Trends in Alcohol Consumption for Korean Adults from 1998 to 2018: Korea National Health and Nutritional Examination Survey
Abstract
1. Introduction
2. Materials and Methods
2.1. Study Design and Participants
2.2. General Characteristics
2.3. Alcohol Intake Assessment
2.4. Statistical Analysis
3. Results
3.1. General Characteristics
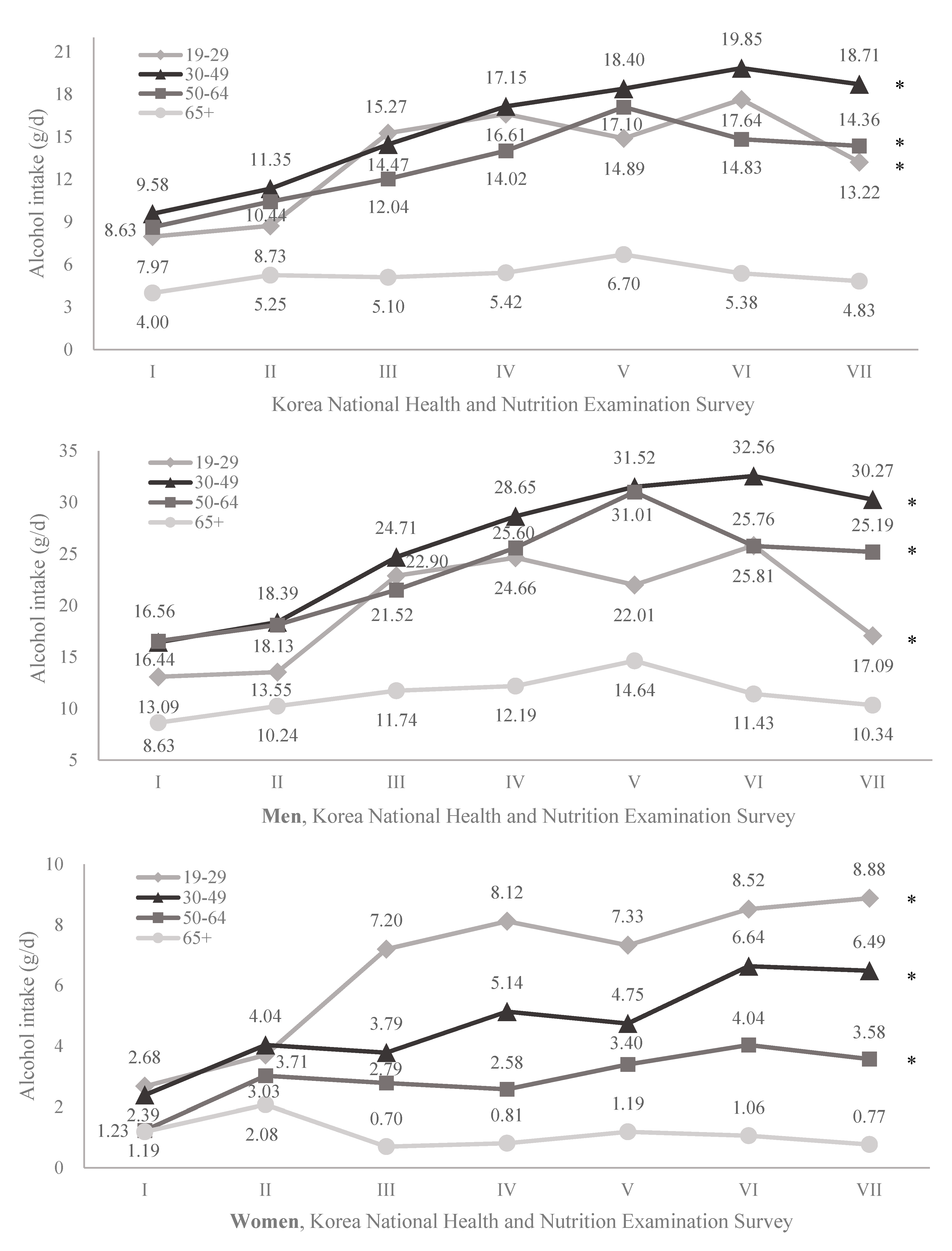
3.2. Trends in Alcohol Consumption
3.3. Trends in Alcohol Consumption by Beverage Types
4. Discussion
5. Conclusions
Author Contributions
Funding
Institutional Review Board Statement
Informed Consent Statement
Data Availability Statement
Conflicts of Interest
References
- Shield, K.D.; Parry, C.; Rehm, J. Chronic diseases and conditions related to alcohol use. Alcohol Res. Curr. Rev. 2014, 35, 155–171. [Google Scholar]
- Griswold, M.G.; Fullman, N.; Hawley, C.; Arian, N.; Zimsen, S.R.; Tymeson, H.D.; Venkateswaran, V.; Tapp, A.D.; Forouzanfar, M.H.; Salama, J.S. Alcohol use and burden for 195 countries and territories, 1990–2016: A systematic analysis for the Global Burden of Disease Study 2016. Lancet 2018, 392, 1015–1035. [Google Scholar] [CrossRef]
- National Cancer Center. National Cancer Prevention Guidelines; National Cancer Information Center: Goyang, Korea, 2020. [Google Scholar]
- Korea Health Promotion Foundation. A Guideline for Low-Risk Drinking; Korea Health Promotion Foundation: Seoul, Korea, 2013. [Google Scholar]
- Young, B.; Lewis, S.; Katikireddi, S.V.; Bauld, L.; Stead, M.; Angus, K.; Campbell, M.; Hilton, S.; Thomas, J.; Hinds, K. Effectiveness of mass media campaigns to reduce alcohol consumption and harm: A systematic review. Alcohol Alcohol. 2018, 53, 302–316. [Google Scholar] [CrossRef] [PubMed]
- World Health Organization. Global Status Report on Alcohol and Health 2018; World Health Organization: Geneva, Switzerland, 2019. [Google Scholar]
- Korea Centers for Disease Control and Prevention. Korea Health Statistics 2018; Ministry of Health and Welfare: Osong, Korea, 2019.
- Ministry of Health and Welfare & Korea Centers for Disease Control and Prevention. Korea National Health and Nutrition Examination Survey. Available online: https://knhanes.cdc.go.kr/knhanes/eng/index.do (accessed on 1 September 2020).
- Kweon, S.; Kim, Y.; Jang, M.-j.; Kim, Y.; Kim, K.; Choi, S.; Chun, C.; Khang, Y.-H.; Oh, K. Data resource profile: The Korea National Health and Nutrition Examination Survey (KNHANES). Int. J. Epidemiol. 2014, 43, 69–77. [Google Scholar] [CrossRef] [PubMed]
- Holmila, M.; Raitasalo, K. Gender differences in drinking: Why do they still exist? Addiction 2005, 100, 1763–1769. [Google Scholar] [CrossRef] [PubMed]
- Lee, S.; Kim, J.-S.; Jung, J.-G.; Oh, M.-K.; Chung, T.-H.; Kim, J. Korean alcohol guidelines for moderate drinking based on facial flushing. Korean J. Fam. Med. 2019, 40, 204–211. [Google Scholar] [CrossRef] [PubMed]
- Oda, N.; Kajikawa, M.; Maruhashi, T.; Iwamoto, Y.; Kishimoto, S.; Matsui, S.; Hidaka, T.; Kihara, Y.; Chayama, K.; Goto, C. Endothelial function is impaired in relation to alcohol intake even in the case of light alcohol consumption in Asian men; Flow-mediated Dilation Japan (FMD-J) Study. Int. J. Cardiol. 2017, 230, 523–528. [Google Scholar] [CrossRef] [PubMed][Green Version]
- Kaluza, J.; Harris, H.R.; Linden, A.; Wolk, A. Alcohol consumption and risk of chronic obstructive pulmonary disease: A prospective cohort study of men. Am. J. Epidemiol. 2019, 188, 907–916. [Google Scholar] [CrossRef] [PubMed]
- Waskiewicz, A.; Sygnowska, E. Alcohol intake and cardiovascular risk factor profile in men participating in the WOBASZ study. Kardiol. Pol. 2013, 71, 359–365. [Google Scholar] [CrossRef] [PubMed]
- Kim, W.; Kim, S. Women’s alcohol use and alcoholism in Korea. Subst. Use Misuse 2008, 43, 1078–1087. [Google Scholar] [CrossRef] [PubMed]
- White, I.R.; Altmann, D.R.; Nanchahal, K. Alcohol consumption and mortality: Modelling risks for men and women at different ages. BMJ 2002, 325, 1–7. [Google Scholar] [CrossRef] [PubMed]
- Grittner, U.; Kuntsche, S.; Gmel, G.; Bloomfield, K. Alcohol consumption and social inequality at the individual and country levels—results from an international study. Eur. J. Public Health 2013, 23, 332–339. [Google Scholar] [CrossRef] [PubMed]
- Sun, Q.; Xie, W.; Wang, Y.; Chong, F.; Song, M.; Li, T.; Xu, L.; Song, C. Alcohol consumption by beverage type and risk of breast cancer: A dose-response meta-analysis of prospective cohort studies. Alcohol Alcohol. 2020, 55, 246–253. [Google Scholar] [CrossRef] [PubMed]
- Yum, S.-K. The history of Makoli industry in Korea. Food Sci. Ind. 2011, 44, 18–27. [Google Scholar]
- Park, S.H.; Plank, L.D.; Suk, K.T.; Park, Y.E.; Lee, J.; Choi, J.H.; Heo, N.Y.; Park, J.; Kim, T.O.; Moon, Y.S. Trends in the prevalence of chronic liver disease in the Korean adult population, 1998–2017. Clin. Mol. Hepatol. 2020, 26, 209–215. [Google Scholar] [CrossRef] [PubMed]
- Chang, Y.; Cho, S.; Kim, I.; Bahk, J.; Khang, Y.-H. Trends in inequality in cigarette smoking prevalence by income according to recent anti-smoking policies in Korea: Use of three National Surveys. J. Prev. Med. Public Health 2018, 51, 310–319. [Google Scholar] [CrossRef] [PubMed]
- National Cancer Institute Dietary Assessment Primer. Food Frequency Questionnaire. Available online: https://dietassessmentprimer.cancer.gov/profiles/questionnaire/ (accessed on 1 November 2020).

| KNHANES | ||||||||
|---|---|---|---|---|---|---|---|---|
| I (1998) | II (2001) | III (2005) | IV (2007–2009) | V (2010–2012) | VI (2013–2015) | VII (2016–2018) | p for Trend † | |
| Total (n) | 7501 | 7092 | 6526 | 16,187 | 17,394 | 16,069 | 16,854 | |
| Age (y, mean ± SE) | 41.28 ± 0.33 | 41.82 ± 0.29 | 43.30 ± 0.30 | 44.57 ± 0.24 | 45.53 ± 0.24 | 46.34 ± 0.23 | 47.28 ± 0.24 | <0.001 |
| Age (y, % (SE)) | ||||||||
| 19–29 | 26.71 (0.82) | 25.54 (0.76) | 22.17 (0.82) | 20.33 (0.60) | 19.08 (0.56) | 18.32 (0.52) | 17.60 (0.53) | <0.001 |
| 30–49 | 45.62 (1.12) | 45.89 (0.98) | 46.23 (1.02) | 44.47 (0.71) | 42.50 (0.70) | 40.09 (0.69) | 38.27 (0.71) | <0.001 |
| 50–64 | 18.03 (0.70) | 18.18 (0.58) | 19.56 (0.62) | 21.73 (0.48) | 23.96 (0.48) | 25.87 (0.49) | 27.40 (0.49) | <0.001 |
| ≥65 | 9.64 (0.54) | 10.39 (0.53) | 12.04 (0.57) | 13.47 (0.41) | 14.46 (0.42) | 15.72 (0.43) | 16.73 (0.47) | <0.001 |
| Education ‡ (% (SE)) | ||||||||
| ≤Middle school | 37.42 (0.93) | 33.38 (0.80) | 28.56 (0.69) | 28.00 (0.47) | 24.60 (0.40) | 20.61 (0.39) | 17.49 (0.38) | <0.001 |
| High school | 37.79 (0.80) | 36.88 (0.82) | 35.49 (0.87) | 41.93 (0.60) | 40.68 (0.61) | 39.59 (0.63) | 36.13 (0.64) | 0.002 |
| ≥College | 24.78 (1.12) | 29.73 (0.90) | 35.95 (1.04) | 30.07 (0.72) | 34.72 (0.67) | 39.80 (0.71) | 46.38 (0.74) | <0.001 |
| Income § (104 KRW, mean ± SE) | 140.34 ± 3.40 | 230.94 ± 6.09 | 234.46 ± 4.89 | 309.95 ± 9.02 | 449.30 ± 14.59 | 394.21 ± 6.14 | 464.85 ± 6.62 | <0.001 |
| Occupation ‡ (mean (SE)) | ||||||||
| Manual | 27.53 (0.99) | 24.30 (0.80) | 26.49 (0.95) | 24.64 (0.64) | 25.38 (0.67) | 21.79 (0.55) | 20.66 (0.54) | <0.001 |
| Non-manual | 32.01 (0.91) | 34.73 (0.91) | 34.51 (0.81) | 35.77 (0.61) | 38.82 (0.62) | 41.73 (0.59) | 44.59 (0.59) | <0.001 |
| Unemployed | 40.46 (0.72) | 40.97 (0.76) | 39.00 (0.74) | 39.59 (0.59) | 35.80 (0.58) | 36.48 (0.52) | 34.75 (0.54) | <0.001 |
| Region ‡ (mean (SE)) | ||||||||
| Urban | 76.54 (1.18) | 79.80 (0.88) | 81.54 (1.11) | 81.35 (1.52) | 80.75 (1.60) | 82.91 (1.48) | 85.82 (1.40) | <0.001 |
| Rural | 23.46 (1.18) | 20.20 (0.88) | 18.46 (1.11) | 18.65 (1.52) | 19.25 (1.60) | 17.09 (1.48) | 14.18 (1.40) | <0.001 |
| Men (n) | 3480 | 3253 | 2918 | 6592 | 7129 | 6712 | 7165 | |
| Age (y, mean ± SE) | 40.25 ± 0.32 | 40.86 ± 0.32 | 42.30 ± 0.36 | 43.55 ± 0.27 | 44.51 ± 0.29 | 45.25 ± 0.26 | 46.17 ± 0.28 | <0.001 |
| Age (y, % (SE)) | ||||||||
| 19–29 | 27.57 (1.00) | 26.41 (1.00) | 23.02 (1.15) | 21.13 (0.83) | 19.91 (0.78) | 19.53 (0.73) | 18.74 (0.73) | <0.001 |
| 30–49 | 47.38 (1.34) | 47.34 (1.18) | 47.73 (1.30) | 45.97 (0.91) | 43.96 (0.86) | 41.28 (0.88) | 39.52 (0.88) | <0.001 |
| 50–64 | 17.66 (0.76) | 18.07 (0.71) | 19.54 (0.78) | 21.85 (0.60) | 24.12 (0.61) | 25.97 (0.63) | 27.47 (0.66) | <0.001 |
| ≥65 | 7.39 (0.54) | 8.18 (0.52) | 9.72 (0.62) | 11.05 (0.42) | 12.01 (0.43) | 13.22 (0.43) | 14.27 (0.48) | <0.001 |
| Education ‡ (% (SE)) | ||||||||
| ≤Middle school | 29.37 (1.02) | 26.73 (0.93) | 22.26 (0.80) | 23.32 (0.61) | 20.02 (0.49) | 16.98 (0.50) | 14.30 (0.47) | <0.001 |
| High school | 40.77 (1.09) | 37.13 (1.03) | 35.80 (1.11) | 43.24 (0.83) | 42.81 (0.78) | 41.46 (0.89) | 37.13 (0.80) | <0.001 |
| ≥College | 29.86 (1.37) | 36.13 (1.10) | 41.93 (1.27) | 33.44 (0.91) | 37.17 (0.82) | 41.56 (0.94) | 48.57 (0.90) | <0.001 |
| Income § (104 KRW, mean ± SE) | 139.85 ± 3.42 | 231.27 ± 6.46 | 233.91 ± 4.94 | 307.03 ± 8.17 | 442.30 ± 16.14 | 398.09 ± 6.75 | 468.23 ± 7.26 | <0.001 |
| Occupation ‡ (mean (SE)) | ||||||||
| Manual | 37.19 (1.25) | 33.78 (1.09) | 36.98 (1.20) | 34.91 (0.94) | 35.48 (0.93) | 31.47 (0.85) | 30.07 (0.83) | <0.001 |
| Non-manual | 37.68 (1.29) | 39.64 (1.14) | 37.18 (1.10) | 40.51 (0.91) | 41.59 (0.95) | 44.34 (0.89) | 45.94 (0.85) | <0.001 |
| Unemployed | 25.12 (0.93) | 26.58 (0.87) | 25.84 (0.82) | 24.58 (0.71) | 22.93 (0.70) | 24.19 (0.66) | 23.99 (0.62) | 0.057 |
| Region ‡ (mean (SE)) | ||||||||
| Urban | 76.03 (1.23) | 79.29 (1.05) | 80.81 (1.33) | 80.62 (1.60) | 79.88 (1.72) | 81.67 (1.60) | 85.24 (1.46) | <0.001 |
| Rural | 23.97 (1.23) | 20.71 (1.05) | 19.19 (1.33) | 19.38 (1.60) | 20.12 (1.72) | 18.33 (1.60) | 14.76 (1.46) | <0.001 |
| Women (n) | 4021 | 3839 | 3608 | 9595 | 10,265 | 9357 | 9689 | |
| Age (y, mean ± SE) | 42.29 ± 0.41 | 42.76 ± 0.38 | 44.28 ± 0.35 | 45.57 ± 0.27 | 46.52 ± 0.27 | 47.41 ± 0.27 | 48.36 ± 0.28 | <0.001 |
| Age (y, % (SE)) | ||||||||
| 19–29 | 25.88 (0.95) | 24.70 (0.92) | 21.33 (0.93) | 19.55 (0.67) | 18.26 (0.62) | 17.14 (0.59) | 16.48 (0.57) | <0.001 |
| 30–49 | 43.91 (1.16) | 44.47 (1.03) | 44.77 (1.08) | 43.00 (0.76) | 41.08 (0.73) | 38.91 (0.71) | 37.03 (0.74) | <0.001 |
| 50–64 | 18.40 (0.82) | 18.29 (0.68) | 19.58 (0.74) | 21.61 (0.52) | 23.81 (0.54) | 25.77 (0.54) | 27.33 (0.54) | <0.001 |
| ≥65 | 11.81 (0.68) | 12.55 (0.68) | 14.32 (0.69) | 15.83 (0.51) | 16.85 (0.50) | 18.18 (0.54) | 19.16 (0.58) | <0.001 |
| Education ‡ (% (SE)) | ||||||||
| ≤Middle school | 44.80 (1.02) | 39.43 (0.88) | 34.16 (0.80) | 32.04 (0.51) | 28.51 (0.49) | 23.60 (0.43) | 20.15 (0.42) | <0.001 |
| High school | 35.42 (0.93) | 37.10 (0.93) | 35.78 (1.04) | 40.83 (0.67) | 38.71 (0.77) | 37.67 (0.74) | 35.15 (0.78) | 0.002 |
| ≥College | 19.78 (1.05) | 23.46 (0.91) | 30.06 (1.14) | 27.14 (0.74) | 32.78 (0.78) | 38.73 (0.81) | 44.70 (0.84) | <0.001 |
| Income ‡,§ (104 KRW, mean ± SE) | 140.75 ± 3.52 | 231.03 ± 6.38 | 235.39 ± 5.43 | 313.27 ± 11.40 | 457.83 ± 15.12 | 391.06 ± 6.45 | 462.65 ± 7.02 | <0.001 |
| Occupation ‡ (mean (SE)) | ||||||||
| Manual | 18.27 (0.97) | 14.99 (0.80) | 16.15 (0.91) | 14.77 (0.54) | 15.91 (0.63) | 12.77 (0.51) | 11.44 (0.47) | <0.001 |
| Non-manual | 26.45 (0.96) | 29.88 (1.09) | 31.98 (0.95) | 31.37 (0.67) | 36.35 (0.70) | 39.68 (0.72) | 43.49 (0.75) | <0.001 |
| Unemployed | 55.29 (1.11) | 55.13 (1.10) | 51.88 (1.10) | 53.86 (0.76) | 47.74 (0.73) | 47.55 (0.72) | 45.07 (0.78) | <0.001 |
| Region ‡ (mean (SE)) | ||||||||
| Urban | 76.97 (1.19) | 80.35 (0.82) | 82.29 (1.02) | 82.13 (1.49) | 81.68 (1.56) | 84.22 (1.40) | 86.47 (1.41) | <0.001 |
| Rural | 23.03 (1.19) | 19.65 (0.82) | 17.71 (1.02) | 17.87 (1.49) | 18.32 (1.56) | 15.78 (1.40) | 13.53 (1.41) | <0.001 |
| KNHANES | ||||||||
|---|---|---|---|---|---|---|---|---|
| I (1998) | II (2001) | III (2005) | IV (2007–2009) | V (2010–2012) | VI (2013–2015) | VII (2016–2018) | p for Trend † | |
| Total (n) | 7501 | 7092 | 6526 | 16,187 | 17,394 | 16,069 | 16,854 | |
| Alcohol intake ‡ (g/d, mean ± SE) | 8.37 ± 0.49 | 9.86 ± 0.57 | 13.07 ± 0.83 | 15.03 ± 0.52 | 15.97 ± 0.59 | 16.67 ± 0.53 | 14.98 ± 0.49 | <0.001 |
| Alcohol intake by education ‡ (g/d, mean ± SE) | ||||||||
| ≤Middle school | 11.55 ± 1.76 | 11.68 ± 1.81 | 14.08 ± 2.89 | 19.19 ± 3.82 | 21.05 ± 5.37 | 20.64 ± 4.12 | 15.68 ± 1.73 | <0.001 |
| High school | 9.35 ± 0.90 | 10.88 ± 1.11 | 13.70 ± 1.25 | 15.68 ± 0.76 | 16.88 ± 0.92 | 17.35 ± 0.91 | 15.08 ± 0.77 | <0.001 |
| ≥College | 10.14 ± 1.27 | 10.51 ± 1.05 | 14.87 ± 1.46 | 15.96 ± 1.43 | 16.03 ± 0.89 | 15.67 ± 0.91 | 14.81 ± 0.70 | <0.001 |
| Alcohol intake by income ‡ (g/d, mean ± SE) | ||||||||
| Low | 9.54 ± 0.90 | 10.00 ± 0.95 | 14.10 ± 1.55 | 14.90 ± 1.00 | 15.37 ± 1.23 | 15.02 ± 1.01 | 13.23 ± 0.94 | <0.001 |
| Middle-low | 7.83 ± 0.96 | 9.92 ± 0.97 | 12.36 ± 1.66 | 16.10 ± 1.07 | 16.42 ± 1.21 | 16.42 ± 1.06 | 14.69 ± 0.92 | <0.001 |
| Middle-high | 9.83 ± 1.04 | 10.99 ± 1.24 | 12.92 ± 1.28 | 14.46 ± 0.93 | 16.49 ± 1.08 | 17.01 ± 1.14 | 16.22 ± 1.04 | <0.001 |
| High | 6.54 ± 0.78 | 9.00 ± 0.84 | 12.48 ± 1.50 | 15.14 ± 1.06 | 15.76 ± 0.94 | 18.32 ± 1.18 | 16.02 ± 1.04 | <0.001 |
| Alcohol intake by occupation ‡ (g/d, mean ± SE) | ||||||||
| Manual | 11.49 ± 0.94 | 15.74 ± 1.49 | 18.09 ± 1.77 | 20.48 ± 1.49 | 20.73 ± 1.45 | 24.68 ± 1.82 | 17.98 ± 1.28 | <0.001 |
| Non-manual | 9.44 ± 0.96 | 10.49 ± 1.00 | 15.62 ± 1.82 | 18.37 ± 1.16 | 18.21 ± 0.97 | 16.93 ± 0.87 | 16.67 ± 0.77 | <0.001 |
| Unemployed | 4.89 ± 0.57 | 5.39 ± 0.54 | 7.33 ± 0.79 | 7.76 ± 0.54 | 7.09 ± 0.67 | 8.74 ± 0.67 | 7.95 ± 0.58 | <0.001 |
| Alcohol intake by region ‡ (g/d, mean ± SE) | ||||||||
| Urban | 7.87 ± 0.56 | 9.74 ± 0.64 | 12.66 ± 0.88 | 14.64 ± 0.58 | 15.66 ± 0.63 | 16.31 ± 0.57 | 14.94 ± 0.53 | <0.001 |
| Rural | 10.17 ± 1.18 | 9.89 ± 1.04 | 14.71 ± 1.99 | 16.65 ± 1.35 | 16.97 ± 1.58 | 18.08 ± 1.35 | 14.67 ± 1.27 | <0.001 |
| Men (n) | 3480 | 3253 | 2918 | 6592 | 7129 | 6712 | 7165 | |
| Alcohol intake ‡ (g/d, mean ± SE) | 14.78 ± 0.92 | 16.28 ± 0.98 | 22.15 ± 1.49 | 25.21 ± 0.98 | 27.27 ± 1.08 | 27.21 ± 0.94 | 23.94 ± 0.89 | <0.001 |
| Alcohol intake by education ‡ (g/d, mean ± SE) | ||||||||
| ≤Middle school | 21.39 ± 2.65 | 20.08 ± 2.97 | 26.41 ± 4.79 | 38.34 ± 8.16 | 42.88 ±12.63 | 31.88 ± 5.54 | 25.89 ± 3.35 | <0.001 |
| High school | 14.73 ± 1.35 | 17.51 ± 1.84 | 21.58 ± 2.07 | 25.15 ± 1.37 | 28.42 ± 1.68 | 28.87 ± 1.73 | 25.22 ± 1.44 | <0.001 |
| ≥College | 13.72 ± 1.74 | 14.34 ± 1.41 | 21.39 ± 2.07 | 24.84 ± 2.24 | 25.20 ± 1.59 | 25.16 ± 1.70 | 22.41 ± 1.26 | <0.001 |
| Alcohol intake by income ‡ (g/d, mean ± SE) | ||||||||
| Low | 16.92 ± 1.56 | 16.25 ± 1.61 | 22.60 ± 2.79 | 24.71 ± 1.80 | 26.73 ± 2.35 | 24.73 ± 1.78 | 20.38 ± 1.68 | 0.002 |
| Middle-low | 13.88 ± 1.83 | 15.94 ± 1.69 | 20.87 ± 3.00 | 26.55 ± 1.94 | 27.63 ± 2.23 | 26.35 ± 1.86 | 23.76 ± 1.64 | <0.001 |
| Middle-high | 17.15 ± 1.90 | 18.77 ± 2.29 | 22.03 ± 2.41 | 24.96 ± 1.77 | 28.17 ± 2.02 | 27.33 ± 2.05 | 25.84 ± 1.86 | <0.001 |
| High | 11.54 ± 1.53 | 14.72 ± 1.48 | 22.48 ± 2.63 | 25.39 ± 1.98 | 26.63 ± 1.73 | 30.73 ± 2.06 | 26.14 ± 1.85 | <0.001 |
| Alcohol intake by occupation ‡ (g/d, mean ± SE) | ||||||||
| Manual | 15.69 ± 1.23 | 19.11 ± 1.73 | 23.87 ± 2.19 | 26.82 ± 1.80 | 27.91 ± 2.01 | 31.32 ± 2.22 | 22.61 ± 1.63 | <0.001 |
| Non-manual | 14.16 ± 1.56 | 15.29 ± 1.49 | 25.24 ± 3.57 | 28.22 ± 2.07 | 30.15 ± 1.88 | 26.83 ± 1.67 | 25.85 ± 1.41 | <0.001 |
| Unemployed | 13.71 ± 1.87 | 13.01 ± 1.97 | 18.82 ± 3.37 | 21.05 ± 2.48 | 17.25 ± 2.11 | 16.98 ± 2.70 | 17.33 ± 2.26 | 0.059 |
| Alcohol intake by region ‡ (g/d, mean ± SE) | ||||||||
| Urban | 13.71 ± 1.06 | 16.18 ± 1.14 | 21.53 ± 1.61 | 24.53 ± 1.10 | 26.75 ± 1.15 | 27.06 ± 1.03 | 23.89 ± 0.96 | <0.001 |
| Rural | 18.40 ± 2.07 | 16.18 ± 1.69 | 23.92 ± 3.35 | 28.00 ± 2.34 | 28.78 ± 2.80 | 26.92 ± 2.19 | 23.35 ± 2.23 | <0.001 |
| Women (n) | 4021 | 3839 | 3608 | 9595 | 10,265 | 9357 | 9689 | |
| Alcohol intake ‡ (g/d, mean ± SE) | 2.09 ± 0.23 | 3.54 ± 0.39 | 4.00 ± 0.41 | 4.81 ± 0.27 | 4.65 ± 0.26 | 5.90 ± 0.33 | 5.79 ± 0.30 | <0.001 |
| Alcohol intake by education ‡ (g/d, mean ± SE) | ||||||||
| ≤Middle school | 2.95 ± 0.68 | 3.94 ± 0.74 | 6.39 ± 3.34 | 5.63 ± 1.40 | 6.09 ± 1.40 | 12.13 ± 6.28 | 7.07 ± 1.47 | 0.001 |
| High school | 1.85 ± 0.34 | 3.00 ± 0.55 | 5.11 ± 0.77 | 5.83 ± 0.47 | 4.56 ± 0.39 | 5.95 ± 0.45 | 5.81 ± 0.48 | <0.001 |
| ≥College | 1.53 ± 0.34 | 3.02 ± 1.03 | 2.68 ± 0.60 | 2.89 ± 0.31 | 3.94 ± 0.37 | 4.61 ± 0.40 | 5.45 ± 0.42 | <0.001 |
| Alcohol intake by income ‡ (g/d, mean ± SE) | ||||||||
| Low | 2.20 ± 0.61 | 4.18 ± 0.89 | 5.26 ± 1.03 | 4.64 ± 0.55 | 4.47 ± 0.51 | 5.00 ± 0.55 | 6.02 ± 0.54 | 0.004 |
| Middle-low | 2.06 ± 0.37 | 3.77 ± 0.94 | 4.08 ± 0.71 | 5.45 ± 0.60 | 4.58 ± 0.52 | 6.10 ± 0.67 | 5.63 ± 0.56 | <0.001 |
| Middle-high | 2.23 ± 0.45 | 3.17 ± 0.53 | 3.96 ± 0.74 | 4.16 ± 0.43 | 4.81 ± 0.59 | 6.57 ± 0.82 | 6.03 ± 0.65 | <0.001 |
| High | 1.94 ± 0.35 | 3.19 ± 0.59 | 2.66 ± 0.53 | 4.70 ± 0.51 | 4.84 ± 0.55 | 5.89 ± 0.59 | 5.42 ± 0.58 | <0.001 |
| Alcohol intake by occupation ‡ (g/d, mean ± SE) | ||||||||
| Manual | 2.22 ± 0.54 | 2.50 ± 0.44 | 2.58 ± 0.52 | 4.47 ± 1.13 | 5.62 ± 0.93 | 8.15 ± 3.23 | 5.30 ± 1.15 | 0.038 |
| Non-manual | 2.14 ± 0.45 | 3.50 ± 0.54 | 4.43 ± 0.59 | 5.96 ± 0.45 | 5.31 ± 0.41 | 6.07 ± 0.40 | 6.61 ± 0.48 | <0.001 |
| Unemployed | 1.80 ± 0.25 | 2.71 ± 0.41 | 3.75 ± 0.63 | 4.11 ± 0.40 | 3.42 ± 0.38 | 4.89 ± 0.43 | 4.85 ± 0.50 | <0.001 |
| Alcohol intake by region ‡ (g/d, mean ± SE) | ||||||||
| Urban | 2.15 ± 0.27 | 3.44 ± 0.40 | 3.94 ± 0.42 | 4.89 ± 0.30 | 4.78 ± 0.28 | 5.70 ± 0.36 | 5.88 ± 0.33 | <0.001 |
| Rural | 1.73 ± 0.34 | 3.17 ± 0.72 | 4.66 ± 1.49 | 4.07 ± 0.58 | 3.73 ± 0.58 | 7.22 ± 0.93 | 4.91 ± 0.80 | <0.001 |
| KNHANES | ||||||||
|---|---|---|---|---|---|---|---|---|
| Ⅰ (1998) | Ⅱ (2001) | Ⅲ (2005) | Ⅳ (2007–2009) | Ⅴ (2010–2012) | Ⅵ (2013–2015) | Ⅶ (2016–2018) | p for Trend † | |
| Total (n) | 7501 | 7092 | 6526 | 16,187 | 17,394 | 16,069 | 16,854 | |
| Alcohol intake ‡ (g/d, mean ± SE) | ||||||||
| Total | 8.37 ± 0.49 | 9.86 ± 0.57 | 13.07 ± 0.83 | 15.03 ± 0.52 | 15.97 ± 0.59 | 16.67 ± 0.53 | 14.98 ± 0.49 | <0.001 |
| Beer | 1.38 ± 0.13 | 1.69 ± 0.18 | 2.42 ± 0.24 | 2.87 ± 0.15 | 3.59 ± 0.18 | 3.79 ± 0.17 | 3.66 ± 0.15 | <0.001 |
| Makgeolli § | 0.49 ± 0.08 | 0.42 ± 0.11 | 0.74 ± 0.14 | 0.61 ± 0.06 | 1.56 ± 0.11 | 1.40 ± 0.12 | 0.85 ± 0.07 | <0.001 |
| Wine | 0.06 ± 0.02 | 0.05 ± 0.02 | 0.07 ± 0.03 | 0.16 ± 0.03 | 0.12 ± 0.02 | 0.16 ± 0.04 | 0.16 ± 0.03 | <0.001 |
| Cheongju § | 0.08 ± 0.04 | 0.04 ± 0.02 | 0.15 ± 0.05 | 0.12 ± 0.03 | 0.18 ± 0.05 | 0.12 ± 0.03 | 0.08 ± 0.02 | 0.226 |
| Soju § | 6.08 ± 0.38 | 7.46 ± 0.47 | 9.32 ± 0.63 | 10.86 ± 0.45 | 9.97± 0.45 | 10.83 ± 0.44 | 9.95 ± 0.40 | <0.001 |
| Liquor | 0.22 ± 0.07 | 0.11 ± 0.04 | 0.32 ± 0.09 | 0.40 ± 0.08 | 0.52 ± 0.15 | 0.33 ± 0.07 | 0.26 ± 0.06 | 0.024 |
| Other § | 0.05 ± 0.04 | 0.09 ± 0.04 | 0.06 ± 0.04 | 0.01 ± 0.01 | 0.03 ± 0.01 | 0.04 ± 0.01 | 0.01 ± 0.01 | 0.101 |
| Men (n) | 3480 | 3253 | 2918 | 6592 | 7129 | 6712 | 7165 | |
| Alcohol intake ‡ (g/d, mean ± SE) | ||||||||
| Total | 14.78 ± 0.92 | 16.28± 0.98 | 22.15 ± 1.49 | 25.21 ± 0.98 | 27.27 ± 1.08 | 27.21 ± 0.94 | 23.94 ± 0.89 | <0.001 |
| Beer | 2.07 ± 0.23 | 2.39 ± 0.30 | 3.25 ± 0.41 | 3.90 ± 0.24 | 5.33 ± 0.30 | 5.41 ± 0.29 | 4.84 ± 0.26 | <0.001 |
| Makgeolli § | 0.92 ± 0.17 | 0.61 ± 0.14 | 1.39 ± 0.28 | 0.98 ± 0.11 | 2.66 ± 0.20 | 2.42 ± 0.23 | 1.42 ± 0.12 | <0.001 |
| Wine | 0.09 ± 0.04 | 0.07 ± 0.03 | 0.06 ± 0.04 | 0.18 ± 0.06 | 0.13 ± 0.03 | 0.22 ± 0.06 | 0.19 ± 0.04 | 0.002 |
| Cheongju § | 0.16 ± 0.07 | 0.05 ± 0.03 | 0.26 ± 0.09 | 0.16 ± 0.05 | 0.28 ± 0.09 | 0.18 ± 0.06 | 0.11 ± 0.04 | 0.569 |
| Soju § | 11.17 ± 0.72 | 12.85 ± 0.83 | 16.53 ± 1.16 | 19.30 ± 0.86 | 17.86 ± 0.84 | 18.37 ± 0.79 | 16.92 ± 0.73 | <0.001 |
| Liquor | 0.28 ± 0.11 | 0.15 ± 0.05 | 0.56 ± 0.18 | 0.69 ± 0.16 | 0.99 ± 0.29 | 0.57 ± 0.13 | 0.46 ± 0.10 | 0.004 |
| Other § | 0.09 ± 0.08 | 0.15 ± 0.07 | 0.10 ± 0.08 | 0.01 ± 0.01 | 0.03 ± 0.02 | 0.04 ± 0.02 | 0.01 ± 0.01 | 0.072 |
| Women (n) | 4021 | 3839 | 3608 | 9595 | 10,265 | 9357 | 9689 | |
| Alcohol intake ‡ (g/d, mean ± SE) | ||||||||
| Total | 2.09 ± 0.23 | 3.54 ± 0.39 | 4.00 ± 0.41 | 4.81 ± 0.27 | 4.65 ± 0.26 | 5.90 ± 0.33 | 5.79 ± 0.30 | <0.001 |
| Beer | 0.68 ± 0.09 | 0.96 ± 0.13 | 1.57 ± 0.24 | 1.84 ± 0.14 | 1.80 ± 0.13 | 2.09 ± 0.12 | 2.45 ± 0.14 | <0.001 |
| Makgeolli § | 0.07 ± 0.02 | 0.23 ± 0.10 | 0.13 ± 0.03 | 0.25 ± 0.04 | 0.50 ± 0.06 | 0.39 ± 0.05 | 0.30 ± 0.04 | <0.001 |
| Wine | 0.03 ± 0.01 | 0.02 ± 0.01 | 0.08 ± 0.03 | 0.14 ± 0.04 | 0.12 ± 0.04 | 0.10 ± 0.02 | 0.13 ± 0.03 | <0.001 |
| Cheongju § | 0.01 ± 0.01 | 0.03 ± 0.02 | 0.04 ± 0.01 | 0.09 ± 0.04 | 0.08 ± 0.03 | 0.05 ± 0.02 | 0.06 ± 0.03 | 0.047 |
| Soju § | 1.11 ± 0.16 | 2.20 ± 0.30 | 2.10 ± 0.29 | 2.38 ± 0.19 | 2.09 ± 0.21 | 3.16 ± 0.27 | 2.78 ± 0.23 | <0.001 |
| Liquor | 0.17 ± 0.08 | 0.08 ± 0.05 | 0.06 ± 0.03 | 0.09 ± 0.03 | 0.04 ± 0.02 | 0.08 ± 0.03 | 0.05 ± 0.02 | 0.206 |
| Other § | 0.02 ± 0.01 | 0.02 ± 0.01 | 0.02 ± 0.01 | 0.02 ± 0.01 | 0.02 ± 0.01 | 0.03 ± 0.02 | 0.02 ± 0.01 | 0.599 |
Publisher’s Note: MDPI stays neutral with regard to jurisdictional claims in published maps and institutional affiliations. |
© 2021 by the authors. Licensee MDPI, Basel, Switzerland. This article is an open access article distributed under the terms and conditions of the Creative Commons Attribution (CC BY) license (http://creativecommons.org/licenses/by/4.0/).
Share and Cite
Kim, S.Y.; Kim, H.J. Trends in Alcohol Consumption for Korean Adults from 1998 to 2018: Korea National Health and Nutritional Examination Survey. Nutrients 2021, 13, 609. https://doi.org/10.3390/nu13020609
Kim SY, Kim HJ. Trends in Alcohol Consumption for Korean Adults from 1998 to 2018: Korea National Health and Nutritional Examination Survey. Nutrients. 2021; 13(2):609. https://doi.org/10.3390/nu13020609
Chicago/Turabian StyleKim, Sang Young, and Hyun Ja Kim. 2021. "Trends in Alcohol Consumption for Korean Adults from 1998 to 2018: Korea National Health and Nutritional Examination Survey" Nutrients 13, no. 2: 609. https://doi.org/10.3390/nu13020609
APA StyleKim, S. Y., & Kim, H. J. (2021). Trends in Alcohol Consumption for Korean Adults from 1998 to 2018: Korea National Health and Nutritional Examination Survey. Nutrients, 13(2), 609. https://doi.org/10.3390/nu13020609

