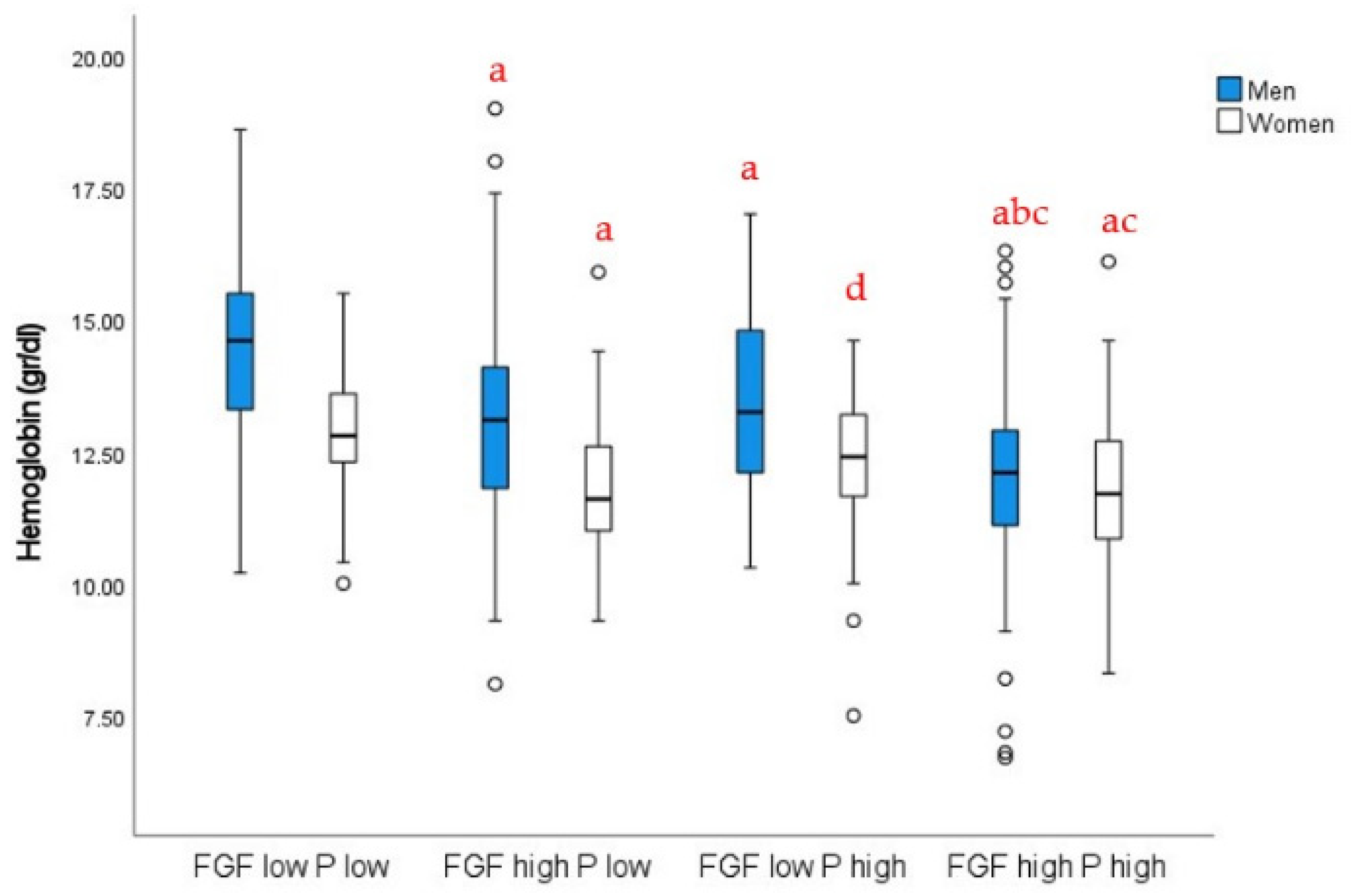
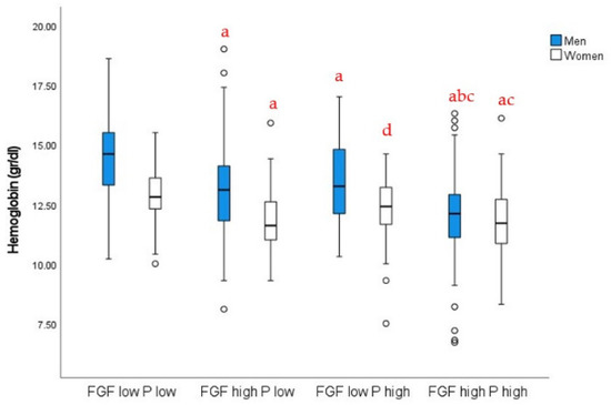
3.2. Relationships of Serum P and FGF23 with Anemia
3.3. Multivariate Analysis
4. Discussion
5. Conclusions
Author Contributions
Funding
Institutional Review Board Statement
Informed Consent Statement
Data Availability Statement
Conflicts of Interest
References
- Levin, A.; Thompson, C.R.; Ethier, J.; Carlisle, E.J.; Tobe, S.; Mendelssohn, D.; Burgess, E.; Jindal, K.; Barrett, B.; Singer, J.; et al. Left ventricular mass index increase in early renal disease: Impact of decline in hemoglobin. Am. J. Kidney Dis. 1999, 34, 125–134. [Google Scholar] [CrossRef]
- Foley, R.N.; Parfrey, P.S.; Harnett, J.D.; Kent, G.M.; Murray, D.C.; Barre, P.E. The impact of anemia on cardiomyopathy, morbidity, and and mortality in end-stage renal disease. Am. J. Kidney Dis. 1996, 28, 53–61. [Google Scholar] [CrossRef]
- Portolés, J.; Martín, L.; Broseta, J.J.; Cases, A. Anemia in Chronic Kidney Disease: From Pathophysiology and Current Treatments, to Future Agents. Front. Med. (Lausanne) 2021, 8, 642296. [Google Scholar] [CrossRef] [PubMed]
- Jacobson, L.O.; Goldwasser, E.; Fried, W.; Plzak, L. Role of the kidney in erythropoiesis. Nature 1957, 179, 633–634. [Google Scholar] [CrossRef] [PubMed]
- McGonigle, R.J.; Wallin, J.D.; Shadduck, R.K.; Fisher, J.W. Erythropoietin deficiency and inhibition of erythropoiesis in renal insufficiency. Kidney Int. 1984, 25, 437–444. [Google Scholar] [CrossRef]
- Besarab, A.; Ayyoub, F. Anemia in renal disease. In Diseases of the Kidney and Urinary Tract, 8th ed.; Schrier, R.W., Ed.; Lippincott Williams and Wilkins: Philadelphia, PA, USA, 2007; pp. 2406–2430. [Google Scholar]
- Amnuay, K.; Srisawat, N.; Wudhikarn, K.; Assanasen, T.; Polprasert, C. Factors associated with erythropoiesis-stimulating agent hyporesponsiveness anemia in chronic kidney disease patients. Hematol. Rep. 2019, 11, 8183. [Google Scholar] [CrossRef]
- Diskin, C.J.; Stokes, T.J.; Dansby, L.M.; Radcliff, L.; Carter, T.B. Can acidosis and hyperphosphataemia result in increased erythropoietin dosing in haemodialysis patients? Nephrology (Carlton) 2006, 11, 394–399. [Google Scholar] [CrossRef]
- Kovesdy, C.P.; Mucsi, I.; Czira, M.E.; Rudas, A.; Ujszaszi, A.; Rosivall, L.; Kim, S.J.; Wolf, M.; Molnar, M.Z. Association of serum phosphorus level with anemia in kidney transplant recipients. Transplantation 2011, 91, 875–882. [Google Scholar] [CrossRef]
- Agoro, R.; Montagna, A.; Goetz, R.; Aligbe, O.; Singh, G.; Coe, L.M.; Mohammadi, M.; Rivella, S.; Sitara, D. Inhibition of fibroblast growth factor 23 (FGF23) signaling rescues renal anemia. FASEB J. 2018, 32, 3752–3764. [Google Scholar] [CrossRef]
- Coe, L.M.; Madathil, S.V.; Casu, C.; Lanske, B.; Rivella, S.; Sitara, D. FGF-23 is a negative regulator of prenatal and postnatal erythropoiesis. J. Biol. Chem. 2014, 289, 9795–9810. [Google Scholar] [CrossRef]
- Mehta, R.; Cai, X.; Hodakowski, A.; Lee, J.; Leonard, M.; Ricardo, A.; Chen, J.; Hamm, L.; Sondheimer, J.; Dobre, M.; et al. Fibroblast Growth Factor 23 and Anemia in the Chronic Renal Insufficiency Cohort Study. Clin. J. Am. Soc. Nephrol. 2017, 12, 1795–1803. [Google Scholar] [CrossRef] [PubMed]
- Nam, K.H.; Kim, H.; An, S.Y.; Lee, M.; Cha, M.-U.; Park, J.T.; Yoo, T.-H.; Lee, K.-B.; Kim, Y.-H.; Sung, S.-A.; et al. Circulating Fibroblast Growth Factor-23 Levels are Associated with an Increased Risk of Anemia Development in Patients with Nondialysis Chronic Kidney Disease. Sci. Rep. 2018, 8, 7294. [Google Scholar] [CrossRef] [PubMed]
- Tsai, M.H.; Leu, J.-G.; Fang, Y.-W.; Liou, H.-H. High Fibroblast Growth Factor 23 Levels Associated With Low Hemoglobin Levels in Patients With Chronic Kidney Disease Stages 3 and 4. Medicine (Baltimore) 2016, 95, e3049. [Google Scholar] [CrossRef] [PubMed]
- Akalin, N.; Okuturlar, Y.; Harmankaya, Ö.; Gedıkbaşi, A.; Sezıklı, S.; Yucel, S.K. Prognostic importance of fibroblast growth factor-23 in dialysis patients. Int. J. Nephrol. 2014, 2014, 602034. [Google Scholar] [CrossRef] [PubMed]
- Honda, H.; Michihata, T.; Shishido, K.; Takahashi, K.; Takahashi, G.; Hosaka, N.; Ikeda, M.; Sanada, D.; Shibata, T. High fibroblast growth factor 23 levels are associated with decreased ferritin levels and increased intravenous iron doses in hemodialysis patients. PLoS ONE 2017, 12, e0176984. [Google Scholar] [CrossRef]
- Musgrove, J.; Wolf, M. Regulation and Effects of FGF23 in Chronic Kidney Disease. Annu. Rev. Physiol. 2020, 82, 365–390. [Google Scholar] [CrossRef]
- Schaefer, B.; Tobiasch, M.; Wagner, S.; Glodny, B.; Tilg, H.; Wolf, M.; Zoller, H. Hypophosphatemia after intravenous iron therapy: Comprehensive review of clinical findings and recommendations for management. Bone 2022, 154, 116202. [Google Scholar] [CrossRef]
- Junyent, M.; Martínez, M.; Borrás, M.; Bertriu, A.; Coll, B.; Craver, L.; Marco, M.P.; Sarró, F.; Valdivielso, J.M.; Fernández, E. Usefulness of imaging techniques and novel biomarkers in the prediction of cardiovascular risk in patients with chronic kidney disease in Spain: The NEFRONA project. Nefrologia 2010, 30, 119–126. [Google Scholar]
- Junyent, M.; Martínez, M.; Borràs, M.; Coll, B.; Valdivielso, J.M.; Vidal, T.; Sarró, F.; Roig, J.; Craver, L.; Fernández, E. Predicting cardiovascular disease morbidity and mortality in chronic kidney disease in Spain. The rationale and design of NEFRONA: A prospective, multicenter, observational cohort study. BMC Nephrol. 2010, 11, 14. [Google Scholar] [CrossRef]
- De La Piedra, C.; Fernández, E.; Casaus, M.L.G.; Parra, E.G. Different biological functions in PTH molecules? What are we measuring? Nefrologia 2008, 28, 123–128. [Google Scholar]
- Nangaku, M.; Eckardt, K.U. Pathogenesis of renal anemia. Semin Nephrol. 2006, 26, 261–268. [Google Scholar] [CrossRef] [PubMed]
- Patel, N.M.; Gutiérrez, O.M.; Andress, D.L.; Coyne, D.W.; Levin, A.; Wolf, M. Vitamin D deficiency and anemia in early chronic kidney disease. Kidney Int. 2010, 77, 715–720. [Google Scholar] [CrossRef] [PubMed][Green Version]
- Weiss, G.; Goodnough, L.T. Anemia of chronic disease. N. Engl. J. Med. 2005, 352, 1011–1023. [Google Scholar] [CrossRef] [PubMed]
- Eser, B.; Yayar, O.; Buyukbakkal, M.; Erdogan, B.; Ercan, Z.; Merhametsiz, O.; Haspulat, A.; Oğuz, E.G.; Dogan, İ.; Canbakan, B.; et al. Fibroblast growth factor is associated to left ventricular mass index, anemia and low values of transferrin saturation. Nefrologia 2015, 35, 465–472. [Google Scholar] [CrossRef][Green Version]
- Czaya, B.; Heitman, K.; Campos, I.; Yanucil, C.; Kentrup, D.; Westbrook, D.; Gutierrez, O.; Babitt, J.L.; Jung, G.; Salusky, I.B.; et al. Hyperphosphatemia increases inflammation to exacerbate anemia and skeletal muscle wasting independently of FGF23-FGFR4 signaling. Elife 2022, 11, e74782. [Google Scholar] [CrossRef]
- Arroyo, D.; Betriu, A.; Martinez-Alonso, M.; Vidal, T.; Valdivielso, J.M.; Fernández, E. Observational multicenter study to evaluate the prevalence and prognosis of subclinical atheromatosis in a Spanish chronic kidney disease cohort: Baseline data from the NEFRONA study. BMC Nephrol. 2014, 15, 168. [Google Scholar] [CrossRef]
- Drueke, T.B. Hyperparathyroidism in Chronic Kidney Disease; Feingold, K.R., Anawalt, B., Boyce, A., Eds.; Endotext: South Dartmouth, MA, USA, 2000. [Google Scholar]
- Hu, M.C.; Kuro-o, M.; Moe, O.W. Klotho and chronic kidney disease. Contrib. Nephrol. 2013, 180, 47–63. [Google Scholar]
- Yashiro, M.; Ohya, M.; Mima, T.; Ueda, Y.; Nakashima, Y.; Kawakami, K.; Ishizawa, Y.; Yamamoto, S.; Kobayashi, S.; Yano, T.; et al. FGF23 modulates the effects of erythropoietin on gene expression in renal epithelial cells. Int. J. Nephrol. Renovasc. Dis. 2018, 11, 125–136. [Google Scholar] [CrossRef]
- Ribeiro Junior, H.L.; Cordeiro, J.V.A.; Oliveira, R.T.G.; Magalhães, S.M.M.; Pinheiro, R.F. Klotho Expression Predicts Poor Prognosis in Myelodysplastic Syndrome. Blood 2019, 134 (Suppl. 1), 5404. [Google Scholar] [CrossRef]
- Ishii, S.; Suzuki, T.; Wakahashi, K.; Asada, N.; Kawano, Y.; Kawano, H.; Minagawa, K.; Nakamura, Y.; Mizuno, S.; Takahashi, S.; et al. FGF-23 from erythroblasts promotes hematopoietic progenitor mobilization. Blood 2021, 137, 1457–1467. [Google Scholar] [CrossRef]
- Vadakke Madathil, S.; Coe, L.M.; Casu, C.; Sitara, D. Klotho deficiency disrupts hematopoietic stem cell development and erythropoiesis. Am. J. Pathol. 2014, 184, 827–841. [Google Scholar] [CrossRef] [PubMed]




| ALL | ANEMIA | p | ||
|---|---|---|---|---|
| NO | YES | |||
| n (%) | 896 (100) | 489 (54.6) | 407 (45.4) | |
| Age (years) | 59 (48; 68) | 62 (51; 68) | 57.0 (44; 67) | 0.003 |
| Sex (women) | 361 (40.3) | 212 (43.4) | 149 (36.6) | 0.04 |
| Diabetes | 178 (19.9) | 80 (16.4) | 98 (24.1) | 0.004 |
| CKD stage | ||||
| Control | 95 (10.6) | 89 (18.2) | 6 (1.5) | Ref. |
| CKD3 | 273 (30.5) | 217 (44.4) | 56 (13.8) | 0.012 |
| CKD4–5 | 246 (27.5) | 102 (20.9) | 144 (35.4) | <0.001 |
| Dialysis | 282 (31.5) | 81 (16.6) | 201 (49.4) | <0.001 |
| ESA use | 318 (35.5) | 84 (17.2) | 234 (57.5) | <0.001 |
| IV iron therapy | 407 (45.4) | 55 (11.2) | 122 (30.0) | <0.001 |
| BMI (kg/m2) | 27.4 (24.3; 30.9) | 28.1 (25.0; 31.2) | 26.7 (23.7; 30.4) | 0.092 |
| SBP (mmHg) | 143 (129; 157) | 141 (129; 153) | 145 (128; 161) | 0.067 |
| DBP (mmHg) | 82.0 (75.0; 90.0) | 83.0 (77.0; 89.0) | 81.0 (73.0; 90.0) | 0.243 |
| Hemoglobin (g/dL) | 12.6 (11.5; 13.7) | 13.7 (13.0; 14.9) | 11.5 (10.9; 12.1) | <0.001 |
| Ferritin (ng/mL) | 170 (81; 322) | 135 (71; 263) | 214 (102; 412) | <0.001 |
| Calcium (mg/dL) | 9.3 (8.9; 9.6) | 9.4(9.0; 9.7) | 9.1 (8.8; 9.5) | <0.001 |
| Phosphate (mg/dL) | 3.9 (3.3; 4.6) | 3.6 (3.1; 4.2) | 4.3 (3.7; 5.0) | <0.001 |
| Albumin (g/dL) | 4.1 (3.8; 4.4) | 4.2 (3.8; 4.5) | 4.0 (3.8; 4.4) | 0.002 |
| iPTH (pg/mL) | 137 (74; 237) | 98 (59; 170) | 184 (101; 276) | <0.001 |
| sKlotho (pg/mL) | 288 (176; 437) | 289 (169; 447) | 282 (183; 416) | 0.434 |
| Log iFGF23 (pg/mL) | 2.29 (1.90; 2.86) | 2.06 (1.76; 2.47) | 2.56 (2.12; 3.09) | <0.001 |
| HsCRP(mg/L) | 1.98 (1.00; 4.62) | 1.83 (0.94; 4.24) | 2.44 (1.17; 6.55) | 0.145 |
| 25-OH D (ng/mL) | 15.2 (11.5; 19.8) | 15.0 (11.2; 19.7) | 15.4 (11.8; 19.9) | 0.243 |
| 1,25-OH2 D (pg/mL) | 13.8 (8.4; 21.6) | 15.9 (9.8; 25.2) | 11.7 (7.3; 18.4) | <0.001 |
| Model 1 | Model 2 | Model 3 | ||||
|---|---|---|---|---|---|---|
| Variable | OR (95% CI) | p | OR (95% CI) | p | OR (95% CI) | p |
| Phosphate (mg/dL) | 7.9 (4.15–14.9) | <0.001 | 9.5 (4.93–18.3) | <0.001 | 4.33 (2.11–8.90) | <0.001 |
| Log iFGF23 (pg/mL) | 21.1 (8.43–52.9) | <0.001 | 26.6 (10.4–67.9) | <0.001 | 8.75 (3.17–24.2) | <0.001 |
| Phosphorus by Log iFGF23 | 0.57 (0.47–0.70) | <0.001 | 0.54 (0.44–0.66) | <0.001 | 0.66 (0.53–0.83) | <0.001 |
Publisher’s Note: MDPI stays neutral with regard to jurisdictional claims in published maps and institutional affiliations. |
© 2022 by the authors. Licensee MDPI, Basel, Switzerland. This article is an open access article distributed under the terms and conditions of the Creative Commons Attribution (CC BY) license (https://creativecommons.org/licenses/by/4.0/).
Share and Cite
Navarro-González, J.F.; Mora-Fernández, C.; Diaz-Tocados, J.M.; Bozic, M.; Bermúdez-López, M.; Martín, M.; Valdivielso, J.M. Serum Phosphate Levels Modify the Impact of FGF23 Levels on Hemoglobin in Chronic Kidney Disease. Nutrients 2022, 14, 4842. https://doi.org/10.3390/nu14224842
Navarro-González JF, Mora-Fernández C, Diaz-Tocados JM, Bozic M, Bermúdez-López M, Martín M, Valdivielso JM. Serum Phosphate Levels Modify the Impact of FGF23 Levels on Hemoglobin in Chronic Kidney Disease. Nutrients. 2022; 14(22):4842. https://doi.org/10.3390/nu14224842
Chicago/Turabian StyleNavarro-González, Juan F., Carmen Mora-Fernández, Juan Miguel Diaz-Tocados, Milica Bozic, Marcelino Bermúdez-López, Marisa Martín, and Jose Manuel Valdivielso. 2022. "Serum Phosphate Levels Modify the Impact of FGF23 Levels on Hemoglobin in Chronic Kidney Disease" Nutrients 14, no. 22: 4842. https://doi.org/10.3390/nu14224842
APA StyleNavarro-González, J. F., Mora-Fernández, C., Diaz-Tocados, J. M., Bozic, M., Bermúdez-López, M., Martín, M., & Valdivielso, J. M. (2022). Serum Phosphate Levels Modify the Impact of FGF23 Levels on Hemoglobin in Chronic Kidney Disease. Nutrients, 14(22), 4842. https://doi.org/10.3390/nu14224842

