Effects of a 3-Week Hospital-Controlled Very-Low-Calorie Diet in Severely Obese Patients
Abstract
:1. Introduction
2. Materials and Methods
2.1. Ethical Approval for the Study on Humans
2.2. Subject Recruitment and Diet
2.3. Anthropometric Measurements
2.4. Biochemical Parameters
2.5. CBMN Cytome Assay
2.6. Antioxidative GSH and Oxidative ROS Damage Measurement
2.6.1. GSH Measurement
2.6.2. ROS Measurement
2.7. Statistical Analysis
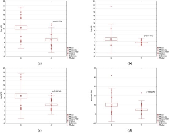
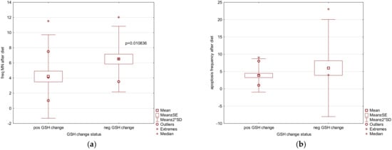
3. Results
4. Discussion
5. Conclusions
Supplementary Materials
Author Contributions
Funding
Institutional Review Board Statement
Informed Consent Statement
Data Availability Statement
Acknowledgments
Conflicts of Interest
References
- WHO Global Action Plan for the Prevention and Control of NCDs 2013–2020. Available online: http://www.slideshare.net/pauloventuraseabra/who-global-action-plan-for-the-prevention-and-control-of-noncommunicable-diseases-20132020 (accessed on 28 October 2021).
- Bonassi, S.; El-Zein, R.; Bolognesi, C.; Fenech, M. Micronuclei frequency in peripheral blood lymphocytes and cancer risk: Evidence from human studies. Mutagenesis 2011, 26, 93–100. [Google Scholar] [CrossRef] [Green Version]
- Norppa, H.; Bonassi, S.; Hansteen, I.L.; Hagmar, L.; Stromberg, U.; Rossner, P.; Boffetta, P.; Lindholm, C.; Gundy, S.; Lazutka, J.; et al. Chromosomal aberrations and SCEs as biomarkers of cancer risk. Mutat. Res. 2006, 600, 37–45. [Google Scholar] [CrossRef]
- Collins, A.R. Measuring oxidative damage to DNA and its repair with the Comet assay. Biochim. Biophys. Acta 2014, 1840, 794–800. [Google Scholar] [CrossRef] [PubMed]
- Poirier, P.; Giles, T.D.; Bray, G.A.; Hong, Y.; Stern, J.S.; Pi-Sunyer, F.X.; Eckel, R.H.; American Heart Association; Obesity Committee of the Council on Nutrition, Physical Activity, and Metabolism. Obesity and cardiovascular disease: Pathophysiology, evaluation, and effect of weight loss: An update of the 1997 American Heart Association Scientific Statement on Obesity and Heart Disease from the Obesity Committee of the Council on Nutrition, Physical Activity, and Metabolism. Circulation 2006, 113, 898–918. [Google Scholar] [CrossRef] [PubMed] [Green Version]
- Guh, D.P.; Zhang, W.; Bansback, N.; Amarsi, Z.; Birmingham, C.L.; Anis, A.H. The incidence of co-morbidities related to obesity and overweight: A systematic review and meta-analysis. BMC Public Health 2009, 9, 88. [Google Scholar] [CrossRef] [PubMed] [Green Version]
- Lauby-Secretan, B.; Scoccianti, C.; Loomis, D.; Grosse, Y.; Bianchini, F.; Straif, K. International Agency for Research on Cancer Handbook Working Group. Body Fatness and Cancer-Viewpoint of the IARC Working Group. N. Engl. J. Med. 2016, 375, 794–798. [Google Scholar] [CrossRef] [Green Version]
- Tinahones, F.J.; Murri-Pierri, M.; Garrido-Sánchez, L.; García-Almeida, J.M.; García-Serrano, S.; García-Arnés, J.; García-Fuentes, E. Oxidative stress in severely obese persons is greater in those with insulin resistance. Obesity 2009, 17, 240–246. [Google Scholar] [CrossRef] [PubMed]
- Feingold, K.R.; Anawalt, B.; Boyce, A.; Chrousos, G.; de Herder, W.W.; Dhatariya, K.; Dungan, K.; Grossman, A.; Hershman, J.M.; Hofland, J.; et al. Obesity and Dyslipidemia; Feingold MDText.com, Inc.: South Dartmouth, MA, USA, 2000. Available online: https://www.ncbi.nlm.nih.gov/books/NBK305895/ (accessed on 28 October 2021).
- WHO Global Health Observatory Data Repository [Online Database]. Geneva, World Health Organization. 2013. Available online: http://apps.who.int/gho/data/view.main (accessed on 13 June 2020).
- Rogulj, D. Croatia Ranked 8th in Obesity of the 28 EU Countries. 2016. Available online: https://www.total-croatia-news.com/item/14572-croatia-ranked-eighth-in-obesity-of-the-28-eu-countries (accessed on 13 June 2020).
- Eurostat. Overweight and Obesity-BMI Statistics. 2014. Available online: https://ec.europa.eu/eurostat/statistics-explained/index.php/Overweight_and_obesity_-_BMI_statistics (accessed on 13 June 2020).
- Gallus, S.; Lugo, A.; Murisic, B.; Bosetti, C.; Boffetta, P.; La Vecchia, C. Overweight and obesity in 16 European countries. Eur. J. Nutr. 2015, 54, 679–689. [Google Scholar] [CrossRef] [PubMed]
- Wagner, K.H.; Schwingshackl, L.; Draxler, A.; Franzke, B. Impact of dietary and lifestyle interventions in elderly or people diagnosed with diabetes, metabolic disorders, cardiovascular disease, cancer and micronutrient deficiency on micronuclei frequency—A systematic review and meta-analysis. Mutat. Res. Rev. Mutat. Res. 2021, 787, 108367. [Google Scholar] [CrossRef] [PubMed]
- Franzke, B.; Schwingshackl, L.; Wagner, K.H. Chromosomal damage measured by the cytokinesis block micronucleus cytome assay in diabetes and obesity—A systematic review and meta-analysis. Mutat. Res. Rev. Mutat. Res. 2020, 786, 108343. [Google Scholar] [CrossRef]
- Fenech, M.; Holland, N.; Kirsch-Volders, M.; Knudsen, L.E.; Wagner, K.H.; Stopper, H.; Knasmueller, S.; Bolognesi, C.; El-Zein, R.; Bonassi, S. Micronuclei and disease—Report of HUMN project workshop at Rennes 2019 EEMGS conference. Mutat. Res. Genet. Toxicol. Environ. Mutagen. 2020, 850–851, 503133. [Google Scholar] [CrossRef]
- Fenech, M.; Chang, W.P.; Kirsch-Volders, M.; Holland, N.; Bonassi, S.; Zeiger, E. HUMN project: Detailed description ofthe scoring criteria for the cytokinesis block micronucleus assay using isolated human lymphocyte cultures. Mutat. Res. 2003, 534, 65–75. [Google Scholar] [CrossRef]
- Fenech, M.; Kirsch-Volders, M.; Natarajan, A.T.; Surralles, J.; Crott, J.W.; Parry, J.; Norppa, H.; Eastmond, D.A.; Tucker, J.D.; Thomas, P. Molecular mechanisms of micronucleus, nucleoplasmic bridge and nuclear bud formation in mammalian and human cells. Mutagenesis 2011, 26, 125–132. [Google Scholar] [CrossRef] [PubMed] [Green Version]
- Natarajan, A.T.; Obe, G. Screening of human populations for mutations induced by environmental pollutants: Use of human lymphocyte system. Ecotoxicol. Environ. Saf. 1980, 4, 468–481. [Google Scholar] [CrossRef]
- Carrano, A.V.; Natarajan, A.T. International Commission for Protection Against Environmental Mutagens and Carcinogens. ICPEMC publication no. 14. Con siderations for population monitoring using cytogenetic techniques. Mutat. Res. 1988, 204, 379–406. [Google Scholar] [CrossRef]
- Mulligan, A.A.; Luben, R.N.; Bhaniani, A.; Parry-Smith, D.J.; O’Connor, L.; Khawaja, A.P.; Forouhi, N.G.; Khaw, K.T. EPIC-Norfolk FFQ Study. A new tool for converting food frequency questionnaire data into nutrient and food group values: FETA research methods and availability. BMJ Open 2014, 4, e004503. [Google Scholar] [CrossRef] [PubMed] [Green Version]
- Bray, G.A.; Bouchard, C.; Church, T.S.; Cefalu, W.T.; Greenway, F.L.; Gupta, A.K.; Kaplan, L.M.; Ravussin, E.; Smith, S.R.; Ryan, D.H. Is it time to change the way we report and discuss weight loss? Obesity 2009, 17, 619–621. [Google Scholar] [CrossRef] [PubMed] [Green Version]
- Setayesh, T.; Nersesyan, A.; Mišík, M.; Ferk, F.; Langie, S.; Andrade, V.M.; Haslberger, A.; Knasmüller, S. Impact of obesity and overweight on DNA stability: Few facts and many hypotheses. Mutat. Res. Rev. Mutat. Res. 2018, 777, 64–91. [Google Scholar] [CrossRef]
- Walford, R.L.; Mock, D.; Verdery, R.; MacCallum, T. Calorie restriction in biosphere 2: Alterations in physiologic, hematologic, hormonal, and biochemical parameters in humans restricted for a 2-year period. J. Gerontol. A Biol. Sci. Med. Sci. 2002, 57, B211–B224. [Google Scholar] [CrossRef]
- Román-Pintos, L.M.; Villegas-Rivera, G.; Cardona-Muñoz, E.G.; Rodríguez-Carrizalez, A.D.; Moreno-Ulloa, A.; Rubin, N.; Miranda-Díaz, A.G. Very Low-Calorie Diets in Type 2 Diabetes Mellitus: Effects on Inflammation, Clinical and Metabolic Parameters, Diabetes and Its Complications. In Diabetes and Its Complications December; Ahmed, R.G., Ed.; IntechOpen: London, UK, 2018; Available online: https://www.intechopen.com/books/diabetes-and-its-complications/very-low-calorie-diets-in-type-2-diabetes-mellitus-effects-on-inflammation-clinical-and-metabolic-pa (accessed on 26 October 2020).
- Huang, Y.S.; Zheng, Q.; Yang, H.; Fu, X.; Zhang, X.; Xia, C.; Zhu, Z.; Liu, Y.N.; Liu, W.J. Efficacy of Intermittent or Continuous Very Low-Energy Diets in Overweight and Obese Individuals with Type 2 Diabetes Mellitus: A Systematic Review and Meta-Analyses. J. Diabetes Res. 2020, 2020, 4851671. [Google Scholar] [CrossRef] [PubMed] [Green Version]
- Heilbronn, L.K.; de Jonge, L.; Frisard, M.I.; DeLany, J.P.; Larson-Meyer, D.E.; Rood, J.; Nguyen, T.; Martin, C.K.; Volaufova, J.; Most, M.M.; et al. Pennington CALERIE Team. Effect of 6-month calorie restriction on biomarkers of longevity, metabolic adaptation, and oxidative stress in overweight individuals: A randomized controlled trial. JAMA 2006, 295, 1539–1548. [Google Scholar] [CrossRef]
- Eastmond, D.A.; Tucker, J.D. Identification of aneuploidy-inducing agents using cytokinesisblocked human lymphocytes and an antikinetochore antibody. Environ. Mol. Mutagen. 1989, 13, 34–43. [Google Scholar] [CrossRef] [PubMed]
- Kamencic, H.; Lyon, A.; Paterson, P.G.; Juurlink, B.H.J. Monochlorobimane fluorometric method to measure tissue glutathione. Anal. Biochem. 2000, 286, 35–37. [Google Scholar] [CrossRef] [PubMed]
- Kalyanaraman, B.; Darley-Usmar, V.; Davies, K.J.A.; Dennery, P.A.; Forman, H.J.; Grisham, M.B.; Mann, G.E.; Moore, K.; Roberts, L.J.; Ischiropoulos, H. Measuring reactive oxygen and nitrogen species with fluorescent probes: Challenges and limitations. Free Radic. Biol. Med. 2012, 52, 1–6. [Google Scholar] [CrossRef] [Green Version]
- Nyberg, S.T.; Batty, G.D.; Pentti, J.; Virtanen, M.; Alfredsson, L.; Fransson, E.I.; Goldberg, M.; Heikkilä, K.; Jokela, M.; Knutsson, A.; et al. Obesity and loss of disease-free years owing to major non-communicable diseases: A multicohort study. Lancet Public Health 2018, 3, e490–e497. [Google Scholar] [CrossRef] [Green Version]
- Kahn, S.E.; Hull, R.L.; Utzschneider, K.M. Mechanisms linking obesity to insulin resistance and type 2 diabetes. Nature 2006, 444, 840–846. [Google Scholar] [CrossRef]
- Heymsfield, S.B.; Wadden, T.A. Mechanisms, pathophysiology, and management of obesity. N. Engl. J. Med. 2017, 376, 254–266. [Google Scholar] [CrossRef]
- Carreras-Torres, R.; Johansson, M.; Gaborieau, V.; Haycock, P.C.; Wade, K.H.; Relton, C.L.; Martin, R.M.; Davey Smith, G.; Brennan, P. The role of obesity, type 2 diabetes, and metabolic factors in pancreatic cancer: A mendelian randomization study. J. Natl. Cancer Inst. 2017, 109, djx012. [Google Scholar] [CrossRef] [PubMed] [Green Version]
- Nead, K.T.; Sharp, S.J.; Thompson, D.J.; Painter, J.N.; Savage, D.B.; Semple, R.K.; Barker, A.; Australian National Endometrial Cancer Study Group (ANECS); Perry, J.R.; Attia, J.; et al. Evidence of a causal association between insulinemia and endometrial cancer: A mendelian randomization analysis. J. Natl. Cancer Inst. 2015, 107, djv178. [Google Scholar] [CrossRef]
- Calle, E.E.; Kaaks, R. Overweight, obesity and cancer: Epidemiological evidence and proposed mechanisms. Nat. Rev. Cancer 2004, 4, 579–591. [Google Scholar] [CrossRef]
- Mathis, D.; Shoelson, S.E. Immunometabolism: An emerging frontier. Nat. Rev. Immunol. 2011, 11, 81. [Google Scholar] [CrossRef] [Green Version]
- Włodarczyk, M.; Nowicka, G. Obesity, DNA Damage, and Development of Obesity-Related Diseases. Int. J. Mol. Sci. 2019, 20, 1146. [Google Scholar] [CrossRef]
- Mancini, M.; Longo, K.; Esposito, I.; Pauciullo, P. Drastic Calorie Restriction for the Treatment of Massive Obesity. J. Obes. Eat. Disord. 2016, 2, 3. [Google Scholar] [CrossRef]
- Parretti, H.M.; Jebb, S.A.; Johns, D.J.; Lewis, A.L.; Christian-Brown, A.M.; Aveyard, P. Clinical effectiveness of very-low-energy diets in the management of weight loss: A systematic review and meta-analysis of randomized controlled trials. Obes. Rev. 2016, 17, 225–234. [Google Scholar] [CrossRef] [PubMed]
- Panuganti, K.K.; Nguyen, M.; Kshirsagar, R.K. Obesity. In StatPearls; StatPearls Publishing: Treasure Island, FL, USA, 2021. Available online: https://www.ncbi.nlm.nih.gov/books/NBK459357/ (accessed on 13 June 2020).
- Ožvald, I.; Božičević, D.; Mustapić, M.; Vinković Vrček, I.; Domijan, A.M.; Milić, M. Changes in anthropometric, biochemical and DNA damage parameters after 3-weeks-567-kcal-hospital-controlled-VLCD in severely obese patients with BMI ≥ 35 kg m−2. Submitt. Eur. J. Nutr. 2021. under revision. [Google Scholar]
- Sivakumar, J.; Chong, L.; Ward, S.; Sutherland, T.R.; Read, M.; Hii, M.W. Body Composition Changes Following a Very-Low-Calorie Pre-Operative Diet in Patients Undergoing Bariatric Surgery. Obes. Surg. 2020, 30, 119–126. [Google Scholar] [CrossRef] [PubMed]
- Lim, E.L.; Hollingsworth, K.G.; Aribisala, B.S.; Chen, M.J.; Mathers, J.C.; Taylor, R. Reversal of type 2 diabetes: Normalisation of beta cell function in association with decreased pancreas and liver triacylglycerol. Diabetologia 2011, 54, 2506–2514. [Google Scholar] [CrossRef] [Green Version]
- Steven, S.; Taylor, R. Restoring normoglycaemia by use of a very low calorie diet in long- and short-duration Type 2 diabetes. Diabet. Med. 2015, 32, 1149–1155. [Google Scholar] [CrossRef]
- Steven, S.; Hollingsworth, K.G.; Al-Mrabeh, A.; Avery, L.; Aribisala, B.; Caslake, M.; Taylor, R. Very Low-Calorie Diet and 6 Months of Weight Stability in Type 2 Diabetes: Pathophysiological Changes in Responders and Nonresponders. Diabetes Care 2016, 39, 808–815. [Google Scholar] [CrossRef] [Green Version]
- Juray, S.; Axen, K.V.; Trasino, S.E. Remission of Type 2 Diabetes with Very Low-Calorie Diets-A Narrative Review. Nutrients 2021, 13, 2086. [Google Scholar] [CrossRef] [PubMed]
- Viljanen, A.P.; Lautamäki, R.; Järvisalo, M.; Parkkola, R.; Huupponen, R.; Lehtimäki, T.; Rönnemaa, T.; Raitakari, O.T.; Iozzo, P.; Nuutila, P. Effects of weight loss on visceral and abdominal subcutaneous adipose tissue blood-flow and insulin-mediated glucose uptake in healthy obese subjects. Ann. Med. 2009, 41, 152–160. [Google Scholar] [CrossRef] [PubMed]
- Bianchi, V.E. Weight loss is a critical factor to reduce inflammation. Clin. Nutr. ESPEN 2018, 28, 21–35. [Google Scholar] [CrossRef]
- Ravussin, E.; Burnand, B.; Schutz, Y.; Jequier, E. Energy expenditure before and during energy restriction in obese patients. Am. J. Clin. Nutr. 1985, 41, 753–759. [Google Scholar] [CrossRef] [PubMed]
- Leibel, R.L.; Rosenbaum, M.; Hirsch, J. Changes in energy expenditure resulting from altered body weight. N. Engl. J. Med. 1995, 332, 621–628. [Google Scholar] [CrossRef] [PubMed]
- Lips, M.A.; van Klinken, J.B.; Pijl, H.; Janssen, I.; van Dijk, K.W.; Koning, F.; van Harmelen, V. Weight loss induced by very low calorie diet is associated with a more beneficial systemic inflammatory profile than by Roux-en-Y gastric bypass. Metabolism 2016, 65, 1614–1620. [Google Scholar] [CrossRef] [PubMed]
- Zhang, Z.; Dmitrieva, N.I.; Park, J.H.; Levine, R.L.; Burg, M.B. High urea and NaCl carbonylate proteins in renal cells in culture and in vivo, and high urea causes 8-oxoguanine lesions in their DNA. Proc. Natl. Acad. Sci. USA 2004, 101, 9491–9496. [Google Scholar] [CrossRef] [Green Version]
- Portnay, G.I.; O’Brian, J.T.; Bush, J.; Vagenakis, A.G.; Azizi, F.; Arky, R.A.; Ingbar, S.H.; Braverman, L.E. The effect of starvation on the concentration and binding of thyroxine and triiodothyronine in serum and on the response to TRH. J. Clin. Endocrinol. Metab. 1974, 39, 191–194. [Google Scholar] [CrossRef]
- Alemán, J.O.; Iyengar, N.M.; Walker, J.M.; Milne, G.L.; Da Rosa, J.C.; Liang, Y.; Giri, D.D.; Zhou, X.K.; Pollak, M.N.; Hudis, C.A.; et al. Effects of Rapid Weight Loss on Systemic and Adipose Tissue Inflammation and Metabolism in Obese Postmenopausal Women. J. Endocr. Soc. 2017, 1, 625–637. [Google Scholar] [CrossRef] [Green Version]
- Marín-Peñalver, J.J.; Martín-Timón, I.; Sevillano-Collantes, C.; Del Cañizo-Gómez, F.J. Update on the treatment of type 2 diabetes mellitus. World J. Diabetes 2016, 7, 354–395. [Google Scholar] [CrossRef]
- Himbert, C.; Thompson, H.; Ulrich, C.M. Effects of Intentional Weight Loss on Markers of Oxidative Stress, DNA Repair and Telomere Length—A Systematic Review. Obes. Fact. 2017, 10, 648–665. [Google Scholar] [CrossRef]
- Setayesh, T.; Mišík, M.; Langie, S.A.S.; Godschalk, R.; Waldherr, M.; Bauer, T.; Leitner, S.; Bichler, C.; Prager, G.; Krupitza, G.; et al. Impact of Weight Loss Strategies on Obesity-Induced DNA Damage. Mol. Nutr. Food Res. 2019, 63, e1900045. [Google Scholar] [CrossRef]
- Ein, N.; Armstrong, B.; Vickers, K. The effect of a very low calorie diet on subjective depressive symptoms and anxiety: Meta-analysis and systematic review. Int. J. Obes. 2019, 43, 1444–1455. [Google Scholar] [CrossRef] [PubMed]
- Loft, S.; Poulsen, H.E. Cancer risk and oxidative DNA damage in man. J. Mol. Med. 1996, 74, 297–312. [Google Scholar] [CrossRef]
- Mizoue, T.; Tokunaga, S.; Kasai, H.; Kawai, K.; Sato, M.; Kubo, T. Body mass index and oxidative DNA damage: A longitudinal study. Cancer Sci. 2007, 98, 1254–1258. [Google Scholar] [CrossRef]
- Picklo, M.J.; Long, E.K.; Vomhof-DeKrey, E.E. Glutathionyl systems and metabolic dysfunction in obesity. Nutr. Rev. 2015, 73, 858–868. [Google Scholar] [CrossRef] [PubMed] [Green Version]
- Kobayashi, H.; Matsuda, M.; Fukuhara, A.; Komuro, R.; Shimomura, I. Dysregulated glutathione metabo lism links to impaired insulin action in adipocytes. Am. J. Physiol. Endocrinol. Metab. 2009, 296, E1326–E1334. [Google Scholar] [CrossRef] [PubMed] [Green Version]
- Kopjar, N.; Kašuba, V.; Milić, M.; Rozgaj, R.; Želježić, D.; Gajski, G.; Mladinić, M.; Garaj-Vrhovac, V. Micronucleus assay in general Croatian population. Normalne i granične vrijednosti mikronukleus-testa na limfocitima periferne krvi u ispitanika opće populacije Republike Hrvatske. Croat. Arh. Hig. Rada Toksikol. 2010, 61, 219–233. [Google Scholar] [CrossRef] [PubMed] [Green Version]
- Donmez-Altuntas, H.; Sahina, F.; Bayramb, F.; Bitgena, N.; Mert, M.; Guclud, K.; Hamurcua, Z.; Arıbas, S.; Gundogane, K.; Diri, H. Evaluation of chromosomal damage, cytostasis, cytotoxicity, oxidative DNA damage and their association with body-mass index in obese subjects. Mutat. Res. 2014, 771, 30–36. [Google Scholar] [CrossRef] [PubMed]
- Stratton, M.R.; Campbell, P.J.; Futreal, P.A. The cancer genome. Nature 2009, 458, 719–724. [Google Scholar] [CrossRef] [PubMed] [Green Version]
- Bonassi, S.; Znaor, A.; Ceppi, M.; Lando, C.; Chang, W.P.; Holland, N.; Kirsch-Volders, M.; Zeiger, E.; Ban, S.; Barale, R.; et al. An increased micronucleus frequency in peripheral blood lymphocytes predicts the risk of cancer in humans. Carcinogenesis 2007, 28, 625–631. [Google Scholar] [CrossRef] [PubMed] [Green Version]
- Shettigar, S.K.; Shailaja, C.; Kulkarni, R.K. Elevated micronuclei frequency in type 2 diabetes with high glycosylated hemoglobin. Diabetes Res. Clin. Pract. 2012, 95, 246–250. [Google Scholar] [CrossRef] [PubMed]
- Murgia, E.; Maggini, V.; Barale, R.; Rossi, A.M. Micronuclei, genetic polymorphisms and cardiovascular disease mortality in a nested case-control study in Italy. Mutat. Res. 2007, 62, 113–118. [Google Scholar] [CrossRef] [PubMed]
- Sandoval, S.B.; Pastor, S.; Stoyanova, E.; Rodríguez-Ribera, L.; García-Quispes, W.A.; Coll, E.; Reyes, J.; Andrés, E.; Ballarin, J.; Marcos, R. Genomic instability in chronic renal failure patients. Environ. Mol. Mutagen. 2012, 53, 343–349. [Google Scholar] [CrossRef]
- Usman, M.; Volpi, E.V. DNA damage in obesity: Initiator, promoter and predictor of cancer. Mutat. Res. Rev. Mutat. Res. 2018, 778, 23–37. [Google Scholar] [CrossRef]
- Phillips, C.M.; Chen, L.W.; Heude, B.; Bernard, J.Y.; Harvey, N.C.; Duijts, L.; Mensink-Bout, S.M.; Polanska, K.; Mancano, G.; Suderman, M.; et al. Dietary Inflammatory Index and Non-Communicable Disease Risk: A Narrative Review. Nutrients 2019, 11, 1873. [Google Scholar] [CrossRef] [PubMed] [Green Version]


| 35.91 g proteins | - |
| 15.05 g fats | 5.05 g saturated, 4.55 g monounsaturated fatty acids, 4.67 g polyunsaturated fatty acids, 140.42 mg cholesterol |
| 74.92 g carbohydrates | 18.46 g monosaccharides and disaccharides, 56.46 g polysaccharides, 14.09 g fibers |
| Minerals | 1144.68 mg Na+, 1447.47 mg K+, 376.02 mg Ca2+, 99.84 mg Mg2+, 7.82 mg Fe, and 636.53 mg P |
| Vitamins | 0.51 mg vitamin B1, 0.67 mg vitamin B2, 0.57 mg vitamin B6, 75.97 mg vitamin C |
| Code | G | Age | S | Disease | Therapy | Tumor Incidence | CI |
|---|---|---|---|---|---|---|---|
| 1 | f | 62 | No | none | none | No | 1098 |
| 2 | m | 56 | No | Hypertension, 10 y, hyperlipoproteinemia | Torasemide 10 mg 1 tbl, nebivolol 5 mg 1 tbl, lercanidipine 20 mg 1 tbl, moxonidine 0.4 mg 1 tbl, perindopril 8 mg 1 tbl, fenofibrate/simvastatin 145/20 mg 1 tbl | No | 2287 |
| 3 | f | 64 | No | DMT2, 20 y and hypertension 20 y, hyperlipoproteinemia | Metformin 1000 mg 2 × 1 tbl, glargine 32 units, ramipril 5 mg 1 tbl, lacidipine 6 mg 1 tbl, moxonidine 0.2 mg 1 tbl, fenofibrate/simvastatin 145/40 mg 1 tbl | Thyroid tumor 10 y ago | 2387 |
| 4 | m | 48 | No | Asthma, 20 y, hypertension 20 y, hyperlipoproteinemia | Torasemide 5 mg 1 tbl, perindopril/indapamide 10/2.5 mg 1 tbl | No | 2188 |
| 5 | m | 66 | No | DMT2, 17 y, hypertension, hyperlipoproteinemia | Perindopril/indapamide/amlodipine 10/2.5/5 mg 1 tbl, empagliflozin/metformin 12.5/1000 mg 1 tbl, dulaglutide 1.5 mg s.c. once weekly, fenofibrate/simvastatin 145/40 mg 1 tbl, torasemide 10 mg 1 tbl every second day | No | 497 |
| 6 | f | 65 | No | Asthma, hypertension, hyperlipoproteinemia | Furosemide 500 mg ¼ tbl, rosuvastatin 10 mg 1 tbl, losartan 100 mg 1 tbl | No | 1888 |
| 7 | m | 42 | No | Hypertension, 10 y | Torasemide 10 mg 1 tbl, perindopril 8 mg 1 tbl, moxonidine 0.4 mg 1 tbl, nebivolol 5 mg 1 tbl | No | 2283 |
| 8 | m | 66 | No | Hypothyroidism, 12 y ago, hypertension, hyperlipoproteinemia | Perindopril 10/10 mg 1 tbl, indapamide 1.5 mg 1 tbl, moxonidine 0.6 mg 1 tbl, nebivolol 5 mg ¼ tbl | Thyroid carcinoma 12 y ago | 1311 |
| 9 | m | 51 | No | None | None | No | 1622 |
| 10 | f | 61 | No | DMT2,14 y, and hypertension, 14 y, and anemia, 2 y | Furosemide 40 mg 1 tbl, gliclazide 60 mg 1 tbl, pioglitazone 30 mg 1 tbl, exenatide once weekly, metformin 1000 mg 2 × 1 tbl, perindopril 10 mg 1 tbl, atorvastatin 20 mg 1 tbl, bisoprolol 5 mg 1 tbl | Colon carcinoma 14 y and nose tumor 4 y ago | 1754 |
| 11 | f | 52 | Yes | Hypertension, DMT2, 10 y, hyperlipoproteinemia | Empagliflozin/metformin 12.5/1000 mg 1 tbl, metformin 1000 mg 1 tbl, perindopril/amlodipine 5/5 mg 1 tbl | No | 829 |
| 12 | m | 55 | No | Chronic sinusitis, psoriasis vulgaris, arthritis psoriatica, DMT2, 4 y, hypertension, hyperlipoproteinemia | Ramipril 5 mg 1 tbl, lacidipine 4 mg 1 tbl, nebivolol/hydrochlorothiazide 5/12.5 mg ½ tbl, fenofibrate/simvastatin 145/40 mg 1 tbl, metformin 1000 mg 2 × 1 tbl | No | 1044 |
| 13 | f | 56 | No | Asthma, DMT2, 6 y, hypertension, hyperlipoproteinemia | Furosemide 40 mg 1 tbl, linagliptin 5 mg 1 tbl | Uterus myoma | 2030 |
| 14 | f | 67 | No | DMT2, 10 y, hypertension, hyperlipoproteinemia | Perindopril/indapamide 5/1.25 mg 1 tbl, metformin 850 mg 2 × 1 tbl | No | 2828 |
| 15 | m | 57 | No | DMT2, 5 y, hypertension, hyperlipoproteinemia | Perindopril/indapamide/amlodipine 10/2.5/5 mg 1 tbl, metformin 1000 mg 2 × 1 tbl | No | 968 |
| 16 | f | 46 | No | DMT2, 13 y, hypertension, hyperlipoproteinemia | Ramipril/amlodipine 10/10 mg 1 tbl, torasemide 5 mg 1 tbl, insulin aspart/protamine 30 2× daily, empagliflozin/metformin 12.5/1000 mg, metformin 1000 mg 1 tbl after dinner, rosuvastatin 10 mg 1 tbl. | No | 14,656 |
| 17 | m | 50 | No | DMT2, 20 y, hypertension, hyperlipoproteinemia | Furosemide 500 mg ¼ tbl, bisoprolol 2.5 mg 1 tbl, atorvastatin 20 mg 1 tbl, perindopril/indapamide 4/1.25 mg 1 tbl, insulin aspart/protamine 30 2× daily, insulin aspart with lunch, dulaglutide 1.5 mg once weekly, dapagliflozin 10 mg 2 × 1 tbl. | No | 1228 |
| 18 | m | 68 | No | DMT2, 15 y, hypertension, hyperlipoproteinemia | Gliclazide 60 mg 1 tbl, dulaglutide 1.5 mg once weekly, dapagliflozin/metformin 5/1000 mg 2 × 1, pioglitazone 30 mg, metformin 1000 mg 1 tbl after dinner, rosuvastatin 20 mg, perindopril/indapamide 8/2.5 mg | No | 1001 |
| 19 | m | 59 | No | DMT2, 15 y, hypertension 15 y, osteoarthritis | Furosemide 40 mg 2–3× in week, atorvastatin 20 mg, gliclazide 60 mg ½ tbl, dulaglutide 1.5 mg once weekly, metformin 1000 mg 2 × 1 tbl, perindopril/amlodipine 10/5 mg 1 tbl, bisoprolol 5 mg 1 tbl | No | 1588 |
| 20 | f | 61 | No | Hyperlipoproteinemia (new diagnosis) | None | Colon 14 y ago and nose carcinoma 4 y ago | 1581 |
| 21 | m | 41 | Yes | DMT2, 20 y and hypertension 20 y, hyperlipoproteinemia | Dulaglutide 1.5 mg once weekly, glargine 30 j s.c., metformin 2000 mg, furosemide 40 mg 1 tbl, perindopril/indapamide/amlodipine 8/2.5/10 mg 1 tbl, moxonidine 0.2 mg 1 tbl, fenofibrate/simvastatin 145/40 mg 1 tbl | Fibroadenoma | 1538 |
| 22 | f | 64 | No | DMT2, 20 y and hypertension 20 y, hyperlipoproteinemia | Dulaglutide 1.5 mg once weekly, glargine 32 j in 21 h, metformin 1000 mg 2 × 1 tbl, levothyroxine 175 µg 1 tbl, furosemide 40 mg 1,0,0, KCl 500 mg 1,0,0, perindopril/indapamide/amlodipine 8/2.5/10 mg 1 tbl, moxonidine 0.2 mg 0,1,0, fenofibrate/simvastatin 40/145 mg 0,0,1, pantoprazole 40 mg 1,0,0, fluoxetine 20 mg 1 tbl, oxazepam 10 mg 0,0,1, cholecalciferol D3 8 drops, Mg 375 mg, beclometasone/formoterol 100/67 µg pp, lactulose sol 15 mL pp, trimetazidine MR tbl 35 mg 2 × 1. | Thyroid tumor 10 y ago | 1402 |
| 23 | f | 64 | No | DMT2, 20 y and hypertension 20 y, hyperlipoproteinemia | semaglutide 1 mg s.c. once weekly, glargine 35 j in 21 h, metformin 1000 mg 2 × 1 tbl, levothyroxine 175 µg 1 tbl, montelukastum 10 mg 1 tbl, desloratadine 1 tbl, furosemide 40 mg 1,0,0, KCl 500 mg 1,0,0, perindopril/indapamide/amlodipine 8/2.5/10 mg 1 tbl, moxonidine 0.2 mg 0,1,0, fenofibrate/simvastatin 40/145 mg 0,0,1, pantoprazole 40 mg 1,0,0, fluoxetine 20 mg 0,0,1, oxazepam 10 mg 0,0,1, cholecalciferol D3 8 drops, Mg 375 mg, beclometasone/formoterol 2 inh100/67 µg pp, lactulose sirup 15 mL pp; trimetazidine MR tbl 35 mg 2 × 1. | Thyroid tumor 10 y ago | 1488 |
| 24 | m | 42 | No | Hypertension, hyperlipoproteinemia, hyperuricemia | nebivolol 5 mg 1 tbl, torasemide 10 mg 1 tbl weekly, allopurinol 100 mg 1 tbl. | No | 1978 |
| 25 | f | 58 | No | DMT2, Hypertension, Coronary artery disease, Atrial fibrillation, post coronary angioplasty and stents, hyperlipoproteinemia, hyperuricemia | dabigatran 110 mg 2 × 1 tbl, bisoprolol COR 2.5 mg 2 × 1 tbl, valsartan/hydrochlorothiazide 160/12.5 mg 1 tbl, clopidogrel 75 mg 1 tbl, furosemide 40 mg 1 tbl, KCl 500 mg 1 tbl, amiodarone 200 mg 1 tbl rosuvastatin 10 mg 1 tbl, metformin XR 750 mg 1 tbl. | No | 1935 |
| 26 | f | 60 | No | DMT2, Hypertension, hyperlipoproteinemia, Hypothyreosis | semaglutide 1 mg s.c. once weekly, metformin 1000 mg 1 tbl, levothyroxine 150 µg 1/2 tbl, febuxostat 120 mg 1 tbl, perindopril/indapamide/amlodipine 5/1.25/10 mg 1 tbl, bisoprolol 2.5 mg 1 tbl, atorvastatin 20 mg 1 tbl | No | 1651 |
| Reference Intervals (Range) | Baseline/Week 0 Mean ± SD, SE, Median, Range | Post-Diet/Week 3 Mean ± SD, SE, Median, Range | p-Value | ||
|---|---|---|---|---|---|
| Anthropometric measures | Weight/kg | 134.86 ± 16.61, 3.30, 131.15, 111–183.60 | 126.48 ± 15.81, 3.10, 121.75,105.70–172.30 | p = 0.029255 * | |
| W-HR/ratio | 1.04 ± 0.12, 0.02, 1.06,0.70–1.28 | 1.10 ± 0.09, 0.02, 1.09,0.94–1.29 | p = 0.046439 * | ||
| BMI/kg m−2 | 47.43 ± 6.00, 1.18, 49.45, 35.70–57.50 | 44.49 ± 5.80, 1.14, 46.05, 33.60–54.90 | p = 0.057755 | ||
| SMM/kg | 40.39 ± 7.19, 1.41, 38.05, 30.5–54.20 | 37.90 ± 7.00, 1.37, 36.35, 28.60–52.40 | p = 0.146747 | ||
| BFM/kg | 63.74 ± 12.46, 2.44, 64.90, 40.40–90.30 | 59.50 ± 12.55, 2.46, 61.35, 35–82 | p = 0.211910 | ||
| PBF, % | 46.83 ± 7.53, 1.48, 46.35, 33.50–64.50 | 46.07 ± 8.16, 1.60, 47.50, 30.70–62.70 | p = 0.737078 | ||
| BMR/kcal day−1 | 1906.04 ± 254.20, 49.85, 1817.50, 1551–2385 | 1816.88 ± 246.67, 48.38, 1764.50, 1484–2320 | p = 0.157311 | ||
| VFL | 0–35 range | 19.58 ± 1.10, 0.22, 20, 16–20 | 19.58 ± 1.27, 0.25, 20, 15–20 | p = 0.9 | |
| Calorie intake/kcal day−1 | 2117.65 ± 2614.28, 512.70, 1605.00, 497–14,656- | ||||
| Biochemical measures | Glucose | 4.40–6.40 mmol L−1 | 8.07 ± 2.78, 0.54, 7.50,5.30–19.10 | 6.54 ± 1.79, 0.35, 5.50,4.80–11.50 | p = 0.004524 * |
| Urea | 2.80–8.30 mmol L−1 | 7.03 ± 3.32, 0.65, 5.95,3.90–18.70 | 5.51 ± 2.72, 0.53, 4.70,2.40–12.40 | p = 0.013070 * | |
| TC | <5.00 mmol L−1 | 5.42 ± 1.45, 0.28, 5.30,3.00–10.10 | 4.08 ± 1.32, 0.26, 3.95,2.30–6.60 | p = 0.001851 * | |
| HDL-C | >1.20 mmol L−1 | 1.23 ± 0.35, 0.07, 1.15,0.80–2.10 | 0.99 ± 0.27, 0.05, 0.90,0.60–1.60 | p = 0.010357 * | |
| LDL-C | <3.00 mmol L−1 | 3.30 ± 1.29, 0.25, 3.10,1.00–7.70 | 2.29 ± 1.13, 0.22, 2.25,0.80–4.60 | p = 0.004262 * | |
| TG | <1.70 mmol L−1 | 2.18 ± 0.79, 0.15, 2.10,0.80–3.70 | 1.72 ± 0.59, 0.12, 1.65,0.70–3.00 | p = 0.029221 * | |
| Insulin/mIU L−1 | 16.75 ± 6.98, 1.37, 16.35, 4.30–31.20 | 13.35 ± 7.77, 1.52, 11.59, 2.30–31.50 | p = 0.058176 | ||
| HOMA-IR/molar units | 6.35 ± 3.99, 0.78, 5.05, 1.40–17.70 | 4.08 ± 3.33, 0.65, 3.05, 0.50–16.10 | p = 0.007332 * | ||
| TSH | 0.35–4.94 mIU L−1 | 1.91 ± 1.13, 0.22, 1.68, 0.08–5.72 | 1.38 ± 0.92, 0.18, 1.15, 0.03–3.24 | p = 0.131075 | |
| fT4 | 9.00–19.05 pmol L−1 | 13.70 ± 2.00, 0.39, 13.85, 9.48–18.57 | 15.75 ± 3.82, 0.75, 14.06, 11.61–25.93 | p = 0.080455 | |
| fT3 | 2.63–5.70 pmol L−1 | 3.99 ± 0.81, 0.16, 4.00, 2.64–5.59 | 3.87 ± 0.74, 0.14, 3.88, 2.53–5.11 | p = 0.682996 | |
| leuk | 3.40–9.70 × 109 L−1 | 8.07 ± 2.23, 0.44, 7.31, 5.06–14.13 | 7.02 ± 1.56, 0.31, 6.92, 4.73–11.11 | p = 0.113943 | |
| CRP | <5.00 mg L−1 | 9.66 ± 8.12, 1.59, 6.63, 1.68–31.16 | 8.62 ± 8.11, 1.59, 7.00, 0.68–29.93 | p = 0.495734 | |
| n | Weight/kg | SMM (diff) | BFM (diff) | PBF (diff) | BMI (diff) | BMR (diff) | W-HR (diff) | VFL (diff) |
|---|---|---|---|---|---|---|---|---|
| 1 | 128.60→121.60 (7, 5.44%, >10%) | 34.90→33.80 (1.10) | 66.90→61.30 (5.60) | 52.10→50.40 (1.70) | 50.90→48.10 (2.80) | 1702→1673 (29) | 0.92→0.98 (−0.06) | 20→20 (0) |
| 2 | 154.70→140.30 (14.40, 9.30%, ~20%) | 52.20→48.30 (3.90) | 63.4→56.20 (7.20) | 41.00→40.1 (0.90) | 54.20→49.10 (5.10) | 2341→2150 (191) | 0.84→0.99 (−0.15) | 19→20 (−1) |
| 3 | 143.50→131.60 (11.90, 8.30%, ~20%) | 38.30→33.50 (4.80) | 76.40→71.60 (4.80) | 53.20→54.40 (−1.20) | 56.10→51.40 (4.70) | 1820→1666 (154) | 0.70→1.03 (−0.33) | 16→20 (−4) |
| 4 | 133.60→125.80 (7.80, 5.80%, ~13%) | 44.40→41.30 (3.10) | 55.90→53.00 (2.90) | 41.80→42.20 (−0.40) | 41.70→39.30 (2.40) | 2049→1942 (107) | 1.14→1.19 (−0.05) | 20→20 (0) |
| 5 | 145.20→131.30 (13.90, 9.60%, ~20%) | 46.40→38.00 (8.40) | 64.20→64.30 (−0.10) | 44.20→49.00 (−4.80) | 50.20→45.40 (4.80) | 2120→1817 (303) | 1.01→1.25 (−0.24) | 20→20 (0) |
| 6 | 126.50→121.70 (4.80, 3.80%, ~10%) | 31.80→30.80 (1.00) | 69.80→66.60 (3.20) | 55.20→54.70 (0.50) | 50.00→48.10 (1.90) | 1594→1560 (34) | 1.07→1.08 (−0.01) | 20→20 (0) |
| 7 | 183.60→172.30 (11.30, 6.20%, >10%) | 54.20→52.40 (1.80) | 90.30→82.00 (8.30) | 49.20→47.60 (1.60) | 54.80→51.40 (3.40) | 2385→2320 (65) | 1.15→1.23 (−0.08) | 20→20 (0) |
| 8 | 118.70→111.90 (6.80, 5.70%, ~13%) | 44.90→43.20 (1.70) | 40.50→36.60 (3.90) | 34.10→32.70 (1.40) | 37.50→35.30 (2.20) | 2060→1997 (63) | 1.15→1.15 (0.00) | 19→18 (1) |
| 9 | 150.70→141.50 (9.20, 6.10%, >10%) | 49.30→47.30 (2.00) | 65.60→59.70 (5.90) | 43.50→42.20 (1.30) | 49.80→46.70 (3.10) | 2209→2136 (73) | 1.02→1.07 (−0.05) | 20→20 (0) |
| 10 | 131.60→120.70 (10.90, 8.30%, ~22%) | 35.80→31.80 (4.00) | 66.80→63.20 (3.60) | 50.80→52.30 (−1.50) | 46.60→42.80 (3.80) | 1769→1613 (156) | 0.96→1.09 (−0.13) | 20→20 (0) |
| 11 | 145.30→138.80 (6.50, 4.50%, >10%) | 37.80→36.30 (1.50) | 78.40→74.00 (4.40) | 54.00→53.30 (0.70) | 57.50→54.90 (2.60) | 1815→1770 (45) | 1.01→0.94 (0.07) | 20→20 (0) |
| 12 | 128.00→117.30 (10.70, 8.40%, ~27%) | 48.00→45.90 (2.10) | 43.80→36.80 (7.00) | 34.30→31.40 (2.90) | 41.30→37.90 (3.40) | 2188→2109 (79) | 0.91→0.97 (−0.06) | 16→15 (1) |
| 13 | 137.30→131.60 (5.70, 4.20%, ~10%) | 34.00→32.30 (1.70) | 76.70→73.90 (2.80) | 55.90→56.20 (−0.30) | 51.70→49.50 (2.20) | 1679→1616 (63) | 1.04→1.11 (−0.07) | 20→20 (0) |
| 14 | 111.00→105.70 (5.30, 4.80%, 11%) | 30.50→28.60 (1.90) | 56.30→54.10 (2.20) | 50.80→51.20 (−0.40) | 45.00→42.90 (2.10) | 1551→1484 (67) | 0.96→1.00 (−0.04) | 20→20 (0) |
| 15 | 130.70→120.50 (10.20, 7.80%, <22%) | 40.30→37.70 (2.60) | 59.70→54.10 (5.60) | 45.70→44.90 (0.80) | 44.70→41.20 (3.50) | 1903→1804 (99) | 1.17→1.20 (−0.03) | 20→20 (0) |
| 16 | 139.10→132.80 (6.30, 4.50%, 10%) | 37.60→36.40 (1.20) | 72.90→68.50 (4.40) | 52.40→51.60 (0.80) | 50.50→48.20 (2.30) | 1799→1759 (40) | 1.02→1.08 (−0.05) | 20→20 (0) |
| 17 | 120.80→114.10 (6.70, 5.60%, 18%) | 46.00→44.80 (1.20) | 40.40→35.00 (5.40) | 33.50→30.70 (2.80) | 35.70→33.70 (2.00) | 2106→2078 (28) | 1.10→1.09 (0.01) | 19→16 (3) |
| 18 | 121.70→114.70 (7.00, 5.80%, ~11%) | 33.00→32.00 (1.00) | 62.60→57.50 (5.10) | 51.40→50.10 (1.30) | 43.60→41.10 (2.50) | 1647→1606 (41) | 1.16→1.21 (−0.05) | 20→20 (0) |
| 19 | 119.40→110.20 (9.20, 7.70%, <35%) | 41.50→39.00 (2.50) | 45.90→40.80 (5.10) | 38.40→37.00 (1.40) | 36.40→33.60 (2.80) | 1958→1869 (89) | 1.13→1.18 (−0.05) | 20→20 (0) |
| 20 | 116.50→109.40 (7.10, 6.10%, >13%) | 33.90→31.50 (2.40) | 54.70→51.90 (2.80) | 47.00→47.40 (−0.40) | 41.30→38.80 (2.50) | 1704→1613 (91) | 0.94→1.08 (−0.14) | 20→20 (0) |
| 21 | 140.40→129.20 (11.20, 8.00%, <22%) | 48.30→45.80 (2.50) | 56.60→49.40 (7.20) | 40.30→38.30 (2.00) | 43.80→40.30 (3.50) | 2180→2093 (87) | 1.07→1.05 (0.02) | 20→20 (0) |
| 22 | 133.60→126.40 (7.20, 5.40%, >10%) | 35.60→33.50 (2.10) | 70.00→66.50 (3.50) | 52.40→52.60 (−0.20) | 52.20→49.40 (2.80) | 1744→1664(80) | 0.89→1.01 (−0.12) | 20→20 (0) |
| 23 | 125.60→121.80 (3.80, 3.00%, 6.16%) | 33.30→31.90 (1.40) | 66.60→64.90 (1.70) | 43.60→42.10 (1.50) | 49.10→47.60 (1.50) | 1645→1598(47) | 1.08→1.05 (0.03) | 20→20 (0) |
| 24 | 170.50→163.40 (7.10, 4.20%, 8.18%) | 51.00→49.60 (1.40) | 82.60→78.00 (4.60) | 64.50→62.70 (1.80) | 50.90→48.80 (2.10) | 2269→2216(53) | 1.27→1.29 (−0.02) | 20→20 (0) |
| 25 | 127.20→117.80 (9.40, 7.40%, 14.34%) | 33.50→30.50 (3.00) | 68.00→63.70 (4.30) | 43.90→39.90 (4.00) | 51.60→47.80 (3.80) | 1648→1538(110) | 1.14→1.19 (−0.05) | 20→20 (0) |
| 26 | 122.50→112.60 (9.90, 8.10%, 17.66%) | 33.60→30.40 (3.20) | 62.20→58.10 (4.10) | 44.50→40.10 (4.40) | 46.10→42.40 (3.7) | 1672→1548(124) | 1.07→1.16 (−0.09) | 20→20 (0) |
| Parameter | Before | After | p Value |
|---|---|---|---|
| Mean ± SD (SE), Median, Range | Mean ± SD (SE), Median, Range | ||
| MN1 | 18.69 ± 9.04 (1.77), 18, 6–35 | 9.50 ± 5.05 (0.99), 9, 2–22 | |
| No BN with MN | 19.62 ± 9.02 (1.77), 19.50, 6–35 | 9.88 ± 5.18 (1.02), 9.50, 2–23 | |
| MNi total | 20.85 ± 8.97 (1.76), 20, 6–38 | 10.35 ± 5.47(1.07), 10, 2–24 | |
| BN with 1NB | 5.81 ± 5.69 (1.11), 4.50, 0–28 | 3.00 ± 1.96(0.38), 3, 0–7 | |
| BN with >1NB | 0.46 ± 1.42 (0.28), 0, 0–7 | 0 | |
| No BN with NB | 6.27 ± 6.87 (1.35), 5, 0–35 | 3.00 ± 1.96(0.38), 3, 0–4 | |
| NBs total | 6.73 ± 8.13 (1.59), 5, 0–42 | 3.00 ± 1.96(0.38), 3, 0–7 | |
| NPBs total | 13.73 ± 10.72 (2.10), 10, 1–34 | 5.50 ± 4.46 (0.87), 4.5, 0–16 | |
| M1 | 716.92 ± 223 (43.73), 826, 197–912 | 681.85 ± 191.33 (37.52), 743, 260–922 | 0.301108 |
| M2 | 223.58 ± 139.86 (27.43), 155, 84–504 | 262.92 ± 138.73 (27.21), 244, 72–509 | 0.260328 |
| M3 | 25.08 ± 32.54 (6.38), 9, 1–97 | 25.23 ± 26.12 (5.12), 14, 2–103 | 0.713974 |
| M4 | 33.62 ± 59.71 (11.71), 7, 0–214 | 29.23 ± 37.26 (7.31), 8, 0–136 | 0.790038 |
| NDI | 1.37 ± 0.37 (0.07), 1.2, 1.09–2.32 | 1.40 ± 0.28 (0.06), 1.30, 1.09–2.12 | 0.420625 |
| Freq necrosis | 5.65 ± 9.94 (1.95), 0, 0–33 | 4 ± 6.58 (1.29), 0, 0–22 | 0.950682 |
| MN | NB | NPB | Apoptotic Frequency | |
|---|---|---|---|---|
| Mean ± SD, SE, Median, Range | ||||
| Two age categories | ||||
| >60, n = 12 | 11.29 ± 4.59, 1.33, 10.75, 3–17.50 | 4.46 ± 5.71, 1.65, 2.50, 0.50–21 | 6.46 ± 5.36, 1.55, 4.25, 0.50–16 | 8.75 ± 8.09, 2.34, 6.50, 0–26 |
| <60, n = 14 | 9.68 ± 4.42, 1.18, 10, 4–19 | 2.43 ± 1.47, 0.39, 0–5 | 7.21 ± 5.54, 1.48, 6, 1–17 | 11.36 ± 9.86, 2.63, 10, 2–42 |
| Three age categories | ||||
| 41–50 y, n = 6 | 10 ± 4.32, 1.77, 11.50, 4.50–14.50 | 2.92 ± 1.80, 0.74, 2.75, 1–5 | 9.25 ± 6.69, 2.73, 9.50, 1–17 | 9.50 ± 5.89, 2.40, 10, 2–18 |
| 51–59 y, n = 8 | 9.44 ± 4.78, 1.69, 8.75, 4–19 | 2.06 ± 1.15, 0.41, 2, 0–3.50 | 5.69 ± 4.33, 1.53, 4.25, 1.50–14.50 | 12.75 ± 12.27, 4.43, 10, 3–42 |
| 60–68 y, n = 12 | 11.29 ± 4.59, 1.33, 10.75, 3–17.50 | 4.46 ± 5.71, 1.65, 2.50, 0.50–21 | 6.46 ± 5.36, 1.55, 4.25, 0.5–16 | 8.75 ± 8.09, 2.34, 6.50, 0–26 |
| MN | NB | NPB | Apoptotic Frequency | |
|---|---|---|---|---|
| Mean ± SD, SE, Median, Range | ||||
| Higher (H)/Lower (L) GSH levels | ||||
| H, n = 13 | 8.69 ± 4.07, 1.13, 10, 3–15 | 2 ± 1.59, 0.44, 1.50, 0–5 | 5.27 ± 4, 1.11, 4, 1–14.50 | 12.15 ± 11.06, 8, 3.07, 3–42 |
| L, n = 13 | 12.15 ± 4.35, 1.21, 12, 6.5–19 | 4.73 ± 5.27,1.46, 3, 1.5–21 | 8.46 ± 6.19, 1.72, 8.50, 0.50–17 | 8.15 ± 6.16, 1.71, 12, 0–23 |
Publisher’s Note: MDPI stays neutral with regard to jurisdictional claims in published maps and institutional affiliations. |
© 2021 by the authors. Licensee MDPI, Basel, Switzerland. This article is an open access article distributed under the terms and conditions of the Creative Commons Attribution (CC BY) license (https://creativecommons.org/licenses/by/4.0/).
Share and Cite
Ožvald, I.; Božičević, D.; Duh, L.; Vinković Vrček, I.; Pavičić, I.; Domijan, A.-M.; Milić, M. Effects of a 3-Week Hospital-Controlled Very-Low-Calorie Diet in Severely Obese Patients. Nutrients 2021, 13, 4468. https://doi.org/10.3390/nu13124468
Ožvald I, Božičević D, Duh L, Vinković Vrček I, Pavičić I, Domijan A-M, Milić M. Effects of a 3-Week Hospital-Controlled Very-Low-Calorie Diet in Severely Obese Patients. Nutrients. 2021; 13(12):4468. https://doi.org/10.3390/nu13124468
Chicago/Turabian StyleOžvald, Ivan, Dragan Božičević, Lidija Duh, Ivana Vinković Vrček, Ivan Pavičić, Ana-Marija Domijan, and Mirta Milić. 2021. "Effects of a 3-Week Hospital-Controlled Very-Low-Calorie Diet in Severely Obese Patients" Nutrients 13, no. 12: 4468. https://doi.org/10.3390/nu13124468
APA StyleOžvald, I., Božičević, D., Duh, L., Vinković Vrček, I., Pavičić, I., Domijan, A.-M., & Milić, M. (2021). Effects of a 3-Week Hospital-Controlled Very-Low-Calorie Diet in Severely Obese Patients. Nutrients, 13(12), 4468. https://doi.org/10.3390/nu13124468

