Cost and Affordability of Healthy, Equitable and Sustainable Diets in Low Socioeconomic Groups in Australia
Abstract
:1. Introduction
1.1. Key Considerations in Understanding Determinants of Inequitable Dietary Patterns
1.2. Food Habits and Incomes of Low SEGs
1.3. The Healthy Diets ASAP Protocol
- Habitual (current, unhealthy) and recommended (healthy, equitable, more sustainable) diet pricing tools, including foods commonly consumed by the Australian population, for reference households
- Store location and sampling
- Food and drink price data collection
- Calculation of median household income, and low-income household income (minimum wage plus welfare payments) for the reference households
- Analysis and reporting
2. Materials and Methods
2.1. Development of the Healthy Diets ASAP Protocol for Low SEGs in Australia
2.1.1. Selection of SEG Measure
2.1.2. Selection of Low SEG Reference Households
- Household A: Two adults (female 31–50 years, male 31–50 years) and two children (boy 14–18 years, child 4–8 years)
- Household B: One adult (female 31–50 years) and two children (boy 14–18 years, child 4–8 years)
- Household C: Older, retired couple (female 70+ years, male 70+ years)
2.1.3. Modification of the Habitual Diet Pricing Tool for Low SEGs
2.1.4. Modification of the Store Location and Sampling Methods for Low SEGs
2.1.5. Modification of the Price Collection Methods for Low SEGs
2.1.6. Household Income Calculations for Low SEGs
2.1.7. Modification of the Analysis and Reporting Methods for Low SEGs
2.2. Testing the Healthy Diets ASAP Protocol for Low SEGs in Australia
2.2.1. Food and Drink Price Collection
2.2.2. Data Analysis
3. Results
3.1. The Low SEG Healthy Diets ASAP Protocol
3.1.1. The Low SEG Habitual Diet Pricing Tools
3.1.2. Price Collection
3.1.3. Modifications of Sources and Amounts of Household Income
3.2. Testing of the Low SEG Healthy Diets ASAP Protocol
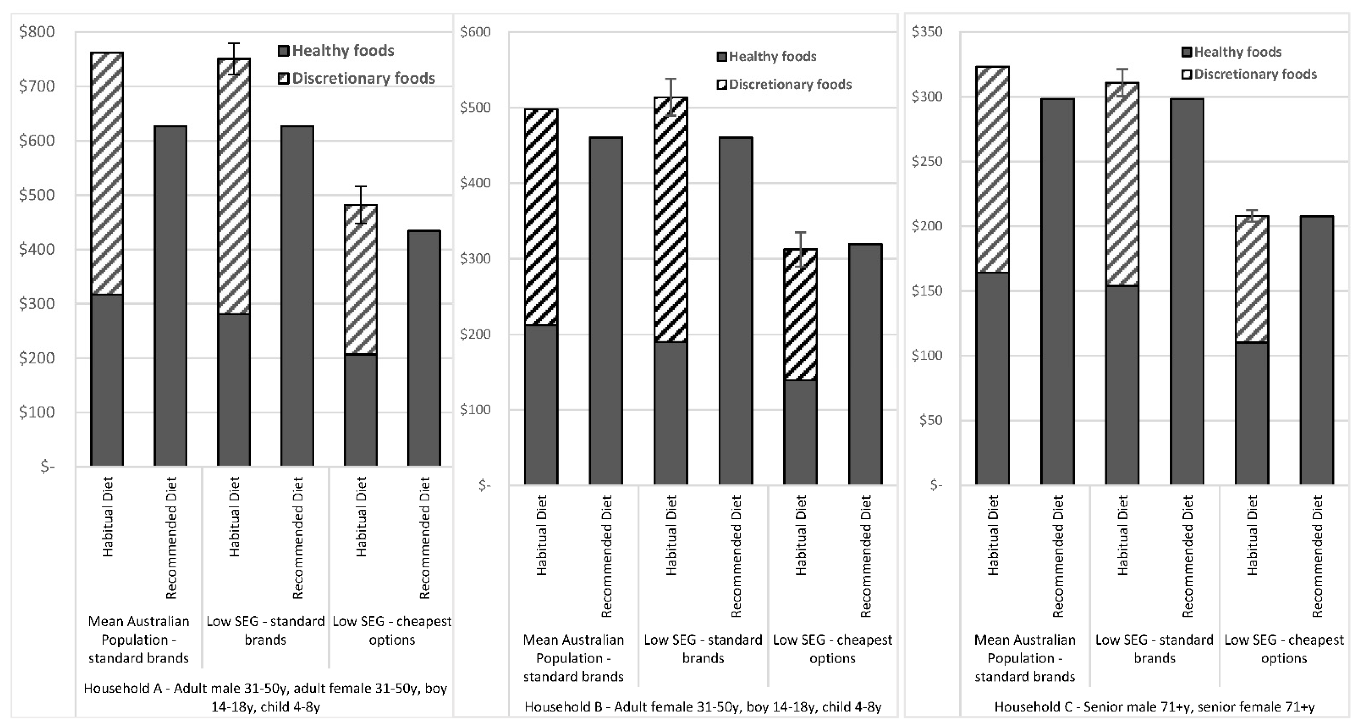
3.2.1. Comparison of Habitual and Recommended Diet Costs Determined by the Low SEG Protocol and the Original Healthy Diets ASAP Protocol Using ‘Standard Brands’
Comparison of Total Costs of Diets Calculated by the Low SEG Protocol and the Original Healthy Diets ASAP Protocol
Comparison of Diet Costs of Food Groups and Food Group Components Calculated by the Low SEG Protocol and the Original Healthy Diets ASAP Protocol
Comparison of Habitual Diet and Recommended Diet Costs
Proportion of Total Habitual Diet Costs Spent on Discretionary Food and Drinks
3.2.2. Habitual Diet Cost Differences between ‘Standard Brands’ and ‘Cheapest Options’
3.2.3. Affordability of Habitual and Recommended Diets Using ‘Standard Brands’ and ‘Cheapest Options’
Affordability of Habitual and Recommended Diets for Household A (Two Adults, Two Children)
Affordability of Habitual and Recommended Diets for Household B (One Adult, Two Children)
Affordability of Habitual and Recommended Diets for Household C (Older, Retired Couple)
4. Discussion
4.1. Summary of Findings
4.2. Differences between Habitual Diet of Low SEGs and the Mean Population
4.3. Choice of ‘Cheapest Options’ as a Coping Strategy to Stretch the Budget
4.4. Affordability of Diets
4.5. Strengths of the Low SEG Healthy Diets ASAP Protocol
4.5.1. Selection of SEG Measure
4.5.2. Selection of Low SEG Households
4.6. Limitations
4.7. Policy Implications
5. Conclusions
Supplementary Materials
Author Contributions
Funding
Institutional Review Board Statement
Informed Consent Statement
Data Availability Statement
Conflicts of Interest
References
- Lee, A.J.; Cullerton, K.; Herron, L.-M. Achieving food system transformation: Insights from a retrospective review of nutrition policy (in)action in high-income countries. Int. J. Health Policy Manag. 2020. [Google Scholar] [CrossRef] [PubMed]
- Burns, C. The Vulnerable and the Disadvantaged. Aust. Econ. Rev. 2008, 41, 90–96. [Google Scholar] [CrossRef]
- Australian Institute of Health and Welfare. Australian Burden of Disease Study: Impact and Causes of Illness and Death in Australia 2011. Available online: https://www.aihw.gov.au/reports/burden-of-disease/abds-impact-and-causes-of-illness-death-2011/contents/table-of-contents (accessed on 19 June 2019).
- GBD 2019 Risk Factors Collaborators. Global burden of 87 risk factors in 204 countries and territories, 1990–2019: A systematic analysis for the Global Burden of Disease Study 2019. Lancet 2020, 396, 1223–1249. [Google Scholar] [CrossRef]
- Australian Bureau of Statistics. 4364.0.55.007 Australian Health Survey: Nutrition First Results—Foods and Nutrients, 2011–2012. Available online: http://www.abs.gov.au/AUSSTATS/abs@.nsf/DetailsPage/4364.0.55.0072011-12?OpenDocument (accessed on 12 November 2017).
- National Health and Medical Research Council. Australian Dietary Guidelines—Providing the Scientific Evidence for Healthier Australian Diets; National Health and Medical Research Council: Canberra, Australia, 2013. Available online: https://www.eatforhealth.gov.au/sites/default/files/content/n55_australian_dietary_guidelines.pdf (accessed on 9 February 2016).
- Australian Institute of Health and Welfare. Australia’s Health 2016—Health of Population Groups: Health across SOCIOECONOMIC Groups. Available online: https://www.aihw.gov.au/reports/australias-health/australias-health-2016/contents/chapter-5-health-of-population-groups (accessed on 27 May 2019).
- Stringhini, S.; Carmeli, C.; Jokela, M.; Avendaño, M.; Muennig, P.; Guida, F.; Ricceri, F.; d’Errico, A.; Barros, H.; Bochud, M.; et al. Socioeconomic status and the 25 × 25 risk factors as determinants of premature mortality: A multicohort study and meta-analysis of 1.7 million men and women. Lancet 2017, 389, 1229–1237. [Google Scholar] [CrossRef] [Green Version]
- Harris, B.; Fetherston, H.; Calder, R. Australia’s Health Tracker by Socio-Economic Status 2017; Australian Health Policy Collaboration Victoria University: Melbourne, VIC, Australia, 2017. [Google Scholar]
- Lewis, M.; Lee, A.J. Dietary inequity? A systematic scoping review of dietary intake in low socio-economic groups compared with high socio-economic groups in Australia. Public Health Nutr. 2021, 24, 393–411. [Google Scholar] [CrossRef]
- Zorbas, C.; Palermo, C.; Chung, A.; Iguacel, I.; Peeters, A.; Bennett, R.; Backholer, K. Factors perceived to influence healthy eating: A systematic review and meta-ethnographic synthesis of the literature. Nutr. Rev. 2018, 76, 861–874. [Google Scholar] [CrossRef] [Green Version]
- Friel, S.; Pescud, M.; Malbon, E.; Lee, A.; Carter, R.; Greenfield, J.; Cobcroft, M.; Potter, J.; Rychetnik, L.; Meertens, B. Using systems science to understand the determinants of inequities in healthy eating. PLoS ONE 2017, 12, e0188872. [Google Scholar] [CrossRef] [Green Version]
- Lee, A.; Ni Mhurchu, C.; Sacks, G.; Swinburn, B.; Snowdon, W.; Vandevijvere, S.; Hawkes, C.M.; Labbe, M.R.; Rayner, M.; Sanders, D.A.R.; et al. Monitoring the price and affordability of foods and diets globally. Obes. Rev. 2013, 14, 82–95. [Google Scholar] [CrossRef] [Green Version]
- Zorbas, C.; Lee, A.; Peeters, A.; Lewis, M.; Landrigan, T.; Backholer, K. Streamlined data-gathering techniques to estimate the price and affordability of healthy and unhealthy diets under different pricing scenarios. Public Health Nutr. 2021, 24, 1–11. [Google Scholar] [CrossRef]
- Youl, T.; Supermarkets and Grocery Stores in Australia. AU Industry (ANZSIC) Report G4111. Available online: https://my.ibisworld.com/download/au/en/industry/1834/1/0/pdf (accessed on 10 September 2020).
- Chapman, K.; Innes-Hughes, C.; Goldsbury, D.; Kelly, B.; Bauman, A.; Allman-Farinelli, M. A comparison of the cost of generic and branded food products in Australian supermarkets. Public Health Nutr. 2012, 16, 894–900. [Google Scholar] [CrossRef] [Green Version]
- Australian Bureau of Statistics. 6530.0—Household Expenditure Survey, Australia: Summary of Results, 2015–2016. Available online: https://www.abs.gov.au/AUSSTATS/abs@.nsf/Lookup/6530.0Main+Features12015-16?OpenDocument (accessed on 22 May 2019).
- Australian Bureau of Statistics. 6523.0—Household Income and Wealth, Australia, 2015–2016. Available online: http://abs.gov.au/household-income (accessed on 12 November 2017).
- Lewis, M.; Lee, A. Costing ‘healthy’ food baskets in Australia—A systematic review of food price and affordability monitoring tools, protocols and methods. Public Health Nutr. 2016, 19, 2872–2886. [Google Scholar] [CrossRef]
- Lee, A.J.; Kane, S.; Lewis, M.; Good, E.; Pollard, C.M.; Landrigan, T.J.; Dick, M. Healthy diets ASAP—Australian Standardised Affordability and Pricing methods protocol. Nutr. J. 2018, 17, 1–14. [Google Scholar] [CrossRef]
- Australian Bureau of Statistics. 4324.0.55.002 Microdata: Australian Health Survey: Nutrition and Physical Activity, 2011–2012. Available online: http://www.abs.gov.au/ausstats/abs@.nsf/PrimaryMainFeatures/4324.0.55.002?OpenDocument (accessed on 12 November 2017).
- Hendrie, G.A.; Ridoutt, B.G.; Wiedmann, T.O.; Noakes, M. Greenhouse Gas Emissions and the Australian Diet—Comparing Dietary Recommendations with Average Intakes. Nutrients 2014, 6, 289–303. [Google Scholar] [CrossRef] [Green Version]
- Lee, A.; Lewis, M. Testing the Price of Healthy and Current Diets in Remote Aboriginal Communities to Improve Food Security: Development of the Aboriginal and Torres Strait Islander Healthy Diets ASAP (Australian Standardised Affordability and Pricing) Methods. Int. J. Environ. Res. Public Health 2018, 15, 2912. [Google Scholar] [CrossRef] [PubMed] [Green Version]
- Lee, A.J.; Kane, S.; Ramsey, R.; Good, E.; Dick, M. Testing the price and affordability of healthy and current (unhealthy) diets and the potential impacts of policy change in Australia. BMC Public Health 2016, 16, 315. [Google Scholar] [CrossRef] [PubMed] [Green Version]
- Love, P.; Whelan, J.; Bell, C.; Grainger, F.; Russell, C.; Lewis, M.; Lee, A. Healthy Diets in Rural Victoria—Cheaper than Unhealthy Alternatives, Yet Unaffordable. Int. J. Environ. Res. Public Health 2018, 15, 2469. [Google Scholar] [CrossRef] [PubMed] [Green Version]
- Australian Bureau of Statistics. 4364.0.55.001—Australian Health Survey: Users’ Guide, 2011–2013. Available online: https://www.abs.gov.au/ausstats/abs@.nsf/Lookup/5209F2553DE3B084CA257BBB0014D160?opendocument (accessed on 31 May 2017).
- Xyris Software (Australia) Pty Ltd. FoodWorks Professional, 9th ed.; Xyris Software (Australia) Pty Ltd.: Brisbane, Australia, 2019. [Google Scholar]
- Fair Work Ombudsman. Minimum Wages. Available online: https://www.fairwork.gov.au/how-we-will-help/templates-and-guides/fact-sheets/minimum-workplace-entitlements/minimum-wages (accessed on 22 October 2015).
- Australian Taxation Office. Simple Tax Calculator. Available online: www.ato.gov.au/calculators-and-tools/simple-tax-calculator/ (accessed on 12 November 2017).
- Services Australia. Payment and Service Finder. Available online: https://www.servicesaustralia.gov.au/ (accessed on 22 October 2015).
- Burns, C.; Friel, S. It’s time to determine the cost of a healthy diet in Australia. Aust. N. Z. J. Public Health 2007, 31, 363–365. [Google Scholar] [CrossRef] [PubMed]
- Landrigan, T.J.; Kerr, D.A.; Dhaliwal, S.S.; Pollard, C.M. Protocol for the Development of a Food Stress Index to Identify Households Most at Risk of Food Insecurity in Western Australia. Int. J. Environ. Res. Public Health 2018, 16, 79. [Google Scholar] [CrossRef] [Green Version]
- Ward, P.R.; Verity, F.; Carter, P.; Tsourtos, G.; Coveney, J.; Wong, K.C. Food Stress in Adelaide: The Relationship between Low Income and the Affordability of Healthy Food. J. Environ. Public Health 2013, 2013, 1–10. [Google Scholar] [CrossRef] [PubMed]
- Lee, A.J.; Lewis, M. Healthy Diets ASAP Portal. Available online: https://healthydiets.azurewebsites.net/ (accessed on 10 August 2020).
- Lee, A.J.; Kane, S.; Herron, L.-M.; Matsuyama, M.; Lewis, M. A tale of two cities: The cost, price-differential and affordability of current and healthy diets in Sydney and Canberra, Australia. Int. J. Behav. Nutr. Phys. Act. 2020, 17, 1–13. [Google Scholar] [CrossRef]
- Australian Taxation Office. GST-free Sales. Available online: https://www.ato.gov.au/business/gst/when-to-charge-gst-(and-when-not-to)/gst-free-sales/ (accessed on 23 March 2021).
- Ball, K.; Crawford, D.; Mishra, G. Socio-economic inequalities in women’s fruit and vegetable intakes: A multilevel study of individual, social and environmental mediators. Public Health Nutr. 2007, 9, 623–630. [Google Scholar] [CrossRef] [PubMed] [Green Version]
- Thornton, L.E.; Lamb, K.E.; Ball, K. Fast food restaurant locations according to socioeconomic disadvantage, urban–regional locality, and schools within Victoria, Australia. SSM Popul. Health 2016, 2, 1–9. [Google Scholar] [CrossRef] [PubMed] [Green Version]
- Marmot, M.; Allen, J.; Bell, R.; Bloomer, E.; Goldblatt, P. WHO European review of social determinants of health and the health divide. Lancet 2012, 380, 1011–1029. [Google Scholar] [CrossRef]
- Backholer, K.; Sarink, D.; Beauchamp, A.; Keating, C.; Loh, V.H.Y.; Ball, K.; Martin, J.; Peeters, A. The impact of a tax on sugar-sweetened beverages according to socio-economic position: A systematic review of the evidence. Public Health Nutr. 2016, 19, 3070–3084. [Google Scholar] [CrossRef] [Green Version]
- Thornton, L.E.; Bentley, R.; Kavanagh, A. Individual and area-level socioeconomic associations with fast food purchasing. J. Epidemiol. Community Health 2010, 65, 873–880. [Google Scholar] [CrossRef]
- Miura, K.; Giskes, K.M.; Turrell, G. Socio-economic differences in takeaway food consumption among adults. Public Health Nutr. 2011, 15, 218–226. [Google Scholar] [CrossRef] [PubMed] [Green Version]
- Sacks, G.; Schultz, S.; Grigsby-Duffy, L.; Robinson, E.; Orellana, L.; Marshall, J.; Cameron, A.J. Inside our Supermarkets: Assessment of the Healthiness of Australian Supermarkets; Deakin University: Melbourne, Australia, 2020. [Google Scholar]
- Backholer, K.; Sacks, G.; Cameron, A.J. Food and Beverage Price Promotions: An Untapped Policy Target for Improving Population Diets and Health. Curr. Nutr. Rep. 2019, 8, 250–255. [Google Scholar] [CrossRef] [PubMed]
- Phillips, B.; Gray, M.; Joesph, C.; Webster, R. Research Note: Newstart and other Government Allowances: Incomes, Financial Stress and Poverty; ANU Centre for Social Research & Methods; Australian National University: Canberra, Australia, 2019. [Google Scholar]
- Livingstone, K.M.; Olstad, D.L.; Leech, R.M.; Ball, K.; Meertens, B.; Potter, J.; Cleanthous, X.; Reynolds, R.; McNaughton, S.A. Socioeconomic Inequities in Diet Quality and Nutrient Intakes among Australian Adults: Findings from a Nationally Representative Cross-Sectional Study. Nutrients 2017, 9, 1092. [Google Scholar] [CrossRef] [PubMed] [Green Version]
- Turrell, G.; Hewitt, B.; Patterson, C.; Oldenburg, B. Measuring socio-economic position in dietary research: Is choice of socio-economic indicator important? Public Health Nutr. 2003, 6, 191–200. [Google Scholar] [CrossRef] [PubMed]
- Zarnowiecki, D.; Ball, K.; Parletta, N.; Dollman, J. Describing socioeconomic gradients in children’s diets—does the socioeconomic indicator used matter? Int. J. Behav. Nutr. Phys. Act. 2014, 11, 44. [Google Scholar] [CrossRef] [Green Version]
- Giskes, K.; Turrell, G.; Patterson, C.; Newman, B. Socio-economic differences in fruit and vegetable consumption among Australian adolescents and adults. Public Health Nutr. 2002, 5, 663–669. [Google Scholar] [CrossRef] [Green Version]
- Olstad, D.L.; Leech, R.M.; Livingstone, K.M.; Ball, K.; Thomas, B.; Potter, J.; Cleanthous, X.; Reynolds, R.; McNaughton, S.A. Are dietary inequalities among Australian adults changing? A nationally representative analysis of dietary change according to socioeconomic position between 1995 and 2011–2013. Int. J. Behav. Nutr. Phys. Act. 2018, 15, 1–19. [Google Scholar] [CrossRef] [Green Version]
- Lee, A.; Patay, D.; Herron, L.-M.; Harrison, E.P.; Lewis, M. Affordability of current, and healthy, more equitable, sustainable diets by area of socioeconomic disadvantage and remoteness in Queensland: Insights into food choice. Int. J. Equity Health 2021, 20, 1–17. [Google Scholar] [CrossRef]
- Whelan, J.; Millar, L.; Bell, C.; Russell, C.; Grainger, F.; Allender, S.; Love, P. You Can’t Find Healthy Food in the Bush: Poor Accessibility, Availability and Adequacy of Food in Rural Australia. Int. J. Environ. Res. Public Health 2018, 15, 2316. [Google Scholar] [CrossRef] [Green Version]
- Australian Bureau of Statistics. 6401.0—Consumer Price Index, Australia, Dec 2020. Available online: https://www.abs.gov.au/statistics/economy/price-indexes-and-inflation/consumer-price-index-australia/latest-release (accessed on 25 February 2021).
- Burns, C.; Cook, K.; Mavoa, H. Role of expendable income and price in food choice by low income families. Appetite 2013, 71, 209–217. [Google Scholar] [CrossRef]
- Jovanovski, N.; Cook, K. How Australian welfare reforms shape low-income single mothers’ food provisioning practices and their children’s nutritional health. Crit. Public Health 2019, 30, 340–351. [Google Scholar] [CrossRef]
- McKenzie, H.J. Food as a discretionary item: The impact of welfare payment changes on low-income single mother’s food choices and strategies. J. Poverty Soc. Justice 2017, 25, 35–48. [Google Scholar] [CrossRef]
- The Treasury of the Australian Government. Economic Response to the Coronavirus. Available online: https://treasury.gov.au/coronavirus (accessed on 12 February 2021).
- Lewis, M.; Lee, A.J. Affording health during the COVID-19 pandemic and associated economic downturn. Aust. N. Z. J. Public Health 2020, 44, 519–520. [Google Scholar] [CrossRef] [PubMed]
- Australian Council of Social Service. Survey of 955 people receiving the new rate of jobseeker and other allowances. Available online: https://www.acoss.org.au/wp-content/uploads/2020/06/200624-I-Can-Finally-Eat-Fresh-Fruit-And-Vegetables-Results-Of-The-Coronaviru_pdf (accessed on 29 July 2020).
- Whaley, S.E.; Ritchie, L.D.; Spector, P.; Gomez, J. Revised WIC Food Package Improves Diets of WIC Families. J. Nutr. Educ. Behav. 2012, 44, 204–209. [Google Scholar] [CrossRef]
- Bryce, S.; Scales, I.; Herron, L.-M.; Wigginton, B.; Lewis, M.; Lee, A.; Ngaanyatjarra Pitjantjatjara Yankunytjatjara (NPY) Women’s Council. Maitjara Wangkanyi: Insights from an ethnographic study of food practices of households in remote australian aboriginal communities. Int. J. Environ. Res. Public Health 2020, 17, 8109. [Google Scholar] [CrossRef] [PubMed]
- Sacks, G.; Veerman, J.L.; Moodie, M.; Swinburn, B. ’Traffic-light’ nutrition labelling and ’junk-food’ tax: A modelled comparison of cost-effectiveness for obesity prevention. Int. J. Obs. 2011, 1001–1009. [Google Scholar] [CrossRef] [PubMed] [Green Version]
- World Health Organization. Ottawa Charter for Health Promotion; WHO: Ottowa, ON, Canada, 1986. [Google Scholar]


| Protocol Component | Original Healthy Diets ASAP Protocol | Low SEG Healthy Diets ASAP Protocol ** |
|---|---|---|
| Reference households | Household A: Adult male (31–50 years), Adult female (31–50 years), Boy (14 years), Girl (8 years) Household B: Adult female (31–50 years), Boy (14 years), Girl (8 years) Household C: Senior male (71+ years), Senior female (71+ years) | Household A: Adult male (31–50 years), Adult female (31–50 years), Boy (14–18 years), Child (4–8 years) Household B: Adult female (31–50 years), Boy (14–18 years), Child (4–8 years) Household C: Senior male (71+ years), Senior female (71+ years) |
| Habitual (current, unhealthy) diet pricing tool | Mean dietary intakes reported by specific age and gender individuals in AHS NNPAS, abridged and combined to provide household diet per fortnight | Mean dietary intakes reported by specific age and gender individuals of lowest household income quintile in AHS NNPAS, abridged and combined to provide household diet per fortnight |
| Recommended (healthy, equitable, sustainable) diet pricing tool | Healthy food and drinks included in Habitual diet pricing tool in amounts reflecting ADG. | Healthy food and drinks included in Habitual diet pricing tool in amounts reflecting ADG. |
| Store location and sampling methods | Major supermarkets and other food outlets | Major supermarkets, budget supermarkets and other food outlets |
| Food and drink price data collection methods | Prices collected of non-packaged items and packaged products of major Australian brands | Standard brand price collection: prices collected of non-packaged items and packaged products of major Australian brands ‘Cheapest options’ price collection: prices collected of non-packaged items and packaged products of cheapest equivalent of standard brand product (including ‘own brands’) |
| Household income calculation methods | Median gross household income of area sampled Low-minimum disposable household income | Low-minimum disposable household income Welfare dependent household income |
| Analysis and reporting methods | Cost and affordability of habitual and recommended diets reported | Cost and affordability of habitual and recommended diets reported for both ‘standard brand’ price collection and ‘cheapest option’ price collection. |
| Food Item | Habitual Diet (g/Fortnight) | Recommended Diet (g/Fortnight) | |
|---|---|---|---|
| Original Healthy Diets ASAP | Low SEG Healthy Diets ASAP | Original Healthy Diets ASAP | |
| Energy (kJ/day) | 33,602 kJ | 32,517 kJ | 32,996 kJ |
| Water | |||
| Water, bottled (mL) | 5296 | 3485 (34% < Original) | 5296 |
| Fruit | |||
| Apples (g) | 3497 | 3638 | 5460 |
| Bananas (g) | 899 | 795 | 5460 |
| Oranges (g) | 1664 | 971 | 5460 |
| Fruit salad, canned in juice (g) | 2046 | 1544 | 0 |
| Total Fruit (g) | 11,133 | 9614 (14% < Original) | 16,380 |
| Vegetables and Legumes | |||
| Potato, loose (g) | 1460 | 1844 | 2320 |
| Broccoli, loose (g) | 422 | 389 | 1470 |
| White cabbage, loose (g) | 235 | 175 | 1470 |
| Iceberg lettuce, whole (g) | 795 | 704 | 1470 |
| Carrot, loose (g) | 753 | 618 | 2205 |
| Pumpkin (g) | 240 | 330 | 2205 |
| Onion, loose (g) | 84 | 106 | 1638 |
| Tomatoes, loose (g) | 488 | 654 | 1638 |
| Sweetcorn, canned (g) | 206 | 216 | 1160 |
| Four bean mix, canned (g) | 74 | 61 | 1005 |
| Diced tomatoes, canned (g) | 235 | 175 | 1638 |
| Baked Beans, canned (g) | 369 | 237 | 1005 |
| Frozen mixed vegetables (g) | 1184 | 746 | 1638 |
| Frozen peas (g) | 273 | 334 | 1638 |
| Total Vegetables and Legumes (g) | 7584 | 7136 (6% < Original) | 22,500 |
| Grain (Cereal) Foods—Wholegrain and Refined | |||
| Wholemeal bread, pre-packaged (g) | 1054 | 870 | 4272 |
| White bread, pre-packaged (g) | 3033 | 3001 | 893 |
| Rolled oats (g) | 870 | 578 | 6648 |
| Breakfast cereal, corn flakes (g) | 680 | 509 | 670 |
| Breakfast cereal, wheat biscuits (g) | 430 | 243 | 2216 |
| White pasta (g) | 1326 | 988 | 2042 |
| White rice (g) | 1622 | 1904 | 2042 |
| Dry wheat crackers, water crackers (g) | 258 | 89 | 781 |
| Total Grain (Cereal) Foods (g) | 9393 | 8336 (11% < Original) | 19,564 |
| Lean Meats and Poultry, Fish, Eggs, Nuts and Seeds | |||
| Tuna, canned in oil (g) | 1052 | 760 | 1841 |
| Beef mince, lean (g) | 267 | 163 | 1168 |
| Lamb loin chops (g) | 257 | 333 | 1169 |
| Beef rump steak (g) | 1056 | 1042 | 1172 |
| Eggs (g) | 872 | 884 | 2208 |
| Chicken, cooked whole (g) | 1661 | 1093 | 1471 |
| Peanuts, roasted, unsalted (g) | 0 | 0 | 780 |
| Total Lean Meats and Poultry, Fish, Eggs, Nuts and Seeds (g) | 5931 | 4822 (19% < Original) | 9809 |
| Milk, Yoghurt, Cheese and Alternatives | |||
| Cheddar cheese, full fat (g) | 624 | 682 | 704 |
| Cheddar cheese, reduced fat (g) | 44 | 49 | 516 |
| Milk, full fat (mL) | 5961 | 7301 | 6438 |
| Milk, reduced fat (mL) | 2929 | 1839 | 12,000 |
| Flavoured milk (mL) | 2416 | 2187 | 0 |
| Yoghurt, full fat, plain (g) | 204 | 101 | 2576 |
| Yoghurt, flavoured reduced fat (g) | 676 | 722 | 5100 |
| Total Milk, Yoghurt, Cheese and Alternatives (g) | 12,854 | 12,881 (0.2% > Original) | 27,334 |
| Unsaturated Oils and Spreads (or foods from which these are derived) | |||
| Sunflower oil (mL) | 7 | 15 | 291 |
| Olive oil (mL) | 7 | 15 | 291 |
| Canola margarine (g) | 170 | 197 | 412 |
| Total Unsaturated Oils and Spreads (g) | 184 | 227 (23% > Original) | 994 |
| Discretionary Choices—other | |||
| Chicken soup, canned (g) | 1340 | 2219 | 0 |
| Muffin, commercial (g) | 1455 | 922 | 0 |
| Instant noodles, wheat based (g) | 381 | 227 | 0 |
| White sugar (g) | 566 | 714 | 0 |
| Cream-filled sweet biscuit, pre-packaged (g) | 496 | 628 | 0 |
| Muesli bar, pre-packaged (g) | 373 | 339 | 0 |
| Savoury flavoured biscuits (g) | 222 | 207 | 0 |
| Nuts, mixed, salted (g) | 255 | 262 | 0 |
| Confectionary (g) | 418 | 396 | 0 |
| Chocolate (g) | 441 | 359 | 0 |
| Potato crisps, pre-packaged (g) | 518 | 650 | 0 |
| Salad dressing (g) | 277 | 211 | 0 |
| Tomato sauce (g) | 569 | 511 | 0 |
| Beef sausages (g) | 1047 | 1036 | 0 |
| Butter (g) | 280 | 195 | 0 |
| Ham (g) | 189 | 143 | 0 |
| Frozen lasagne, pre-packaged (g) | 4322 | 3684 | 0 |
| Fish fillet crumbed, pre-packaged (g) | 302 | 433 | 0 |
| Ice cream (g) | 1830 | 1307 | 0 |
| Total Discretionary Choices—other (g) | 18,308 | 17109 (7% < Original) | 0 |
| Alcoholic Drinks | |||
| Beer, full strength (mL) | 4661 | 5060 | 0 |
| White wine, sparkling (mL) | 863 | 546 | 0 |
| Whisky (mL) | 266 | 453 | 0 |
| Red wine (mL) | 1078 | 519 | 0 |
| Total Alcoholic Drinks (mL) | 6868 | 6578 (4% < Original) | 0 |
| Takeaway foods | |||
| Pizza, commercial (g) | 1182 | 1800 | 0 |
| Meat pie, commercial (g) | 1638 | 1554 | 0 |
| Hamburger, commercial (g) | 2413 | 2710 | 0 |
| Potato chips, commercial (g) | 670 | 833 | 0 |
| Total Takeaway Foods (g) | 5903 | 6897 (17% > Original) | 0 |
| Sugar sweetened beverages | |||
| Sugar-sweetened soft drink (mL) | 12,012 | 16,288 (36% > Original) | 0 |
| Artificially sweetened drinks | |||
| Artificially sweetened soft drink (mL) | 2390 | 1406 (41% < Original) | 0 |
| Items allocated to more than one food group | |||
| Sandwich, pre-made, white bread, chicken, and salad * (g) | 361 | 462 | 360 |
| Canned meat and vegetable casserole ** (g) | 1291 | 786 | 0 |
| Orange fruit juice *** (mL) | 6053 | 5331 | 0 |
Publisher’s Note: MDPI stays neutral with regard to jurisdictional claims in published maps and institutional affiliations. |
© 2021 by the authors. Licensee MDPI, Basel, Switzerland. This article is an open access article distributed under the terms and conditions of the Creative Commons Attribution (CC BY) license (https://creativecommons.org/licenses/by/4.0/).
Share and Cite
Lewis, M.; McNaughton, S.A.; Rychetnik, L.; Lee, A.J. Cost and Affordability of Healthy, Equitable and Sustainable Diets in Low Socioeconomic Groups in Australia. Nutrients 2021, 13, 2900. https://doi.org/10.3390/nu13082900
Lewis M, McNaughton SA, Rychetnik L, Lee AJ. Cost and Affordability of Healthy, Equitable and Sustainable Diets in Low Socioeconomic Groups in Australia. Nutrients. 2021; 13(8):2900. https://doi.org/10.3390/nu13082900
Chicago/Turabian StyleLewis, Meron, Sarah A. McNaughton, Lucie Rychetnik, and Amanda J. Lee. 2021. "Cost and Affordability of Healthy, Equitable and Sustainable Diets in Low Socioeconomic Groups in Australia" Nutrients 13, no. 8: 2900. https://doi.org/10.3390/nu13082900
APA StyleLewis, M., McNaughton, S. A., Rychetnik, L., & Lee, A. J. (2021). Cost and Affordability of Healthy, Equitable and Sustainable Diets in Low Socioeconomic Groups in Australia. Nutrients, 13(8), 2900. https://doi.org/10.3390/nu13082900

