Anticancer Potential of Selected Flavonols: Fisetin, Kaempferol, and Quercetin on Head and Neck Cancers
Abstract
1. Introduction
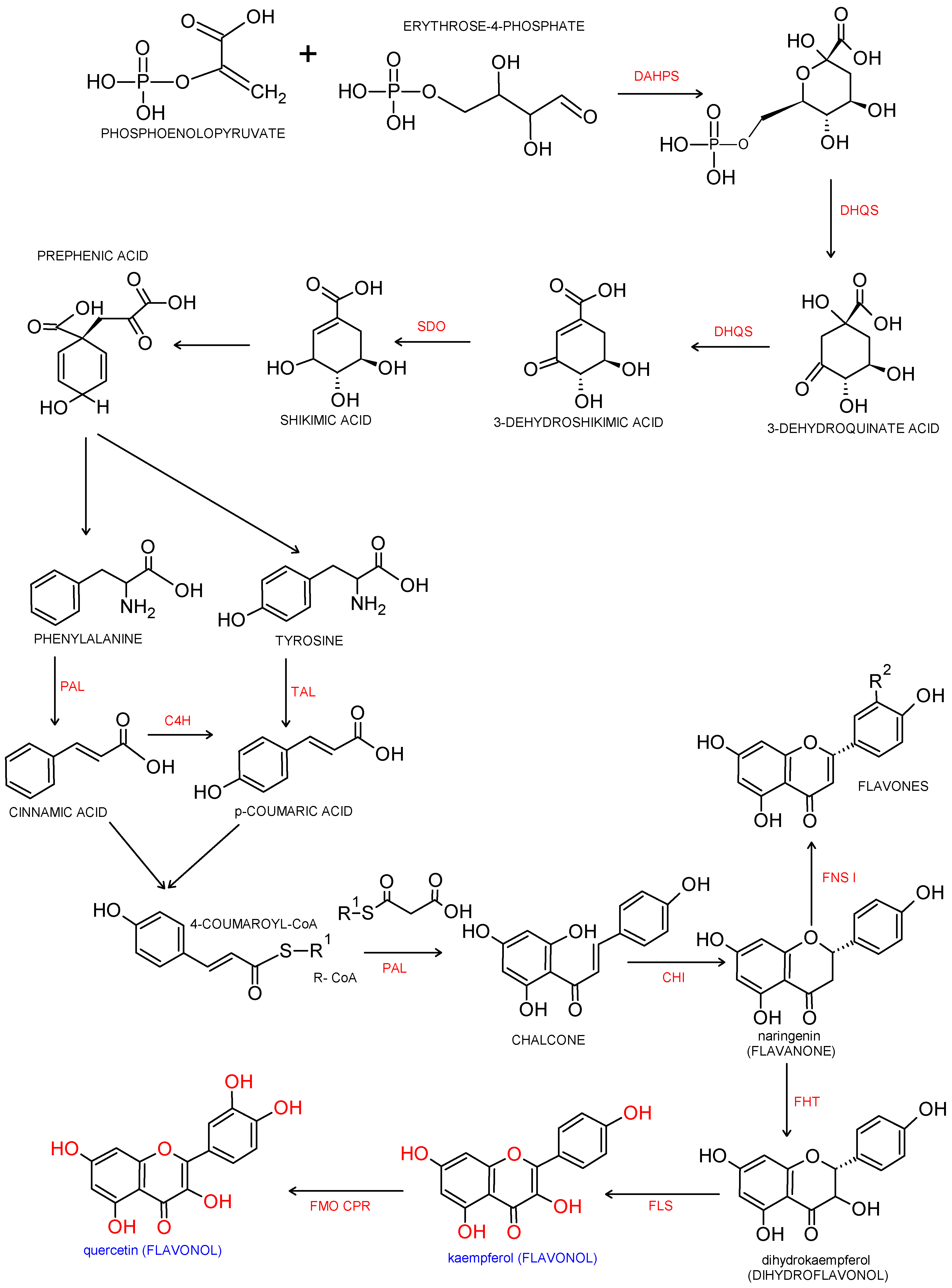
2. Flavonols
3. Anticancer Potential of Flavonols
3.1. Head and Neck Cancer
3.2. Flavonols as Anticancer Agents
- down-regulation of mutant p53 protein;
- stimulation of the apoptotic process;
- inhibition of the cell cycle;
- inhibition of heat shock proteins;
- estrogen receptor binding;
- inhibition of Ras protein expression.
3.2.1. Fisetin in Head and Neck Cancer
3.2.2. Kaempferol in Head and Neck Cancer
3.2.3. Quercetin in Head and Neck Cancer
3.2.4. Future of Flavonoid Research
4. Conclusions
Author Contributions
Funding
Institutional Review Board Statement
Informed Consent Statement
Conflicts of Interest
References
- Global Cancer Observatory. Available online: https://gco.iarc.fr/ (accessed on 4 February 2021).
- Sen, B.; Peng, S.; Saigal, B.; Williams, M.D.; Johnson, F.M. Distinct interactions between c-Src and c-Met in mediating resistance to c-Src inhibition in head and neck cancer. Clin. Cancer Res. 2011, 17, 514–524. [Google Scholar] [CrossRef]
- Ostrowska, J.; Skrzydlewska, E. Aktywność biologiczna flawonoidów. Post Fitoteri 2005, 3–4, 71–79. [Google Scholar]
- Majewska, M.; Czeczot, H. Flawonoidy w profilaktyce i terapii. Farm. Pol. 2009, 65, 369–377. [Google Scholar]
- Kumar, S.; Pandey, A.K. Chemistry and biological activities of flavonoids: An overview. Sci. World J. 2013, 29, 162750. [Google Scholar] [CrossRef]
- Rana, A.C.; Gulliya, B. Chemistry and Pharmacology of Flavonoids- A Review. Indian J. Pharm. Educ. Res. 2019, 53, 8–20. [Google Scholar] [CrossRef]
- Ahn-Jarvis, J.H.; Parihar, A.; Doseff, A.I. Dietary Flavonoids for Immunoregulation and Cancer: Food Design for Targeting Disease. Antioxidants 2019, 8, 202. [Google Scholar] [CrossRef] [PubMed]
- Nunes, J.E.S.; Duque, M.A.; de Freitas, T.F.; Galina, L.; Timmers, L.F.S.M.; Bizarro, C.V.; Machado, P.; Basso, L.A.; Ducati, R.G. Mycobacterium tuberculosis Shikimate Pathway Enzymes as Targets for the Rational Design of Anti-Tuberculosis Drugs. Molecules 2020, 25, 1259. [Google Scholar] [CrossRef] [PubMed]
- Saito, K.; Yonekura-Sakakibara, K.; Nakabayashi, R.; Higashi, Y.; Yamazaki, M.; Tohge, T.; Fernie, A.R. The flavonoid biosynthetic pathway in Arabidopsis: Structural and genetic diversity. Plant Physiol. Biochem. 2013, 72, 21–34. [Google Scholar] [CrossRef]
- Kopustinskiene, D.M.; Jakstas, V.; Savickas, A.; Bernatoniene, J. Flavonoids as Anticancer Agents. Nutrients 2020, 12, 457. [Google Scholar] [CrossRef]
- Falcone Ferreyra, M.L.; Rius, S.P.; Casati, P. Flavonoids: Biosynthesis, biological functions, and biotechnological applications. Front. Plant Sci. 2012, 3, 222. [Google Scholar] [CrossRef] [PubMed]
- Santos, E.L.; Sales Maia, B.H.L.N.; Ferriani, A.P.; Teixeira, S.D. Flavonoids: Classification, Biosynthesis and Chemical Ecology. In Flavonoids—From Biosynthesis to Human Health; Justino, G.C., Ed.; IntechOpen: London, UK, 2017; ISBN 978-953-51-4697-1. [Google Scholar] [CrossRef]
- Wolfe, K.L.; Liu, R.H. Structure−Activity Relationships of Flavonoids in the Cellular Antioxidant Activity Assay. J. Agric. Food Chem. 2008, 56, 8404–8411. [Google Scholar] [CrossRef] [PubMed]
- Ridge, J.A.; Mehra, R.; Lango, M.N.; Feigenberg, S. Head and Neck Tumors. In Cancer Management: A Multidisciplinary Approach. Medical, Surgical, and Radiation Oncology, 13th ed.; Pazdur, R., Wagman, L.D., Camphausen, K.A., Hoskins, W.J., Eds.; CMP Health Care Media: London, UK, 2011. [Google Scholar]
- Kano, S.; Sakashita, T.; Tsushima, N.; Mizumachi, T.; Nakazono, A.; Suzuki, T.; Yasukawa, S.; Homma, A. Validation of the 8th edition of the AJCC/UICC TNM staging system for tongue squamous cell carcinoma. Int. J. Clin. Oncol. 2018, 23, 844–850. [Google Scholar] [CrossRef] [PubMed]
- Huang, X.; Zhang, J.; Li, X.; Huang, H.; Liu, Y.; Yu, M.; Zhang, Y.; Wang, H. Rescue of iCIKs transfer from PD-1/PD-L1 immune inhibition in patients with resectable tongue squamous cell carcinoma (TSCC). Int. Immunopharmacol. 2018, 59, 127–133. [Google Scholar] [CrossRef]
- Ahmadi, N.; Ahmadi, N.; Chan, M.V.; Huo, Y.R.; Sritharan, N.; Chin, R. Laryngeal Squamous Cell Carcinoma Survival in the Context of Human Papillomavirus: A Systematic Review and Meta-analysis. Cureus 2018, 10, e2234. [Google Scholar] [CrossRef]
- Chen, Y.; Tian, T.; Mao, M.J.; Deng, W.Y.; Li, H. CRBP-1 over-expression is associated with poor prognosis in tongue squamous cell carcinoma. BMC Cancer 2018, 18, 514. [Google Scholar] [CrossRef]
- Available online: https://gis.cdc.gov/Cancer/USCS/DataViz.html (accessed on 25 January 2021).
- Johnson, T.L.; Lai, M.B.; Lai, J.C.K.; Bhushan, A. Inhibition of Cell Proliferation and MAP Kinase and Akt Pathways in Oral Squamous Cell Carcinoma by Genistein and Biochanin, A. Evid. Based Complementary Altern. Med. 2010, 7, 351–358. [Google Scholar] [CrossRef]
- Niedzwiecki, A.; Roomi, M.W.; Kalinovsky, T.; Rath, M. Anticancer Efficacy of Polyphenols and Their Combinations. Nutrients 2016, 8, 552. [Google Scholar] [CrossRef] [PubMed]
- Pal, H.C.; Pearlman, R.L.; Afaq, F. Fisetin and Its Role in Chronic Diseases. Adv. Exp. Med. Biol. 2016, 928, 213–244. [Google Scholar] [PubMed]
- Grynkiewicz, G.; Demchuk, O.M. New Perspectives for Fisetin. Front. Chem. 2019, 7, 697. [Google Scholar] [CrossRef]
- Maher, P. How fisetin reduces the impact of age and disease on CNS function. Front. Biosci. 2015, 7, 58–82. [Google Scholar] [CrossRef]
- Rengarajan, T.; Yaacob, N.S. The flavonoid fisetin as an anticancer agent targeting the growth signaling pathways. Eur. J. Pharmacol. 2016, 789, 8–16. [Google Scholar] [CrossRef]
- Park, B.-S.; Choi, N.-E.; Lee, J.H.; Kang, H.-M.; Yu, S.-B.; Kim, H.-J.; Kang, H.-K.; Kim, I.-R. Crosstalk between Fisetin-induced Apoptosis and Autophagy in Human Oral Squamous Cell Carcinoma. J. Cancer 2019, 10, 138–146. [Google Scholar] [CrossRef] [PubMed]
- Shih, Y.L.; Hung, F.M.; Lee, C.H.; Yeh, M.Y.; Lee, M.H.; Lu, H.F.; Chen, Y.L.; Liu, J.Y.; Chung, J.G. Fisetin Induces Apoptosis of HSC3 Human Oral Cancer Cells Through Endoplasmic Reticulum Stress and Dysfunction of Mitochondria-mediated Signaling Pathways. In Vivo 2017, 31, 1103–1114. [Google Scholar] [CrossRef][Green Version]
- Won, D.H.; Chung, S.H.; Shin, J.A.; Hong, K.O.; Yang, I.H.; Yun, J.W.; Cho, S.D. Induction of sestrin 2 is associated with fisetin-mediated apoptosis in human head and neck cancer cell lines. J. Clin. Biochem. Nutr. 2019, 64, 97–105. [Google Scholar] [CrossRef] [PubMed]
- Su, C.H.; Kuo, C.L.; Lu, K.W.; Yu, F.S.; Ma, Y.S.; Yang, J.L.; Chu, Y.L.; Chueh, F.S.; Liu, K.C.; Chung, J.G. Fisetin-induced apoptosis of human oral cancer SCC-4 cells through reactive oxygen species production, endoplasmic reticulum stress, caspase, and mitochondria-dependent signaling pathways. Environ. Toxicol. 2017, 32, 1725–1741. [Google Scholar] [CrossRef] [PubMed]
- Zhang, X.J.; Jia, S.S. Fisetin inhibits laryngeal carcinoma through regulation of AKT/NF-κB/mTOR and ERK1/2 signaling pathways. Biomed. Pharmacother. 2016, 83, 1164–1174. [Google Scholar] [CrossRef] [PubMed]
- Wong, R.S. Apoptosis in cancer: From pathogenesis to treatment. J. Exp. Clin. Cancer Res. 2011, 30, 87. [Google Scholar] [CrossRef]
- Kashyap, D.; Garg, V.K.; Tuli, H.S.; Yerer, M.B.; Sak, K.; Sharma, A.K.; Kumar, M.; Aggarwal, V.; Sandhu, S.S. Fisetin and Quercetin: Promising Flavonoids with Chemopreventive Potential. Biomolecules 2019, 9, 174. [Google Scholar] [CrossRef]
- Li, Y.; Jia, S.; Dai, W. Fisetin Modulates Human Oral Squamous Cell Carcinoma Proliferation by Blocking PAK4 Signaling Pathways. Drug Des. Dev. Ther. 2020, 14, 773–782. [Google Scholar] [CrossRef] [PubMed]
- Li, Y.S.; Qin, X.J.; Dai, W. Fisetin suppresses malignant proliferation in human oral squamous cell carcinoma through inhibition of Met/Src signaling pathways. Am. J. Trans. Res. 2017, 9, 5678–5683. [Google Scholar]
- Ren, J.; Lu, Y.; Qian, Y.; Chen, B.; Wu, T.; Ji, G. Recent progress regarding kaempferol for the treatment of various diseases. Exp. Ther. Med. 2019, 18, 2759–2776. [Google Scholar] [CrossRef] [PubMed]
- Imran, M.; Salehi, B.; Sharifi-Rad, J.; Aslam Gondal, T.; Saeed, F.; Imran, A.; Shahbaz, M.; Tsouh Fokou, P.V.; Umair Arshad, M.; Khan, H.; et al. Kaempferol: A Key Emphasis to Its Anticancer Potential. Molecules 2019, 24, 2277. [Google Scholar] [CrossRef] [PubMed]
- Yao, S.; Wang, X.; Li, C.; Zhao, T.; Jin, H.; Fang, W. Kaempferol inhibits cell proliferation and glycolysis in esophagus squamous cell carcinoma via targeting EGFR signaling pathway. Tumour Biol. 2016, 37, 10247–10256. [Google Scholar] [CrossRef] [PubMed]
- Swanson, H.I.; Choi, E.Y.; Helton, W.B.; Gairola, C.G.; Valentino, J. Impact of apigenin and kaempferol on human head and neck squamous cell carcinoma. Oral Surg. Oral Med. Oral Pathol. Oral Radiol. 2014, 117, 214–220. [Google Scholar] [CrossRef] [PubMed]
- Wang, X.; Yang, Y.; An, Y.; Fang, G. The mechanism of anticancer action and potential clinical use of kaempferol in the treatment of breast cancer. Biomed. Pharmacother. 2019, 117, 109086. [Google Scholar] [CrossRef]
- Zhu, G.; Liu, X.; Li, H.; Yan, Y.; Hong, X.; Lin, Z. Kaempferol inhibits proliferation, migration, and invasion of liver cancer HepG2 cells by down-regulation of microRNA-21. Int. J. Immunopathol. Pharmacol. 2018, 32. [Google Scholar] [CrossRef] [PubMed]
- Yang, S.; Si, L.; Jia, Y.; Jian, W.; Yu, Q.; Wang, M.; Lin, R. Kaempferol exerts anti-proliferative effects on human ovarian cancer cells by inducing apoptosis, G0/G1 cell cycle arrest and modulation of MEK/ERK and STAT3 pathways. J. BUON 2019, 24, 975–981. [Google Scholar] [PubMed]
- Kim, T.W.; Lee, S.Y.; Kim, M.; Cheon, C.; Ko, S.G. Kaempferol induces autophagic cell death via IRE1-JNK-CHOP pathway and inhibition of G9a in gastric cancer cells. Cell Death Dis. 2018, 9, 875. [Google Scholar] [CrossRef]
- Han, X.; Liu, C.F.; Gao, N.; Zhao, J.; Xu, J. Kaempferol suppresses proliferation but increases apoptosis and autophagy by up-regulating microRNA-340 in human lung cancer cells. Biomed. Pharmacother. 2018, 108, 809–816. [Google Scholar] [CrossRef] [PubMed]
- Pham, H.N.T.; Sakoff, J.A.; Vuong, Q.V.; Bowyer, M.C.; Scarlett, C.J. Comparative cytotoxic activity between kaempferol and gallic acid against various cancer cell lines. Data Brief 2018, 21, 1033–1036. [Google Scholar] [CrossRef] [PubMed]
- Wu, P.; Meng, X.; Zheng, H.; Zeng, Q.; Chen, T.; Wang, W.; Zhang, X.; Su, J. Kaempferol Attenuates ROS-Induced Hemolysis and the Molecular Mechanism of Its Induction of Apoptosis on Bladder Cancer. Molecules 2018, 23, 2592. [Google Scholar] [CrossRef]
- Chen, H.J.; Lin, C.M.; Lee, C.Y.; Shih, N.C.; Peng, S.F.; Tsuzuki, M.; Amagaya, S.; Huang, W.W.; Yang, J.S. Kaempferol suppresses cell metastasis via inhibition of the ERK-p38-JNK and AP-1 signaling pathways in U-2 OS human osteosarcoma cells. Oncol. Rep. 2013, 30, 925–932. [Google Scholar] [CrossRef] [PubMed]
- Moradzadeh, M.; Tabarraei, A.; Sadeghnia, H.R.; Ghorbani, A.; Mohamadkhani, A.; Erfanian, S.; Sahebkar, A. Kaempferol increases apoptosis in human acute promyelocytic leukemia cells and inhibits multidrug resistance genes. J. Cell Biochem. 2018, 119, 2288–2297. [Google Scholar] [CrossRef] [PubMed]
- Kang, J.W.; Kim, J.H.; Song, K.; Kim, S.H.; Yoon, J.H.; Kim, K.S. Kaempferol and quercetin, components of Ginkgo biloba extract (EGb 761), induce caspase-3-dependent apoptosis in oral cavity cancer cells. Phytother. Res. 2010, 24, S77–S82. [Google Scholar] [CrossRef] [PubMed]
- Li, X.; Guo, S.; Xiong, X.K.; Peng, B.Y.; Huang, J.M.; Chen, M.F.; Wang, F.Y.; Wang, J.N. Combination of quercetin and cisplatin enhances apoptosis in OSCC cells by downregulating xIAP through the NF-κB pathway. J. Cancer 2019, 10, 4509–4521. [Google Scholar] [CrossRef]
- Lin, C.W.; Chen, P.N.; Chen, M.K.; Yang, W.E.; Tang, C.H.; Yang, S.F.; Hsieh, Y.S. Kaempferol reduces matrix metalloproteinase-2 expression by down-regulating ERK1/2 and the activator protein-1 signaling pathways in oral cancer cells. PLoS ONE 2013, 8, e80883. [Google Scholar] [CrossRef]
- Ma, Y.S.; Yao, C.N.; Liu, H.C.; Yu, F.S.; Lin, J.J.; Lu, K.W.; Liao, C.L.; Chueh, F.S.; Chung, J.G. Quercetin induced apoptosis of human oral cancer SAS cells through mitochondria and endoplasmic reticulum mediated signaling pathways. Oncol. Lett. 2018, 15, 9663–9672. [Google Scholar] [CrossRef] [PubMed]
- Kim, S.R.; Lee, E.Y.; Kim, D.J.; Kim, H.J.; Park, H.R. Quercetin Inhibits Cell Survival and Metastatic Ability via the EMT-mediated Pathway in Oral Squamous Cell Carcinoma. Molecules 2020, 25, 757. [Google Scholar] [CrossRef] [PubMed]
- Lai, W.W.; Hsu, S.C.; Chueh, F.S.; Chen, Y.Y.; Yang, J.S.; Lin, J.P.; Lien, J.C.; Tsai, C.H.; Chung, J.G. Quercetin inhibits migration and invasion of SAS human oral cancer cells through inhibition of NF-κB and matrix metalloproteinase-2/-9 signaling pathways. Anticancer Res. 2013, 33, 1941–1950. [Google Scholar] [PubMed]
- Zhang, C.; Hao, Y.; Sun, Y.; Liu, P. Quercetin suppresses the tumorigenesis of oral squamous cell carcinoma by regulating microRNA-22/WNT1/β-catenin axis. J. Pharmacol. Sci. 2019, 140, 128–136. [Google Scholar] [CrossRef] [PubMed]
- Chen, S.F.; Nien, S.; Wu, C.H.; Liu, C.L.; Chang, Y.C.; Lin, Y.S. Reappraisal of the anticancer efficacy of quercetin in oral cancer cells. J. Chin. Med. Assoc. 2013, 76, 146–152. [Google Scholar] [CrossRef] [PubMed]
- Chen, S.F.; Nieh, S.; Jao, S.W.; Liu, C.L.; Wu, C.H.; Chang, Y.C.; Yang, C.Y.; Lin, Y.S. Quercetin suppresses drug-resistant spheres via the p38 MAPK-Hsp27 apoptotic pathway in oral cancer cells. PLoS ONE 2012, 7, e49275. [Google Scholar] [CrossRef] [PubMed]
- Haghiac, M.; Walle, T. Quercetin induces necrosis and apoptosis in SCC-9 oral cancer cells. Nutr. Cancer 2005, 53, 220–231. [Google Scholar] [CrossRef] [PubMed]
- Huang, C.Y.; Chan, C.Y.; Chou, I.T.; Lien, C.H.; Hung, H.C.; Lee, M.F. Quercetin induces growth arrest through activation of FOXO1 transcription factor in EGFR-overexpressing oral cancer cells. J. Nutr. Biochem. 2013, 24, 1596–1603. [Google Scholar] [CrossRef] [PubMed]
- Chan, C.Y.; Lien, C.H.; Lee, M.F.; Huang, C.Y. Quercetin suppresses cellular migration and invasion in human head and neck squamous cell carcinoma (HNSCC). Biomedicine (Taipei) 2016, 6, 15. [Google Scholar] [CrossRef]
- Kay, C.D. The future of flavonoid research. Br. J. Nutr. 2010, 104, S91–S95. [Google Scholar] [CrossRef]
- Sun, L.; Subar, A.F.; Bosire, C.; Dawsey, S.M.; Kahle, L.L.; Zimmerman, T.P.; Abnet, C.C.; Heller, R.; Graubard, B.I.; Cook, M.B.; et al. Dietary Flavonoid Intake Reduces the Risk of Head and Neck but Not Esophageal or Gastric Cancer in US Men and Women. J. Nutr. 2017, 147, 1729–1738. [Google Scholar] [CrossRef] [PubMed]
- Rodríguez-García, C.; Sánchez-Quesada, C.J.; Gaforio, J. Dietary Flavonoids as Cancer Chemopreventive Agents: An Updated Review of Human Studies. Antioxidants 2019, 8, 137. [Google Scholar] [CrossRef] [PubMed]





| Incidence | Mortalilty | |||||||||||
|---|---|---|---|---|---|---|---|---|---|---|---|---|
| Worldwide | WHO Europe (EURO) | WHO Americas (PAHO) | Worldwide | WHO Europe (EURO) | WHO Americas (PAHO) | |||||||
| ENIC | ECI | ENIC | ECI | ENIC | ECI | END | ECM | END | ECM | END | ECM | |
| Lip, oral cavity | 377,713 | 4.8 | 69,856 | 7.5 | 45,357 | 4.4 | 177,757 | 2.3 | 26,530 | 2.8 | 12,533 | 1.2 |
| Larynx | 184,615 | 2.4 | 45,790 | 4.9 | 29,685 | 2.9 | 99,840 | 1.3 | 22,224 | 2.4 | 14,434 | 1.4 |
| Nasopharynx | 133,354 | 1.7 | 6820 | 0.73 | 4222 | 0.41 | 80,008 | 1 | 3537 | 0.38 | 2247 | 0.22 |
| Orophargynx | 98,412 | 1.3 | 30,061 | 3.2 | 22,910 | 2.2 | 48,143 | 0.62 | 13,664 | 1.5 | 8576 | 0.84 |
| Hypopharynx | 84,252 | 1.1 | 19,730 | 2.1 | 4892 | 0.48 | 38,599 | 0.5 | 9721 | 1 | 1740 | 0.17 |
| Salivary glands | 53,593 | 0.69 | 11,027 | 1.2 | 9791 | 0.96 | 22,778 | 0.29 | 4581 | 0.49 | 2399 | 0.23 |
| Cancer Types | Cancer Cell Line | Effects | ~IC50 Value | Protein/Molecule | Reference |
|---|---|---|---|---|---|
| Laryngeal | Hep-2 | cancer growth ↓ proliferation ↓ apoptosis ↑ invasion ↓ metastasis ↓ | 10 µM (24 h) | Cleaved-Caspase-3 ↑ Cleaved-Caspase-9 ↑ Cleavage of PARP ↑ Bax ↑ Bcl-2 ↓ LC3II ↑ Raf ↓ Ras ↓ ERK1/2 ↓ Fos ↓ PI3K/AKT ↓ cIAP ↓ p-NF-κB ↓ TSC1 ↑ mTOR ↓ | [30] |
| TU212 | 15 µM (24 h) | ||||
| M2e | 10 µM (24 h) | ||||
| Laryngeal | UM-SCC-23 | proliferation ↓ apoptosis ↑ RTK pathway ↓ Met/Src signaling pathways ↓ | Met ↓ Src ↓ p-Met ↓ p-Src ↓ ADAM9 ↓ MTOR ↓ AR ↓ CDK6 ↓ | [34] | |
| Tongue | Tca-8113 | ||||
| Tongue | SCC9 SCC4 | proliferation ↓ Colony Formation ↓ Cell Cycle G2/M ↓ Migration ↓ | PAK4 Expression ↓ cleavage of PARP ↑ cleavage of caspase 3 ↑ | [33] | |
| Tongue | CAL27 | Apoptosis ↑ Ψm ↓ ratio of AVOs ↑ | >120 µM (24 h) 50 µM (48 h) 40 µM (72 h) | Bcl-2 ↑ Bcl-XL ↑ Bax↓ Bak ↓ caspase-3 ↑ PARP ↑ p62 ↓ Bekliny-1 ↑ ATG5 ↑ | [26] |
| Gingival | Ca9-22 | 200 µM (24 h) 180 µM (48 h) 140 µM (72 h) | |||
| Gingival | HSC-3 | Cytotoxic effect ↑ chromatin condensation ↑ DNA damage ↑ ΔΨm ↓ ROS ↑ | 20 µM (24 h) 50 µM (48 h) | caspase-3 ↑ caspase-8 ↑ caspase-9 ↑ BID ↑ BAD ↑ BAK ↑ BAX ↑ AIF ↑ ENDO G ↑ cytochrome c ↑ APAF1 ↑ cleaved caspase-9 ↑ cleaved caspase-3 ↑ caspase-6 ↑ PARP ↑ FAS ↑ FAS-ligand ↑ cleaved caspase-8 ↑ cleaved ATF-6β ↑ calpain 1 ↑ caspase-4 ↑ GRP78 ↑ MCL1 ↓ BCL2 ↓ BCL-x ↓ | [27] |
| Tongue | SCC-4 | G2/M arrest ↑ Sub-G1 ↑ chromatin condensation ↑ DNA fragmentation ↑ ΔΨm ↓ ROS ↑ Ca 2+ ↑ | 100 µM (24 h) 53 µM (48 h) | caspase-3 ↑ caspase-8 ↑ caspase-9 ↑ Calpain 1 and 2 ↑ Bax ↑ AIF ↑ Cytochrome c ↑ Bcl-2 ↓ MCL-1 ↓ XIAP ↓ GRP78 ↑ GADD153 ↑ caspase-4 ↑ ATF-6α ↑ ATF-6β ↑ | [29] |
| Tongue | HSC3 | Viability ↓ Apoptosis ↑ chromatin condensation ↑ | 15 µM (24 h) | PARP ↑ SESN2 ↑ CHAC 1 ↔ p-mTOR ↓ Mcl-1 ↓ | [28] |
| Gingival | Ca9.22 |
| Cancer Types | Cancer Cell Line | Effects | ~IC50 Value | Protein/Molecule | Reference |
|---|---|---|---|---|---|
| Tongue | SAS | Cytotoxicity ↑ Apoptosis ↑ ROS ↑ ΔΨm ↓ | 40 µM (24 h) | activities of caspase-3 ↑ activities of caspase-9 ↑ activities of caspase-8 ↑ caspase-2 ↑ Bak ↑ Bid ↑ Bad ↑ Cyto c ↑ Apaf-1 ↑ Endo G ↑ AIF ↑ PARP ↑ active form of caspase-9 ↑ active form of caspase-8 ↑ active form of caspase-3 ↑ active form of caspase-6 ↑ active form of caspase-7 ↑ TRAIL ↑ Fas-L ↑ Fas ↑ FADD ↑ ATF-6α ↑ ATF-6β ↑ XBP-1 ↑ IRE-1α ↑ caspase-4 ↑ GRP-78 ↑ Bcl-2 ↓ Bcl-x ↓ pro-caspase-3 ↓ cytochromu c ↑ AIF ↑ Endo G ↑ | [51] |
| Tongue | OSC20 | Viability ↓ Cell Cycle G2/M Migration ↓ | 160 µM (24 h) | E-cadherin ↑ claudin-1 ↑ fibronectin ↓ vimentin ↓ 0-SMA ↓ MMP-2 ↓ MMP-9 ↓ Twist ↓ Slug ↓ | [52] |
| Tongue | SAS | 160 µM (24 h) | |||
| Oral cavity | HN22 | >200 µM (24 h) | |||
| Tongue | SAS | Viability ↓ Cytotoxicity ↑ Migration ↓ | 75 µM (24 h) | MMP-2 ↓ MMP-9 ↓ MMP-7 ↓ MMP-10 ↓ VEGF ↑ NF-κB ↑ iNOS ↑ COX-2 ↑ uPA ↑ PI3K ↑ IKBα ↑ p-IKKα/β ↑ FAK ↑ SOS1 ↑ GRB2 ↑ MEKK3 ↑ MEKK7 ↑ ERK1/2 ↑ p-ERK1/2 ↑ JNK1/2 ↑ p38 ↑ p-p38 ↑ c-JUN ↑ pc-JUN ↑ RhoA ↔ PKC ↔ RAS ↔ | [53] |
| Tongue | Tca8113 | Viability ↓ Apoptosis ↑ | 49 µM (24 h) | miR-22 ↓ WNT1 ↓ β-kateniny ↓ | [54] |
| SAS | 44 µM (24 h) | ||||
| Tongue | SCC-25 | Viability ↓ Phase G1 cell cycle ↑ Apoptosis ↑ Migration ↓ Invasion ↓ | 50 µM (24 h) | cyclin D1 ↓ inp21Cip1 ↑ cyclin D1 ↑ Cip1/P21 ↑ Kip1/P27 ↑ Bcl-2 ↓ Bax ↑ cleaved caspase 3 ↑ cleaved PARP ↑ | [55] |
| Tongue | SCC-9 | cell growth ↓ cellular DNA synthesis ↓ apoptosis ↑ necrosis ↑ | Caspase-3↑ Thymidylate synthase ↓ | [57] | |
| Tongue | HSC-3 | cell growth ↓ Cell Cycle G2/M Chromatin condensation ↑ | 20 µM (24 h) | cyclin A ↓ cyclin B1 ↓ cyclin D1 ↔ p21 ↑ p15 ↔ FasL ↑ cleaved caspase 3 ↑ Bax ↔ p-Y1086-EGFR ↓ p-Akt ↓ p-Y1045-EGFR ↑ Akt ↓ EGFR ↓ FOXO1 ↑ FOXO3a ↔ | [58] |
| TW206 | 45 µM (24 h) | ||||
| Tongue | HSC-3 | Migration ↓ Invasion ↓ | MMP-2 ↓ MMP-9 ↓ | [59] | |
| Pharynx | FaDu | ||||
| Tongue | Tca-8113 | Apoptosis ↑ colony formation ↓ | Cleavage PARP ↑ caspase-3 ↑ caspase-9 ↑ caspase-8 ↑ xIAP ↓ | [49] | |
| SCC-15 |
Publisher’s Note: MDPI stays neutral with regard to jurisdictional claims in published maps and institutional affiliations. |
© 2021 by the authors. Licensee MDPI, Basel, Switzerland. This article is an open access article distributed under the terms and conditions of the Creative Commons Attribution (CC BY) license (http://creativecommons.org/licenses/by/4.0/).
Share and Cite
Kubina, R.; Iriti, M.; Kabała-Dzik, A. Anticancer Potential of Selected Flavonols: Fisetin, Kaempferol, and Quercetin on Head and Neck Cancers. Nutrients 2021, 13, 845. https://doi.org/10.3390/nu13030845
Kubina R, Iriti M, Kabała-Dzik A. Anticancer Potential of Selected Flavonols: Fisetin, Kaempferol, and Quercetin on Head and Neck Cancers. Nutrients. 2021; 13(3):845. https://doi.org/10.3390/nu13030845
Chicago/Turabian StyleKubina, Robert, Marcello Iriti, and Agata Kabała-Dzik. 2021. "Anticancer Potential of Selected Flavonols: Fisetin, Kaempferol, and Quercetin on Head and Neck Cancers" Nutrients 13, no. 3: 845. https://doi.org/10.3390/nu13030845
APA StyleKubina, R., Iriti, M., & Kabała-Dzik, A. (2021). Anticancer Potential of Selected Flavonols: Fisetin, Kaempferol, and Quercetin on Head and Neck Cancers. Nutrients, 13(3), 845. https://doi.org/10.3390/nu13030845
