Highlights
What are the main findings?
- Seagrass persistence varies by species and in space and is, generally, low.
- Seagrass diversity and extent on the Eastern Banks has declined.
What is the implication of the main finding?
- Time-series analysis reveals a broad ecosystem shift in dominant species.
- We present a repeatable, machine learning- and cloud-processing-based mapping workflow.
Abstract
Persistence of seagrass meadows varies depending on community composition, substrate stability, environmental forcing, and water quality/clarity. Spatial trends in decadal scale persistence are difficult to assess at the meadow scale using in situ approaches and assessments using Earth Observation often lack temporal consistency. This study utilises a multi-decadal field monitoring dataset and high-resolution multispectral satellite imagery in a cloud-processing environment to assess species distribution, seagrass cover, and meadow persistence. In this work, we investigate long-term trends in overall meadow and species-specific persistence in the Eastern Banks, Moreton Bay, Australia, a shallow, semi-enclosed, subtropical embayment (∼200 km2). Here, we have identified an overall decline in seagrass cover (−15% of the total study area), between 2011 and 2025, through contraction of meadow extent, with most losses in colonising species (Halophila spinulosa and Halophila ovalis) across the deeper sections of the study area. We have also quantified the spatial extent of a previously identified broad-scale ecosystem shift from meadows dominated by Zostera muelleri to a prevalence of Oceana serrulata, and reduction in the sparse cover species H. spinulosa and H. ovalis. We have presented a semi-automated cloud-processing based pipeline to combine in situ seagrass observations, derived from an expertly trained machine learning model, with high resolution multispectral data to assess seagrass cover and persistence. The variability in decadal-scale persistence between the six key species found in this region has been assessed, with dense cover species (e.g., O. serrulata and Z. muelleri) exhibiting moderate persistence (>0.32) and sparse cover species (H. ovalis and H. spinulosa) with low persistence (∼0.15). Colonising/opportunistic growth patterns characterise the species examined in this study, indicating quick response to disturbance but a lack temporal consistency in meadow form, which has critical implications for resilience.
1. Introduction
Seagrass meadows have high primary productivity and support high biodiversity [1,2], providing crucial ecosystem services including coastal protection [3,4,5], fish habitats [6,7], carbon sequestration [8], and food supply for coastal populations [9,10,11]. Despite their known importance, seagrass ecosystems are experiencing overall global decline [12,13,14,15] due to biological, environmental, or anthropogenically derived factors such as marine heatwaves [16], long-term climatic change [17] physical disturbance [18,19,20], disease outbreak [21,22], water pollution [23], and extreme weather events (e.g., floods and tropical cyclones) [24,25]. Monitoring these habitats is crucial for understanding natural variation, as well as influences from anthropogenic disturbances on their spatial and temporal trajectories [26,27]. Seagrass resilience is a complex interplay of various ecological attributes that enable these ecosystems to withstand and recover from disturbances such as floods and other stochastic pressures. The resilience of seagrass depends on three critical attributes: life history, meadow form, and habitat type [28,29]. Persistence describes the long-term and continuous existence of an ecosystem in a specific state, or with a specific community composition. This inter-annual to decadal scale information is vital for designing management and conservation strategies aimed at promoting seagrass health, resilience, and long-term persistence.
Monitoring seagrass ecosystems has traditionally been based on field observations of leaf, patch, and community characteristics [30,31]. These efforts are often restricted spatially to small, local scales of up to a few hundred square meters [32,33], and temporally, as they are conducted at a single point in time or after a particular disturbance event [34,35,36]. Field-based monitoring can only provide point-data information that covers a small portion of an entire ecosystem, often representing less than 1% of the full extent of a meadow, limiting our ability to track the spatial trajectories of entire systems that can extend beyond hundreds of square kilometres [37]. Additionally, recurrent monitoring exists in only a small number of locations [38,39] representing another limiting factor for understanding the temporal trajectories of keystone seagrass species composition and percent cover. This lack of consistent temporal coverage limits our understanding of appropriate baselines, natural trajectories, the influence of disturbance events, and the capability of ecosystems to recover [40,41]. Providing detailed spatial and temporal information that not only covers entire seagrass meadows but also spans more than a few years is crucial for effective management.
Remote sensing data, particularly satellite imagery, provides an alternative for monitoring species composition and percent cover that can extend beyond the spatial and temporal resolution of field-based monitoring [41]. By integrating field data and imagery from different sensors, such as Landsat (30 m × 30 m pixel) and Sentinel-2 (10 m × 10 m), previous research has described methodologies to quantify large-scale multitemporal trajectories of seagrass meadows [42,43]. However, the large difference between benthic feature size and pixel size has inspired other research efforts to successfully implement higher spatial-resolution imagery such as that provided by Ikonos (4 m × 4 m), QuickBird (2.4 m × 2.4 m), and WorldView-2 (2 m × 2 m) [43]. While these efforts have delivered robust, spatially explicit time series for seagrass ecosystem mapping, these methodologies are often hard to replicate. For example, thresholds for mono-specific pixel dominance (e.g., when a pixel contains mostly one single species) are often poorly reported, lack significant justification, or fail to capture the variability in seagrass species-specific growth patterns, community composition, and meadow formation [44].
In addition to temporal and spatial trends in species composition and benthic cover, other ecological information, such as functional traits, is crucial to understand and manage the health of seagrass systems [45,46]. By investigating the life history patterns of seagrass species at such broad spatial and temporal resolutions, and whether seagrass meadows are formed by dense or sparse species assemblages (as a proxy for seagrass functional traits), a more holistic understanding of benthic composition and trajectories in seagrass environments can be revealed [47]. Species are generally categorised as colonising, opportunistic, or persistent based on their resistance to disturbances and recovery ability. Colonising genera, like Halophila, have low biomass but can recover quickly due to high seed production. In contrast, more persistent seagrasses, such as O. serrulata, exhibit higher biomass, providing them greater resistance to environmental pressures. Some species exhibit opportunistic traits, blending characteristics from both categories, enhancing their adaptive potential in fluctuating conditions (e.g., Z. muelleri) [44,48].
The form of seagrass meadows, defined by species composition and density, also plays a crucial role in long-term persistence and resilience. Meadows can vary significantly in their characteristics even within small areas, influenced by environmental factors like hydrodynamic forcing and light availability [49,50]. For instance, shallow and deep meadows, although close, may differ drastically due to variations in benthic light conditions. Meadows are also comprised of either monospecific (e.g., single species) or mixed communities of seagrasses. Understanding these meadow dynamics is essential for effective monitoring and management strategies [51,52]. Persistence then describes how meadows respond to and recover from disturbance events, and how ecosystem services provided vary through time, making persistence a key indicator of resilience and ecological function [53,54,55]. However, quantifying persistence is often constrained to field-based monitoring across small areas due to limited spatial and temporal coverage of essential training data for remote sensing-based approaches [47,56].
The aims of this study are to (1) present an automated pipeline for estimating seagrass species composition, percent cover, and species persistence via remote sensing products, (2) investigate seagrass persistence over a decadal scale, and (3) identify potential shifts in dominant species and their distributions. To develop the method and conduct the analyses, we integrated the multi-decadal field data and high-resolution (2–3 m) multispectral satellite imagery available for the Eastern Banks seagrass meadows in Moreton Bay, southeast Queensland, Australia.
2. Materials and Methods
The pipeline for this research follows the methodology developed by [57], based on the initial work of [43], with the following steps: (1) classification of benthic composition in field observations (using benthic photo quadrats) through the automated machine learning program ReefCloud [58], (2) pre-processing of satellite imagery, (3) application of object-based classification of satellite imagery using field data via cloud-processing (Google Earth Engine (GEE)) [59], (4) validation of models to measure map accuracy, and (5) analysis of seagrass species and percent cover trajectories over time (Figure 1).
Figure 1.
Methodological workflow and overview diagram of the steps used to map benthic types and seagrass percent cover for the Eastern Banks, from 2011–2015 to 2021–2025, by integrating automated classification of georeferenced photoquadrats (via the machine learning software ReefCloud, see [58]) and high-resolution multispectral satellite imagery using cloud-processing tools [59]. The hierarchical thresholding approach that was utilised to define the ten benthic cover classes for species maps is also indicated (see also Section 2.2.1).
2.1. Study Area
The Eastern Banks are a shallow inter- and sub-tidal portion of Quandamooka Sea Country (Moreton Bay), southeast Queensland, Australia, covering an area of approximately 158.7 km2 (outlined area in Figure 2, right panel). The Eastern Banks are separated into five different bank areas: Amity, Chain, Maroom, Moreton, and Wanga Wallen [43] (Figure 2). These banks are characterised by the presence of six key seagrass species: Oceana serrulata (previously known as Cymodocea serrulata, see [60]), Halodule uninervis, Halophila ovalis, Halophila spinulosa, Syringodium isoetifolium, and Zostera muelleri [45,61]. These species typically fall into colonising (H. spinulosa and H. ovalis), opportunistic (S. isoetifolium and O. serrulata), or mixed colonising/opportunistic (Z. muelleri and H. uninervis) growth patterns with rapid responses to disturbance events [44].
Figure 2.
Location of Moreton Bay on the East coast of Australia (left panel—ESRI Satellite Basemap on the QGIS Software version 3.20 Odense), and the study area of the Eastern Banks with the location of the individual banks (right panel—Planet SuperDove captured on 22 July 2024 © 2024 Planet Labs PBC).
2.2. Datasets
From 2011 to 2015 and from 2021 to 2025, field data was collected during austral winter, in either June or July, with one field campaign in May (Table A1), to ensure optimal water quality for both in situ observations and associated satellite image acquisition. A high-resolution multispectral satellite image was captured as close as possible to the field campaign to keep consistency between the field and satellite data (Figure 3). Field data is not available for the years 2016–2020 due to a lack of resources to support field campaigns and since this time-series work was not funded from one project.
Figure 3.
Annual field data and satellite imagery for the Eastern Banks, southeast Queensland, Australia, from 2011 to 2015 and 2021 to 2025. Each box corresponds to a single sampling campaign with the location of the field surveys and the satellite image with the respective source: QB: Quickbird; WV2 = WorldView-2; and PL = Planet Labs (2021–2025 images © Planet Labs PBC).
2.2.1. Field Data Collection and Pre-Processing
Field data collection has been previously described in [38]. In short, georeferenced photoquadrats representing ∼1 m2 of the benthos were captured every 2–4 m along transects 200–1000 m in length. The transects were conducted by a snorkeller towing a small, handheld GPS so the photoquadrats could be geolocated using time synchronisation. To ensure representation of the benthic communities when collecting the field data, the locations of the transects were chosen based on visual assessments of satellite imagery as well as expert knowledge of the study area.
Benthic composition per photoquadrat was derived using the machine learning software ReefCloud [58,62]. Classification in ReefCloud consists of 50 randomly distributed points per benthic photoquadrat, over a total of 59,317 photographs for the entire record. A total of 2,965,850 points are assigned across the photo record with manual training data provided via expert assessment for 94,907 (3.2%) of these to inform the machine learning model [45].
From a total of 31 classification categories, we focused on eight major benthic classes in this study: Oceana serrulata, Halodule uninervis, Halophila ovalis, Halophila spinulosa, Syringodium isoetifolium, Zostera muelleri, Lyngbya majuscula (a toxic cyanobacteria), and sand. We removed photoquadrats in which the total sum of the eight major benthic classes was less than 90% to remove photos unsuitable for further analysis, which resulted in the removal of much less than 1% of the overall classified photoquadrat dataset.
As a measure of performance for the machine learning model, an score was used to assess model precision and recall, based on comparison to the manual training data. The overall score for the model was 0.82 with some variability between relevant classes used for subsequent mapping. Model precision for seagrass species is generally acceptable, varying between 0.52 (H. ovalis), 0.70 (S. isoetifolium and H. uninervis), 0.72 (Z. muelleri), 0.74 (H. spinulosa), and 0.92 (O. serrulata). Lyngbya and sand classifications were also reliable, both classes having an score of 0.90.
Each photoquadrat was assigned to a benthic cover mapping class that could be one of the eight major benthic classes or one of the two mixed cover types (mixed seagrass or mixed benthos), based on benthic cover. Hierarchical photoquadrat assignment thresholds (to one of the ten benthic classes listed here) were based on preliminary, exploratory analysis of benthic cover distributions of the major representative classes and their presence across the benthic dataset. Cover analysis consisted of a combined assessment of thresholds in density of cover using Jenks Natural Breaks Optimisation [63] and the overall variance in benthic cover (Figure A1). This preliminary assessment identified clear breaks in the distribution of cover for O. serrulata, Z. muelleri, H. uninervis, and S. isoetifolium between 30 and 40%, with lower thresholds for H. ovalis and H. spinulosa at 10–15%. The median in benthic cover per species was also considered and the threshold for dense cover was assigned at 40% and sparse cover at 5%. The class assignment for each photoquadrat was based on the distribution characteristics of the relevant seagrass species (e.g., dense vs cryptic seagrass species) [63,64,65] and the total seagrass (TS) percent cover (the sum of all seagrass species).
Class assignment was conducted in two stages. Firstly, photoquadrats dominated by seagrass (≥50% cover) were classified into dense or sparse species depending on cover thresholds identified in initial cover analysis. Dense cover species were identified first and comprised ≥40% of the image, and these species included O. serrulata, Z. muelleri, H. uninervis, and S. isoetifolium. Sparse cover species were identified next and comprised ≥5% of an image, where none of the dense species dominated. The sparse (or cryptic) species included H. spinulosa and H. ovalis. Of the remaining photoquadrats, those where TS was ≥50% but none of the previous thresholds were met, were classified as mixed seagrass. All remaining photoquadrats where TS < 50% were classified into either Lyngbya majuscula-dominated or sand-dominated, where either category was ≥50% of the total benthic cover. Photoquadrats that were not assigned to any of the previous classes were classified as mixed benthos (see Figure 1). It is important to note here that Z. muelleri and H. uninervis are similar in morphology and differentiation between these two species can be difficult [43]. However, the hierarchical assignment process detailed here will assign photoquadrats as Z. muelleri-dominant before H. uninervis assignment is defined, resulting in fewer H. uninervis-dominant training points, which is deemed appropriate based on the authors’ experience in the study area. The pioneering nature of H. uninervis [66] can result in meadows with higher proportions of sand compared to Z. muelleri and the inclusion of sand content in our seagrass thresholds enhances confidence in assigning photographs as H. uninervis-dominant.
In parallel, to map seagrass percent cover, each photoquadrat was assigned to one of seven seagrass percent cover classes using the following thresholds: (1) TS = 0 (no seagrass); (2) TS ≥ 1 and ≤10 (very low), (3) TS ≥ 11 and ≤20 (low); (4) TS ≥ 21 and ≤30 (low moderate); (5) TS ≥ 31 and ≤40 (high moderate); (6) TS ≥ 41 and ≤50 (high); or (7) TS ≥ 51 (very high).
2.2.2. Satellite Imagery Collection and Pre-Processing
Multispectral high-resolution (2–3 m) satellite imagery was captured for the study area as close as possible to the dates of the field campaigns each year. Spectral corrections were applied to the imagery from 2011 to 2015 as atmospheric corrections to surface reflectance using the ENVI® v5.6 (ENvironment for Visualising Images) module FLAASH® (Fast Line-of-sight Atmospheric Analysis of Hypercubes) [67], and co-registration was applied using a differential GPS to ensure spatial consistencies. This included imagery from the QuickBird and WorldView-2 sensors (Ball Aerospace & Technologies Corp., Broomfield, CO, USA). The imagery for 2021 to 2025 was selected from the Planet Explorer platform (https://www.planet.com/explorer/ (accessed 20 August 2025)), and it was filtered for cloud-free atmospherically corrected at-surface-reflectance imagery from the sensors Planet Dove-R and Planet SuperDove (Planet Labs, San Francisco, CA, USA), which also bypassed the need for co-registration as they originated from the same provider (Table A1). Imagery from Planet was acquired with existing atmospheric corrections and further spectral corrections were not necessary.
Satellite imagery was collected as close as possible to the field dates each year, usually within 1–2 weeks of field data collection. However, imagery in 2013 was collected 67 days after the field campaign, due to restrictions in satellite image tasking dates and issues with cloud cover. Similar issues with cloud cover, image quality, and image availability exist for more recent dates (image acquisition is 41 days after field work for 2022), though this is reduced by the frequent revisit time of the satellites in the Planet constellation (Table A1).
Default red, green, and blue bands were selected from each image. Specifically; Quickbird imagery includes bands 1 (blue: 450–520 nm), 2 (green: 520–600 nm), and 3 (red: 630–690 nm); WorldView-2 imagery includes bands 2 (blue: 450–510 nm), 3 (green: 510–580 nm), and 5 (red: 630–690 nm); and Planet imagery includes bands 2 (blue: 465–515 nm), 4 (green: 547–583 nm), and 6 (red: 650–680 nm).
Using the at-surface-reflectance imagery in the cloud-based Google Earth Engine (GEE) platform, we calculated statistical layers for each image to provide a more robust set of parameters to be included in the classification process. This process calculated the following layers: mean, median, standard deviation, texture measurements from the grey-level co-occurrence matrix (GLCM), principal component analysis (PCA), and simple non-iterative clustering (SNIC) segmentation [68,69,70]. The SNIC segmentation is conducted across the red, green, blue, and depth layers (see Section 2.2.3). Segmentation utilises a hexagonal grid and defines pixel connectivity relationships for the purposes of superpixel clustering across the key image bands for habitat classification.
2.2.3. Physical Attributes
Based on previous research [61], most seagrass in this area occurs down to depths 3 m below the lowest astronomical tide (LAT) (see Figure A2). Since the seagrass meadows in the Eastern Banks are located atop a series of mobile sand banks [71] within a large-scale longshore drift system [72], different bathymetric datasets were required to properly mask the area for appropriate depth. Two bathymetric datasets are available for this section of Moreton Bay, collected in 2012 and 2022. Both datasets provide satellite-derived bathymetry and are validated from previous work not part of this study. The 2012 bathymetric dataset was determined by combining local tidal data and geolocated echosounder data from the vessel used in the June photoquadrat field campaign of 2012, along with satellite imagery collected at a similar time (e.g., see [43]). A commercial bathymetric dataset from EOMAP was instead used for 2022 [73]. Water quality is typically best in winter for Moreton Bay and clarity is higher in the eastern portions of the bay, closer to where clear oceanic waters regularly flood into the embayment [74,75]. As such, confidence in satellite-derived bathymetric products is higher during this time.
Due to the natural changes in depth that can occur over time and space here, and associated bathymetric layers used between the periods 2011–2015 and 2021–2025, the total mapped area differs between each temporal group [71]. The area of the banks that is ≤3 m in depth is approximately 83.0 km2 in 2011–2015, while this increased to 102.8 km2 for 2021–2025. Note that this area differs significantly from the total area of the study region in Figure 2, due to the depth threshold applied. The majority of this change was in the southern portions of the Maroom banks, the western portion of Chain banks, and the north eastern section of the study area at the mouth of the bay (see Figure 2 for bank names and Figure A2 for a summary of bathymetric changes).
To accompany the depth layers used to mask the appropriate areas for mapping, a hydrodynamic layer was included, encompassing mean surface wave conditions expected within Moreton Bay [76]. Mean wave conditions were determined using a spectral wave model SWAN (Simulating WAves Nearshore) [77] to propagate the long-term (1979–2025) mean deep-water wave regime, derived from the Centre for Australian Weather and Climate Research (CAWCR) wave hindcast dataset, to shallow water [78,79]. This approach allows for the assessment of wave attenuation and modification via key near coastal processes, including wave-wave interaction, wind generation, and bottom friction [76]. This layer was then included in the classification algorithm used here.
2.3. Seagrass Species Composition and Abundance Mapping and Accuracy Assessment
Benthic habitat maps, including seagrass species composition and seagrass percent cover maps were produced through a series of scripts implemented in GEE (for code access see the Data Availability Statement in this article). This included the creation of calibration and validation sets from the original field data, benthic type class assignment, and seagrass percent cover class assignment, as well as their respective overall, producer’s, and consumer’s accuracy assessments of each set of maps [80].
Calibration and validation sets were created by splitting the original field dataset using a uniform random sampling approach. This sampling approach was used separately on each set of annual field datasets to divide the training data into 80% calibration and 20% validation, with each set mutually exclusive, across each of the benthic categories to remove the potential effects of class imbalance. Resampling was conducted using the “.randomPoints” built-in function in GEE [57,81]. We also note that, because the validation points were randomly selected, some spatial autocorrelation may exist. However, the resampling approach was implemented to ensure coverage and representation across all benthic classes and percent cover levels, which helps to mitigate potential autocorrelation biases.
For every year, the calibration set was overlaid with the respective pre-processed satellite imagery and the co-variables associated with each benthic type and seagrass percent cover class. The overlaid calibration points were used to train a Random Forest (RF) classifier followed by object-based automated contextual editing. The RF classifier was trained with 500 trees per class and a minimum leaf population of 2. At each node split, the square root of the total number of covariates was used as the number chosen [82,83]. By repeating this process every year for each set of maps (one for benthic type and one for seagrass percent cover) in parallel, two sets of ten maps were produced where each pixel was assigned to one of the ten benthic types and one of the seven seagrass percent cover classes.
Accuracy assessments presented in the species cover and percent cover maps represent assessments of accurate assignment of training data, assuming the training data itself is accurate. We acknowledge here the potential for cascading uncertainty between the fusion of several input models where each sub-model (e.g., satellite-derived bathymetry, wave data, and classified photoquadrats) possesses its own uncertainty/error which may be inherited by subsequent habitat classification models [84]. While a comprehensive measure of overall accuracy across the complex fusion of several input models would be ideal, this is beyond the scope of the current work and it is instead suggested here as future work to assess the nonlinearity and intricacies in weighting accuracy, precision, recall, and other metrics across all levels of input in model fusion.
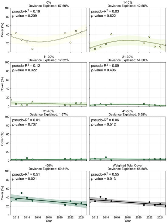
2.4. Trend Analysis
Trend analysis of both single species cover and seagrass percent cover classes was conducted to identify the overall rate of change in proportional cover (%/year) by bank, and in total across the entire study area. Rates were identified as simple, linear year-by-year rates of percentage change in pixel count by utilising a Generalised Additive Model (GAM) and the SciPy and pyGAM packages in Python v3.14 [85,86]. Overall model fit was assessed via a pseudo R2 parameter, using a log likelihood ratio as per the derivation of McFadden [87], where R2 values of >0.4 are often considered indicators of good fit. Residual analysis was also used to assess model fit (see the Figure A3, Figure A4, Figure A5, Figure A6, Figure A7, Figure A8, Figure A9, Figure A10, Figure A11, Figure A12, Figure A13, Figure A14, Figure A15, Figure A16, Figure A17, Figure A18, Figure A19, Figure A20, Figure A21, Figure A22, Figure A23, Figure A24, Figure A25 and Figure A26 for further details). The overall change in species distribution and seagrass percent cover was identified via the difference in surface area between the oldest (2011) to the most recent (2025) classified imagery.
2.5. Per-Pixel Analysis
Per-pixel seagrass persistence was assessed to investigate whether species across the Eastern Banks were opportunistic, colonising, or persistent, and to identify areas of species dominance or species shifts [44,48]. Per-pixel persistence was calculated as the total count of instances where a particular species was dominant in a pixel, divided by the total number of time steps, using a simplified version of the temporal persistence workflow presented in [88]. This gives persistence values ranging from 0 (never present) to 1 (always present). This analysis was conducted per species and as an aggregate for overall meadow persistence by assessing temporal variations in simple presence/absence derived from species cover maps.
3. Results
3.1. Seagrass Species Composition
3.1.1. Species Mapping and Accuracy
Seagrass species cover maps achieved overall accuracies ranging from a minimum of 69% in 2015 to a maximum of 78% in 2021, with a mean accuracy of 73% across all classes and all years (Figure 4 and Table 1). As for accuracy per species, H. spinulosa had the lowest mean producer’s accuracy (48%), while O. serrulata and H. uninervis had the highest (85%), followed by sand (77%) and H. ovalis (75%). The remaining classes ranged between 62% and 68%, excluding Lyngbya and S. isoetifolium, which lacked accuracy metrics for multiple years, due to limited training data. Specifically, S. isoetifolium lacked training data for 2022–2025, and Lyngbya for all years except 2011, 2013, and 2024 (Table 1). These gaps reflect the scarce distribution of S. isoetifolium across the Eastern Banks in later years and the ephemeral behaviour of Lyngbya majuscula—a toxic cyanobacteria influenced by seasonal variations in ocean temperature and water quality [89].
Figure 4.
Satellite-derived seagrass species cover maps across the Eastern Banks, southeast Queensland, Australia, with the six dominant species observed in the study area (O. serrulata, Z. muelleri, H. uninervis, H. spinulosa, H. ovalis, and S. isoetifolium), with mixed seagrass or mixed benthos pixels, sand-dominated pixels, and pixels dominated by Lyngbya majuscula, a toxic cyanobacteria. Seagrass cover reflects the variable thresholds outlined in Section 2.2.1.
The highest mean consumer’s accuracy belonged to O. serrulata (87%), followed by sand (80%), S. isoetifolium (78%), Z. muelleri (76%), and H. uninervis (76%). Both the sparse cover species, H. ovalis (68%) and H. spinulosa (65%), had similar accuracies, comparable to the accuracy of the mixed benthos class (68%), where mixed seagrass showed the lowest mean consumer’s accuracy (59%).
3.1.2. Species Composition and Pixel Distribution Trends
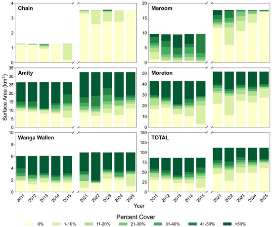
Over the study period (2011–2025) there was an increase in sand cover (+21.07%) while seagrass extent has decreased (−14.99%) across the entire study area (Figure 4 and Figure 5). The observed decreases in seagrass cover in favour of sand was concentrated in the western portions of the Eastern Banks (Maroom, Chain, and Moreton banks) in pixels that were initially classified as the two sparse cover species, H. ovalis and H. spinulosa. Specifically, the Chain banks area shifted from very low total seagrass cover (99.67% sand) in 2011 to no seagrass cover, while Maroom banks shifted from a majority of sparse seagrass cover to sand dominance, with 96.98% sand cover and 3.02% seagrass cover in 2025 compared to 41.83% sand and 48.08% seagrass in 2011 (with the remainder classified as mixed benthos or Lyngbya). The Moreton banks had a similar, though less pronounced, shift from seagrass to sand, with 51.87% sand and 45.14% seagrass in 2011 to 70.51% sand and 29.30% seagrass in 2025. Most of this shift was, again, within pixels that were dominated by sparse cover species, which were concentrated on the western portions of the Moreton banks. Of the remaining sites, the change in sand cover across Amity banks was small and positive (+7.52%), again concentrated across pixels previously dominated by H. spinulosa and H. ovalis, while Wanga Wallen showed a larger rate of sand cover increase, mostly in the northern regions where the observed 13.31% increase in sand cover is concentrated.
Figure 5.
Surface area (km2) of the ten benthic cover types used, divided by bank (see Figure 2), across the study area and also depicted as the total surface area across the entire Eastern Banks region.
Figure 6.
Satellite derived seagrass percent cover maps across the Eastern Banks, southeast Queensland, Australia, divided into cover thresholds with ranges of 10%, with additional classes for no seagrass (0%) and seagrass majority (≥50%).
Table 1.
Accuracy metrics for seagrass species and percent cover maps (see Figure 4 and Figure 6). Full accuracy metrics are provided in Table A2 and Table A3.
| Year | 2011 | 2012 | 2013 | 2014 | 2015 | 2021 | 2022 | 2023 | 2024 | 2025 | Mean |
|---|---|---|---|---|---|---|---|---|---|---|---|
| Species Cover Accuracy (%) | 74 | 71 | 74 | 72 | 69 | 78 | 73 | 72 | 71 | 77 | 73 |
| Percent Cover Accuracy (%) | 58 | 64 | 60 | 62 | 60 | 55 | 58 | 60 | 56 | 61 | 59 |
The rate of change in total pixel distribution by species decreased at a significant rate for Z. muelleri (−0.82%/yr, , R2 = 0.51), H. ovalis (−0.89%/yr, , R2 = 0.57), and S. isoetifolium (−0.24%/yr, , R2 = 0.65), while H. uninervis decreased at a non-significant rate (−0.56%/yr, , R2 = 0.10). Only the O. serrulata (+0.72%/yr, , R2 = 0.65) and sand (+1.96%/yr, , R2 = 0.60)-dominant cover classes increased significantly across the study period, while H. spinulosa (+0.22%/yr, , R2 = 0.06) cover increased at a non-significant level. Overall, O. serrulata extent increased from 7.57% to 11.81% mostly in areas previously dominated by Z. muelleri, which conversely experienced decreases from 18.47% in 2011 to 10.65% in 2025 across the entire study area. Shifts in Z. muelleri-dominant meadows to those with a higher concentration of O. serrulata were mainly observed across the Amity and Wanga Wallen banks. On the Amity banks an initially even distribution of Z. muelleri (16.58%) and O. serrulata (15.22%) shifted to a dominance of O. serrulata (24.25%) over Z. muelleri (11.50%). Similar trends were observed across the Wanga Wallen site with a shift from Z. muelleri dominance (23.54% to 18.56%) to O. serrulata dominance (16.37% to 25.53%).
3.2. Seagrass Percent Cover
3.2.1. Percent Cover Mapping and Accuracy
The seagrass percent cover maps were lower in overall accuracy compared to the species cover maps, ranging from 55% to 64% with a mean of 59% across seven classes (Table 1). Producer’s accuracy was highest for the no seagrass cover class (77%), with a similar consumer’s accuracy (70%). Consumer’s accuracy was highest for the seagrass majority (≥50% cover) class (90%), followed by the no seagrass class. Both producer’s and consumer’s accuracies were highest for denser cover classes (31–40% and 41–50% cover), ranging from 53 to 68% and 52 to 90%, respectively. Remaining classes had similar accuracies across both metrics, between 48% and 56%.
3.2.2. Percent Cover and Pixel Distribution Trends
Across the entire study area, there was a large decrease in seagrass cover, with a larger proportion of the lower cover classes (0% and 1–10%) in later imagery (Figure 6 and Figure 7). All cover classes for seagrass cover above 10% decreased across the study period with the most pronounced changes in the seagrass majority class at −6.59% of pixels, with a rate of −1.06%/yr. Both Chain and Maroom banks showed notable increases in sand cover, with the latter seeing a decrease in all seagrass percent cover classes, except 1–10% and 41–50%. Both Amity and Wanga Wallen showed no major change in overall seagrass cover, while Moreton showed a decrease, mostly in the denser cover classes and in the 11–20% class.
Figure 7.
Surface area (km2) of seagrass percent cover classes, divided by bank (see Figure 2), across the study area and also depicted as the total surface area across the entire Eastern Banks region.
Across Amity, Moreton, and Maroom, the greatest annual rates of change were within the lowest (0% cover) and highest (≥50% cover) cover classes. The most notable change in cover class distribution for Wanga Wallen was a consistent annual increase in the 1–10% cover category. The changes in the 1–10% cover class were variable but were some of the largest overall changes across the entire study area (+3.07%), Amity (+4.18%), Moreton (+7.62%), Maroom (−25.59%), and Wanga Wallen (+27.77%). Across Wanga Wallen, the low (1–10% cover) to no cover (0% cover) classes constituted a large area (33.23%) that increased (44.73%) through time while the dense cover class (≥50% cover) also increased (from 34.17% to 45.62%), with the remaining classes (11–50% cover) decreasing in area (from 32.60% to 9.64%).
3.3. Per-Pixel Persistence Analysis
The total loss of seagrass across the entire study area equated to 33.81% of all pixels, or approximately 17.04 km2 in surface area, while seagrass gain was limited to 14.41% or 7.26 km2 (Figure 8). The remaining 51.79% or 26.11 km2 was relatively stable, with some variation in seagrass cover over the study period. The mean persistence across all species is 0.64, where 0 was never present and 1 was always present; however, there was large variability in this data, with a standard deviation of 0.30.
Figure 8.
Decadal-scale seagrass persistence across the Eastern Banks, southeast Queensland, Australia, divided amongst (a) overall persistence in presence of any seagrass species, (b) persistence variability/pixel stability, and persistence by species (c) O. serrulata, (d) Z. muelleri, (e) H. uninervis, (f) S. isoetifolium, (g) H. spinulosa, and (h) H. ovalis across the period 2011–2025. Seagrass icons gathered from © SeagrassWatch (https://www.seagrasswatch.org/idseagrass/ (accessed 2 November 2025)).
There was noticeable spatial variation in pixel persistence. Most high persistence (>0.8) pixels were clustered around the central portion of Moreton banks, or within the Amity and Wanga Wallen areas (Figure 8). Moderate persistence (0.4–0.8) pixels were distributed across the western portion of the Moreton and Amity banks and across the entirety of Maroom. The lowest persistence (<0.4) pixels were found mostly in the far western portion of Moreton, within Chain, in the eastern sections of Wanga Wallen closer to the coast, and in the northern portions of Amity banks closer to the entrance to Moreton Bay.
Species-specific persistence varied between 0.36 and 0.44 for O. serrulata and Z. muelleri, respectively, while other species varied between 0.26 and 0.30. The variability in persistence was highest for O. serrulata and Z. muelleri, with standard deviations of 0.22 and 0.26 respectively, while all other species were notably lower, between 0.11 and 0.16. The maximum persistence value for both H. spinulosa and H. ovalis never reached 1 for any pixel, although H. uninervis, O. serrulata, and Z. muelleri did.
Persistence of H. ovalis and H. spinulosa was highest on the Maroom banks (0.29 and 0.32, respectively), followed by Moreton banks for H. ovalis (0.27), and Amity banks for H. spinulosa (0.25). O. serrulata was most persistent across Wanga Wallen (0.52) while Z. muelleri had the highest mean persistence of any species at Moreton (0.58), where H. uninervis (0.30) and S. isoetifolium (0.33) were also most persistent. Z. muelleri had similar persistence values at both Amity and Wanga Wallen (both 0.37), with the lowest persistence at Maroom (0.25). O. serrulata was somewhat persistent across both Amity (0.36) and Moreton (0.31), with the lowest persistence values across Maroom (0.23).
4. Discussion
In this study, we provided a replicable, automated pipeline for estimating seagrass percent cover, species composition, and persistence using field data and high-resolution multispectral satellite imagery. We implemented this methodology to investigate seagrass percent cover and composition across the Eastern Banks, Southeast Queensland, Australia, over a decadal scale, and identified potential shifts in dominant species and their distributions. Remote sensing products provide the ability to estimate surface area for seagrass species and other benthic communities (e.g., mixed seagrass, sand, and mixed benthos), which enables a more spatially comprehensive understanding of benthic composition trajectories than through field-based monitoring alone [90,91]. Additionally, remote sensing allows for increased spatial coverage compared to point-data while also increasing consistency and repeatability, resulting in an overall positive balance for quantifying seagrass meadow extent, distribution, composition, and trajectories, which are useful metrics for managers for estimating ecosystem services [92,93].
The resulting classification products provided an overall accuracy of 73% for species composition, and 59% for percent cover, which are comparable to other seagrass mapping methodologies [94,95,96] and mapping efforts for other marine and terrestrial systems [42,97,98,99]. While the satellite imagery used for this study originated from multiple sensors and provided different spatial resolutions (i.e., pixel size), imagery resolution differences did not appear to have a major influence on mapping accuracy, beyond a minor anomalous trend in H. ovalis in 2013 for the Chain banks area (Figure 4). Spectral differences between sensors are small for the red, green, and blue bands utilised in this work. Each sensor has similar bandwidths and central wavelengths, with Planet having the lowest spectral range for these bands. However, these minor differences in spatial resolution (2–3 m pixel sizes) and spectral bands between the different sensors used here may produce discrepancies in seagrass cover derived from our image processing workflow, though similar work has also produced benthic habitat maps with high confidence using multiple sensors [100,101]. Temporal discrepancies between in situ sampling and satellite image acquisition can introduce potential errors due to seasonal and event-driven changes in benthic habitat [102]. It is difficult to assess the impacts of such temporal mismatch in our present study, but the potential for errors when the time difference between field campaigns and satellite image capture is large is acknowledged here.
The utilisation of multiple sensors represents an advantage as, since 2016, the Planet Dove constellation (3 m resolution) has provided an almost daily image capture. This is a major development for time-series analyses as it allows for optimal image selection based on field data collection dates and environmental variables such as cloud cover, tidal stage, and sun glint.
4.1. Spatial Trends in Seagrass Cover
Across the Eastern Banks we observed an overall decline in seagrass cover and a general shift to a more sand-dominated environment. Similar trends of seagrass decline were observed previously in other regions comprising the eastern and northern extremities of Moreton Bay [103,104] and have been attributed to large volumes of sand movement into, out of, and within the outer bay [48,105,106]. Most of this decline in the Eastern Banks was attributable to decreases in Z. muelleri cover and of colonising species such as H. ovalis and H. spinulosa. Overall, areas where Z. muelleri was initially dominant had shifted to a dominance of O. serrulata. This may be due to potential long-term ecosystem adjustments following flooding events in 2011 and 2022 [103] or declining water quality [107] and increased anthropogenic induced pressures [48]. Further work is required to attribute environmental forcing mechanisms to observed seagrass decline. These trends reflect and expand on the general ecosystem shifts observed on the banks in previous work which analysed the corresponding in situ data [45].
While, in general, this decline in seagrass cover was clear across the study region, there was large spatial variability in per-pixel seagrass stability and overall species-level persistence across the Eastern Banks (Figure 8). The largest increase in bare sand substrate was observed on the Maroom banks, where there was also a near total loss of all seagrass species previously observed, with only sparse H. spinulosa cover remaining. Similar trends were observed across the Chain banks, where there was a complete loss of seagrass for the areas mapped, though seagrass cover was initially very low. It is worth noting that these trends were not observed in previous work that utilised only field data, due the lack of coverage of photo quadrats across Chain banks, highlighting again the advantages provided by satellite-derived habitat mapping approaches [45]. For the remaining banks, there was a consistent pattern of contraction of the spatial extent of seagrass pixels found. On the Moreton banks, this was observed as a retreat of seagrass from the western extremities of the area, in deeper water, to the shallower and more densely covered eastern sections of the banks. This retreat was observed mostly in the colonising species H. ovalis and H. spinulosa [44], which tend to prefer deeper areas on the periphery of the raised sand banks that define the Eastern Banks region [48]. In addition, there was a major decrease in Z. muelleri and a minor increase in O. serrulata. Seagrass cover across the Amity and Wanga Wallen banks decreased marginally, with greater decreases observed in the western areas and deeper water sections of the Amity banks and around the northern and eastern portions of Wanga Wallen. Again, there was a shift to O. serrulata dominance over Z. muelleri in both sites, potentially reflecting the more tolerant nature of O. serrulata compared to Z. muelleri to persistent long-term stressors and environmental modifications [108] and the ability of O. serrulata to rapidly colonise disturbed areas [109]. For Wanga Wallen, there was a southward migrating sand spit that inhibited seagrass cover in the north, with colonising species replacing previous Z. muelleri dominance.
Importantly, this shift is not only a matter of reduced coverage, but an apparent shift in meadow structure to favour smaller, denser meadows surrounded by patches of sparse seagrass cover. There was a moderate increase in both low and high cover classes, specifically in classes with cover ranges of <10% or >50%, at the expense of moderate cover areas. This reflects the spatial patterns of seagrass meadow contraction identified here, as well as the reduction in moderate cover in favour of colonising behaviour on the periphery of the denser meadows across the Eastern Banks.
In general, the ecological mechanisms that enable seagrasses to withstand and recover from disturbances such as floods and other stochastic pressures is a complex interplay of three critical attributes: life history (e.g., shoot turnover, genet persistence, and reproductive characteristics), meadow form (defined by species composition and density), and habitat type (e.g., light, nutrient levels, substrate type, and hydrodynamic conditions) [104]. Our mapping analysis revealed instances of species shifts and overall decline, and we thus encourage further ecological studies to disentangle environmental drivers with seagrass species responses. Such efforts are important for also establishing management goals and guiding restoration.
4.2. Spatial Trends in Seagrass Persistence
The Eastern Banks lacks larger, temperate species with high persistence (e.g., Posidonia and Amphibolis genera found in temperate Australia [110]), with most species in the area following colonising or opportunistic growth models [44]. Persistence analysis revealed that the most stable areas were the Amity banks, central Moreton banks, and the central to southern Wanga Wallen banks (Figure 8). Persistence was low to moderate in Maroom, the western Moreton banks, and deeper sections of Amity and Wanga Wallen. Areas where persistence was highest were dominated by O. serrulata or Z. muelleri, occasionally interspersed with S. isoetifolium when present, while low persistence regions were dominated by H. uninervis, H. spinulosa, or H. ovalis. The variations in persistence across the banks and the variability in cover and species distribution through time suggest that local sedimentary, water quality, and hydrodynamic regime changes might be strong influences on these communities [111,112,113] and further investigation regarding seasonal shifts in environmental forcing and benthic response is required. In addition, further analysis regarding the impacts on carbon sequestration potential resulting from observed ecosystem shifts and persistence analysis conducted here would provide valuable insights into the ecosystem services provided by these seagrass environments [114].
The influence of fluvial discharge on the eastern portion of Moreton Bay is typically small during non-flooding periods, during austral winter when field work was conducted and imagery was collected [115,116]. Flooding events have been shown to have a significant impact on the benthic communities in the eastern portions of Moreton Bay through short-term changes in salinity and water quality [103,107,117]. Further to this, dredging impacts and anthropogenic initiated mobilisation of sediments can be relevant throughout the year, due to proximity to Brisbane [113,118]. The dynamic nature of the sedimentary structures that support the seagrass meadows in this region result in seagrass persistence in stable, shallow regions far from mobile channels where sediment movement and resuspension potential are lower [119]. The smaller, less persistent species such as H. spinulosa and H. ovalis therefore tend to exist in greater proportions on the perimeter of the banks in deeper waters and throughout these mobile channels, due to their colonising nature and ability to grow quickly and respond to disturbances [44,120].
Worldwide, seagrass ecosystems face unprecedented threats from marine heatwaves, extreme weather, water pollution, and destructive practices like dredging and trawling, leading to a global decline in seagrass cover and changes in community structure [29,121,122,123]. Disturbances reduce habitat extent and potentially impact seagrass ecological resilience and capacity to deliver essential services, such as nutrient cycling, carbon sequestration, coastline protection, and providing habitat for a diverse array of ecologically and economically important marine life from invertebrates to higher trophic levels [4,10,12,124].
Within Moreton Bay, declining water quality has negatively affected coral [125,126] and seagrass communities [103,104]. Particularly within Deception Bay (northwestern edge of Moreton Bay), where nearly 50% of the seagrass meadow was lost, with the near local extirpation of Syringodium isoetifolium following the negative effects of the 2011 flooding event [103]. Similarly, following the 2022 flooding event, seagrass extent was also greatly reduced in the Eastern Banks due to turbid waters, where shifts in species abundance may signify a potential trend towards more transitory coloniser seagrass communities [104]. In particular, the 2022 flood event elevated surface water nutrient content and turbidity roughly ten times above the normal background level, with large swaths of fine sediment deposited across most of the bay [107]. Mapping of seagrass meadow extent in the southern part of Moreton Bay also revealed meadows were becoming increasingly fragmented [127]. These disturbances (e.g., the 2011, 2013 and 2022 floods), dredging, and wastewater discharge have likely contributed to a declining trend in ecosystem resilience and the ability to deliver ecosystem services [103,107,128].
While our mapping study is not the first to document seagrass decline in Moreton Bay [43,61,129], we do reaffirm these trends of diminishing seagrass cover and changes in community structure (particularly shifts of Z. muelleri to O. serrulata) and, similarly to Udy et al. [104], revealed losses in H. spinulosa and H. ovalis, particularly across the deeper sections of the study area. Thus, the variability in decadal-scale persistence between the six key species found in this region indicates these species can respond quickly to disturbance but lack temporal consistency in meadow form.
5. Conclusions
In this study, we have provided a robust, repeatable framework for assessing seagrass change across large spatial and temporal scales using Earth Observation, which expanded on existing methodologies and provided an improved understanding of seagrass persistence over a decadal scale. Specifically, in this study, we have presented a semi-automated cloud-processing-based pipeline to combine in situ seagrass observations with high resolution multispectral data to assess seagrass cover and persistence. Comparisons with previous analyses in Moreton Bay conducted using in situ sampling reflect the suitability of this approach for reliable upscaling for seagrass species cover and persistence modelling. The temporal and spatial extents of this study have allowed for estimation of species level persistence at the pixel level, highlighting the strength of Earth Observation approaches over methodologies that only utilise data collected in the field.
The seagrass meadows across the Eastern Banks are dynamic with, relatively, low persistence (0.53) and an overall trend of decline (−15% of total surface area) in both meadow diversity and extent. While the six species found here have been identified as both colonising and opportunistic in the past, most tended to exhibit primarily colonising behaviours over this study period, with low persistence and high spatial variability in both presence and extent. Specifically, Z. muelleri and O. serrulata are the two dominant species that form the most persistent (mean persistence > 0.32) and expansive meadows with the remaining species found within meadows or on the periphery, with generally low cover and persistence (mean persistence 0.13–0.17). The long-term decline in seagrass cover observed in this study is consistent with global trends, though the exact forcing mechanisms remain unknown. Further, integrative monitoring programs that include benthic habitat monitoring as well as observations of potential forcing mechanisms (e.g., water quality, wave action, sedimentation, and physical disturbance) is critical for the detailed assessment of the drivers for observed changes in seagrass spatial extent.
Author Contributions
Conceptualization, D.C., D.E.C.R. and C.M.R.; methodology, D.E.C.R., D.C. and C.M.R.; software, D.E.C.R. and D.C.; validation, D.C. and D.E.C.R.; formal analysis, D.C. and D.E.C.R.; investigation, D.C. and D.E.C.R.; resources, D.C., D.E.C.R. and C.M.R.; data curation, D.C., D.E.C.R., J.N.S., K.M.G. and C.M.R.; writing—original draft preparation, D.C., D.E.C.R., C.M.R., F.F.D., N.M.H., J.N.S. and K.M.G.; writing—review and editing, D.C., D.E.C.R., C.M.R., F.F.D., N.M.H., J.N.S. and K.M.G.; visualization, D.C. and D.E.C.R.; supervision, D.C. and C.M.R.; project administration, C.M.R. and D.C.; funding acquisition, C.M.R. All authors have read and agreed to the published version of the manuscript.
Funding
This research was funded by SmartSat CRC project “P6-05: Developing capability to assess live coral cover and seagrass species using satellite based hyperspectral imagery”, and funding provided by the State Lottery Cooperation. Previous funding was provided for data collection by the University of Queensland; CSIRO; Cooperative Research Centre Coastal Zone, Estuaries and Waterways Management; ARC Linkage Grant awarded to Prof. J. Marshall and Prof. S. Phinn; UQ-UWA Collaborative Research Grant awarded to Prof. van Niel; and the Goodman Foundation.
Data Availability Statement
Field and satellite data can be accessed upon request. The pre-processing of field data and the habitat mapping scripts can be found via the following link: https://github.com/memlUQ/HabitatMapping (accessed on 9 December 2025).
Acknowledgments
Acknowledgement is given to current and past staff, students and volunteers at the University of Queensland, particularly the Marine Ecosystem Monitoring Lab for the collection, analysis, and curation of long-term monitoring data in Moreton Bay since 2004. We would also like to thank the University of Queensland Moreton Bay Research Station staff for their support during all the surveys. The authors would also like to acknowledge the peoples of Quandamooka country, the land and sea on which the work was conducted, and the rangers of the Quandamooka Yoolooburrabee Aboriginal Corporation (QYAC) for their knowledge and support. Thanks is also given to Planet Labs PBC for access to high spatial resolution Planet imagery via an education and research agreement between Planet and academic institutions. We would like to thank Stuart Phinn, Mitchell Lyons, Kathryn Markey and Eva Kovacs for supporting the initial data collection and analysis. We would also like to acknowledge the contribution of Muhammad Hafizt, who provided valuable feedback and final comments to the manuscript before submission.
Conflicts of Interest
The authors declare no conflicts of interest.
Abbreviations
The following abbreviations are used in this manuscript:
| ENVI | ENvironment for Visualising Images |
| FLAASH | Fast Line-of-Sight Atmospheric Analysis of Hypercubes |
| GAM | Generalised Additive Model |
| GEE | Google Earth Engine |
| GLCM | Gray-Level Co-occurrence Matrix |
| GPS | Global Positioning System |
| PCA | Principal Components Analysis |
| PL | Planet Labs |
| RF | Random Forest |
| SNIC | Simple Non-Iterative Clustering |
| SWAN | Simulating WAves Nearshore |
| QB | Quickbird |
| TS | Total Seagrass |
| WV2 | WorldView 2 |
Appendix A
Appendix A.1
The mapping cover class decision framework is presented here, including the seagrass species-specific cover thresholds identified from exploratory analysis of field data (Figure A1).
Figure A1.
Seagrass species cover probability distributions based on in situ observations from photo quadrat surveys. Plots show the distribution of field data for the six key seagrass species found in the study site, including the median (black text), mean (red text), and interquartile range in the interior box plot. This is coupled with probability distributions estimated using a kernel density function to highlight the probability distributions for each species and provide a basis for threshold definition in thematic mapping.
Appendix A.2
Imagery details and field observation metadata is presented here, including imagery source, sensor details, atmospheric corrections applied, field dates, imagery acquisition date/time, and tidal stage at image acquisition.
Table A1.
Summary of field data and multispectral sensors used in the mapping process used in this study. Atmospheric correction algorithms are indicated, as are field survey and imagery dates, with the time difference (in days) between survey end and image acquisition. The tidal stage at image acquisition time is shown, where Moreton Bay is a mesotidal embayment with a spring tide range of ∼1.5–2 m. Sensor names are abbreviated as WV2 = WorldView 2, QB = Quickbird, and PL = Planet Dove-R or SuperDove.
Table A1.
Summary of field data and multispectral sensors used in the mapping process used in this study. Atmospheric correction algorithms are indicated, as are field survey and imagery dates, with the time difference (in days) between survey end and image acquisition. The tidal stage at image acquisition time is shown, where Moreton Bay is a mesotidal embayment with a spring tide range of ∼1.5–2 m. Sensor names are abbreviated as WV2 = WorldView 2, QB = Quickbird, and PL = Planet Dove-R or SuperDove.
| Year | Field Data Points | Sensor | Pixel Size (m) | Atmospheric Corrections | Field Data Collection (dd/mm–dd/mm) | Image Acquisition (dd/mm) | Difference Field/Image Acquisition (days) | Tide at Image Acquisition |
|---|---|---|---|---|---|---|---|---|
| 2011 | 3676 | WV2 | 2 | FLAASH® | 03/06–07/06 | 11/06 | 4 | Low |
| 2012 | 3064 | WV2 | 2 | FLAASH® | 07/06–10/06 | 12/06 | 2 | Mid (L > H) |
| 2013 | 3934 | QB | 2.4 | FLAASH® | 26/05–30/05 | 05/08 | 67 | Mid (H > L) |
| 2014 | 3437 | WV2 | 2 | FLAASH® | 14/07–16/07 | 01/07 | 15 | High |
| 2015 | 3543 | WV2 | 2 | FLAASH® | 15/06–17/06 | 01/07 | 14 | High |
| 2021 | 4379 | PL | 3 | Planet Labs | 07/06–10/06 | 17/06 | 7 | Mid (H > L) |
| 2022 | 4112 | PL | 3 | Planet Labs | 30/05–02/06 | 13/07 | 41 | High |
| 2023 | 4339 | PL | 3 | Planet Labs | 15/07–18/07 | 06/07 | 12 | High |
| 2024 | 5352 | PL | 3 | Planet Labs | 22/07–24/07 | 22/07 | 2 | High |
| 2025 | 4938 | PL | 3 | Planet Labs | 14/07–16/07 | 19/07 | 3 | Low |
Figure A2.
Bathymetric maps for (a) 2012 and (b) 2022 used for seagrass species and percent cover mapping. Bathymetric data for 2012 is derived from satellite imagery and depth data collected in the field (e.g., see [61]) while data for 2022 is collected from [73]. The (c) overall difference in depth is mostly small and positive (green), indicating the depths in the 2022 dataset are slightly more shallow. The most significant changes in the datasets are centred around the entrance to Moreton Bay.
Appendix B
Appendix B.1
Mapping results and accuracy metrics are presented here, providing producer’s and consumer’s accuracies for each species in species cover maps and for each percent cover class in seagrass percent cover maps.
Table A2.
Accuracy metrics for seagrass species cover maps, including overall map accuracy including mean () and standard deviation () of producer’s and consumer’s accuracy for each of the ten benthic classes (see Figure 4).
Table A2.
Accuracy metrics for seagrass species cover maps, including overall map accuracy including mean () and standard deviation () of producer’s and consumer’s accuracy for each of the ten benthic classes (see Figure 4).
| Year | 2011 | 2012 | 2013 | 2014 | 2015 | 2021 | 2022 | 2023 | 2024 | 2025 | |||
|---|---|---|---|---|---|---|---|---|---|---|---|---|---|
| Overall Accuracy (%) | 74 | 71 | 74 | 72 | 69 | 78 | 73 | 72 | 71 | 77 | 73 | 2.8 | |
| Producer’s (%) | Oceana serrulata | 87 | 85 | 84 | 95 | 86 | 82 | 80 | 77 | 85 | 88 | 85 | 4.9 |
| Zostera muelleri | 55 | 52 | 54 | 51 | 72 | 73 | 75 | 75 | 52 | 72 | 63 | 11.0 | |
| Halodule uninervis | 99 | 92 | 84 | 79 | 61 | 82 | 89 | 97 | 89 | 73 | 85 | 11.5 | |
| Halophila spinulosa | 54 | 51 | 47 | 46 | 53 | 47 | 49 | 45 | 41 | 51 | 48 | 4.0 | |
| Halophila ovalis | 79 | 60 | 78 | 67 | 67 | 87 | 75 | 67 | 77 | 88 | 75 | 9.2 | |
| Syringodium isoetifolium | 96 | 87 | 89 | 98 | 95 | 100 | - | - | - | - | 94 | 5.1 | |
| Mixed seagrass | 60 | 70 | 62 | 71 | 49 | 79 | 72 | 72 | 65 | 75 | 68 | 8.7 | |
| Lyngbya majuscula | 100 | - | 100 | - | - | - | - | - | 100 | - | 100 | 0.0 | |
| Sand | 56 | 71 | 61 | 68 | 60 | 60 | 62 | 59 | 55 | 66 | 62 | 5.1 | |
| Mixed benthos | 52 | 73 | 77 | 71 | 75 | 85 | 84 | 85 | 69 | 100 | 77 | 12.7 | |
| Consumer’s (%) | Oceana serrulata | 84 | 82 | 82 | 86 | 82 | 87 | 94 | 89 | 88 | 92 | 87 | 4.2 |
| Zostera muelleri | 80 | 78 | 80 | 65 | 73 | 85 | 73 | 78 | 60 | 84 | 76 | 8.0 | |
| Halodule uninervis | 75 | 72 | 82 | 77 | 64 | 84 | 76 | 73 | 74 | 84 | 76 | 6.1 | |
| Halophila spinulosa | 63 | 59 | 61 | 62 | 57 | 80 | 71 | 62 | 63 | 72 | 65 | 7.1 | |
| Halophila ovalis | 72 | 77 | 68 | 67 | 61 | 65 | 61 | 65 | 76 | 65 | 68 | 5.6 | |
| Syringodium isoetifolium | 74 | 83 | 71 | 72 | 70 | 100 | - | - | - | - | 78 | 11.6 | |
| Mixed seagrass | 66 | 62 | 56 | 66 | 53 | 66 | 59 | 57 | 46 | 63 | 59 | 6.6 | |
| Lyngbya majuscula | 89 | - | 99 | - | - | - | - | - | 100 | - | 96 | 6.1 | |
| Sand | 67 | 67 | 72 | 82 | 84 | 85 | 90 | 82 | 76 | 100 | 80 | 10.4 | |
| Mixed benthos | 63 | 62 | 70 | 67 | 75 | 62 | 75 | 78 | 61 | 71 | 68 | 6.3 |
Table A3.
Accuracy metrics for seagrass percent cover maps, including overall map accuracy including mean () and standard deviation () of producer’s and consumer’s accuracy for each of the seven cover classes (see Figure 6).
Table A3.
Accuracy metrics for seagrass percent cover maps, including overall map accuracy including mean () and standard deviation () of producer’s and consumer’s accuracy for each of the seven cover classes (see Figure 6).
| Year | 2011 | 2012 | 2013 | 2014 | 2015 | 2021 | 2022 | 2023 | 2024 | 2025 | |||
|---|---|---|---|---|---|---|---|---|---|---|---|---|---|
| Overall Accuracy (%) | 58 | 64 | 60 | 62 | 60 | 55 | 58 | 60 | 56 | 61 | 59 | 2.7 | |
| Producer’s (%) | No seagrass | 77 | 82 | 83 | 85 | 81 | 71 | 79 | 74 | 82 | 54 | 77 | 9.1 |
| 1–10% | 56 | 69 | 64 | 55 | 63 | 43 | 44 | 45 | 34 | 42 | 52 | 11.5 | |
| 11–20% | 48 | 71 | 56 | 58 | 60 | 43 | 46 | 59 | 58 | 55 | 55 | 8.1 | |
| 21–30% | 50 | 44 | 54 | 55 | 49 | 54 | 45 | 44 | 42 | 62 | 50 | 6.3 | |
| 31–40% | 51 | 67 | 36 | 64 | 46 | 47 | 54 | 55 | 45 | 63 | 53 | 9.8 | |
| 41–50% | 59 | 53 | 54 | 67 | 56 | 58 | 67 | 73 | 58 | 74 | 62 | 7.7 | |
| ≥50% | 65 | 62 | 73 | 66 | 64 | 69 | 74 | 68 | 67 | 72 | 68 | 4.0 | |
| Consumer’s (%) | No seagrass | 64 | 71 | 84 | 67 | 79 | 70 | 75 | 68 | 72 | 66 | 72 | 6.2 |
| 1–10% | 48 | 63 | 51 | 52 | 60 | 54 | 57 | 61 | 61 | 53 | 56 | 5.1 | |
| 11–20% | 50 | 52 | 44 | 56 | 47 | 46 | 45 | 48 | 49 | 45 | 48 | 3.7 | |
| 21–30% | 53 | 60 | 44 | 55 | 49 | 48 | 45 | 54 | 42 | 47 | 50 | 5.7 | |
| 31–40% | 56 | 54 | 66 | 55 | 47 | 46 | 47 | 51 | 44 | 49 | 52 | 6.5 | |
| 41–50% | 66 | 67 | 57 | 67 | 58 | 48 | 56 | 57 | 44 | 94 | 60 | 13.8 | |
| ≥50% | 85 | 97 | 97 | 95 | 91 | 75 | 91 | 92 | 88 | 91 | 90 | 6.5 |
Appendix B.2
Trend analysis for seagrass species cover and percent cover results across the study period, divided by the banks defined in Figure 2. Figure A3, Figure A4, Figure A5, Figure A6, Figure A7, Figure A8, Figure A9, Figure A10, Figure A11, Figure A12, Figure A13 and Figure A14 show the trend analysis conducted using Generalised Additive Models (GAM). The pseudo R2 value reported in the GAM figures is derived using the approach of McFadden [87], which utilises a log likelihood ratio. Pseudo R2 values of >0.4 reported using this approach are typically indicate a good model fit, with larger values (maximum of 1) indicated very good fit. Figure A15, Figure A16, Figure A17, Figure A18, Figure A19, Figure A20, Figure A21, Figure A22, Figure A23, Figure A24, Figure A25 and Figure A26 show the residual (difference between observed and predicted seagrass cover at each date) analysis used to assess model fit, along with the root mean square error of residuals. Models are fit to years where data is available, with missing years excluded from model construction.
Figure A3.
Generalised Additive Model (GAM) trend analysis for seagrass species cover (as % of total mapped area) across the entire Eastern Banks study area, showing confidence bounds, the percentage of deviance explained by the model, and parameters from diagnostic tests (pseudo-R2 and associated p-value).
Figure A4.
Generalised Additive Model (GAM) trend analysis for seagrass species cover (as % of total mapped area) across the Amity Banks within the Eastern Banks study area, showing confidence bounds, the percentage of deviance explained by the model, and parameters from diagnostic tests (pseudo-R2 and associated p-value).
Figure A5.
Generalised Additive Model (GAM) trend analysis for seagrass species cover (as % of total mapped area) across the Moreton Banks within the Eastern Banks study area, showing confidence bounds, the percentage of deviance explained by the model, and parameters from diagnostic tests (pseudo-R2 and associated p-value).
Figure A6.
Generalised Additive Model (GAM) trend analysis for seagrass species cover (as % of total mapped area) across the Chain Banks within the Eastern Banks study area, showing confidence bounds, the percentage of deviance explained by the model, and parameters from diagnostic tests (pseudo-R2 and associated p-value).
Figure A7.
Generalised Additive Model (GAM) trend analysis for seagrass species cover (as % of total mapped area) across the Wanga Wallen Banks within the Eastern Banks study area, showing confidence bounds, the percentage of deviance explained by the model, and parameters from diagnostic tests (pseudo-R2 and associated p-value).
Figure A8.
Generalised Additive Model (GAM) trend analysis for seagrass species cover (as % of total mapped area) across the Maroom Banks within the Eastern Banks study area, showing confidence bounds, the percentage of deviance explained by the model, and parameters from diagnostic tests (pseudo-R2 and associated p-value).
Figure A9.
Generalised Additive Model (GAM) trend analysis for seagrass percent cover (as % of total mapped area) across the entire Eastern Banks study area, showing confidence bounds, the percentage of deviance explained by the model, and parameters from diagnostic tests (pseudo-R2 and associated p-value).
Figure A10.
Generalised Additive Model (GAM) trend analysis for seagrass percent cover (as % of total mapped area) across the Amity Banks within the Eastern Banks study area, showing confidence bounds, the percentage of deviance explained by the model, and parameters from diagnostic tests (pseudo-R2 and associated p-value).
Figure A11.
Generalised Additive Model (GAM) trend analysis for seagrass percent cover (as % of total mapped area) across the Moreton Banks within the Eastern Banks study area, showing confidence bounds, the percentage of deviance explained by the model, and parameters from diagnostic tests (pseudo-R2 and associated p-value).
Figure A12.
Generalised Additive Model (GAM) trend analysis for seagrass percent cover (as % of total mapped area) across the Chain Banks within the Eastern Banks study area, showing confidence bounds, the percentage of deviance explained by the model, and parameters from diagnostic tests (pseudo-R2 and associated p-value).
Figure A13.
Generalised Additive Model (GAM) trend analysis for seagrass percent cover (as % of total mapped area) across the Wanga Wallen Banks within the Eastern Banks study area, showing confidence bounds, the percentage of deviance explained by the model, and parameters from diagnostic tests (pseudo-R2 and associated p-value).
Figure A14.
Generalised Additive Model (GAM) trend analysis for seagrass percent cover (as % of total mapped area) across the Maroom Banks within the Eastern Banks study area, showing confidence bounds, the percentage of deviance explained by the model, and parameters from diagnostic tests (pseudo-R2 and associated p-value).
Figure A15.
Residual analysis from Generalised Additive Models (GAMs) to assess model fit for seagrass species cover across the entire Eastern Banks study area. See Figure A3 for model output and trend analysis.
Figure A16.
Residual analysis from Generalised Additive Models (GAMs) to assess model fit for seagrass species cover across the Amity Banks, within the Eastern Banks study area. See Figure A4 for model output and trend analysis.
Figure A17.
Residual analysis from Generalised Additive Models (GAMs) to assess model fit for seagrass species cover across the Moreton Banks, within the Eastern Banks study area. See Figure A5 for model output and trend analysis.
Figure A18.
Residual analysis from Generalised Additive Models (GAMs) to assess model fit for seagrass species cover across the Chain Banks, within the Eastern Banks study area. See Figure A6 for model output and trend analysis.
Figure A19.
Residual analysis from Generalised Additive Models (GAMs) to assess model fit for seagrass species cover across the Wanga Wallen Banks, within the Eastern Banks study area. See Figure A7 for model output and trend analysis.
Figure A20.
Residual analysis from Generalised Additive Models (GAMs) to assess model fit for seagrass species cover across the Maroom Banks, within the Eastern Banks study area. See Figure A8 for model output and trend analysis.
Figure A21.
Residual analysis from Generalised Additive Models (GAMs) to assess model fit for seagrass percent cover across the entire Eastern Banks study area. See Figure A9 for model output and trend analysis.
Figure A22.
Residual analysis from Generalised Additive Models (GAMs) to assess model fit for seagrass percent cover across the Amity Banks, within the Eastern Banks study area. See Figure A10 for model output and trend analysis.
Figure A23.
Residual analysis from Generalised Additive Models (GAMs) to assess model fit for seagrass percent cover across the Moreton Banks, within the Eastern Banks study area. See Figure A11 for model output and trend analysis.
Figure A24.
Residual analysis from Generalised Additive Models (GAMs) to assess model fit for seagrass percent cover across the Chain Banks, within the Eastern Banks study area. See Figure A12 for model output and trend analysis.
Figure A25.
Residual analysis from Generalised Additive Models (GAMs) to assess model fit for seagrass percent cover across the Wanga Wallen Banks, within the Eastern Banks study area. See Figure A13 for model output and trend analysis.
Figure A26.
Residual analysis from Generalised Additive Models (GAMs) to assess model fit for seagrass percent cover across the Maroom Banks, within the Eastern Banks study area. See Figure A14 for model output and trend analysis.
References
- McHenry, J.; Rassweiler, A.; Hernan, G.; Uejio, C.; Pau, S.; Dubel, A.; Lester, S. Modelling the Biodiversity Enhancement Value of Seagrass Beds. Divers. Distrib. 2021, 27, 2036–2049. [Google Scholar] [CrossRef]
- Duffy, J. Biodiversity and the Functioning of Seagrass Ecosystems. Mar. Ecol. Prog. Ser. 2006, 311, 233–250. [Google Scholar] [CrossRef]
- Christianen, M.; van Belzen, J.; Herman, P.; van Katwijk, M.; Lamers, L.; van Leent, P.; Bouma, T. Low-Canopy Seagrass Beds Still Provide Important Coastal Protection Services. PLoS ONE 2013, 8, e62413. [Google Scholar] [CrossRef]
- Ondiviela, B.; Losada, I.J.; Lara, J.; Maza, M.; Galván, C.; Bouma, T.; van Belzen, J. The Role of Seagrasses in Coastal Protection in a Changing Climate. Coast. Eng. 2014, 87, 158–168. [Google Scholar] [CrossRef]
- Costanza, R.; d’Arge, R.; de Groot, R.; Farber, S.; Grasso, M.; Hannon, B.; Limburg, K.; Naeem, S.; O’Neill, R.; Paruelo, J.; et al. The Value of the World’s Ecosystem Services and Natural Capital. Nature 1997, 387, 253–260. [Google Scholar] [CrossRef]
- Jackson, E.; Rowden, A.; Attrill, M.; Bossey, S.; Jones, M. The Importance of Seagrass Beds as a Habitat for Fishery Species. Oceanogr. Mar. Biol. Annu. Rev. 2001, 39, 269–303. [Google Scholar]
- Bertelli, C.; Unsworth, R. Protecting the Hand That Feeds Us: Seagrass (Zostera Marina) Serves as Commercial Juvenile Fish Habitat. Mar. Pollut. Bull. 2014, 83, 425–429. [Google Scholar] [CrossRef]
- Duarte, C.; Marbà, N.; Gacia, E.; Fourqurean, J.; Beggins, J.; Barrón, C.; Apostolaki, E. Seagrass Community Metabolism: Assessing the Carbon Sink Capacity of Seagrass Meadows. Glob. Biogeochem. Cycles 2010, 24, GB4032. [Google Scholar] [CrossRef]
- Human, L.; Snow, G.; Adams, J.; Bate, G.; Yang, S.C. The Role of Submerged Macrophytes and Macroalgae in Nutrient Cycling: A Budget Approach. Estuar. Coast. Shelf Sci. 2015, 154, 169–178. [Google Scholar] [CrossRef]
- Nordlund, L.; Jackson, E.; Nakaoka, M.; Samper-Villarreal, J.; Beca-Carretero, P.; Creed, J. Seagrass Ecosystem Services—What’s Next? Mar. Pollut. Bull. 2018, 134, 145–151. [Google Scholar] [CrossRef]
- do Amaral Camara Lima, M.; Bergamo, T.; Ward, R.; Joyce, C. A Review of Seagrass Ecosystem Services: Providing Nature-Based Solutions for a Changing World. Hydrobiologia 2023, 850, 2655–2670. [Google Scholar] [CrossRef]
- Unsworth, R.; McKenzie, L.; Collier, C.; Cullen-Unsworth, L.; Duarte, C.; Eklöf, J.; Jarvis, J.; Jones, B.; Nordlund, L. Global Challenges for Seagrass Conservation. Ambio 2019, 48, 801–815. [Google Scholar] [CrossRef]
- Zhang, Y.; Yu, X.; Chen, Z.; Wang, Q.; Zuo, J.; Yu, S.; Guo, R. A Review of Seagrass Bed Pollution. Water 2023, 15, 3754. [Google Scholar] [CrossRef]
- Unsworth, R.; Ambo-Rappe, R.; Jones, B.; La Nafie, Y.; Irawan, A.; Hernawan, U.; Moore, A.; Cullen-Unsworth, L. Indonesia’s Globally Significant Seagrass Meadows Are under Widespread Threat. Sci. Total Environ. 2018, 634, 279–286. [Google Scholar] [CrossRef]
- Cullen-Unsworth, L.; Unsworth, R. Strategies to Enhance the Resilience of the World’s Seagrass Meadows. J. Appl. Ecol. 2016, 53, 967–972. [Google Scholar] [CrossRef]
- Serrano, O.; Arias-Ortiz, A.; Duarte, C.; Kendrick, G.; Lavery, P. Impact of Marine Heatwaves on Seagrass Ecosystems. In Ecosystem Collapse and Climate Change; Canadell, J., Jackson, R., Eds.; Ecological Studies; Springer: Cambridge, UK, 2021; Volume 241, pp. 345–364. [Google Scholar]
- Gouvêa, L.; Fragkopoulou, E.; Araújo, M.; Serrão, E.; Assis, J. Seagrass Biodiversity Under the Latest-Generation Scenarios of Projected Climate Change. J. Biogeogr. 2024, 52, 172–185. [Google Scholar] [CrossRef]
- Walker, D.; Lukatelich, R.; Bastyan, G.; McComb, A. Effect of Boat Moorings on Seagrass Beds near Perth, Western Australia. Aquat. Bot. 1989, 26, 69–77. [Google Scholar] [CrossRef]
- Collins, K.; Suonpää, A.; Mallinson, J. The Impacts of Anchoring and Mooring in Seagrass, Studland Bay, Dorset, UK. Underw. Technol. 2010, 29, 117–123. [Google Scholar] [CrossRef]
- Rahayu, Y.; Kendrick, G.; Masqué, P.; Kiswara, W.; Salim, H.; Lubis, A.; Vanderklift, M. Impacts of Dredging and Restoration on Sedimentary Carbon Stocks in Seagrass Meadows of Pari Island, Indonesia. Sci. Rep. 2025, 15, 25551. [Google Scholar] [CrossRef]
- Harvell, C.; Lamb, J. Disease Outbreaks Can Threaten Marine Biodiversity. In Marine Disease Ecology; Behringer, D., Silliman, B., Lafferty, K., Eds.; Oxford University Press: Oxford, UK, 2020; pp. 141–158. [Google Scholar]
- Sullivan, B.; Trevathan-Tackett, S.; Neuhauser, S.; Govers, L. Review: Host-pathogen Dynamics of Seagrass Diseases under Future Global Change. Mar. Pollut. Bull. 2018, 134, 75–88. [Google Scholar] [CrossRef]
- Waycott, M.; Longstaff, B.; Mellors, J. Seagrass Population Dynamics and Water Quality in the Great Barrier Reef Region: A Review and Future Research Directions. Mar. Pollut. Bull. 2005, 51, 343–350. [Google Scholar] [CrossRef] [PubMed]
- Fraser, M.; Kendrick, G.; Statton, J.; Hovey, R.; Zavala-Perez, A. Extreme Climate Events Lower Resilience of Foundation Seagrass at Edge of Biogeographical Range. J. Ecol. 2014, 102, 1528–1536. [Google Scholar] [CrossRef]
- Kendrick, G.; Nowicki, R.; Olsen, Y.; Strydom, S.; Fraser, M.; Sinclair, E.; Statton, J.; Hovey, R.; Thomson, J.; Burkholder, D.; et al. A Systematic Review of How Multiple Stressors From an Extreme Event Drove Ecosystem-Wide Loss of Resilience in an Iconic Seagrass Community. Front. Mar. Sci. 2019, 6, 455. [Google Scholar] [CrossRef]
- Neckles, H.; Kopp, B.; Peterson, B.; Pooler, P. Integrating Scales of Seagrass Monitoring to Meet Conservation Needs. Estuaries Coasts 2012, 35, 23–46. [Google Scholar] [CrossRef]
- Wood, N.; Lavery, P. Monitoring Seagrass Ecosystem Health—The Role of Perception in Defining Health and Indicators. Ecosyst. Health 2000, 6, 134–148. [Google Scholar] [CrossRef]
- Hernawan, U.; Rahmawati, S.; Ambo-Rappe, R.; Sjafrie, N.; Hadiyanto, H.; Yusup, D.; Nugraha, A.; La Nafie, Y.; Adi, W.; Prayudha, B.; et al. The First Nation-Wide Assessment Identifies Valuable Blue-Carbon Seagrass Habitat in Indonesia Is in Moderate Condition. Sci. Total Environ. 2021, 782, 146818. [Google Scholar] [CrossRef]
- Unsworth, R.; Collier, C.; Waycott, M.; McKenzie, L.; Cullen-Unsworth, L. A Framework for the Resilience of Seagrass Ecosystems. Mar. Pollut. Bull. 2015, 100, 34–46. [Google Scholar] [CrossRef]
- Kendrick, G.; Duarte, C.; Marbà, N. Clonality in Seagrasses, Emergent Properties and Seagrass Landscapes. Mar. Ecol. Prog. Ser. 2005, 290, 291–296. [Google Scholar] [CrossRef]
- Gullström, M.; de la Torre Castro, M.; Bandeira, S.; Björk, M.; Dahlberg, M.; Kautsky, N.; Rönnbäck, P.; Öhman, M. Seagrass Ecosystems in the Western Indian Ocean. AMBIO J. Hum. Environ. 2002, 31, 588–596. [Google Scholar] [CrossRef]
- Orth, R.; Williams, M.; Marion, S.; Wilcox, D.; Carruthers, T.; Moore, K.; Kemp, M.; Dennison, W.; Rybicki, N.; Bergstrom, P.; et al. Long-Term Trends in Submersed Aquatic Vegetation (SAV) in Chesapeake Bay, USA, Related to Water Quality. Estuaries Coasts 2010, 33, 1144–1163. [Google Scholar] [CrossRef]
- Orth, R.; Heck, K. The Dynamics of Seagrass Ecosystems: History, Past Accomplishments, and Future Prospects. Estuaries Coasts 2023, 46, 1653–1676. [Google Scholar] [CrossRef]
- Macreadie, P.; Trevathan-Tackett, S.; Skilbeck, C.; Sanderman, J.; Curlevski, N.; Jacobsen, G.; Seymour, J. Losses and Recovery of Organic Carbon from a Seagrass Ecosystem Following Disturbance. Proc. R. Soc. B 2015, 282, 20151537. [Google Scholar] [CrossRef]
- Bourque, A.; Kenworthy, W.; Fourqurean, J. Impacts of Physical Disturbance on Ecosystem Structure in Subtropical Seagrass Meadows. Mar. Ecol. Prog. Ser. 2015, 540, 27–41. [Google Scholar] [CrossRef]
- Soissons, L.; Li, B.; Han, Q.; van Katwijk, M.; Ysebaert, T.; Herman, P.; Bouma, T. Understanding Seagrass Resilience in Temperate Systems: The Importance of Timing of the Disturbance. Ecol. Indic. 2016, 66, 190–198. [Google Scholar] [CrossRef]
- Edgeloe, J.; Severn-Ellis, A.; Bayer, P.; Mehravi, S.; Breed, M.; Krauss, S.; Batley, J.; Kendrick, G.; Sinclair, E. Extensive Polyploid Clonality Was a Successful Strategy for Seagrass to Expand into a Newly Submerged Environment. Proc. R. Soc. B 2022, 289, 20220538. [Google Scholar] [CrossRef]
- Roelfsema, C.M.; Kovacs, E.M.; Phinn, S.R. Field Data Sets for Seagrass Biophysical Properties for the Eastern Banks, Moreton Bay, Australia, 2004–2014. Sci. Data 2015, 2, 150040. [Google Scholar] [CrossRef] [PubMed]
- van Tussenbroek, B.; Cortés, J.; Collin, R.; Fonseca, A.; Gayle, P.; Guzmán, H.; Jácome, G.; Juman, R.; Koltes, K.; Oxenford, H.; et al. Long-Term Study of Seagrass Beds Reveals Local Variations, Shifts in Community Structure and Occasional Collapse. PLoS ONE 2014, 9, e90600. [Google Scholar] [CrossRef] [PubMed]
- Baumstark, R.; Dixon, B.; Carlson, P.; Palandro, D.; Kolasa, K. Alternative Spatially Enhanced Integrative Techniques for Mapping Seagrass in Florida’s Marine Ecosystem. Int. J. Remote Sens. 2013, 34, 1248–1264. [Google Scholar] [CrossRef]
- Dekker, A.G.; Brando, V.E.; Anstee, J.M. Retrospective Seagrass Change Detection in a Shallow Coastal Tidal Australian Lake. Remote Sens. Environ. 2005, 97, 415–433. [Google Scholar] [CrossRef]
- Knudby, A.; Newman, C.; Shaghude, Y.; Muhando, C. Simple and Effective Monitoring of Historic Changes in Nearshore Environments Using the Free Archive of Landsat Imagery. Int. J. Appl. Earth Obs. Geoinf. 2010, 12, S116–S122. [Google Scholar] [CrossRef]
- Roelfsema, C.M.; Lyons, M.; Kovacs, E.M.; Maxwell, P.; Saunders, M.I.; Samper-Villarreal, J.; Phinn, S.R. Multi-Temporal Mapping of Seagrass Cover, Species and Biomass: A Semi-Automated Object Based Image Analysis Approach. Remote Sens. Environ. 2014, 150, 172–187. [Google Scholar] [CrossRef]
- Kilminster, K.; McMahon, K.; Waycott, M.; Kendrick, G.; Scanes, P.; McKenzie, L.; O’Brien, K.; Lyons, M.; Ferguson, A.; Maxwell, P.; et al. Unravelling Complexity in Seagrass Systems for Management: Australia as a Microcosm. Sci. Total Environ. 2015, 534, 97–109. [Google Scholar] [CrossRef]
- Smart, J.; Hammerman, N.; Golding, K.; Markey, K.; Kovacs, E.; Roelfsema, C. Decadal Monitoring Shows Seagrass Decline and Community Shifts Following Environmental Disturbance in Moreton Bay, South-Eastern Queensland, Australia. Mar. Freshw. Res. 2025, 76, MF25049. [Google Scholar] [CrossRef]
- Nowicki, R.; Thomson, J.; Burkholder, D.; Fourqurean, J.; Heithaus, M. Predicting Seagrass Recovery Times and Their Implications Following an Extreme Climate Event. Mar. Ecol. Prog. Ser. 2017, 567, 79–93. [Google Scholar] [CrossRef]
- Aiken, C.; Navarrete, S.; Jackson, E. Reactive Persistence, Spatial Management, and Conservation of Metapopulations: An Application to Seagrass Restoration. Ecol. Appl. 2023, 33, e2774. [Google Scholar] [CrossRef]
- Maxwell, P.; Connolly, R.; Roelfsema, C.; Burfiend, D.; Udy, J.; O’Brien, K.; Saunders, M.; Barnes, R.; Olds, A.; Hendersen, C.; et al. Seagrasses of Moreton Bay Quandamooka: Diversity, Ecology and Resilience. In Moreton Bay Quandamooka & Catchment: Past, Present, and Future; Tibbets, I., Rothlisberg, P., Neil, D., Homburg, T., Brewer, D., Arthington, A., Eds.; The Moreton Bay Foundation: Brisbane, Australia, 2019. [Google Scholar]
- Björk, M.; Short, F.; McLeod, E.; Beer, S. Managing Seagrasses for Resilience to Climate Change; The International Union for the Conservation of Nature and Natural Resources (IUCN): Gland, Switzerland, 2008. [Google Scholar]
- Hughes, B.; Lummis, S.; Anderson, S.; Kroeker, K. Unexpected Resilience of a Seagrass System Exposed to Global Stressors. Glob. Change Biol. 2017, 24, 224–234. [Google Scholar] [CrossRef] [PubMed]
- Collier, C.; Langlois, L.; McMahon, K.; Udy, J.; Rasheed, M.; Lawrence, E.; Carter, A.; Fraser, M.; McKenzie, L. What Lies beneath: Predicting Seagrass below-Ground Biomass from above-Ground Biomass, Environmental Conditions and Seagrass Community Composition. Ecol. Indic. 2021, 121, 107156. [Google Scholar] [CrossRef]
- Knudby, A.; Jupiter, S.; Roelfsema, C.; Lyons, M.; Phinn, S. Mapping Coral Reef Resilience Indicators Using Field and Remotely Sensed Data. Remote Sens. 2013, 5, 1311–1334. [Google Scholar] [CrossRef]
- Lee, S.; Fong, C.; Wu, R. The Effects of Seagrass (Zostera Japonica) Canopy Structure on Associated Fauna: A Study Using Artificial Seagrass Units and Sampling of Natural Beds. J. Exp. Mar. Biol. Ecol. 2001, 259, 23–50. [Google Scholar] [CrossRef]
- Fonseca, M.; Fourqurean, J.; Koehl, M. Effect of Seagrass on Current Speed: Importance of Flexibility vs. Shoot Density. Front. Mar. Sci. 2019, 6, 376. [Google Scholar] [CrossRef]
- O’Brien, K.; Waycott, M.; Maxwell, P.; Kendrick, G.; Udy, J.; Ferguson, A.; Kilminster, K.; Scanes, P.; McKenzie, L.; McMahon, K.; et al. Seagrass Ecosystem Trajectory Depends on the Relative Timescales of Resistance, Recovery and Disturbance. Mar. Pollut. Bull. 2018, 134, 166–176. [Google Scholar] [CrossRef]
- McHenry, J.; Rassweiler, A.; Lester, S. Seagrass Ecosystem Services Show Complex Spatial Patterns and Associations. Ecosyst. Serv. 2023, 63, 101543. [Google Scholar] [CrossRef]
- Carrasco Rivera, D.; Diederiks, F.; Hammerman, N.; Staples, T.; Kovacs, E.; Markey, K.; Roelfsema, C. Remote Sensing Reveals Multidecadal Trends in Coral Cover at Heron Reef, Australia. Remote Sens. 2025, 17, 1286. [Google Scholar] [CrossRef]
- Australian Institute of Marine Science (AIMS). ReefCloud; AIMS: Cape Cleveland, Australia, 2024. [Google Scholar] [CrossRef]
- Gorelick, N.; Hancher, M.; Dixon, M.; Ilyushchenko, S.; Thau, D.; Moore, R. Google Earth Engine: Planetary-scale Geospatial Analysis for Everyone. Remote Sens. Environ. 2017, 202, 18–27. [Google Scholar] [CrossRef]
- Christenhusz, M.; Fay, M.; Byng, J. (Eds.) The Global Flora: GLOVAP Nomenclature Part 1; Plant Gateway Ltd.: Bradford, UK, 2018; Volume 4. [Google Scholar]
- Lyons, M.; Phinn, S.; Roelfsema, C. Integrating Quickbird Multi-Spectral Satellite and Field Data: Mapping Bathymetry, Seagrass Cover, Seagrass Species and Change in Moreton Bay, Australia in 2004 and 2007. Remote Sens. 2011, 3, 42–64. [Google Scholar] [CrossRef]
- González-Rivero, M.; Beijbom, O.; Rodriguez-Ramirez, A.; Bryant, D.; Ganase, A.; Gonzalez-Marrero, Y.; Herrera-Reveles, A.; Kennedy, E.; Kim, C.; Lopez-Marcano, S.; et al. Monitoring of Coral Reefs Using Artificial Intelligence: A Feasible and Cost-Effective Approach. Remote Sens. 2020, 12, 489. [Google Scholar] [CrossRef]
- Leriche, A.; Boudouresque, C.F.; Monestiez, P.; Pasqualini, V. An Improved Method to Monitor the Health of Seagrass Meadows Based on Kriging. Aquat. Bot. 2011, 95, 51–54. [Google Scholar] [CrossRef]
- Moore, K.A.; Wilcox, D.J.; Orth, R.J. Analysis of the Abundance of Submersed Aquatic Vegetation Communities in the Chesapeake Bay. Estuaries 2000, 23, 115–127. [Google Scholar] [CrossRef]
- Lathrop, R.G.; Montesano, P.; Haag, S. A Multi-scale Segmentation Approach to Mapping Seagrass Habitats Using Airborne Digital Camera Imagery. Photogramm. Eng. Remote Sens. 2006, 72, 665–675. [Google Scholar] [CrossRef]
- Cossa, D.; Cossa, M.; Nhaca, J.; Timba, I.; Chunguane, Y.; Vetina, A.; Macia, A.; Gullström, M.; Infantes, E. Restoring Halodule Uninervis: Evaluating Planting Methods and Biodiversity. Restor. Ecol. 2025, 33, e14382. [Google Scholar] [CrossRef]
- Cooley, T.; Anderson, G.; Felde, G.; Hoke, M.; Ratkowski, A.; Chetwynd, J.; Gardner, J.; Adler-Golden, S.; Matthew, M.; Berk, A.; et al. FLAASH, a MODTRAN4-based Atmospheric Correction Algorithm, Its Application and Validation. In Proceedings of the IEEE International Geoscience and Remote Sensing Symposium, Toronto, ON, Canada, 24–28 June 2002; Volume 3, pp. 1414–1418. [Google Scholar]
- Wicaksono, P. Improving the Accuracy of Multispectral-based Benthic Habitats Mapping Using Image Rotations: The Application of Principle Component Analysis and Independent Component Analysis. Eur. J. Remote Sens. 2016, 49, 433–463. [Google Scholar] [CrossRef]
- Haralick, R.; Shanmugam, K.; Dinstein, I. Textural Features for Image Classification. IEEE Trans. Syst. Man Cybern. 1973, SMC-3, 610–621. [Google Scholar] [CrossRef]
- Achanta, R.; Süsstrunk, S. Superpixels and Polygons Using Simple Non-iterative Clustering. In Proceedings of the IEEE Conference on Computer Vision and Pattern Recognition (CVPR), Honolulu, HI, USA, 21–26 July 2017; pp. 4895–4904. [Google Scholar] [CrossRef]
- Pattiaratchi, C.B.; Harris, P.T. Hydrodynamic and Sand-Transport Controls on Enechelon Sandbank Formation: An Example from Moreton Bay, Eastern Australia. Mar. Freshw. Res. 2003, 53, 1101–1113. [Google Scholar] [CrossRef]
- Veevers, J.J. Beach Sand of SE Australia Traced by Zircon Ages through Ordovician Turbidites and S-Type Granites of the Lachlan Orogen to Africa/Antarctica: A Review. Aust. J. Earth Sci. 2015, 62, 385–408. [Google Scholar] [CrossRef]
- Queensland Department of Environment and Science. Queensland Satellite-Derived Bathymetry Data—Moreton Bay 2022–2023; Queensland Department of Environment and Science: Brisbane, Australia, 2023.
- Milford, S.N.; Church, J.A. Simplified Circulation and Mixing Models of Moreton Bay, Queensland. Aust. J. Mar. Freshw. Res. 1977, 28, 23–34. [Google Scholar] [CrossRef]
- Saeck, E.; Udy, J.; Maxwell, P.; Grinham, A.; Moffatt, D.; Senthikumar, S.; Udy, D.; Weber, T. Water Quality in Moreton Bay and Its Major Estuaries: Change over Two Decades (2000–2018). In Moreton Bay Quandamooka & Catchment: Past, Present and Future; The Moreton Bay Foundation: Brisbane, Australia, 2019; pp. 187–210. [Google Scholar]
- Cowley, D.; Harris, D. Coastal Exposure to Swell Along a Complex, Tropical Continental Shelf and Impacts on Coastal Morphology. in preparation.
- Booij, N.; Holthuijsen, L.H.; Ris, R. The “Swan" Wave Model for Shallow Water. In Proceedings of the Coastal Engineering, Orlando, FL, USA, 2–6 September 1996. [Google Scholar] [CrossRef]
- Durrant, T.; Greenslade, D.; Hemer, M.; Trenham, C. A Global Wave Hindcast Focussed on the Central and South Pacific; CAWCR Technical Report 070; The Centre for Australian Weather and Climate Research [CAWCR]: Hobart, TAS, Australia, 2014. [Google Scholar]
- Smith, G.A.; Hemer, M.; Greenslade, D.; Trenham, C.; Zieger, S.; Durrant, T. Global Wave Hindcast with Australian and Pacific Island Focus: From Past to Present. Geosci. Data J. 2021, 8, 24–33. [Google Scholar] [CrossRef]
- Congalton, R.; Green, K. Assessing the Accuracy of Remotely Sensed Data: Principles and Practices, 3rd ed.; CRC Press: Boca Raton, FL, USA, 2019. [Google Scholar]
- Lyons, M. Earth Engine Public Data Catalog; Google: Mountain View, CA, USA, 2025. [Google Scholar]
- Lyons, M.; Roelfsema, C.; Kennedy, E.; Kovacs, E.; Borrego-Acevedo, R.; Markey, K.; Roe, M.; Yuwono, D.; Harris, D.; Phinn, S.; et al. Mapping the World’s Coral Reefs Using a Global Multiscale Earth Observation Framework. Remote Sens. Ecol. Conserv. 2020, 6, 557–568. [Google Scholar] [CrossRef]
- Lyons, M.; Murray, N.; Kennedy, E.V.; Kovacs, E.M.; Castro-Sanguino, C.; Phinn, S.; Borrego-Acevedo, R.; Ordoñez Alvarez, A.; Say, C.; Tudman, P.; et al. New Global Area Estimates for Coral Reefs from High-Resolution Mapping. Cell Rep. Sustain. 2024, 1, 100015. [Google Scholar] [CrossRef]
- Beven, K.; Lamb, R. The Uncertainty Cascade in Model Fusion. Geol. Soc. Lond. Spec. Publ. 2017, 408, 255–266. [Google Scholar] [CrossRef]
- Servén, D.; Brummitt, C. pyGAM: Generalized Additive Models in Python; GitHub: San Francisco, CA, USA, 2018. [Google Scholar]
- Virtanen, P.; Gomers, R.; Oliphant, T.; Haberland, M.; Reddy, T.; Courapeau, D.; Burovski, E.; Peterson, P.; Weckesser, W.; Bright, J.; et al. SciPy 1.0: Fundamental Algorithms for Scientific Computing in Python. Nat. Methods 2020, 17, 261–272. [Google Scholar] [CrossRef] [PubMed]
- McFadden, D. Conditional Logit Analysis of Qualitative Choice Behaviour. In Frontiers in Econometrics; Academic Press: New York, NY, USA, 1972; pp. 1–58. [Google Scholar]
- Lanfredi, M.; Simoniello, T.; Macchiato, M. Temporal Persistence in Vegetation Cover Changes Observed from Satellite: Development of an Estimation Procedure in the Test Site of the Mediterranean Italy. Remote Sens. Environ. 2004, 93, 565–576. [Google Scholar] [CrossRef]
- Albert, S.; O’Neil, J.; Udy, J.; Ahern, K.; O’Sullivan, C.; Dennison, W. Blooms of the Cyanobacterium Lyngbya Majuscula in Coastal Queensland, Australia: Disparate Sites, Common Factors. Mar. Pollut. Bull. 2005, 51, 428–437. [Google Scholar] [CrossRef]
- Hossain, M.; Bujang, J.; Zakaria, M.; Hashim, M. The Application of Remote Sensing to Seagrass Ecosystems: An Overview and Future Research Prospects. Int. J. Remote Sens. 2015, 36, 61–114. [Google Scholar] [CrossRef]
- Harah, M.; Bujang, J. Occurrence and Distribution of Seagrasses in Waters of Perhentian Island Archipelago, Malaysia. J. Fish. Aquat. Sci. 2013, 8, 441–451. [Google Scholar] [CrossRef][Green Version]
- Unsworth, R.; van Keulen, M.; Coles, R. Seagrass Meadows in a Globally Changing Environment. Mar. Pollut. Bull. 2014, 83, 383–386. [Google Scholar] [CrossRef]
- Kenworthy, W.; Wyllie-Echeverria, S.; Coles, R.; Pergent-Martini, C. Seagrass Conservation Biology: An Interdisciplinary Science for Protection of the Seagrass Biome. In Seagrasses: Biology, Ecology and Conservation; Springer: Dordrecht, The Netherlands, 2007. [Google Scholar]
- Torres-Pulliza, D.; Wilson, J.; Darmawan, A.; Campbell, S.; Andréfouët, S. Ecoregional Scale Seagrass Mapping: A Tool to Support Resilient MPA Network Design in the Coral Triangle. Ocean Coast. Manag. 2013, 80, 55–64. [Google Scholar] [CrossRef]
- Koedsin, W.; Intararuang, W.; Ritchie, R.; Huete, A. An Integrated Field and Remote Sensing Method for Mapping Seagrass Species, Cover, and Biomass in Southern Thailand. Remote Sens. 2016, 8, 292. [Google Scholar] [CrossRef]
- Wicaksono, P.; Lazuardi, W. Assessment of PlanetScope Images for Benthic Habitat and Seagrass Species Mapping in a Complex Optically Shallow Water Environment. In Fine Resolution Remote Sensing of Species in Terrestrial and Coastal Ecosystems, 1st ed.; Routledge: London, UK, 2021. [Google Scholar]
- Selgrath, J.; Roelfsema, C.; Gergel, S.; Vincent, A. Mapping for Coral Reef Conservation: Comparing the Value of Participatory and Remote Sensing Approaches. Ecosphere 2016, 7, e01325. [Google Scholar] [CrossRef]
- Du, L.; Zhou, T.; Zou, Z.; Zhao, X.; Huang, K.; Wu, H. Mapping Forest Biomass Using Remote Sensing and National Forest Inventory in China. Forests 2014, 5, 1267–1283. [Google Scholar] [CrossRef]
- Sagawa, T.; Boisner, E.; Komatsu, T.; Mustapha, K.; Hattour, A.; Kosaka, N.; Miyazaki, S. Using Bottom Surface Reflectance to Map Coastal Marine Areas: A New Application Method for Lyzenga’s Model. Int. J. Remote Sens. 2010, 31, 3051–3064. [Google Scholar] [CrossRef]
- Benfield, S.L.; Guzman, H.M.; Mair, J.M.; Young, J.A.T. Mapping the Distribution of Coral Reefs and Associated Sublittoral Habitats in Pacific Panama: A Comparison of Optical Satellite Sensors and Classification Methodologies. Int. J. Remote Sens. 2007, 28, 5047–5070. [Google Scholar] [CrossRef]
- Kovacs, E.; Roelfsema, C.; Lyons, M.; Zhao, S.; Phinn, S. Seagrass Habitat Mapping: How Do Landsat 8 OLI, Sentinel-2, ZY-3A, and Worldview-3 Perform? Remote Sens. Lett. 2018, 9, 686–695. [Google Scholar] [CrossRef]
- Mumby, P.J.; Green, E.P.; Edwards, A.J.; Clark, C.D. Coral Reef Habitat Mapping: How Much Detail Can Remote Sensing Provide? Mar. Biol. 1997, 130, 193–202. [Google Scholar] [CrossRef]
- Hanington, P.; Hunnam, K.; Johnstone, R. Widespread Loss of the Seagrass Syringodium Isoetifolium after a Major Flood Event in Moreton Bay, Australia: Implications for Benthic Processes. Aquat. Bot. 2015, 120, 244–250. [Google Scholar] [CrossRef]
- Udy, J.; Udy, J.; Penna, R.; Dehaudt, B.; Venables, B. Seagrass Distribution Within Moreton Bay Marine Park: Seagrass Response to the 2022 Flood: Results of Two Years of Post-Flood Surveys and Comparison to Pre-Flood Distribution; Technical report; Science Under Sail Australia: Wellington Point, Australia, 2024. [Google Scholar]
- Kirkman, H. Decline of Seagrass in Northern Areas of Moreton Bay, Queensland. Aquat. Bot. 1978, 5, 63–76. [Google Scholar] [CrossRef]
- Preen, A.; Lee Long, W.; Coles, R. Flood and Cyclone Related Loss, and Partial Recovery, of More than 1000 km2 of Seagrass in Hervey Bay, Queensland, Australia. Aquat. Bot. 1995, 52, 3–17. [Google Scholar] [CrossRef]
- Grinham, A.; Costantini, T.; Dearing, N.; Jackson, C.; Klein, C.; Lovelock, C.; Pandolfi, J.; Eyal, G.; Linde, M.; Dunbabin, M.; et al. Nitrogen Loading Resulting from Major Floods and Sediment Resuspension to a Large Coastal Embayment. Sci. Total Environ. 2024, 918, 170646. [Google Scholar] [CrossRef]
- Tanaka, Y.; Nakaoka, M. Morphological Variation in the Tropical Seagrasses, Cymodocea Serrulata and C. Rotundata, in Response to Sediment Conditions and Light Attenuation. Bot. Mar. 2006, 49, 365–371. [Google Scholar] [CrossRef]
- Collier, C.J.; Waycott, M.; Ospina, A.G. Responses of Four Indo-West Pacific Seagrass Species to Shading. Mar. Pollut. Bull. 2012, 65, 342–354. [Google Scholar] [CrossRef]
- Clarke, K.; Hennessy, A.; McGrath, A.; Daly, R.; Gaylard, S.; Turner, A.; Cameron, J.; Lewis, M.; Fernandes, M.B. Using Hyperspectral Imagery to Investigate Large-scale Seagrass Cover and Genus Distribution in a Temperate Coast. Sci. Rep. 2021, 11, 4182. [Google Scholar] [CrossRef]
- Abal, E.; Dennison, W. Seagrass Depth Range and Water Quality in Southern Moreton Bay, Queensland, Australia. Mar. Freshw. Res. 1996, 47, 763–771. [Google Scholar] [CrossRef]
- Gibbes, B.; Grinham, A.; Neil, D.; Olds, A.; Maxwell, P.; Connolly, R.; Weber, T.; Udy, N.; Udy, J. Moreton Bay and Its Estuaries: A Sub-tropical System Under Pressure from Rapid Population Growth. In Estuaries of Australia in 2050 and Beyond; Wolanski, E., Ed.; Estuaries of the World; Springer: Dordrecht, The Netherlands, 2013; pp. 203–222. [Google Scholar]
- Beecroft, R.; Grinham, A.; Albert, S.; Perez, L.; Cossu, R. Suspended Sediment Transport in Context of Dredge Placement Operations in Moreton Bay, Australia. J. Waterw. Port Coast. Ocean Eng. 2019, 145, 05019001. [Google Scholar] [CrossRef]
- Traganos, D.; Pertiwi, A.P.; Lee, C.B.; Blume, A.; Poursanidis, D.; Shapiro, A. Earth Observation for Ecosystem Accounting: Spatially Explicit National Seagrass Extent and Carbon Stock in Kenya, Tanzania, Mozambique and Madagascar. Remote Sens. Ecol. Conserv. 2022, 8, 778–792. [Google Scholar] [CrossRef]
- Moss, A.; Rayment, G.; Reilly, N.; Best, E. A Preliminary Assessment of Sediment and Nutrient Exports from Queensland Coastal Catchments; Heritage Environment Technical Report 5; Queensland Government: Brisbane, Australia, 1993.
- Steven, A.; Carlin, G.; Revill, A.; McLaughlin, J.; Chotikarn, P.; Fry, G.; Moeseneder, C.; Franklin, H. Distribution, Volume and Impact of Sediment Deposited by 2011 and 2013 Floods on Marine and Estuarine Habitats in Moreton Bay; Final Report for Healthy Waterways Limited; University of Technology Sydney: Sydney, Australia, 2014. [Google Scholar]
- Golding, K.; Eyal, G.; Staples, T.; Kim, S.; Byrne, I.; Lovelock, C.; Klein, C.; Pandolfi, J.; Hammerman, N. The Impacts of Flooding on the High-Latitude Coral Communities Within an Urban Embayment, Quandamooka (Moreton Bay). in preparation.
- Erftemeijer, P.L.A.; Lewis, R.R.R., III. Environmental Impacts of Dredging on Seagrasses: A Review. Mar. Pollut. Bull. 2006, 52, 1553–1572. [Google Scholar] [CrossRef]
- Maxwell, W. The Sedimentary Framework of Moreton Bay, Queensland. Mar. Freshw. Res. 1970, 21, 71–88. [Google Scholar] [CrossRef]
- Connolly, R.; Smith, T.; Maxwell, P.; Olds, A.; Macreadie, P.; Sherman, C. Highly Disturbed Populations of Seagrass Show Increased Resilience but Lower Genotypic Diversity. Front. Plant Sci. 2018, 9, 894. [Google Scholar] [CrossRef]
- McKenzie, L.J.; Nordlund, L.M.; Jones, B.L.; Cullen-Unsworth, L.C.; Roelfsema, C.; Unsworth, R.K.F. The Global Distribution of Seagrass Meadows. Environ. Res. Lett. 2020, 15, 074041. [Google Scholar] [CrossRef]
- Dunic, J.C.; Brown, C.J.; Connolly, R.M.; Turschwell, M.P.; Côté, I.M. Long-Term Declines and Recovery of Meadow Area across the World’s Seagrass Bioregions. Glob. Change Biol. 2021, 27, 4096–4109. [Google Scholar] [CrossRef]
- Udy, K.; Fritsch, M.; Meyer, K.M.; Grass, I.; Hanß, S.; Hartig, F.; Kneib, T.; Kreft, H.; Kukunda, C.B.; Pe’er, G.; et al. Environmental Heterogeneity Predicts Global Species Richness Patterns Better than Area. Glob. Ecol. Biogeogr. 2021, 30, 842–851. [Google Scholar] [CrossRef]
- Duarte, C.M.; Krause-Jensen, D. Export from Seagrass Meadows Contributes to Marine Carbon Sequestration. Front. Mar. Sci. 2017, 4, 13. [Google Scholar] [CrossRef]
- Lybolt, M.; Neil, D.; Zhao, J.; Feng, Y.; Yu, K.F.; Pandolfi, J. Instability in a Marginal Coral Reef: The Shift from Natural Variability to a Human-Dominated Seascape. Front. Ecol. Environ. 2011, 9, 154–160. [Google Scholar] [CrossRef]
- Hammerman, N.M.; Roff, G.; Lybolt, T.; Eyal, G.; Pandolfi, J.M. Unraveling Moreton Bay Reef History: An Urban High-Latitude Setting for Coral Development. Front. Ecol. Evol. 2022, 10, 884850. [Google Scholar] [CrossRef]
- Cuttriss, A.K.; Prince, J.B.; Castley, J.G. Seagrass Communities in Southern Moreton Bay, Australia: Coverage and Fragmentation Trends between 1987 and 2005. Aquat. Bot. 2013, 108, 41–47. [Google Scholar] [CrossRef]
- Yu, Y.; Zhang, H.; Lemckert, C. The Response of the River Plume to the Flooding in Moreton Bay, Australia. In Proceedings of the 11th International Coastal Symposium, Szczecin, Poland, 9–14 May 2011; Volume SI 64, pp. 1214–1218. [Google Scholar]
- Phinn, S.; Roelfsema, C.M.; Dekker, A.G.; Brando, V.E.; Anstee, J.M. Mapping Seagrass Species, Cover and Biomass in Shallow Waters: An Assessment of Satellite Multi-Spectral and Airborne Hyper-Spectral Imaging Systems in Moreton Bay (Australia). Remote Sens. Environ. 2008, 112, 3413–3425. [Google Scholar] [CrossRef]
Disclaimer/Publisher’s Note: The statements, opinions and data contained in all publications are solely those of the individual author(s) and contributor(s) and not of MDPI and/or the editor(s). MDPI and/or the editor(s) disclaim responsibility for any injury to people or property resulting from any ideas, methods, instructions or products referred to in the content. |
© 2025 by the authors. Licensee MDPI, Basel, Switzerland. This article is an open access article distributed under the terms and conditions of the Creative Commons Attribution (CC BY) license (https://creativecommons.org/licenses/by/4.0/).