Abstract
Zenith Tropospheric Delay (ZTD) is a significant source of atmospheric error in the Global Navigation Satellite System (GNSS). Developing a high-accuracy ZTD prediction model is essential for both GNSS positioning and GNSS meteorology. To address the challenges of incomplete information extraction and gradient explosion present in current single and combined neural network models that utilize serial ensemble learning, this study proposes a VMD-Informer-BiLSTM-EAA hybrid model based on a parallel ensemble learning strategy. Additionally, it takes into account the non-stationarity of the ZTD sequence. The model employs the Variational Mode Decomposition (VMD) method to address the non-stationarity of ZTD. It utilizes both the informer and Bidirectional Long Short-Term Memory (BiLSTM) architectures to learn ZTD data in parallel, effectively capturing both long-term trends and short-term dynamic changes. The features are then fused using the Efficient Additive Attention (EAA) mechanism, which assigns weights to create a more comprehensive representation of the ZTD data. This enhanced representation ultimately leads to improved predictions of ZTD values. We fill in the missing parts of the GNSS-derived ZTD using the ZTD data from ERA5, sourced from the IGS stations in the Australian region, specifically at 12 IGS stations. These interpolated data are then used to develop a VMD-Informer-BiLSTM-EAA hybrid model for ZTD predictions with a one-year forecast horizon. We applied this model to predict the ZTD for each IGS station in our study area for the year 2021. The numerical results indicate that our model outperforms several comparative models, such as VMD–Informer, Transformer, BiLSTM and GPT3, based on the following key metrics: a Root Mean Square Error (RMSE) of 1.43 cm, a Mean Absolute Error (MAE) of 1.15 cm, a Standard Deviation (STD) of 1.33 cm and a correlation coefficient (R) of 0.96. Furthermore, our model reduces the training time by 8.2% compared to the Transformer model, demonstrating superior prediction performance and robustness in long-term ZTD forecasting. This study introduces a novel approach for high-accuracy ZTD modeling, which is significantly beneficial for precise GNSS positioning and the detection of water vapor content.
1. Introduction
When signals from the Global Navigation Satellite System (GNSS) travel through the neutral atmosphere and reach the receiver, they are affected by gases and water vapor, which cause the signals to bend. This effect is known as tropospheric delay [1,2]. Tropospheric delay is typically expressed as the product of the zenith tropospheric delay (ZTD) and a mapping function that accounts for the direction of the signal’s propagation [3,4]. Research indicates that when the local horizontal elevation angle of a satellite reaches 10°, the ZTD can be as much as 20 m [5]. This significant amount of delay adversely affects the positioning accuracy of the GNSS. It is evident that obtaining high-precision prior ZTD values is essential for GNSS navigation, particularly when using methods such as Precise Point Positioning (PPP) [6,7] and Real-Time Kinematic (RTK) positioning [8,9]. Additionally, in the field of GNSS meteorology, prior ZTD values are extensively utilized for the detection of water vapor content, making them a critical component for atmospheric analysis and numerical weather forecasting [10,11]. In summary, developing a high-precision tropospheric delay prediction model holds significant scientific value in terms of enhancing the accuracy of GNSS positioning and water vapor content detection.
The ZTD time series exhibits clear annual periodicity, seasonal characteristics and variations in diurnal cycles. Additionally, it contains significant random-walk noise and complex, nonlinear, high-frequency signals [12,13,14]. Therefore, constructing an accurate ZTD prediction model is a significant challenge. Common ZTD prediction models include classical models based on measured meteorological parameters, empirical models that do not rely on measured meteorological data and deep learning models [15]. Classical models use measured meteorological parameters in the target location, such as temperature, pressure and water vapor pressure, to calculate ZTD [16,17,18]. However, the difficulty of obtaining measured meteorological parameters limits their widespread application. Empirical models, such as the UNB series [19,20], the EGNOS model [21] and GPT-series models [22,23,24,25], utilize global meteorological and geophysical observation data to obtain meteorological parameters through linear fitting to estimate ZTD. Although these models do not require measured meteorological parameters, their accuracy is limited by local environmental conditions [26]. Deep learning models can identify complex patterns and nonlinear relationships in data by constructing neural networks and thoroughly analyzing historical ZTD data [27,28,29]. Among them, the Long-Short Term Memory (LSTM) model, due to its powerful memory ability, can better fit the rapid changes of ZTD data in the short term and is widely used in ZTD prediction [30,31,32]. However, when dealing with long input sequences, LSTM faces challenges in learning dependency relationships over extended periods. Additionally, issues such as vanishing and exploding gradients may arise, which can limit the effectiveness of LSTM in predicting ZTD over long-time-series scenarios [33,34]. Bidirectional Long Short-Term Memory (BiLSTM) utilizes a bidirectional processing mechanism that allows it to capture both forward and backward sequence information at the same time. This capability has been shown to enhance prediction performance compared to traditional LSTM [35]. However, BiLSTM does not fundamentally address the issues of vanishing gradients or exploding gradients that LSTM faces. When working with long ZTD sequences, these two problems can still significantly impact the training effectiveness of the model [36]. In contrast, the attention mechanism does not rely on traditional recurrent structures but, instead, computes global dependencies, allowing the model to focus more on information that is crucial for prediction outcomes during the learning process. This effectively avoids the issues of vanishing and exploding gradients. It offers a novel solution for long-term ZTD sequence prediction scenarios [37,38]. Zhang et al. constructed a ZTD prediction model based on the transformer model, which utilizes self-attention mechanisms. This model is capable of capturing long-range dependencies in ZTD effectively, thereby enhancing prediction performance [39]. However, the transformer also faces challenges of high computational complexity and relatively low sequence processing efficiency [40]. To address these issues, Hu et al. (2024) developed a new forecasting model for ZTD based on the Informer model. This model employs a ProbSparse self-attention mechanism to capture the global features of ZTD, which helps reduce the computational complexity of the prediction process while maintaining a level of accuracy comparable to that of the transformer [41]. However, the Informer model struggles to respond promptly to short-term fluctuations and has issues with incomplete information extraction, as well as neglecting the short-term dependencies within the sequence [42]. To summarize, deep learning methods have been extensively utilized by researchers to build prediction models for ZTD and have achieved notable outcomes. However, relying solely on a single deep learning prediction model often has its limitations [43,44,45]. When handling ZTD sequences, the nonlinear, complex and periodic characteristics of ZTD data make it challenging to achieve precise fitting, which constrains the accuracy of ZTD prediction.
To address issues like unstable prediction accuracy and the poor robustness of individual deep learning models, researchers frequently employ combined models. The main concept behind combined models is the integration of decomposition methods with ensemble learning [46,47,48]. For example, Guo et al. proposed a CEEMDAN-CNN-BiLSTM model. The Complete Ensemble Empirical Mode Decomposition with Adaptive Noise (CEEMDAN) algorithm was initially employed to decompose the data, allowing us to obtain relatively stable components. Subsequently, we combined the strong feature extraction capabilities of Convolutional Neural Networks (CNNs) with the exceptional sequence processing ability of bidirectional long-short term memory (BiLSTM) networks to effectively extract data features, leading to improved prediction accuracy [49]. However, this model may still encounter issues such as vanishing gradients or exploding gradients, which can occur in BiLSTM networks. Dong et al. (2024) proposed an EMD-Transformer-BiLSTM model. This model initially employed Empirical Mode Decomposition (EMD) to break down the original sequence into multiple subsequences, adding position encoding to each one. Then, utilizing the multi-head self-attention mechanism, along with a residual network, the subsequences were fed into a BiLSTM-based decoder. Finally, BiLSTM was used to reconstruct the predicted values of the subsequences, resulting in accurate prediction outcomes [50]. However, this model also faces the significant risk of gradient explosion in BiLSTM, which increases the overall computational burden of the system. The models mentioned above leverage the advantages of decomposition methods and various deep learning techniques, resulting in improved prediction accuracy. However, regarding their training strategy, these models utilize a serial ensemble learning approach, where each component model is trained one after the other in a predetermined sequence. Although this method allows for the integration of the strengths of different models, enhancing the overall prediction performance, it also has significant drawbacks. The models within the ensemble are constrained by the outputs of the preceding models, limiting their ability to showcase their unique features. This can also lead to a strong interdependence among the individual models in the combined set [51]. This reliance on a single model not only fails to effectively address its limitations but also misses the opportunity to leverage the complementary strengths of multiple models. As a result, there is potential to enhance the prediction performance of the combined model. In contrast, some researchers have suggested that combined models utilizing a parallel ensemble learning strategy can achieve greater prediction accuracy and generalization capability [52]. Parallel ensemble learning models reduce the dependence among individual models by training multiple independent models at the same time. This approach allows the models to each leverage their strengths and complement one another, ultimately improving the overall performance of the ensemble [53]. Additionally, the efficient additive attention (EAA) mechanism effectively captures relevant information from the data while minimizing the model’s computational complexity, further boosting the predictive performance of the combined model [54].
Based on the above progress, this paper combines the Variational Mode Decomposition (VMD) method [55], the BiLSTM model [56], the Informer model [57] and the EAA mechanism [54] and proposes a VMD-BiLSTM-Informer-EAA Hybrid Model based on the parallel ensemble learning strategy, which is applied to the long-term prediction of ZTD. In our model, the ZTD sequence is first decomposed into intrinsic mode functions (IMFs) of different frequencies using VMD. The decomposed sequences are then fed into the BiLSTM and Informer models in parallel. In this module, the informer and BiLSTM operate independently. We utilize BiLSTM and the informer separately to extract short-term dependencies and global features from the ZTD-IMFs. Subsequently, EAA is employed for feature fusion, which effectively captures data information without increasing the computational complexity of the model. Finally, predictions for each ZTD-IMF are generated based on the fused features, and these predictions are summed to obtain the final ZTD prediction. Specifically, the contributions of this paper are summarized as follows: (1) In this paper, we apply VMD, a signal processing method, to predict ZTD. The original ZTD data are decomposed into multiple ZTD-IMFs, which capture various levels of randomness and volatility within the ZTD. These ZTD-IMFs reveal the time series’ regularities across different frequency bands, simplifying the complexity of ZTD data and enhancing the feature extraction capabilities of subsequent neural networks. (2) This paper proposes a combined model called Informer–BiLSTM–EAA, which integrates BiLSTM, Informer and EAA mechanisms using a parallel ensemble learning strategy. This approach addresses the limitations of the BiLSTM and Informer models when predicting long-time-series data for ZTD. By incorporating the EAA mechanism, the model effectively extracts features from both the BiLSTM and informer, allowing for a weighted fusion of these features. This results in more comprehensive and accurate representations of the ZTD data. (3) This paper presents the VMD-Informer-BiLSTM-EAA hybrid model for long-term prediction of ZTD and compares its predictive accuracy with that of several other models, including VMD-Informer, VMD-BiLSTM, Informer, Transformer, BiLSTM, LSTM and the empirical GPT3 model. The results demonstrate that the VMD-Informer-BiLSTM-EAA hybrid model outperforms the other models in long-term ZTD prediction. This approach offers a novel modeling strategy for ZTD prediction, which is crucial for enhancing GNSS positioning accuracy and optimizing meteorological forecasts.
2. Materials and Methods
In the process of making predictions using deep learning models, the rational selection and utilization of datasets form the key foundation of the research. We employed two different types of datasets: the fundamental dataset provided by the International GNSS Service (IGS) and the fifth-generation reanalysis dataset released by the European Centre for Medium-Range Weather Forecasts (ECMWF). Subsequently, we introduce the characteristics and acquisition methods of these two datasets, as well as the methods involved in our study.
2.1. GNSS-Derived ZTD
Since 1998, the IGS center has been providing daily products in the form of IGS_ZPD files based on observations from global GNSS stations. Users can access these files through a website (https://cddis.gsfc.nasa.gov/archive/gnss/products/troposphere/zpd/, accessed on 22 November 2024). The IGS_ZPD files contain information about station locations; observation details; GNSS-derived ZTD, along with its associated errors; and the gradients of the total troposphere in both the northern and eastern directions. GNSS-derived ZTD is recognized internationally as the most accurate measured data available due to its relatively low uncertainty [58,59,60]. However, extreme weather conditions and equipment issues frequently disrupt continuous observations at GNSS stations, impacting the coherence and accuracy of ZTD research.
2.2. ERA5-Derived ZTD
The ERA5 dataset the fifth generation of the reanalysis product from the ECMWF. This dataset covers a wide range of data from 1940 to the present and has a spatial resolution of 0.25° × 0.25° and a temporal resolution of one hour. It includes 37 pressure levels, providing a detailed vertical resolution [61]. Due to its high spatial and temporal resolution, ERA5 reanalysis data are capable of supplying sufficient historical zenith total delay (ZTD) data for GNSS stations located in any three-dimensional spatial region [62]. The dataset utilized in this study is available at https://cds.climate.copernicus.eu/datasets/reanalysis-era5-pressure-levels/ (accessed on 25 November 2024). The ERA5-derived ZTD variables used for calculations are presented in Table 1.
Table 1.
The variables used to calculate ERA5-derived ZTD in this study.
2.3. VMD
VMD is specifically designed to analyze complex signals, particularly for non-smooth and nonlinear time-series data [55]. One of VMD’s key strengths is its robustness to noise and interference, allowing for effective signal decomposition, even in high-noise environments. The essential concept behind VMD involves breaking down the original signal into multiple IMFs through an iterative optimization process. These IMFs capture the volatility and randomness of different frequency components within the signal. By decomposing the signal in this way, VMD helps to uncover the intrinsic patterns present in the data across various time scales. This simplification reduces the complexity of the data, making subsequent analysis and prediction tasks easier to manage.
The mathematical expression for VMD is denoted as Equation (1):
where is the number of modes, is the amplitude of the mode, is the phase of the mode and is the mode function.
2.4. Informer
The Informer model achieves strong forecasting performance while minimizing computational demands by utilizing the ProbSparse self-attention mechanism, implementing self-attention distillation techniques and incorporating a generative decoder. Additionally, the informer is effective for long-term time-series forecasting, as it integrates timestamp information, allowing it to better understand long-term trends and seasonal patterns in the data [57].
The structure of the informer is illustrated in Figure 1 and primarily consists of an encoder and a decoder. The encoder employs the ProbSparse self-attention mechanism, along with a feed-forward neural network, to extract feature representations. The input to the decoder comprises the data features produced by the encoder, as well as the original input vectors; however, the portion intended for prediction is set to zero to prevent the model from utilizing prior information. Interaction with the encoded features occurs through the multi-head attention mechanism, allowing for the direct forecasting of the output.
Figure 1.
The model architecture for the Informer mode. Source: Reference [57].
The expression for the ProbSparse self-attention mechanism is shown in Equation (2):
where , and are three matrices of the same size obtained by linearly transforming the input data with hidden features; denotes the feature dimensions of the input data; is a normalized exponential function; and is a matrix of the same size as compared to including only the attention weights, which have a greater impact on the prediction.
The expression for the distillation mechanism from layer to layer in the network is shown in Equation (3):
where denotes a one-dimensional convolution operation on a sequence, is the activation function and represents the downsampling process of the maximum pooling layer.
2.5. BiLSTM
BiLSTM is an enhanced variant of the LSTM architecture [56]. The LSTM model effectively retains important historical information while discarding irrelevant data through the use of gating units and the state transfer of memory units [63]. However, a limitation of LSTM is that it can only capture forward dependencies in the data. To overcome this limitation, the single-layer BiLSTM incorporates two LSTMs that operate in opposite directions. By processing the data in both forward and reverse directions, BiLSTM can better capture both forward and backward dependencies, thereby improving the extraction of timing features in sequences. After this dual processing, the outputs from the two LSTMs are concatenated and forwarded to the subsequent layer of the network. The structure of this network is illustrated in Figure 2.
Figure 2.
The model architecture of BiLSTM. Source: Reference [56].
The equations for its internal arithmetic formula are expressed as follows: (4)–(6)
where , and are the outputs of the forward hidden-layer state, reverse hidden-layer state and hidden-layer state at moment , respectively; is the input feature vector at moment ; is the LSTM cell function; is the ReLU function; and is the weight vector.
2.6. EAA
EAA is an enhanced attention mechanism [54], as illustrated in Figure 3. In the traditional additive attention mechanism, information within the input sequence is captured through complex interactions among the Query (Q), Key (K) and Value (V). However, since removing the interactions between the key and value does not significantly impact the model’s performance, EAA simplifies the attention process. It accomplishes this by using a linear projection layer to handle queries and keys directly, replacing quadratic matrix multiplication with linear, element-by-element multiplication. This approach significantly reduces the computational complexity of the model without compromising its accuracy.
Figure 3.
The structure of the EAA mechanism. Source: Reference [54].
3. Methodology
3.1. Study Area
In this study, the Australian region (10°41′S to 43°39′S, 112°E to 154°E) was selected as the test area for predicting ZTD. The distribution of stations and data information from the IGS can be easily accessed on the official website (https://network.igs.org/, accessed on 21 November 2024). We selected 12 IGS stations in this region for the study period spanning from 2017 to 2021. The chosen IGS stations include KAT1, ALIC, TOW2, MCHL, PARK, SYDN, MOBS, HOB2, KARR, MRO1, YAR2 and PERT. The distribution of these IGS stations is illustrated in Figure 4. Table 2 provides detailed information about all the stations used in the experiment.
Figure 4.
A map of the study area. The blue dots represent the locations of the IGS stations.
Table 2.
The information on the IGS stations used in this study.
3.2. Data Processing
Previous studies have demonstrated that the accuracy of ZTD derived from ERA5 reanalysis data is comparable to that of ZTD obtained from GNSS sources, with only a small systematic deviation between the two [64,65,66]. In light of this, to address the limitations posed by missing data in GNSS-derived ZTD, this paper utilizes ERA5 data, alongside GNSS sources, to calculate ERA5-derived ZTD. Additionally, it performs interpolation on the GNSS-derived ZTD sequence to enhance the overall data continuity.
We begin by obtaining the longitude, latitude and elevation of IGS stations. Next, using the ERA5 reanalysis data, along with the station information, we calculate the ERA5-derived ZTD at each station location, as described in Appendix A. For the GNSS-derived ZTD sequence at each station, we perform interpolation on a time scale. The goal is to utilize the calculated ERA5-derived ZTD to fill in the missing parts of the GNSS-derived ZTD sequence, ultimately generating a complete ZTD data sequence. The resulting data after interpolation are referred to as GNSS interpolation ZTD. These data are then used to construct a ZTD prediction model based on the VMD–Informer–BiLSTM–EAA hybrid model and serve as the reference truth values in our experiment to verify the model’s prediction accuracy.
By comparing the box plots of the ZTD data before and after interpolation (see Figure 5), we observe a strong similarity between the two datasets in terms of their central position, the degree of dispersion and the presence of outliers. This suggests that they generally share similar characteristics, which provides a valuable foundation for our subsequent in-depth research on ZTD data and the development of prediction models. We analyze the GNSS interpolation ZTD for the ALIC, HOB2, TOW2 and KARR stations, as illustrated in Figure 6. The results show that using the ERA5-derived ZTD to interpolate GNSS-derived ZTD effectively fills in data gaps and achieves a high-precision match with the GNSS-derived ZTD. Additionally, it captures the trends and periodic fluctuations quite well. By examining the characteristics of the GNSS interpolation ZTD, we observe clear annual periodicity and seasonal patterns. Furthermore, the local dynamic changes within the data sequence are intense and irregular, indicating non-stationarity. This poses a significant challenge for the building of an accurate ZTD prediction model.
Figure 5.
Comparison of the box plots of ZTD before and after interpolation for each IGS station used in this study. The line in the middle of the boxes represents the mean level of the data. In contrast, the upper and lower edges of the boxes correspond to the upper and lower quartiles, respectively, indicating the variability of the data. Points outside the boxes represent outliers in the data.
Figure 6.
GNSS interpolation ZTD from 2017 to 2021 for the IGS stations selected in this study. Panels (a), (b), (c) and (d) represent the ALIC, HOB2, TOW2 and KARR stations, respectively.
In the data preprocessing phase, we addressed the issue of missing data for GNSS-derived ZTD through interpolation. However, there may still be some uncertainties. For instance, the IGS stations selected for this study are all located in the Australian region, which means that the GNSS interpolation ZTD may not adequately account for all potential atmospheric conditions and geographic variations. This limitation affects the generalizability of our model. Additionally, while calculating the ERA5-derived ZTD, we utilized a two-dimensional linear interpolation method to estimate meteorological parameters. In reality, these parameters often vary nonlinearly within the atmospheric environment, which may cause discrepancies between the interpolated results and the actual values. Such deviations could impact the prediction accuracy of the subsequent models built on the GNSS interpolation ZTD. To enhance the reliability and generalizability of our model in future studies, we will consider these factors.
3.3. The VMD-Informer-BiLSTM-EAA Hybrid Model
As previously mentioned, the Informer model possesses robust capabilities for the processing of long-time-series data. It excels at extracting global features and identifying long-term dependencies in data while minimizing computational resource consumption. On the other hand, BiLSTM offers superior memory capacity, allowing it to effectively learn short-term dependencies and accommodate dynamic changes in data. It is particularly useful for data regression fitting. However, both the Informer and BiLSTM models have their limitations when it comes to processing time-series tasks. To address these shortcomings and leverage their complementary strengths, this paper introduces a VMD-Informer-BiLSTM-EAA hybrid model. This model particularly targets the complex noise present in ZTD long-time-series scenarios and the instability of ZTD sequences. Additionally, it takes into account the computational complexity of the overall model. The architecture of the proposed model is illustrated in Figure 7.
Figure 7.
The structure of the VMD-Informer-BiLSTM-EAA hybrid model proposed in this study.
The model is composed of three main components: VMD, Informer-BiLSTM-EAA and the final summation of results. First, we apply VMD to the input data, breaking down the GNSS interpolation ZTD into five IMFs, each representing different frequency ranges. This process not only reduces noise but also enhances the richness of the information contained within the decomposed ZTD-IMFs across multiple dimensions. This information outlines the various frequency characteristics of the signal, which enables the deep learning model to detect changes in the sequence across different time scales. This capability enhances the model’s ability to understand long-term dependencies and local dynamic changes. Subsequently, we input the decomposed ZTD-IMFs into the Informer-BiLSTM-EAA module.
The ZTD-IMFs are input into two models, namely the Informer and BiLSTM models. The Informer model utilizes the ProbSparse self-attention mechanism to capture the long-term trends of the sequences. It then compresses the features using a self-attention distillation mechanism within the decoder, which generates the global feature representation (). In the meantime, BiLSTM captures the short-term dependencies and dynamic features of ZTD-IMF by utilizing the memory capability of both forward and reverse LSTM, thereby generating the comprehensive feature representation () by combining the information from both directions. Subsequently, the model splices and obtains the feature representations () of the Informer and BiLSTM models. The expression of the feature splicing process is shown in Equation (7).
where is the dimension of and is the dimension of . Here, represents the batch size, represents the time step, and and represent the feature dimensions of the Informer and BiLSTM models, respectively. The feature dimension of the feature representation obtained after splicing is , and this process aims to keep the data features extracted by the Informer and BiLSTM models intact. Next, the model uses the EAA mechanism to assign weights to various elements in , thereby enhancing its focus on features that have a greater predictive impact. This approach allows for a more comprehensive representation of the ZTD data. Additionally, since the EAA mechanism replaces the quadratic matrix multiplication operation with linear element-by-element multiplication, it does not significantly increase the model’s computational complexity. The equations for the process are expressed as follows: (8)–(10).
First, is converted to and by two matrices ( and , respectively). generates a global attention query vector () through a learnable parameter vector (). is the length of the markers, and is the dimension of the embedding vector. Then, by pooling , a single global query vector () is obtained. Finally, the interactions between and are encoded using element-level multiplication to form a global contextual feature representation (). This process utilizes the EAA mechanism to emphasize the fusion of Informer and BiLSTM feature representations. By doing so, it highlights key feature information, making the model more effective at focusing on the cyclical trends and dynamics of the ZTD.
Next, the model is projected from into the final feature representation () through a linear projection layer with an output dimension of , as calculated by Equation (11).The predicted values of the individual ZTD-IMFs are obtained by calculating them through a fully connected layer. Finally, the overall predicted values of the ZTDs are obtained by accumulating the values of the ZTD-IMFs. The VMD-Informer-BiLSTM-EAA hybrid model integrates the VMD method with the parallel ensemble learning strategies of the Informer and BiLSTM models, along with the weighted fusion of EAA. This approach not only addresses the limitations of the BiLSTM and Informer models in long-term time-series predictions but also enhances both the accuracy and robustness of the predictions.
3.4. Construction of ZTD Forecast Model
Based on the VMD-Informer-BiLSTM-EAA hybrid model, this study developed a long-term ZTD prediction model using GNSS interpolation ZTD data with a time resolution of 6 h. The data span from 1 January 2017 to 31 December 2021 across 12 IGS stations. For each IGS station, ZTD data from 2017 to 2020 (approximately 80% of the dataset) are utilized for model training, while the remaining data serve as the test set. The input data for each station’s model consist of its historical GNSS interpolation ZTD data, along with the corresponding time information. This method aims to identify and learn the regular patterns of ZTD changes over time at each station. In this study, we selected a one-year prediction time frame and forecasted the ZTD data for each station in 2021. Furthermore, for the ZTD prediction process, we employed the sliding window method. This involved using the ZTD data from the previous t epochs at each IGS station to predict the ZTD data for the t+1 epoch. Once a prediction is made, the newly predicted ZTD value is added to the ZTD sequence. The next prediction round then proceeds using this updated sequence, applying the same sliding window method. This process continues in cycles, allowing for the continual updating of the ZTD sequence and enabling long-term predictions of ZTD.
The model was constructed using the PyTorch 1.13.1 framework. The initial learning rate for both the Informer and BiLSTM models is set to 0.0003, with a dropout rate of 0.1. The batch size is set to 64, and the mean root square error is used as the loss function. Training is conducted over 80 epochs. The GELU activation function and the Adaptive Moment Estimation (ADAM) optimizer are also employed. Additional parameter settings for the model can be found in the accompanying Table 3. To evaluate the prediction performance, we implemented several models using PyTorch: the Informer-BiLSTM-EAA model, the VMD-Informer model, the VMD-BiLSTM model, the Transformer model, the Informer model, the BiLSTM model and the LSTM model. Training was carried out on a device equipped with an NVIDIA GeForce RTX 4060 GPU. The device we used was a Lenovo Legion Y9000p laptop, which was manufactured by Lenovo Ltd. in Beijing, China.
Table 3.
The VMD-Informer-BiLSTM-EAA hybrid model training parameters.
The forecasting flowchart of the model proposed in this study is illustrated in Figure 8 and consists of the following steps:
Figure 8.
Flowchart of the VMD-Informer–BiLSTM-EAA hybrid ZTD prediction model.
- First, the GNSS-derived ZTD is interpolated using the ZTD obtained from ERA5 data to ensure data integrity and continuity. The resulting dataset is referred to as the GNSS interpolation ZTD.
- Next, data normalization is applied to the GNSS interpolation ZTD, and the dataset is divided into training and test sets in an 80:20 ratio.
- Finally, the data are trained using the VMD-Informer-BiLSTM-EAA hybrid model. Throughout the training process, the accuracy of the trained regression data is evaluated against known data. Model parameters are adjusted accordingly, and the predicted fitting results are generated.
3.5. Methods for Comparison
Informer [57]: This is a transformer-based supervised learning model that uses the ProbSparse self-attention mechanism for efficient global feature extraction, allowing it to generate predicted values in a single step. It is particularly well-suited for long-time-series predictions and has already demonstrated strong performance in the ZTD prediction task.
VMD-Informer: This model integrates the VMD method with the Informer model. It begins by applying the VMD algorithm to preprocess the raw time-series data. Then, each modal component is fed into the Informer model as a separate input for enhanced feature extraction and pattern recognition.
Transformer [67]: The Transformer model introduces a self-attention mechanism that has significantly advanced various fields. In time-series prediction, this self-attention mechanism allows the model to dynamically adjust attention weights based on different parts of the input sequence. As a result, it can better capture important features and patterns within the sequence.
LSTM [63]: LSTM is a traditional algorithm used for time-series prediction. It employs memory cells to store and retain crucial information required to make current predictions. This capability makes LSTM effective at capturing both short-term dependencies and the dynamically changing characteristics of time-series data.
BiLSTM [56]: BiLSTM enhances model performance by capturing sequence context bidirectionally through an additional back-propagated LSTM layer, improving overall sequence comprehension.
VMD-BiLSTM: This model combines the strengths of VMD and BiLSTM networks to predict complex, non-smooth sequences effectively.
Informer-BiLSTM-EAA: This paper proposes a combined model based on parallel ensemble learning. It integrates the predictive strengths of the Informer and BiLSTM models and effectively combines their feature representations using the EAA mechanism to forecast ZTD.
GPT3 [25]: The GPT3 model is a widely used empirical model. By utilizing the coordinate information of the observatory and year data, we can estimate the temperature and pressure near the surface, allowing for the calculation of the ZTD.
3.6. Accuracy Evaluation Indicators
In this paper, we use the coefficient of determination (R2), root mean square error (RMSE), Mean Absolute Error (MAE) and Standard Deviation (STD) to compare the accuracies of different models. R2 measures how well the prediction model’s output fits the reference data. A value of R2 close to 1 indicates a strong relationship between the independent and dependent variables in the regression analysis, representing good predictive performance. RMSE provides an intuitive measure of how much the predicted values deviate from the reference values, reflecting the overall level of deviation. MAE calculates the average absolute deviation of each measurement, indicating the extent of the ZTD prediction error. Lastly, STD measures the variability in the prediction errors. Generally, smaller values of RMSE, MAE and STD signify better model performance. The equations for the indicators are expressed as follows: (12) to (15).
where and represent the ith data of the GNSS interpolation ZTD and the i-th ZTD prediction output by the prediction model, respectively. denotes the average value of the GNSS interpolation ZTD, and represents the total number of data points.
4. Results
In this study, we focused on the Australian region and selected 12 representative IGS stations to conduct experiments on the prediction of ZTD. We used data from each station spanning 2017 to 2020 as the training set to forecast ZTD for 2021. For accuracy verification, we employed GNSS interpolated ZTD data from 2021. We compared our proposed model, the VMD-Informer-BiLSTM-EAA hybrid model, with several other models. These included the VMD-Informer model; the VMD-BiLSTM model; the Informer-BiLSTM-EAA model; and popular deep learning models such as the Informer model, the Transformer model, the BiLSTM model, the LSTM model and the empirical GPT3 ZTD model. Our objective was to demonstrate the superiority of our model in long-term ZTD prediction. All compared models performed ZTD predictions under identical experimental conditions, including the same dataset partitioning (using data from 2017 to 2020 for training and data from 2021 for verification) and standardized data formats and preprocessing methods. This approach allowed for an objective comparison of the differences in accuracy between our method and the compared models in predicting long-time-series ZTD.
Table 4 presents the average values from all combined stations. The results indicate that the VMD-Informer-BiLSTM-EAA hybrid model proposed in this study exhibits superior prediction accuracy, with an average RMSE of 1.43 cm, an average MAE of 1.15 cm, an average STD of 1.33 cm and an average R of 0.96. These metrics represent the best performance among all models, highlighting the model’s predictive superiority. Additionally, while the VMD method significantly enhances prediction accuracy, it also increases the model’s training time. Specifically, the VMD-Informer-BiLSTM-EAA hybrid model shows a 30.6% improvement in RMSE compared to the Informer-BiLSTM-EAA model. The VMD-Informer model demonstrates a 33.3% enhancement over the Informer model and the VMD-BiLSTM model is 18.6% more accurate than the BiLSTM model.
Table 4.
Average accuracy comparison among different ZTD prediction models. In the table, VMD-Informer–BiLSTM-EAA refers to the VMD-Informer–BiLSTM-EAA hybrid prediction model proposed in this study. The time column represents the average training time for each model.
When comparing the proposed model with mainstream models such as the Informer, Transformer, BiLSTM, LSTM and GPT3 models, the Informer-BiLSTM-EAA model has the smallest average RMSE, with improved prediction accuracies of 17.2%, 15.6%, 32.9%, 39.6% and 59.7%. Additionally, it achieves the smallest average MAE, leading to improved prediction accuracies of 18.8%, 16.6%, 37.3%, 44.5% and 63.2%. The STD and R also show improvements. This outcome confirms the effectiveness of the combined strategy of parallel ensemble learning and EAA weighted fusion. Moreover, model training time is important in assessing a model’s efficiency. The average training time for the Informer-BiLSTM-EAA model is 7% longer than that for the Informer model, yet it is 8.2% shorter than that for the Transformer model. This indicates that we successfully balanced prediction accuracy with computational complexity.
In comparing individual deep learning models, the Transformer model demonstrates slightly higher prediction accuracy than the Informer model. This difference may arise from the Informer’s information extraction process, which is somewhat incomplete and potentially omits key data features, thereby impacting its prediction accuracy. However, the training time for the Informer model is reduced by 14.7% compared to the Transformer model. This improvement is due to the ProbSparse self-attention mechanism utilized by the Informer model, which significantly simplifies the computational complexity of the self-attention mechanism and enhances model training efficiency. In contrast, BiLSTM and LSTM models exhibit lower prediction accuracies compared to other individual deep learning models. This highlights the crucial role of the attention mechanism in addressing the long dependency problem in lengthy sequences. By incorporating an attention mechanism, these models can more effectively capture key information within long sequences, improving prediction accuracy. Furthermore, when comparing deep learning models to the empirical GPT3 model, we find that the prediction accuracy of GPT3 is significantly lower. The primary reason for this discrepancy is the empirical model’s difficulty in accurately fitting the nonlinear characteristics of ZTD. The complex and variable nature of ZTD data places substantial demands on the model’s fitting capabilities, underscoring the advantages of deep learning methods in constructing ZTD prediction models. Deep learning models possess strong nonlinear fitting abilities, enabling them to uncover complex patterns within the data and providing a solid foundation for accurate predictions.
Figure 9 illustrates a plot of the point density for the predicted and true values of each model, providing a visual framework for a detailed analysis of model performance. In this graph, each point represents a pair of corresponding predicted and true values, and the distribution of these points, along with their density, reflects the predictive effectiveness of each model. Focusing on the VMD-Informer-BiLSTM-EAA hybrid model, we can see that the points are highly clustered around the diagonal line. This indicates that the deviation between the predicted values and the true values is minimal. A significant number of points closely align with the diagonal, which represents perfect prediction accuracy. This shows that the predicted values closely track the trends of the true values, demonstrating excellent prediction accuracy. In contrast, the points for some other models are more scattered in the plot and tend to be farther from the diagonal. This dispersion suggests that these models’ predicted values deviate significantly from the true values and are less effective at capturing the patterns present in the ZTD data.
Figure 9.
Comparison of ZTD predictions between different models. The model proposed in this paper is VMD–Informer–BiLSTM–EAA.
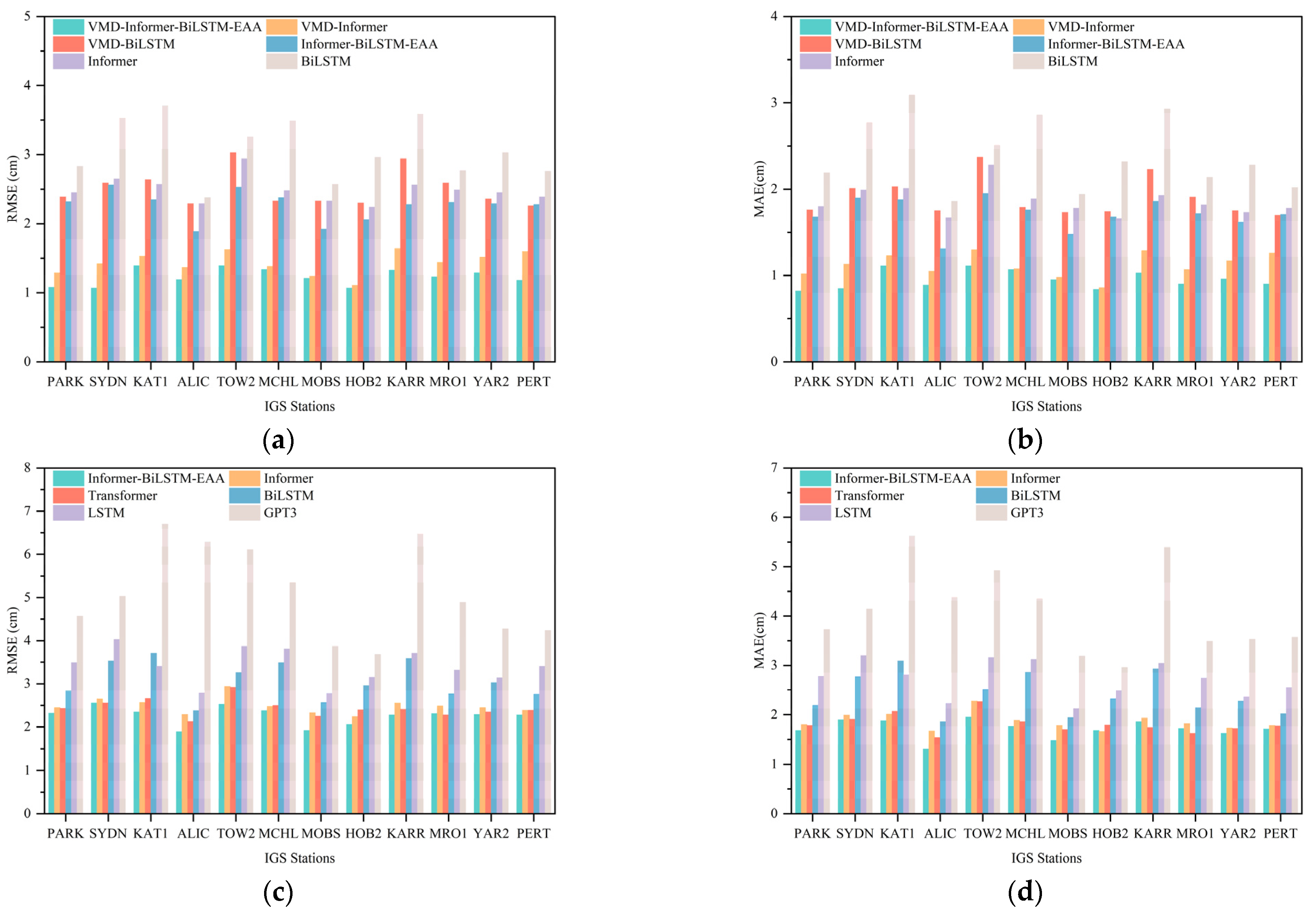
Figure 10 and Table A1 in this paper illustrate the prediction accuracy of our model compared to a comparison model at 12 different stations. In scenarios where the VMD method is not applied (see Figure 10a,b), our proposed Informer-BiLSTM-EAA model outperforms other individual models in terms of prediction accuracy. This model uses a parallel ensemble learning strategy with EAA weighted fusion, allowing it to efficiently extract underlying patterns from the ZTD data, resulting in predictions that are closer to the true values. Furthermore, after incorporating the VMD method, the VMD-Informer-BiLSTM-EAA Hybrid Model developed in this paper demonstrates even better prediction results, surpassing all comparison models (see Figure 10c,d). These findings underscore the effectiveness of the combined model strategy presented in this study.
Figure 10.
Comparison of prediction accuracy indices of different ZTD prediction models for each station. (a) Comparison of RMSE without VMD method (b); comparison of MAE without VMD method (c); comparison of RMSE in the case of using the VMD method (d); comparison of RMSE in the case of using the VMD method.
Figure 11 illustrates the predictive performance of the model presented in this paper at various locations, specifically four stations: ALIC, KARR, MCHL and PERT. A comparison of the predicted values with the actual values shows that the model fits the ZTD time series effectively. It not only captures the long-term trends and cyclical changes in ZTD but also accurately reflects the local dynamic changes. This supports the effectiveness of the proposed model. Additionally, the parallel ensemble learning strategy leverages the strengths of both the Informer model and the BiLSTM model, resulting in complementary predictive performance.
Figure 11.
Comparison of the prediction results of the VMD-Informer–BiLSTM-EAA hybrid ZTD prediction model with the GNSS interpolation ZTD. The horizontal coordinates represent the predicted moments for each day in 2021 (0:00, 6:00, 12:00 and 18:00), and the vertical coordinates represent the ZTD values. Panels (a), (b), (c) and (d) represent the ALIC, KARR, MCHL and PERT stations, respectively.
5. Discussion
The numerical results demonstrate the strong predictive performance of the VMD-Informer-BiLSTM-EAA hybrid model, affirming the effectiveness of the model combination strategy and architectural design. Accurately predicting ZTD is crucial for enhancing the precision of GNSS positioning. Our proposed VMD-Informer-BiLSTM-EAA hybrid prediction model, with its high prediction accuracy, can provide more reliable atmospheric delay correction information for PPP, significantly improving the accuracy of positioning results. Additionally, variations in ZTD can reflect regional meteorological characteristics and the dynamics of water vapor processes. Our model effectively captures long-term trends, cyclical changes and local dynamic fluctuations in ZTD. Based on these predictions, meteorologists can derive valuable insights into the distribution and changing trends of atmospheric water vapor, which can aid in short-term weather forecasting, climate monitoring and early warning of meteorological disasters. Moreover, the high-quality IMFs obtained by optimizing the VMD parameters can serve as more targeted inputs for subsequent deep learning models. Thoughtful optimization of deep learning model parameters allows for better learning of the complex patterns and relationships within the ZTD data, thereby reducing prediction errors. Since this study did not incorporate a parameter optimization algorithm into the model, further refinement of the parameter settings across various modules could lead to even higher prediction accuracy. We hope that future scholars will advance this field further.
6. Conclusions
To address the limitations of single neural networks and serial ensemble learning models in long-term ZTD prediction, this paper proposes the VMD-Informer-BiLSTM-EAA hybrid model for long-term ZTD prediction. The model employs VMD to reduce the non-stationarity and noise impact of ZTD. Based on a parallel ensemble learning strategy, the Informer and BiLSTM models are trained simultaneously on ZTD data, with the former extracting global features and the latter capturing dynamic changes. EAA is then used for weighted feature fusion to obtain a more comprehensive representation of ZTD features, effectively compensating for the shortcomings of the BiLSTM and Informer models and enhancing ZTD prediction accuracy.
We interpolated GNSS-derived ZTD using GNSS-sourced, ERA5-derived ZTD to obtain the GNSS interpolation ZTD and constructed the VMD-Informer-BiLSTM hybrid long-term ZTD prediction model to forecast the ZTD variations at 12 IGS stations in Australia in 2021. Compared with various models, the proposed VMD-Informer-BiLSTM-EAA hybrid model performs the best, with an average RMSE of 1.33 cm, an average MAE of 1.05 cm, an average STD of 1.23 cm and an average R of 0.96, fully demonstrating the effectiveness and superiority of this method in long-term ZTD prediction. The analysis shows that the combination of VMD, parallel ensemble learning and weighted fusion strategies can improve ZTD prediction accuracy and the performance of single deep learning models.
Given that ZTD prediction accuracy affects GNSS positioning accuracy, the high-precision ZTD prediction results of this model are expected to reduce positioning errors and improve positioning reliability and accuracy, providing technical support for the development of related industries. Future research will introduce VMD parameter tuning and quantification methods into the model to achieve more accurate ZTD forecasts.
Author Contributions
Conceptualization, X.L. and Z.Y.; methodology, Z.Y.; software, Z.Y.; validation, Z.Y., Y.X. and C.Y.; formal analysis, Z.Y.; investigation, Z.Y. and X.L.; resources, Z.Y. and R.D.; data curation, Z.Y. and L.Z.; writing—original draft preparation, Z.Y.; writing—review and editing, Z.Y., R.D. and Y.X.; visualization, Z.Y. and Y.X.; supervision, Z.Y., C.Y., Y.H. and X.L.; project administration, X.L.; funding acquisition, X.L. All authors have read and agreed to the published version of the manuscript.
Funding
This research was funded by the National Natural Fund of China grants (grant number 42271461), the Natural Science Foundation of Sichuan Province (grant numbers 2024NSFSC0070 and 2024NSFSC0784) and the State Key Laboratory of Geohazard Prevention and Geoenvironment Protection Independent Research Project (SKLGP2021Z022).
Data Availability Statement
The GNSS-derived ZTD data used in our experiments were obtained from data published on NASA’s CDDIS website (https://cddis.gsfc.nasa.gov/archive/gnss/products/troposphere/zpd/) (accessed on 22 November 2024). The ERA5-derived ZTD data we used for interpolation of the GNSS-derived ZTD data were obtained from the European Centre for Medium-Range Weather Forecasts (ECMWF) website (https://cds.climate.copernicus.eu/datasets/reanalysis-era5-pressure-levels) (accessed on 25 November 2024). We thank CDDIS and ECMWF for providing the relevant data products.
Acknowledgments
The authors would like to thank the reviewers for their careful reading of our paper and for their valuable suggestions for revision, which have improved its presentation.
Conflicts of Interest
The authors declare no conflicts of interest.
Abbreviations
The following abbreviations are used in this manuscript:
| ADAM | Adaptive Moment Estimation Optimizer |
| BiLSTM | Bidirectional Long-Short Term Memory |
| CEEMDAN | Complete Ensemble Empirical Mode Decomposition with Adaptive Noise |
| CNN | Convolutional Neural Network |
| EAA | Efficient Additive Attention |
| ECMWF | European Centre for Medium-Range Weather Forecasts |
| EMD | Empirical Mode Decomposition |
| GNSS | Global Navigation Satellite System |
| IGS | International GNSS Service |
| IMF | Intrinsic Mode Function |
| LSTM | Long Short-Term Memory |
| MAE | Mean Absolute Error |
| PPP | Precise Point Positioning |
| R | Correlation Coefficient |
| RMSE | Root Mean Square Error |
| RTK | Real-Time Kinematic |
| R2 | Coefficient of Determination |
| STD | Standard Deviation |
| VMD | Variational Mode Decomposition |
| ZTD | Zenith Tropospheric Delay |
Appendix A. The Method for Calculating ERA5-Derived ZTD
In this study, using an integral method, we utilized the ERA5 layered pressure reanalysis product to compute the zenith tropospheric wet delay (ZWD) for GNSS stations at varying heights. Additionally, we calculated the zenith tropospheric dry delay (ZHD) for the layer above the highest GNSS station using the Saastamoinen model. Combining these two components results in the ERA5-derived ZTD.
The specific calculation processes are given by Equations (A1) and (A2):
In these equations, n represents the total number of layers included in the reanalysis data above the GNSS station. The refractive index constants are (K/hPa), (K/hPa) and (K2/hPa). P denotes atmospheric pressure (unit: hPa), e represents water vapor pressure (unit: hPa) and T indicates temperature (unit: K). The values of these three variables can be obtained from the ERA5 reanalysis data. is the latitude corresponding to the GNSS station (unit: °), while , and correspond to the atmospheric pressure, water vapor pressure and elevation above sea level (units: m) at the site, respectively.
Since GNSS stations typically do not align with the grid points of the ERA5 reanalysis data and their elevations do not match the model layer elevations in the reanalysis, to begin with, we unified the elevation reference system of IGS stations with ERA5 reanalysis data. We then applied the EGM2008 model to convert the geodetic elevations of the IGS stations into positive elevations. Next, we obtained the necessary meteorological parameters for Equations (A1)–(A4) through interpolation. The specific steps to calculate the ERA5-derived ZTD using the ERA5 reanalysis data outlined are as follows:
- Based on the coordinates of the IGS station, we identified the four nearest grid points. We performed linear interpolation of the meteorological parameters corresponding to these four grid points, ensuring that the elevation matched that of the GNSS station.
- We applied the two-dimensional linear interpolation method to estimate the meteorological parameters at the location of the IGS station based on the values obtained from the four grid points in step 1.
- We used the two-dimensional linear interpolation method again to compute the meteorological parameters for the layers above the IGS station, ensuring that both the latitude and longitude coordinates aligned with the station coordinates and that the heights corresponded to those of the layers.
- We calculated the ZWD and ZHD using Equations (A1) and (A2), respectively, and summed the two results.
Appendix B. Prediction Metrics Among Models for IGS Stations
Table A1.
Comparison of prediction accuracy indicators of different ZTD prediction models for each station (cm). In the table, VIBE refers to the VMD-Informer–BiLSTM-EAA hybrid prediction model proposed in this study, while IBE refers to the Informer-BiLSTM-EAA model, VI refers to the VMD-Informer model, VB refers to the VMD-BiLSTM model, Info refers to the Informer model, Trans refers to the Transformer model and BiLS refers to the BiLSTM model.
Table A1.
Comparison of prediction accuracy indicators of different ZTD prediction models for each station (cm). In the table, VIBE refers to the VMD-Informer–BiLSTM-EAA hybrid prediction model proposed in this study, while IBE refers to the Informer-BiLSTM-EAA model, VI refers to the VMD-Informer model, VB refers to the VMD-BiLSTM model, Info refers to the Informer model, Trans refers to the Transformer model and BiLS refers to the BiLSTM model.
| Site | Accuracy | VIBE | IBE | VI | VB | Info | Trans | BiLS | LSTM | GPT3 |
|---|---|---|---|---|---|---|---|---|---|---|
| PARK | RMSE | 1.28 | 2.12 | 1.52 | 2.39 | 2.45 | 2.43 | 2.83 | 3.49 | 4.57 |
| MAE | 1.02 | 1.48 | 1.19 | 1.76 | 1.80 | 1.78 | 2.19 | 2.78 | 3.73 | |
| SYDN | RMSE | 1.27 | 2.36 | 1.65 | 2.59 | 2.65 | 2.56 | 3.53 | 4.03 | 5.03 |
| MAE | 1.05 | 1.70 | 1.30 | 2.01 | 1.99 | 1.91 | 2.77 | 3.20 | 4.14 | |
| KAT1 | RMSE | 1.59 | 2.15 | 1.76 | 2.64 | 2.57 | 2.66 | 3.71 | 3.41 | 6.70 |
| MAE | 1.31 | 1.68 | 1.40 | 2.03 | 2.01 | 2.07 | 3.09 | 2.81 | 5.62 | |
| ALIC | RMSE | 1.39 | 1.69 | 1.60 | 2.29 | 2.29 | 2.13 | 2.38 | 2.79 | 6.29 |
| MAE | 1.09 | 1.11 | 1.22 | 1.75 | 1.67 | 1.54 | 1.86 | 2.23 | 4.38 | |
| TOW2 | RMSE | 1.59 | 2.33 | 1.86 | 3.03 | 2.94 | 2.92 | 3.26 | 3.87 | 6.11 |
| MAE | 1.31 | 1.75 | 1.47 | 2.37 | 2.28 | 2.27 | 2.51 | 3.16 | 4.92 | |
| MCHL | RMSE | 1.54 | 2.18 | 1.61 | 2.33 | 2.48 | 2.50 | 3.49 | 3.81 | 5.34 |
| MAE | 1.27 | 1.56 | 1.25 | 1.79 | 1.89 | 1.86 | 2.86 | 3.12 | 4.35 | |
| MOBS | RMSE | 1.41 | 1.72 | 1.47 | 2.33 | 2.33 | 2.25 | 2.57 | 2.78 | 3.87 |
| MAE | 1.15 | 1.28 | 1.15 | 1.73 | 1.78 | 1.70 | 1.94 | 2.12 | 3.19 | |
| HOB2 | RMSE | 1.27 | 1.86 | 1.34 | 2.30 | 2.24 | 2.40 | 2.96 | 3.15 | 3.68 |
| MAE | 1.04 | 1.48 | 1.16 | 1.74 | 1.66 | 1.79 | 2.32 | 2.48 | 2.96 | |
| KARR | RMSE | 1.53 | 2.08 | 1.87 | 2.94 | 2.56 | 2.41 | 3.59 | 3.71 | 6.47 |
| MAE | 1.23 | 1.66 | 1.46 | 2.23 | 1.93 | 1.74 | 2.93 | 3.04 | 5.39 | |
| MRO1 | RMSE | 1.43 | 2.11 | 1.67 | 2.59 | 2.49 | 2.28 | 2.77 | 3.32 | 4.89 |
| MAE | 1.10 | 1.52 | 1.24 | 1.91 | 1.82 | 1.62 | 2.14 | 2.74 | 3.49 | |
| YAR2 | RMSE | 1.49 | 2.09 | 1.74 | 2.36 | 2.45 | 2.35 | 3.03 | 3.14 | 4.28 |
| MAE | 1.16 | 1.42 | 1.34 | 1.75 | 1.73 | 1.72 | 2.28 | 2.36 | 3.53 | |
| PERT | RMSE | 1.38 | 2.08 | 1.83 | 2.26 | 2.39 | 2.39 | 2.76 | 3.41 | 4.24 |
| MAE | 1.10 | 1.51 | 1.43 | 1.70 | 1.78 | 1.77 | 2.02 | 2.55 | 3.57 |
References
- Bevis, M.; Businger, S.; Herring, T.A.; Rocken, C.; Anthes, R.A.; Ware, R.H. GPS Meteorology’ Remote Sensing of Atmospheric Water Vapor Using the Global Positioning System. J. Geophys. Res. Atmos. 1992, 97, 15787–15801. [Google Scholar] [CrossRef]
- Du, Z.; Zhao, Q.; Yao, Y.; Zhu, H. Real-time tropospheric delay map retrieval using sparse GNSS stations. GPS Solut. 2024, 28, 12. [Google Scholar] [CrossRef]
- Zhao, Q.; Wang, W.; Li, Z.; Du, Z.; Yang, P.; Yao, W.; Yao, Y. A high-precision ZTD interpolation method considering large area and height differences. GPS Solut. 2024, 28, 4. [Google Scholar] [CrossRef]
- Li, J.; Yang, F.; Yuan, D.; Wang, H.; Song, S.; Tan, J. Unraveling the Accuracy Enigma: Investigating ZTD Data Precision in TUW-VMF3 and GFZ-VMF3 Products Using a Comprehensive Global GPS Dataset. IEEE Trans. Geosci. Remote Sens. 2024, 62, 5800710. [Google Scholar] [CrossRef]
- Zhao, J.; Song, S.; Chen, Q.; Zhou, W.; Zhu, W. Establishment of a global tropospheric zenith delay model based on the functional form of vertical profiles. Chin. J. Geophys. 2014, 57, 3140–3153. [Google Scholar] [CrossRef]
- Wei, P.; Hu, F.; Xia, P.; Ye, S.; Sha, Z.; Liu, J. Zenith tropospheric delay model in mainland China based on geographically convolutional neural network weighted regression and tensor spline function. GPS Solut. 2024, 28, 206. [Google Scholar] [CrossRef]
- Xia, P.; Tong, M.; Ye, S.; Qian, J.; Fang, H. Establishing a high precision real-time ZTD model of China with GPS and ERA5 historical data and its application in PPP. GPS Solut. 2023, 27, 2. [Google Scholar] [CrossRef]
- Liu, G.; Huang, G.; Li, X.; Jing, C.; Yang, H.; Gao, Y. Fusion of numerical meteorological data to mitigate residual tropospheric error in GNSS RTK for large bridge monitoring in mountainous areas. Measurement 2025, 243, 116442. [Google Scholar] [CrossRef]
- Dabove, P.; Bagheri, M. Enhancing Atmospheric Monitoring Capabilities: A Comparison of Low- and High-Cost GNSS Networks for Tropospheric Estimations. Remote Sens. 2024, 16, 2223. [Google Scholar] [CrossRef]
- Liu, J.; Sun, Z.; Liang, H.; Xu, X.; Wu, P. Precipitable water vapor on the Tibetan Plateau estimated by GPS, water vapor radiometer, radiosonde, and numerical weather prediction analysis and its impact on the radiation budget. J. Geophys. Res. 2005, 110, D17106. [Google Scholar] [CrossRef]
- Esteban Vazquez B, G.; Grejner-Brzezinska, D.A. GPS-PWV estimation and validation with radiosonde data and numerical weather prediction model in Antarctica. GPS Solut. 2013, 17, 29–39. [Google Scholar] [CrossRef]
- Yao, Y.; He, C.; Zhang, B. A new global zenith tropospheric delay model GZTD. Chin. J. Geophys. 2013, 56, 2218–2227. (In Chinese) [Google Scholar] [CrossRef]
- Huang, L.; Chen, H.; Liu, L.; Jiang, W. A new high-precision global model for calculating zenith tropospheric delay. Chin. J. Geophys. 2021, 64, 782–795. (In Chinese) [Google Scholar] [CrossRef]
- Pei, X.; Zhang, X.; Jing, W. Analysis of the Spatiotemporal Variation Characteristics of Tropospheric Wet Delay Random Walk Process Noise in GNSS. J. Time. Freq. 2024, 47, 139–152. [Google Scholar] [CrossRef]
- Yang, F.; Guo, J.; Zhang, C.; Li, Y.; Li, J. A Regional Zenith Tropospheric Delay (ZTD) Model Based on GPT3 and ANN. Remote Sens. 2021, 13, 838. [Google Scholar] [CrossRef]
- Hopfield, H.S. Two-quartic tropospheric refractivity profile for correcting satellite data. J. Geophys. Res. 1969, 74, 4487–4499. [Google Scholar] [CrossRef]
- Saastamoinen, J. Contributions to the theory of atmospheric refraction. Bull. Géodésique (1946–1975) 1972, 105, 279–298. [Google Scholar] [CrossRef]
- Black, H.D. An easily implemented algorithm for the tropospheric range correction. J. Geophys. Res. Solid Earth 1978, 83, 1825–1828. [Google Scholar] [CrossRef]
- Leandro, R.; Santos, M.; Langley, R. UNB Neutral Atmosphere Models: Development and Performance. In Proceedings of the 2006 National Technical Meeting of the Institute of Navigation, Monterey, CA, USA, 18–20 January 2006; pp. 564–573. [Google Scholar] [CrossRef]
- Leandro, R.F.; Langley, R.; Santos, M. UNB3m_pack: A neutral atmosphere delay package for radiometric space techniques. GPS Solut. 2008, 12, 65–70. [Google Scholar] [CrossRef]
- Penna, N.; Dodson, A.; Chen, W. Assessment of EGNOS Tropospheric Correction Model. J. Navig. 2001, 54, 37–55. [Google Scholar] [CrossRef]
- Böhm, J.; Heinkelmann, R.; Schuh, H. Short Note: A global model of pressure and temperature for geodetic applications. J. Geod. 2007, 81, 679–683. [Google Scholar] [CrossRef]
- Lagler, K.; Schindelegger, M.; Böhm, J.; Krásná, H.; Nilsson, T. GPT2: Empirical slant delay model for radio space geodetic techniques. Geophys. Res. Lett. 2013, 40, 1069–1073. [Google Scholar] [CrossRef] [PubMed]
- Böhm, J.; Möller, G.; Schindelegger, M.; Pain, G.; Weber, R. Development of an improved empirical model for slant delays in the troposphere (GPT2w). GPS Solut. 2015, 19, 433–441. [Google Scholar] [CrossRef]
- Landskron, D.; Böhm, J. VMF3/GPT3: Refined discrete and empirical troposphere mapping functions. J. Geod. 2018, 92, 349–360. [Google Scholar] [CrossRef] [PubMed]
- Huang, L.; Zhu, G.; Peng, H.; Liu, L.; Ren, C.; Jiang, W. An improved global grid model for calibrating zenith tropospheric delay for GNSS applications. GPS Solut. 2023, 27, 17. [Google Scholar] [CrossRef]
- Li, X.; Shi, J.; Hou, C.; Guo, S.; Ouyang, C.; Tang, Y. A data-driven troposphere ZTD modeling method considering the distance of GNSS CORS to the coast. GPS Solut. 2024, 28, 186. [Google Scholar] [CrossRef]
- Bi, H.; Huang, L.; Zhang, H.; Xie, S.; Zhou, L.; Liu, L. A deep learning-based model for tropospheric wet delay prediction based on multi-layer 1D convolution neural network. Adv. Space Res. 2024, 73, 5031–5042. [Google Scholar] [CrossRef]
- Shi, J.; Li, X.; Li, L.; Ouyang, C.; Xu, C. An efficient deep learning-based troposphere ZTD dataset generation method for massive GNSS CORS stations. IEEE Trans. Geosci. Remote Sens. 2023, 61, 1–11. [Google Scholar] [CrossRef]
- He, L.; Yao, Y.; Xu, C.; Zhang, H.; Tang, F.; Ji, C.; Liu, Z.; Wu, W. A New Global ZTD Forecast Model Based on Improved LSTM Neural Network. IEEE Trans. Geosci. Remote Sens. 2024, 17, 9606–9614. [Google Scholar] [CrossRef]
- Zhang, H.; Yao, Y.; Hu, M.; Xu, C.; Su, X.; Che, D.; Peng, W. A Tropospheric Zenith Delay Forecasting Model Based on a Long Short Term Memory Neural Network and Its Impact on Precise Point Positioning. Remote Sens. 2022, 14, 5921. [Google Scholar] [CrossRef]
- Zhang, Q.; Li, F.; Zhang, S.; Li, W. Modeling and forecasting the GPS zenith troposphere delay in west Antarctica based on different blind source separation methods and deep learning. Sensors 2020, 20, 2343. [Google Scholar] [CrossRef] [PubMed]
- Greff, K.; Srivastava, R.K.; Koutník, J.; Steunebrink, B.R.; Schmidhuber, J. LSTM: A search space odyssey. IEEE Trans. Neural Netw. Learn Syst. 2017, 28, 2222–2232. [Google Scholar] [CrossRef] [PubMed]
- Sherstinsky, A. Fundamentals of recurrent neural network (RNN) and long short-term memory (LSTM) network. Phys. D 2020, 404, 132–145. [Google Scholar] [CrossRef]
- Siami-Namini, S.; Tavakoli, N.; Namin, A.S. The Performance of LSTM and BiLSTM in Forecasting Time Series. In Proceedings of the 2019 IEEE International Conference on Big Data (Big Data), Los Angeles, CA, USA, 9–12 December 2019; pp. 3285–3292. [Google Scholar] [CrossRef]
- Rai, A.; Shrivastava, A.; Jana, K.C. Differential attention net: Multi-directed differential attention based hybrid deep learning model for solar power forecasting. Energy 2023, 263, 125746. [Google Scholar] [CrossRef]
- Bahdanau, D.; Cho, K.; Bengio, Y. Neural machine translation by jointly learning to align and translate. Comput. Sci. 2014, 1409, 0473. [Google Scholar] [CrossRef]
- Manghi, R.L.; Bernacchia, D.; Casajus, L.G.; Zannoni, M.; Tortora, P.; Martellucci, A.; De Vicente, J.; Villalvilla, J.; Maschwitz, G.; Cappuccio, P.; et al. Tropospheric delay calibration system performance during the first two BepiColombo solar conjunction. Radio Sci. 2023, 58, 1–15. [Google Scholar] [CrossRef]
- Zhang, H.; Yao, Y.; Xu, C.; Xu, W.; Shi, J. Transformer-Based Global Zenith Tropospheric Delay Forecasting Model. Remote Sens. 2022, 14, 3335. [Google Scholar] [CrossRef]
- Venkataramanan, S.; Ghodrati, A.; Asano, Y.M.; Porikli, F.; Habibian, A. Skip-Attention: Improving Vision Transformers by Paying Less Attention. arXiv 2023, arXiv:2301.02240. [Google Scholar] [CrossRef]
- Hu, F.; Sha, Z.; Wei, P.; Xia, P.; Ye, S.; Zhu, Y.; Luo, J. Deep learning for GNSS zenith tropospheric delay forecasting based on the informer model using 11-year ERA5 reanalysis data. GPS Solut. 2024, 28, 182. [Google Scholar] [CrossRef]
- Xie, X.; Huang, F.; Peng, Y.; Zhou, W. A New Design of an Optimized Informer Wind Power Prediction Model Utilizing Wind Turbine Health Assessment. J. Circuits Syst. Comput. 2024, 10, 1142. [Google Scholar] [CrossRef]
- Nowotarski, J.; Liu, B.; Weron, R.; Hong, T. Improving short term load forecast accuracy via combining sister forecasts. Energy 2016, 98, 40–49. [Google Scholar] [CrossRef]
- Jeong, S.; Park, I.; Kim, H.S.; Song, C.H.; Kim, H.K. Temperature Prediction Based on Bidirectional Long Short-Term Memory and Convolutional Neural Network Combining Observed and Numerical Forecast Data. Sensors 2021, 21, 941. [Google Scholar] [CrossRef] [PubMed]
- Shi, S.; Shi, S.; Zhang, K.; Zhang, K.; Shi, J.; Shi, J.; Hu, A.; Hu, A.; Zhao, D.; Zhao, D.; et al. Modeling TEC maps over China using particle swarm optimization neural networks and long-term ground-based GPS, COSMIC, and Fengyun data. Space Weather 2023, 21, 1–19. [Google Scholar] [CrossRef]
- Bates, J.M.; Granger, C.W.J. The Combination of Forecasts. J. Oper. Res. Soc. 1969, 20, 451–468. [Google Scholar] [CrossRef]
- Shi, J.; Wang, S.; Qu, P.; Shao, J. Time series prediction model using LSTM-Transformer neural network for mine water inflow. Sci. Rep. 2024, 14, 18284. [Google Scholar] [CrossRef] [PubMed]
- Wang, Z.; Wang, Q.; Liu, Z.; Wu, T. A deep learning interpretable model for river dissolved oxygen multi-step and interval prediction based on multi-source data fusion. J. Hydrol. 2024, 629, 130637. [Google Scholar] [CrossRef]
- Guo, X.; Wang, K.; Yao, S.; Fu, G.; Ning, Y. RUL prediction of lithium ion battery based on CEEMDAN-CNN BiLSTM model. Energy Rep. 2023, 9, 1299–1306. [Google Scholar] [CrossRef]
- Dong, J.; Zhang, Y.; Hu, J. Short-term air quality prediction based on EMD-transformer-BiLSTM. Sci. Rep. 2024, 14, 20513. [Google Scholar] [CrossRef] [PubMed]
- Ganaie, M.; Hu, M.; Malik, A.; Tanveer, M.; Suganthan, P. Ensemble deep learning: A review. Eng. Appl. Artif. Intell. 2022, 115, 0952–1976. [Google Scholar] [CrossRef]
- Zheng, G.-Q.; Kong, L.-R.; Su, Z.-E.; Hu, M.-S.; Wang, G.-D. Approach for Short-Term Power Load Prediction Utilizing the ICEEMDAN–LSTM–TCN–Bagging Model. J. Electr. Eng. Technol. 2024, 20, 231–243. [Google Scholar] [CrossRef]
- Gelvez-Almeida, E.; Mora, M.; Barrientos, R.J.; Hernández-García, R.; Vilches-Ponce, K.; Vera, M. A Review on Large-Scale Data Processing with Parallel and Distributed Randomized Extreme Learning Machine Neural Networks. Math. Comput. Appl. 2024, 29, 40. [Google Scholar] [CrossRef]
- Shaker, A.; Maaz, M.; Rasheed, H.; Khan, S.; Yang, M.H.; Khan, F.S. SwiftFormer: Efficient Additive Attention for Transformer-Based Real-Time Mobile Vision Applications. In Proceedings of the IEEE/CVF International Conference on Computer Vision (ICCV), Paris, France, 1–6 October 2023. [Google Scholar] [CrossRef]
- Dragomiretskiy, K.; Zosso, D. Variational Mode Decomposition. IEEE Trans. Signal Process. 2014, 62, 531–544. [Google Scholar] [CrossRef]
- Eyben, F.; Böck, S.; Schuller, B.; Graves, A. Universal onset detection with bidirectional long-short term memory neural networks. In Proceedings of the 11th International Society for Music Information Retrieval Conference (ISMIR 2010), Utrecht, The Netherlands, 9–13 August 2010. [Google Scholar]
- Zhou, H.; Zhang, S.; Peng, J.; Zhang, S.; Li, J.; Zhang, W. Informer: Beyond Efficient Transformer for Long Sequence Time-Series Forecasting. Proc. AAAI Conf. Artif. Intell. 2021, 35, 11106–11115. [Google Scholar] [CrossRef]
- Shangguan, M.; Cheng, X.; Pan, X.; Dang, M.; Wu, L.; Xie, Z. Assessments of global tropospheric delay retrieval from reanalysis based on GNSS data. Chin. J. Geophys. 2023, 66, 939–950. [Google Scholar] [CrossRef]
- Braun, J.; Rocken, C.; Ware, R. Validation of line-of-sight water vapor measurements with GPS. Radio Sci. 2001, 36, 459–472. [Google Scholar] [CrossRef]
- Yao, Y.; Xu, X.; Hu, Y. Precision analysis of GGOS tropospheric delay product and its application in PPP. Acta Geod. Cartogr. Sin. 2017, 46, 278–287. [Google Scholar] [CrossRef]
- Hersbach, H.; Bell, B.; Berrisford, P.; Biavati, G.; Horányi, A.; Muñoz Sabater, J.; Nicolas, J.; Peubey, C.; Radu, R.; Rozum, I.; et al. ERA5 hourly data on pressure levels from 1940 to present. In Copernicus Climate Change Service (C3S) Climate Data Store (CDS); Copernicus: Göttingen, Germany, 2023. [Google Scholar] [CrossRef]
- Huang, L.; Du, D.; Chen, F.; Zhang, H.; Zhu, G.; Liu, L. A Deep Learning-Based Approach for Directly Retrieving GNSS Precipitable Water Vapor and Its Application in Typhoon Monitoring. IEEE Trans. Geosci. Remote Sens. 2024, 62, 4111712. [Google Scholar] [CrossRef]
- Hochreiter, S.; Schmidhuber, J. Long short-term memory. Neural Comput. 1997, 9, 1735–1780. [Google Scholar] [CrossRef] [PubMed]
- Yu, C.; Li, Z.; Blewitt, G. Global Comparisons of ERA5 and the Operational HRES Tropospheric Delay and Water Vapor Products with GPS and MODIS. Earth Space. Sci. 2021, 8, e2020EA001417. [Google Scholar] [CrossRef]
- Chen, Q.; Song, S.; Heise, S.; Liou, Y.-A.; Zhu, W.; Zhao, J. Assessment of ZTD Derived from ECMWF/NCEP Data with GPS ZTD over China. GPS Solut. 2011, 15, 415–425. [Google Scholar] [CrossRef]
- Zhang, Y.; Cai, C. Method and Accuracy Assessment of Zenith Tropospheric Delay Derived from ERA5 Re-Analysis Data. J. Geod. Geodyn. 2020, 40, 62–65. [Google Scholar] [CrossRef]
- Vaswani, A.; Shazeer, N.; Parmar, N.; Uszkoreit, J.; Jones, L.; Gomez, A.N.; Kaiser, Ł.; Polosukhin, I. Attention is all you need. Adv. Neural. Inf. Process Syst. 2017, 30, 5998–6008. [Google Scholar] [CrossRef]
Disclaimer/Publisher’s Note: The statements, opinions and data contained in all publications are solely those of the individual author(s) and contributor(s) and not of MDPI and/or the editor(s). MDPI and/or the editor(s) disclaim responsibility for any injury to people or property resulting from any ideas, methods, instructions or products referred to in the content. |
© 2025 by the authors. Licensee MDPI, Basel, Switzerland. This article is an open access article distributed under the terms and conditions of the Creative Commons Attribution (CC BY) license (https://creativecommons.org/licenses/by/4.0/).










