Gender Differences with Dose–Response Relationship between Serum Selenium Levels and Metabolic Syndrome—A Case-Control Study
Abstract
1. Introduction
2. Materials and Methods
2.1. Study Subjects
2.2. Definition of Metabolic Syndrome
2.3. Blood Analysis
2.4. Statistical Analysis
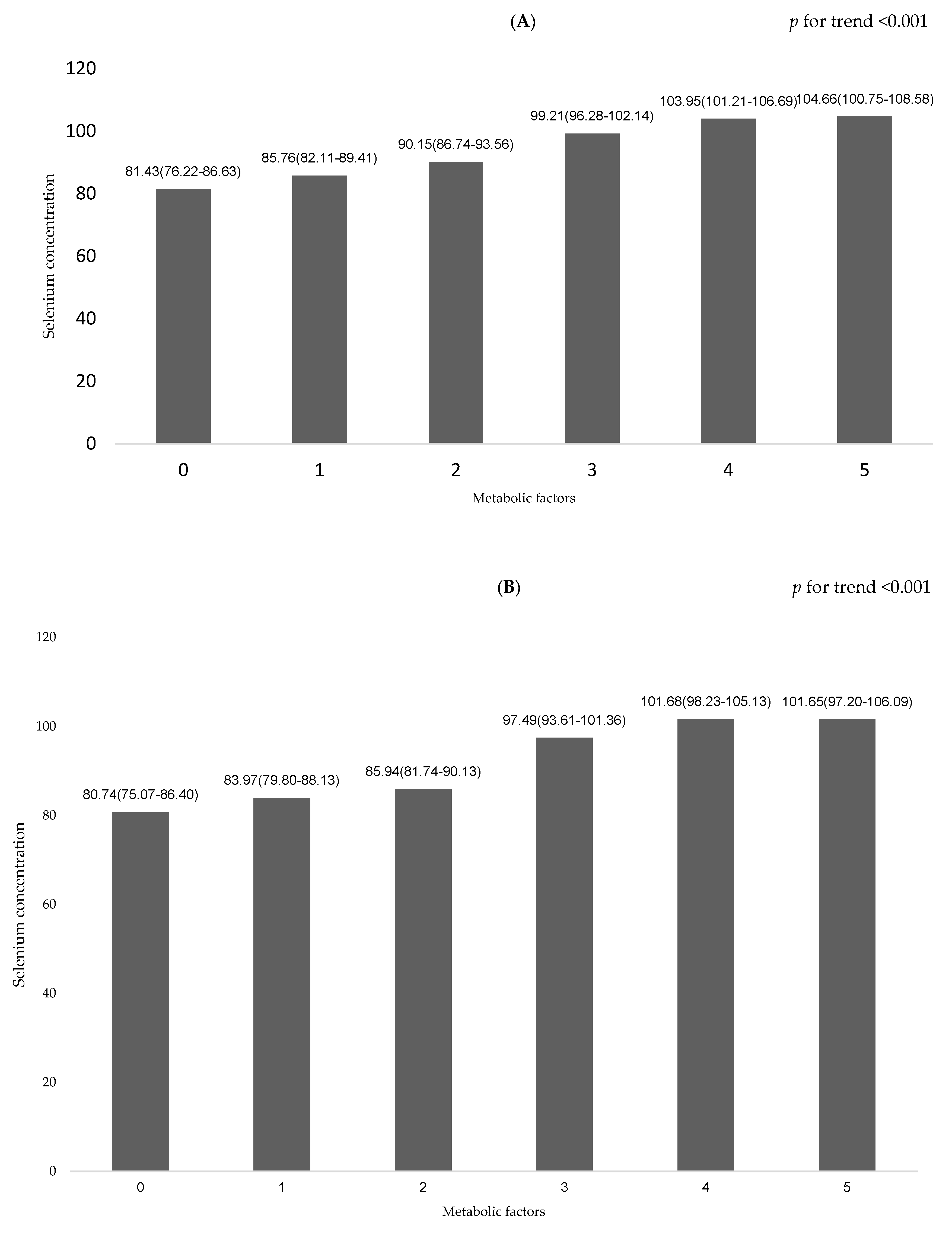
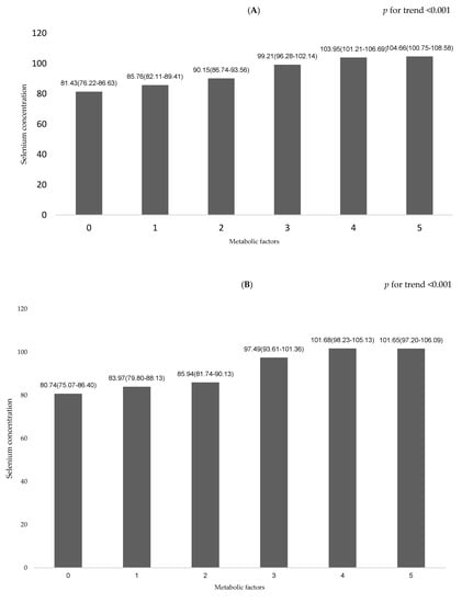
3. Results
4. Discussion
Author Contributions
Funding
Acknowledgments
Conflicts of Interest
References
- Rayman, M.P. Selenium and human health. Lancet 2012, 379, 1256–1268. [Google Scholar] [CrossRef]
- Reeves, M.A.; Hoffmann, P.R. The human selenoproteome: Recent insights into functions and regulation. Cell. Mol. Life Sci. 2009, 66, 2457–2478. [Google Scholar] [CrossRef] [PubMed]
- Burk, R.F.; Hill, K.E. Selenoprotein P-expression, functions, and roles in mammals. Biochim. Biophys. Acta 2009, 1790, 1441–1447. [Google Scholar] [CrossRef] [PubMed]
- Matsuda, M.; Shimomura, I. Increased oxidative stress in obesity: Implications for metabolic syndrome, diabetes, hypertension, dyslipidemia, atherosclerosis, and cancer. Obes. Res. Clin. Pract. 2013, 7, e330–e341. [Google Scholar] [CrossRef] [PubMed]
- Stranges, S.; Galletti, F.; Farinaro, E.; D’Elia, L.; Russo, O.; Iacone, R.; Capasso, C.; Carginale, V.; De Luca, V.; Della Valle, E.; et al. Associations of selenium status with cardiometabolic risk factors: An 8-year follow-up analysis of the Olivetti Heart study. Atherosclerosis 2011, 217, 274–278. [Google Scholar] [CrossRef] [PubMed]
- Lu, C.W.; Chang, H.H.; Yang, K.C.; Kuo, C.S.; Lee, L.T.; Huang, K.C. High serum selenium levels are associated with increased risk for diabetes mellitus independent of central obesity and insulin resistance. BMJ Open Diabetes Res. Care 2016, 4, e000253. [Google Scholar] [CrossRef] [PubMed]
- Ogawa-Wong, A.N.; Berry, M.J.; Seale, L.A. Selenium and Metabolic Disorders: An Emphasis on Type 2 Diabetes Risk. Nutrients 2016, 8, 80. [Google Scholar] [CrossRef] [PubMed]
- Kohler, L.N.; Florea, A.; Kelley, C.P.; Chow, S.; Hsu, P.; Batai, K.; Saboda, K.; Lance, P.; Jacobs, E.T. Higher Plasma Selenium Concentrations Are Associated with Increased Odds of Prevalent Type 2 Diabetes. J. Nutr. 2018, 148, 1333–1340. [Google Scholar] [CrossRef] [PubMed]
- Vinceti, M.; Filippini, T.; Rothman, K.J. Selenium exposure and the risk of type 2 diabetes: A systematic review and meta-analysis. Eur. J. Epidemiol. 2018, 33, 789–810. [Google Scholar] [CrossRef] [PubMed]
- Christensen, K.; Werner, M.; Malecki, K. Serum selenium and lipid levels: Associations observed in the National Health and Nutrition Examination Survey (NHANES) 2011–2012. Environ. Res. 2015, 140, 76–84. [Google Scholar] [CrossRef] [PubMed]
- Stranges, S.; Sieri, S.; Vinceti, M.; Grioni, S.; Guallar, E.; Laclaustra, M.; Muti, P.; Berrino, F.; Krogh, V. A prospective study of dietary selenium intake and risk of type 2 diabetes. BMC Public Health 2010, 10, 564. [Google Scholar] [CrossRef] [PubMed]
- Park, K.; Rimm, E.B.; Siscovick, D.S.; Spiegelman, D.; Manson, J.E.; Morris, J.S.; Hu, F.B.; Mozaffarian, D. Toenail selenium and incidence of type 2 diabetes in U.S. men and women. Diabetes Care 2012, 35, 1544–1551. [Google Scholar] [CrossRef] [PubMed]
- Stranges, S.; Marshall, J.R.; Natarajan, R.; Donahue, R.P.; Trevisan, M.; Combs, G.F.; Cappuccio, F.P.; Ceriello, A.; Reid, M.E. Effects of long-term selenium supplementation on the incidence of type 2 diabetes: A randomized trial. Ann. Intern. Med. 2007, 147, 217–223. [Google Scholar] [CrossRef] [PubMed]
- Wang, X.L.; Yang, T.B.; Wei, J.; Lei, G.H.; Zeng, C. Association between serum selenium level and type 2 diabetes mellitus: A non-linear dose-response meta-analysis of observational studies. Nutr. J. 2016, 15, 48. [Google Scholar] [CrossRef] [PubMed]
- Yuan, Z.; Xu, X.; Ye, H.; Jin, L.; Zhang, X.; Zhu, Y. High levels of plasma selenium are associated with metabolic syndrome and elevated fasting plasma glucose in a Chinese population: A case-control study. J. Trace. Elem. Med. Biol. 2015, 32, 189–194. [Google Scholar] [CrossRef] [PubMed]
- Arnaud, J.; de Lorgeril, M.; Akbaraly, T.; Salen, P.; Arnout, J.; Cappuccio, F.P.; van Dongen, M.C.; Donati, M.B.; Krogh, V.; Siani, A.; et al. Gender differences in copper, zinc and selenium status in diabetic-free metabolic syndrome European population—The IMMIDIET study. Nutr. Metab. Cardiovasc. Dis. 2012, 22, 517–524. [Google Scholar] [CrossRef] [PubMed]
- Obeid, O.; Elfakhani, M.; Hlais, S.; Iskandar, M.; Batal, M.; Mouneimne, Y.; Adra, N.; Hwalla, N. Plasma copper, zinc, and selenium levels and correlates with metabolic syndrome components of lebanese adults. Biol. Trace. Elem. Res. 2008, 123, 58–65. [Google Scholar] [CrossRef] [PubMed]
- Ford, E.S.; Mokdad, A.H.; Giles, W.H.; Brown, D.W. The metabolic syndrome and antioxidant concentrations: Findings from the Third National Health and Nutrition Examination Survey. Diabetes 2003, 52, 2346–2352. [Google Scholar] [CrossRef] [PubMed]
- Zhong, Q.; Lin, R.; Nong, Q. Adiposity and Serum Selenium in U.S. Adults. Nutrients 2018, 10, 727. [Google Scholar] [CrossRef] [PubMed]
- Gonzalez-Estecha, M.; Palazon-Bru, I.; Bodas-Pinedo, A.; Trasobares, E.; Palazon-Bru, A.; Fuentes, M.; Cuadrado-Cenzual, M.A.; Calvo-Manuel, E. Relationship between serum selenium, sociodemographic variables, other trace elements and lipid profile in an adult Spanish population. J. Trace. Elem. Med. Biol. 2017, 43, 93–105. [Google Scholar] [CrossRef] [PubMed]
- Stranges, S.; Laclaustra, M.; Ji, C.; Cappuccio, F.P.; Navas-Acien, A.; Ordovas, J.M.; Rayman, M.; Guallar, E. Higher selenium status is associated with adverse blood lipid profile in British adults. J. Nutr. 2010, 140, 81–87. [Google Scholar] [CrossRef] [PubMed]
- Rayman, M.P.; Stranges, S.; Griffin, B.A.; Pastor-Barriuso, R.; Guallar, E. Effect of supplementation with high-selenium yeast on plasma lipids: A randomized trial. Ann. Intern. Med. 2011, 154, 656–665. [Google Scholar] [CrossRef] [PubMed]
- Cold, F.; Winther, K.H.; Pastor-Barriuso, R.; Rayman, M.P.; Guallar, E.; Nybo, M.; Griffin, B.A.; Stranges, S.; Cold, S. Randomised controlled trial of the effect of long-term selenium supplementation on plasma cholesterol in an elderly Danish population. Br. J. Nutr. 2015, 114, 1807–1818. [Google Scholar] [CrossRef] [PubMed]
- Matthews, D.R.; Hosker, J.P.; Rudenski, A.S.; Naylor, B.A.; Treacher, D.F.; Turner, R.C. Homeostasis model assessment: Insulin resistance and beta-cell function from fasting plasma glucose and insulin concentrations in man. Diabetologia 1985, 28, 412–419. [Google Scholar] [CrossRef] [PubMed]
- Seale, L.A.; Hashimoto, A.C.; Kurokawa, S.; Gilman, C.L.; Seyedali, A.; Bellinger, F.P.; Raman, A.V.; Berry, M.J. Disruption of the selenocysteine lyase-mediated selenium recycling pathway leads to metabolic syndrome in mice. Mol. Cell. Biol. 2012, 32, 4141–4154. [Google Scholar] [CrossRef] [PubMed]
- Wang, X.; Zhang, W.; Chen, H.; Liao, N.; Wang, Z.; Zhang, X.; Hai, C. High selenium impairs hepatic insulin sensitivity through opposite regulation of ROS. Toxicol. Lett. 2014, 224, 16–23. [Google Scholar] [CrossRef] [PubMed]
- McClung, J.P.; Roneker, C.A.; Mu, W.; Lisk, D.J.; Langlais, P.; Liu, F.; Lei, X.G. Development of insulin resistance and obesity in mice overexpressing cellular glutathione peroxidase. Proc. Natl. Acad. Sci. USA 2004, 101, 8852–8857. [Google Scholar] [CrossRef] [PubMed]
- Hellwege, J.N.; Palmer, N.D.; Ziegler, J.T.; Langefeld, C.D.; Lorenzo, C.; Norris, J.M.; Takamura, T.; Bowden, D.W. Genetic variants in selenoprotein P plasma 1 gene (SEPP1) are associated with fasting insulin and first phase insulin response in Hispanics. Gene 2014, 534, 33–39. [Google Scholar] [CrossRef] [PubMed]
- Wang, X.D.; Vatamaniuk, M.Z.; Wang, S.K.; Roneker, C.A.; Simmons, R.A.; Lei, X.G. Molecular mechanisms for hyperinsulinaemia induced by overproduction of selenium-dependent glutathione peroxidase-1 in mice. Diabetologia 2008, 51, 1515–1524. [Google Scholar] [CrossRef] [PubMed]
- Schomburg, L.; Schweizer, U. Hierarchical regulation of selenoprotein expression and sex-specific effects of selenium. Biochim. Biophys. Acta 2009, 1790, 1453–1462. [Google Scholar] [CrossRef] [PubMed]
- Misu, H.; Takamura, T.; Takayama, H.; Hayashi, H.; Matsuzawa-Nagata, N.; Kurita, S.; Ishikura, K.; Ando, H.; Takeshita, Y.; Ota, T.; et al. A liver-derived secretory protein, selenoprotein P, causes insulin resistance. Cell. Metab. 2010, 12, 483–495. [Google Scholar] [CrossRef] [PubMed]
- Meplan, C.; Crosley, L.K.; Nicol, F.; Beckett, G.J.; Howie, A.F.; Hill, K.E.; Horgan, G.; Mathers, J.C.; Arthur, J.R.; Hesketh, J.E. Genetic polymorphisms in the human selenoprotein P gene determine the response of selenoprotein markers to selenium supplementation in a gender-specific manner (the SELGEN study). FASEB J. 2007, 21, 3063–3074. [Google Scholar] [CrossRef] [PubMed]
- Kuzuya, M.; Ando, F.; Iguchi, A.; Shimokata, H. Glutathione peroxidase 1 Pro198Leu variant contributes to the metabolic syndrome in men in a large Japanese cohort. Am. J. Clin. Nutr. 2008, 87, 1939–1944. [Google Scholar] [CrossRef] [PubMed]
- Alanne, M.; Kristiansson, K.; Auro, K.; Silander, K.; Kuulasmaa, K.; Peltonen, L.; Salomaa, V.; Perola, M. Variation in the selenoprotein S gene locus is associated with coronary heart disease and ischemic stroke in two independent Finnish cohorts. Hum. Genet. 2007, 122, 355–365. [Google Scholar] [CrossRef] [PubMed]
- Zhou, J.; Huang, K.; Lei, X.G. Selenium and diabetes—Evidence from animal studies. Free Radic. Biol. Med. 2013, 65, 1548–1556. [Google Scholar] [CrossRef] [PubMed]
- Laclaustra, M.; Stranges, S.; Navas-Acien, A.; Ordovas, J.M.; Guallar, E. Serum selenium and serum lipids in US adults: National Health and Nutrition Examination Survey (NHANES) 2003–2004. Atherosclerosis 2010, 210, 643–648. [Google Scholar] [CrossRef] [PubMed]
- Berthold, H.K.; Michalke, B.; Krone, W.; Guallar, E.; Gouni-Berthold, I. Influence of serum selenium concentrations on hypertension: The Lipid Analytic Cologne cross-sectional study. J. Hypertens. 2012, 30, 1328–1335. [Google Scholar] [CrossRef] [PubMed]
- Kuruppu, D.; Hendrie, H.C.; Yang, L.; Gao, S. Selenium levels and hypertension: A systematic review of the literature. Public Health Nutr. 2014, 17, 1342–1352. [Google Scholar] [CrossRef] [PubMed]
- Rayman, M.P.; Infante, H.G.; Sargent, M. Food-chain selenium and human health: Spotlight on speciation. Br. J. Nutr. 2008, 100, 238–253. [Google Scholar] [CrossRef] [PubMed]



| Quartiles of Serum Selenium Levels | ||||
|---|---|---|---|---|
| Q1 (n = 292) (≤76.0 μg/L) | Q2 (n = 290) (76.1–94.0 μg/L) | Q3 (n = 292) (94.1–113.7 μg/L) | Q4 (n = 291) (>113.7 μg/L) | |
| Gender | ||||
| Female (%) | 208 (71.2) | 208 (71.7) | 167 (57.2) | 164 (56.4) |
| Male (%) | 84 (28.8) | 82 (28.3) | 125 (42.8) | 127 (43.6) |
| Age (years) | 65.8 ± 10.3 | 65.9 ± 9.7 | 66.7 ± 9.6 | 64.9 ± 10.3 |
| BMI (kg/m2) | 24.1 ± 3.5 | 24.8 ± 4.1 | 25.5 ± 4.3 | 26.5 ± 4.5 |
| WC (cm) | 82.9 ± 9.3 | 85.3 ± 10.6 | 87.6 ± 11.0 | 90.8 ± 11.1 |
| Systolic BP | 127.1 ± 16.8 | 128.0 ± 14.7 | 131.4 ± 15.6 | 159.6 ± 9.0 |
| Diastolic BP | 75.6 ± 11.0 | 76.2 ± 9.2 | 76.2 ± 10.1 | 68.0 ± 14.9 |
| TCHO (mmol/L) | 5.28 ± 0.95 | 5.05 ± 1.04 | 4.90 ± 1.03 | 4.59 ± 0.98 |
| TGs (mmol/L) | 1.51 ± 0.93 | 1.58 ± 1.29 | 1.59 ± 0.81 | 1.77 ± 1.23 |
| HDL-C (mmol/L) | 1.35 ± 0.32 | 1.33 ± 0.31 | 1.29 ± 0.35 | 1.25 ± 0.33 |
| LDL-C (mmol/L) | 3.20 ± 0.74 | 3.00 ± 0.80 | 2.94 ± 0.81 | 2.68 ± 0.80 |
| Glu (mmol/L) | 5.89 ± 1.47 | 6.22 ± 1.66 | 6.76 ± 2.06 | 7.23 ± 2.21 |
| Insulin (U/mL) | 8.30 ± 5.86 | 9.35 ± 7.71 | 10.68 ± 8.02 | 13.12 ± 8.71 |
| HOMA-IR | 2.28 ± 2.18 | 2.49 ± 2.74 | 3.09 ± 2.83 | 3.49 ± 3.07 |
| Selenium (µg/L) | 65.13 ± 7.81 | 85.16 ± 5.19 | 104.46 ± 5.59 | 130.66 ± 14.82 |
| Cigarette (%) | 15 (5.1) | 27 (9.3) | 42 (14.4) | 55 (18.9) |
| Alcohol (%) | 21 (7.2) | 32 (11.0) | 46 (15.8) | 53 (18.2) |
| Exercise (%) | 192 (65.8) | 199 (68.6) | 180 (61.6) | 163 (56.0) |
| Diabetes (%) | 76 (26.0) | 114 (39.3) | 183 (62.7) | 247 (84.9) |
| Hypertension (%) | 117 (40.1) | 138 (47.6) | 192 (65.8) | 210 (75.3) |
| Hyperlipidemia (%) | 91 (31.2) | 129 (44.5) | 167 (57.2) | 219 (75.3) |
| Elevated WC (%) * | 141 (48.3) | 172 (59.3) | 173 (59.2) | 220 (75.6) |
| High TG (%) * | 141 (48.3) | 163 (56.2) | 193 (66.1) | 220 (75.6) |
| Low HDL-C (%) * | 111 (38.0) | 114 (39.3) | 112 (38.4) | 132 (45.4) |
| Elevated BP (%) * | 134 (45.9) | 139 (47.9) | 183 (62.7) | 186 (63.9) |
| IFG (%) * | 136 (46.6) | 170 (58.6) | 213 (72.9) | 256 (88.0) |
| Metabolic factors | 2.27 ± 1.49 | 2.61 ± 1.48 | 2.99 ± 1.39 | 3.49 ± 1.20 |
| MetS (%) | 129 (44.2) | 151 (52.1) | 194 (66.4) | 235 (80.8) |
| Quartile of Serum Selenium Levels | |||||
|---|---|---|---|---|---|
| Q1 (n = 292) (≤ 76.0 μg/L) | Q2 (n = 290) (76.1–94.0 μg/L) | Q3 (n = 292) (94.1–113.7 μg/L) | Q4 (n = 291) (>113.7 μg/L) | p-value of Se Tertile | |
| MetS, n (%) | 129 (44.2) | 151 (52.1) | 194 (66.4) | 235 (80.8) | |
| Model 1 | 1.00 | 1.41 (1.01–1.95) | 2.57 (1.83–3.59) | 5.47 (3.75–7.96) | <0.001 |
| Model 2 | 1.00 | 1.42 (1.02–1.98) | 2.39 (1.69–3.37) | 4.96 (3.39–7.28) | <0.001 |
| Model 3 | 1.00 | 1.18 (0.80–1.73) | 1.98 (1.33–2.96) | 3.93 (2.54–6.09) | <0.001 |
| Model 4 | 1.00 | 0.82 (0.52–1.30) | 1.69 (1.03–2.79) | 1.66 (0.88–3.12) | 0.022 |
| WC | Systolic BP | Diastolic BP | lnTG | HDL-C | Fasting Glucose | HOMA-IR | ||||||||
|---|---|---|---|---|---|---|---|---|---|---|---|---|---|---|
| Beta | p | Beta | p | Beta | p | Beta | p | Beta | p | Beta | p | Beta | p | |
| Model 1 | 0.260 | <0.001 | 0.159 | <0.001 | 0.052 | 0.076 | 0.127 | <0.001 | –0.070 | 0.021 | 0.252 | <0.001 | 0.172 | <0.001 |
| Model 2 | 0.284 | <0.001 | 0.118 | <0.001 | 0.029 | 0.313 | 0.075 | 0.010 | –0.002 | 0.940 | 0.210 | <0.001 | 0.135 | 0.001 |
| Model 3 | 0.231 | <0.001 | 0.119 | <0.001 | 0.026 | 0.363 | 0.067 | 0.022 | 0.005 | 0.873 | 0.204 | <0.001 | 0.132 | 0.001 |
| Quartile of Serum Selenium Levels | |||||
|---|---|---|---|---|---|
| Q1 (n = 292) (≤76.0) | Q2 (n = 290) (76.1–94.0) | Q3 (n = 292) (94.1–113.7) | Q4 (n = 291) (>113.7) | p-value of Se | |
| Female | |||||
| MetS, n (%) | 87/207 (40.2) | 107/205 (47.8) | 108/166 (65.1) | 137/164 (83.5) | |
| Model 1 | 1.00 | 1.26 (0.86–1.86) | 2.57 (1.68–3.92) | 7.00 (4.26–11.50) | <0.001 |
| Model 2 | 1.00 | 1.20 (0.81–1.80) | 2.38 (1.55–3.66) | 6.29 (3.78–10.45) | <0.001 |
| Model 3 | 1.00 | 1.03 (0.64–1.65) | 2.10 (1.25–3.52) | 5.33 (2.94–9.66) | <0.001 |
| Male | |||||
| MetS, n (%) | 42/84 (50) | 53/81 (65.4) | 86/123 (69.9) | 98/125 (78.4) | |
| Model 1 | 1.00 | 1.89 (1.01–3.54) | 2.32 (1.31–4.13) | 3.63 (1.99–6.64) | <0.001 |
| Model 2 | 1.00 | 2.14 (1.10–4.15) | 2.59 (1.40–4.79) | 3.08 (1.63–5.83) | 0.001 |
| Model 3 | 1.00 | 1.62 (0.79–3.31) | 1.94 (0.99–3.82) | 2.38 (1.18–4.83) | 0.015 |
| WC | Systolic BP | Diastolic BP | lnTG | HDL-C | Fasting Glucose | HOMA-IR | ||||||||
|---|---|---|---|---|---|---|---|---|---|---|---|---|---|---|
| Beta | p | Beta | p | Beta | p | Beta | p | Beta | p | Beta | p | Beta | p | |
| Female | ||||||||||||||
| Model 1 | 0.266 | <0.001 | 0.197 | <0.001 | 0.077 | 0.035 | 0.184 | <0.001 | –0.067 | <0.001 | 0.271 | <0.001 | 0.192 | <0.001 |
| Model 2 | 0.234 | <0.001 | 0.184 | <0.001 | 0.095 | 0.010 | 0.164 | <0.001 | –0.049 | 0.186 | 0.219 | <0.001 | 0.166 | <0.001 |
| Model 3 | 0.056 | 0.002 | 0.139 | <0.001 | 0.069 | 0.064 | 0.108 | 0.003 | 0.012 | 0.738 | 0.162 | <0.001 | 0.083 | 0.035 |
| Male | ||||||||||||||
| Model 1 | 0.228 | <0.001 | 0.072 | 0.141 | 0.022 | 0.450 | 0.0.39 | 0.430 | –0.078 | 0.111 | 0.230 | <0.001 | 0.129 | 0.048 |
| Model 2 | 0.168 | 0.001 | 0.076 | 0.142 | –0.028 | 0.580 | -0.027 | 0.589 | –0.072 | 0.155 | 0.234 | <0.001 | 0.171 | 0.009 |
| Model 3 | 0.048 | 0.056 | 0.051 | 0.321 | –0.048 | 0.349 | -0.052 | 0.295 | –0.010 | 0.843 | 0.211 | <0.001 | 0.158 | 0.008 |
© 2019 by the authors. Licensee MDPI, Basel, Switzerland. This article is an open access article distributed under the terms and conditions of the Creative Commons Attribution (CC BY) license (http://creativecommons.org/licenses/by/4.0/).
Share and Cite
Lu, C.-W.; Chang, H.-H.; Yang, K.-C.; Chiang, C.-H.; Yao, C.-A.; Huang, K.-C. Gender Differences with Dose–Response Relationship between Serum Selenium Levels and Metabolic Syndrome—A Case-Control Study. Nutrients 2019, 11, 477. https://doi.org/10.3390/nu11020477
Lu C-W, Chang H-H, Yang K-C, Chiang C-H, Yao C-A, Huang K-C. Gender Differences with Dose–Response Relationship between Serum Selenium Levels and Metabolic Syndrome—A Case-Control Study. Nutrients. 2019; 11(2):477. https://doi.org/10.3390/nu11020477
Chicago/Turabian StyleLu, Chia-Wen, Hao-Hsiang Chang, Kuen-Cheh Yang, Chien-Hsieh Chiang, Chien-An Yao, and Kuo-Chin Huang. 2019. "Gender Differences with Dose–Response Relationship between Serum Selenium Levels and Metabolic Syndrome—A Case-Control Study" Nutrients 11, no. 2: 477. https://doi.org/10.3390/nu11020477
APA StyleLu, C.-W., Chang, H.-H., Yang, K.-C., Chiang, C.-H., Yao, C.-A., & Huang, K.-C. (2019). Gender Differences with Dose–Response Relationship between Serum Selenium Levels and Metabolic Syndrome—A Case-Control Study. Nutrients, 11(2), 477. https://doi.org/10.3390/nu11020477

