Enhancing Plant Ecological Unit Mapping Accuracy with Auxiliary Data from Landsat-8 in a Heterogeneous Rangeland
Highlights
- DEM–PCA with L8 + RF produced the top performance (OA ≈ 79%, κ ≈ 0.71), with statistically significant gains over other feature sets (Friedman/post hoc).
- Gains were class-dependent: the most confounded PEUs improved the most, while several auxiliaries added little; prioritizing DEM derivatives and first PCs is recommended.
- Discriminating vegetation sub-classes in heterogeneous rangelands is difficult with multispectral data alone. Classifying the landscape into homogeneous PEUs enables more reliable biodiversity assessment, systematic landscape management, and operational monitoring.
- Selecting auxiliaries can be costly and time-consuming. Our results indicate that DEM-derived terrain variables and PCA components should be prioritized with L8 + RF to improve PEU mapping accuracy, helping researchers concentrate efforts towards the area that yields the greatest gains and enabling more efficient, transferable workflows.
Abstract
1. Introduction
2. Materials and Methods
2.1. Study Region
2.2. Field Measurements of PEUs
2.3. Satellite Data
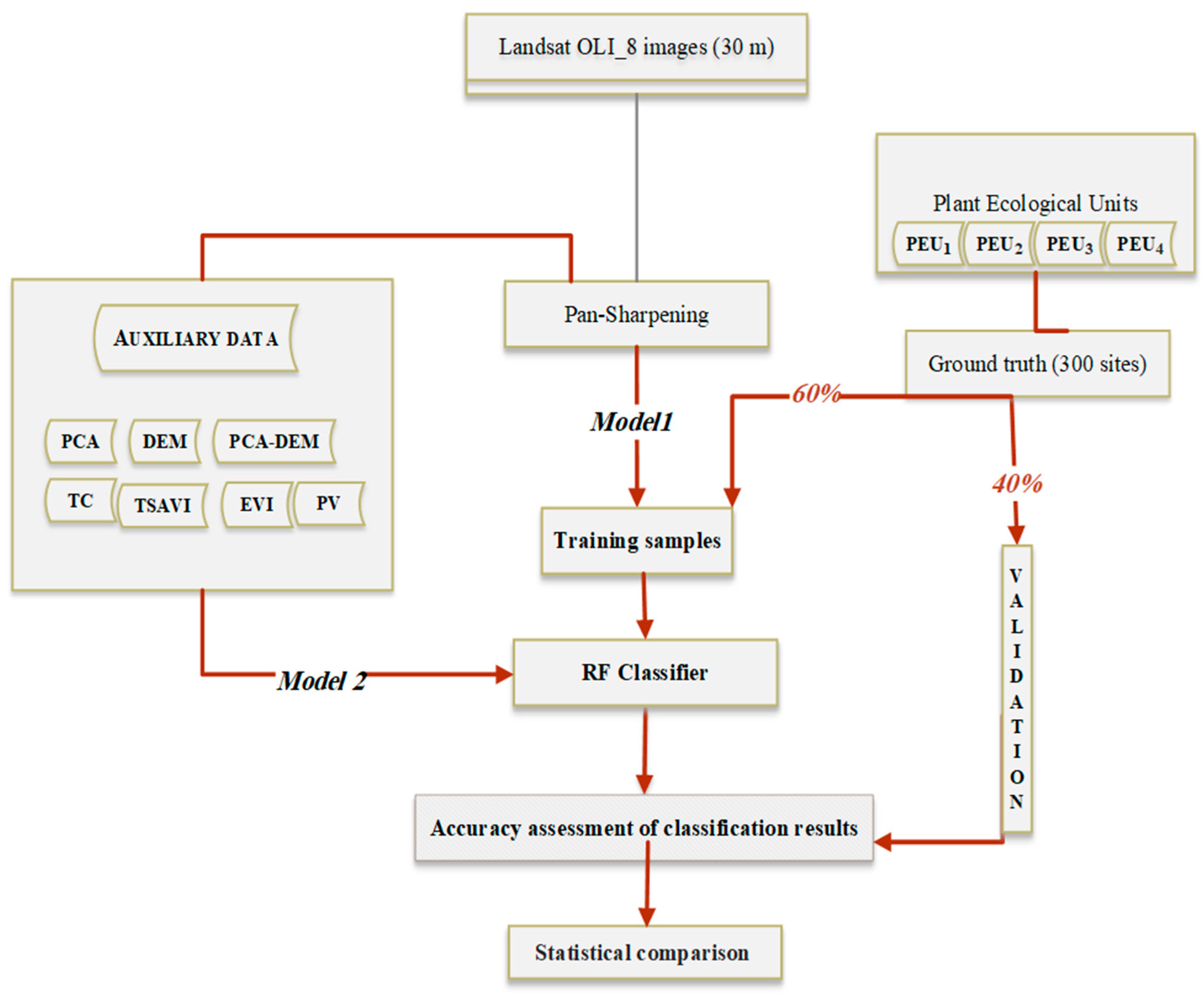
2.4. Methodology
2.4.1. Image’s Pan-Sharpening
2.4.2. Auxiliary Geospatial Data
- Vegetation indices of the Modified Soil-Adjusted Vegetation Index (MSAVI), as a representative of soil-adjusted vegetation indices.
- Enhanced vegetation index (EVI).
- Proportion vegetation (PV).
- Principal component analysis (PCAs).
- Tasseled-cap transformation (TCT).
- Digital elevation model (DEM).
2.4.3. Sampling PEUs
2.4.4. PEU Mapping Using Reflectance Bands and Auxiliary Data
2.4.5. Statistical Analysis of Adding Values of Multiple Auxiliary Data
3. Results
3.1. Reflectance Bands and Auxiliary Data Used for Classification
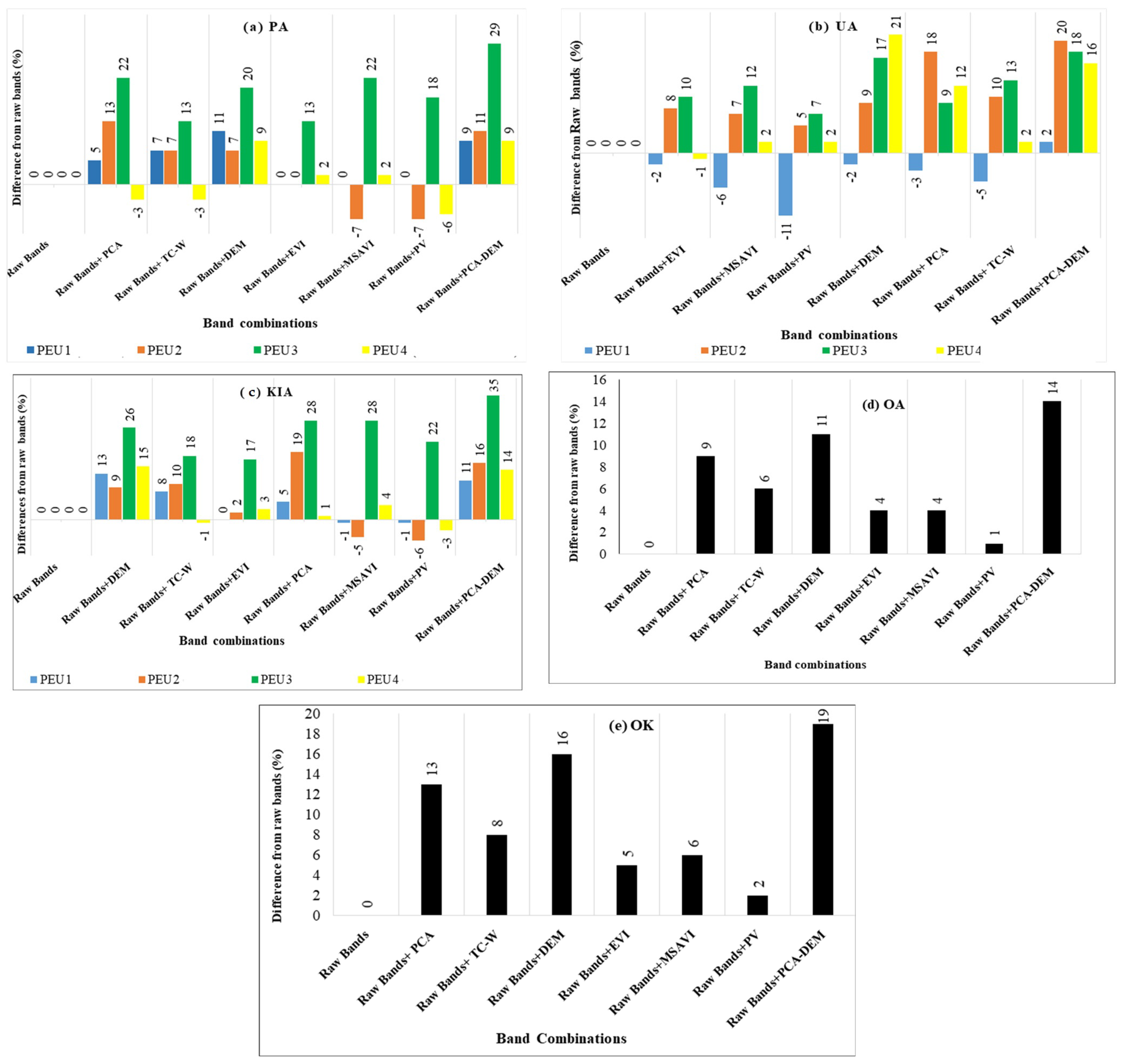
3.2. Impact of Auxiliary Data on PEU Classification Accuracy
3.3. Statistical Comparison
4. Discussion
The Roles of Reflectance Bands and Auxiliary Dataset Features
5. Conclusions
Author Contributions
Funding
Data Availability Statement
Conflicts of Interest
References
- Zhang, C.; Harrison, P.A.; Pan, X.; Li, H.; Sargent, I.; Atkinson, P.M. Scale Sequence Joint Deep Learning (SS-JDL) for land use and land cover classification. Remote Sens. Environ. 2020, 237, 111593. [Google Scholar] [CrossRef]
- Naegeli de Torres, F.; Richter, R.; Vohland, M. A multisensoral approach for high-resolution land cover and pasture degradation mapping in the humid tropics: A case study of the fragmented landscape of Rio de Janeiro. Int. J. Appl. Earth Obs. Geoinf 2019, 78, 189–201. [Google Scholar] [CrossRef]
- Yu, L.; Fu, H.; Wu, B.; Clinton, N.; Gong, P. Exploring the Potential Role of Feature Selection in Global Land-Cover Mapping. Int. J. Remote Sens. 2016, 37, 5491–5504. [Google Scholar] [CrossRef]
- Topaloglu, R.H.; Sertel, E.; Musaoglu, N. Assessment of Classification Accuracies of Sentinel-2 and Landsat-8 Data for Land Cover/Use Mapping. In Proceedings of the XXIII ISPRS Congress, Prague, Czech Republic, 2–19 July 2016; Volume 41, pp. 1055–1059. [Google Scholar] [CrossRef]
- Zhang, X.; Liu, L.; Wang, Y.; Hu, Y.; Zhang, B. A SPECLib-based operational classification approach: A preliminary test on China land cover mapping at 30 m. Int. J. Appl. Earth Obs. Geoinf. 2018, 71, 83–94. [Google Scholar] [CrossRef]
- Hurskainen, P.; Adhikari, H.; Siljander, M.; Pellikka, P.K.E.; Hemp, A. Auxiliary datasets improve accuracy of object-based land use/land cover classification in heterogeneous savanna landscapes. Remote Sens. Environ. 2019, 233, 111354. [Google Scholar] [CrossRef]
- Macintyre, P.D.; van Niekerk, A.; Mucina, L. Efficacy of multi-season Sentinel-2 imagery for compositional vegetation classification. Int. J. Appl. Earth Obs. Geoinf. 2020, 85, 101980. [Google Scholar] [CrossRef]
- Stam, C.A. Using Biophysical Geospatial and Remotely Sensed Data to Classify Ecological Sites and States. Master’s Thesis, Utah State University, Logan, UT, USA, 2012. [Google Scholar]
- Spiegal, S.; Bartolome, J.W.; White, M.D. Applying ecological site concepts to adaptive conservation management on an iconic Californian landscape. Rangelands 2016, 38, 365–370. [Google Scholar] [CrossRef]
- Brown, J.R.; Bestelmeyer, B.T. An Introduction to the Special Issue “Ecological Sites for Landscape Management”. Rangelands 2016, 38, 311–312. [Google Scholar] [CrossRef]
- Blanco, P.D.; del Valle, H.F.; Bouza, P.J.; Metternicht, G.I.; Hardtke, L.A. Ecological site classification of semiarid rangelands: Synergistic use of Landsat and Hyperion imagery. Int. J. Appl. Earth Obs. Geoinf. 2014, 29, 11–21. [Google Scholar] [CrossRef]
- Rodriguez-Galiano, V.; Chica-Olmo, M. Land cover change analysis of a Mediterranean area in Spain using different sources of data: Multi-seasonal Landsat images, land surface temperature, digital terrain models and texture. Appl. Geogr. 2012, 35, 208–218. [Google Scholar] [CrossRef]
- Sluiter, R.; Pebesma, E.J. Comparing techniques for vegetation classification using multi- and hyperspectral images and ancillary environmental data. Int. J. Remote Sens. 2010, 31, 6143–6161. [Google Scholar] [CrossRef]
- Thakkar, A.K.; Desai, V.R.; Patel, A.; Potdar, M.B. Post-classification corrections in improving the classification of Land Use/Land Cover of arid region using RS and GIS: The case of Arjuni watershed, Gujarat, India. Egypt. J. Remote Sens. Space Sci. 2017, 20, 79–89. [Google Scholar] [CrossRef]
- Aghababaei, M.; Ebrahimi, A.; Naghipour, A.A.; Asadi, E.; Verrelst, J. Monitoring of Plant Ecological Units Cover Dynamics in a Semiarid Landscape from Past to Future Using Multi-Layer Perceptron and Markov Chain Model. Remote Sens. 2024, 16, 1612. (In Persian) [Google Scholar] [CrossRef]
- Rogan, J.; Miller, J.; Stow, D.; Franklin, J.; Levien, L.; Fischer, C. Land-cover change monitoring with classification trees using Landsat TM and ancillary data. Photogramm. Eng. Remote Sens. 2003, 69, 793–804. [Google Scholar] [CrossRef]
- Ozdogan, M.; Gutman, G. A new methodology to map irrigated areas using multi-temporal MODIS and ancillary data: An application example in the continental US. Remote Sens. Environ. 2008, 112, 3520–3537. [Google Scholar] [CrossRef]
- Corcoran, J.M.; Knight, J.F.; Gallant, A.L. Influence of multi-source and multitemporal remotely sensed and ancillary data on the accuracy of random forest classification of wetlands in Northern Minnesota. Remote Sens. 2013, 5, 3212–3238. [Google Scholar] [CrossRef]
- Feng, D.; Yu, L.; Zhao, Y.; Cheng, Y.; Xu, Y.; Li, C.; Gong, P. A multiple dataset approach for 30-m resolution land cover mapping: A case study of continental Africa. Int. J. Remote Sens. 2018, 39, 3926–3938. [Google Scholar] [CrossRef]
- Zhu, Z.; Gallant, A.L.; Woodcock, C.E.; Pengra, B.P.; Olofsson, T.; Loveland, R.; Jin, S.; Dahal, D.; Yang, L.; Auch, R.F. Optimizing selection of training and auxiliary data for operational land cover classification for the LCMAP initiative. ISPRS J. Photogramm. Remote Sens. 2016, 122, 206–221. [Google Scholar] [CrossRef]
- Lu, D.; Weng, Q. A survey of image classification methods and techniques for improving classification performance. Int. J. Remote Sens. 2007, 28, 823–870. [Google Scholar] [CrossRef]
- Khatami, R.; Mountrakis, G.; Stehman, S.V. A meta-analysis of remote sensing research on supervised pixel-based land-cover image classification processes: General guidelines for practitioners and future research. Remote Sens. Environ. 2016, 177, 89–100. [Google Scholar] [CrossRef]
- Aghababaei, M.; Ebrahimi, A.; Naghipour, A.A.; Asadi, E.; Verrelst, J. Vegetation Types Mapping Using Multi-Temporal Landsat Images in the Google Earth Engine Platform. Remote Sens. 2021, 13, 4683. [Google Scholar] [CrossRef]
- Jensen, J.R. Introductory Digital Image Processing: A Remote Sensing Perspective University of South Carolina; Pearson: London, UK, 2015; ISBN 978-0-13-405816-0. [Google Scholar]
- Wang, D.; Wan, B.; Qiu, P.; Su, Y.; Guo, Q.; Wu, X. Artificial Mangrove Species Mapping Using Pléiades-1: An Evaluation of Pixel-Based and Object-Based Classifications with Selected Machine Learning Algorithms. Remote Sens. 2018, 10, 294. [Google Scholar] [CrossRef]
- Baig, M.H.A.; Zhang, L.; Shuai, T.; Tong, Q. Derivation of a tasselled cap transformation based on Landsat 8 at-satellite reflectance. Remote Sens. Lett. 2014, 5, 423–431. [Google Scholar] [CrossRef]
- Aghababaei, M.; Ebrahimi, A.; Naghipour, A.A.; Asadi, E.; Verrelst, J. Classification of Plant Ecological Units in Heterogeneous Semi-Steppe Rangelands: Performance Assessment of Four Classification Algorithms. Remote Sens. 2021, 13, 3433. (In Persian) [Google Scholar] [CrossRef] [PubMed]
- Breiman, L. Random Forests. Mach. Learn. 2001, 45, 5–32. [Google Scholar] [CrossRef]
- Aghababaei, M.; Ebrahimi, A.; Naghipour, A.A.; Asadi, E.; Perez-Suay, A.; Morata, M.; Garcia, J.L.; Rivera Caicedo, J.P.; Verrelst, J. Introducing ARTMO’s Machine-Learning Classification Algorithms Toolbox: Application to Plant-Type Detection in a Semi-Steppe Iranian Landscape. Remote Sens. 2022, 14, 4452. [Google Scholar] [CrossRef]
- Punia, M.; Joshi, P.K.; Porwal, M.C. Decision tree classification of land use land cover for Delhi, India using IRS-P6 AWiFS data. Expert Syst. Appl. 2011, 38, 5577–5583. [Google Scholar] [CrossRef]
- Demsar, J. Statistical Comparisons of Classifiers over Multiple Data Sets. J. Mach. Learn. Res. 2006, 7, 1–30. [Google Scholar]
- Ouzemou, J.E.; Harti, A.; Lhissou, R.; Moujahid, A.; Bouch, N.; Ouazzani, R.; Bachaoui, M.; Ghmari, A. Crop type mapping from pansharpened Landsat 8 NDVI data: A case of a highly fragmented and intensive agricultural system. Remote Sens. Appl. Soc. Environ. 2018, 11, 94–103. [Google Scholar] [CrossRef]
- Xie, Z.; Chen, Y.; Lu, D.; Guiying, L.; Chen, E. Classification of Land Cover, Forest, and Tree Species Classes with ZiYuan-3 Multispectral and Stereo Data. Remote Sens. 2019, 11, 164. [Google Scholar] [CrossRef]
- Phiri, D.; Morgenroth, J.; Xu, C.; Hermosilla, T. Effects of pre-processing methods on Landsat OLI-8 land cover classification using OBIA and random forests classifier. Int. J. Appl. Earth Obs. Geoinf. 2018, 73, 170–178. [Google Scholar] [CrossRef]
- Lu, D.; Li, G.; Moran, E.; Kuang, W. A comparative analysis of approaches for successional vegetation classification in the Brazilian Amazon. Gisci. Remote Sens. 2014, 51, 695–709. [Google Scholar] [CrossRef]
- Rogan, J.; Franklin, J.; Stow, D.; Miller, J.; Woodcock, C.; Roberts, D. Mapping land-cover modifications over large areas: A comparison of machine learning algorithms. Remote Sens. Environ. 2008, 112, 2272–2283. [Google Scholar] [CrossRef]
- Castillejo-Gonzalez, I.; Angueira, C.; Garcia-Ferrer, A.; Sanchez de la Orden, M. Combining Object-Based Image Analysis with Topographic Data for Landform Mapping: A Case Study in the Semi-Arid Chaco Ecosystem, Argentina. ISPRS Int. J. Geo-Inf. 2019, 8, 132. [Google Scholar] [CrossRef]
- Anderson, J.; Hardy, E.; Roach, J.; Witmer, R.E. A Land Use and Land Cover Classification System for Use with Remote Sensor Data. Geological Survey Professional; Professional Paper 964; U.S. Government Printing Office: Washington, DC, USA, 1976; 28p. [Google Scholar]
- Macintyre, P.D.; Van Niekerk, A.; Dobrowolski, M.P.; Tsakalos, J.L.; Mucina, L. Impact of ecological redundancy on the performance of machine learning classifiers in vegetation mapping. Ecol. Evol. 2018, 8, 6728–6737. [Google Scholar] [CrossRef]
- Pflugmacher, D.; Rabe, A.; Peters, M.; Hostert, P. Mapping pan-European land cover using Landsat spectral-temporal metrics and the European LUCAS survey. Remote Sens. Environ. 2019, 221, 583–595. [Google Scholar] [CrossRef]






| Code | Dominant Species * | Field Photos | Dominant Life Form | Accompanied Species * | Dominant Soil Type |
|---|---|---|---|---|---|
| PEU1 | Astragalus verus Olivier. (As ve). (23.4%) | ![]() | Shrub | Scariola orientalis (Boiss) Sojak. (2.5%) Alyssum linifolium Steph. ex Wild. (2%) Heteranthelium piliferum Hochst. ex Jaub. (1.8%) Astragalus macropelmatus Bunge. (1.3%) Acanthophyllum spinosum (Desf.) C.A.Mey. (0.8%) | Sandy loamy to loamy clay |
| PEU2 | Bromus tomentellus Boiss. (Br to). (8.9%) | ![]() | Tall grass | Phlomis olivieri Benth. (2.5%) Stipa hohenackeriana Trin and Rupr. (2%) Achillea wilhelmsii C. Koch, L. (1.8%) Centaurea aucheri (DC.) Wagenitz. (1.2%) Gypsophila struthium. (1%) | loamy and Silty Loamy |
| PEU3 | Scariola orientalis (Boiss.) Sojak. (Sc or). (9.25%) | ![]() | Semi-shrub | Noaea mucronata (Forsk.) Aschers et. Sch. (2.5%) Polygonum aridum Boiss. and Hausskn. (1.5%) Stachys inflata Benth. (1.2%) Tragopogon longirostris Bischoff ex Sch. Bip. (1%) Chardinia orientalis (L.) Kuntze. (0.5%) | Clay loam |
| PEU4 | Astragalus verus Olivier (8.6%)—Bromus tomentellus Boiss (5.4) (As ve–Br to) | ![]() | Shrub-tall grass | Euphorbia azerbadjhanica Bordz. (2%) Phlomis persica Boiss. (1.5%) Turginia latifolia (L.) Hoffm. (1.5%) Astragalus effusus Bunge. (1.3%) Cichorium intybus L. (0.5%) | loamy and Silty Loamy |
| Auxiliary Data | Formula/Description |
|---|---|
| Principal Component Analysis (PCAs) | This transformation technique is often used for data compression or noise removal. |
| Digital Elevation Model (DEM) | 3D cartographic ground representation of the terrain’s surface is the most common basis for digitally produced relief maps. |
| Tasseled-Cap-Wetness (TC-W) | OLI Wet = (OLI2 × 0.1511) + (OLI 3 × 0.1973) + (OLI4 × 0.3283) + (OLI5 × 0.3407) + (OLI6 × (−0.7117)) + (OLI7 × (−0.4559)) |
| Tasseled-Cap-Greenness (TC-G) | OLI Green = (OLI2 × (−0.2941)) + (OLI3 × (−0.2430)) + (OLI4 × (−0.5424)) + (OLI5 × 0.7276) + (OLI6 × 0.0713) + (OLI7 × (−0.1608)) |
| Tasseled-Cap-Brightness (TC-B) | OLI Bright = (OLI2 × 0.3029) + (OLI3 × 0.2786) + (OLI4 × 0.4733) + (OLI5 × 0.5599) + (OLI6 × 0.5080) + (OLI7 × 0.1872) |
| Modified Soil-Adjusted Vegetation Index (MSAVI) | MSAVI = (NIR − RED)(1 + L)/NIR + RED + L |
| Enhanced Vegetation Index (EVI) | EVI = 2.5 × (NIR − RED)/(NIR + 6 × RED − 7.5 × Blue + 1) |
| Proportion Vegetation (PV) | NDVI − NDVI(Min)/NDVI (Max) − NDVI(Min) |
| Reflectance Bands | Reflectance Bands + EVI | ||||||
|---|---|---|---|---|---|---|---|
| PA | UA | KIA | PA | UA | KIA | ||
| PEU1 | 78 | 88 | 71 | PEU1 | 78 | 86 | 71 |
| PEU2 | 65 | 60 | 51 | PEU2 | 65 | 68 | 53 |
| PEU3 | 56 | 56 | 40 | PEU3 | 69 | 66 | 57 |
| PEU4 | 60 | 58 | 44 | PEU4 | 62 | 57 | 47 |
| Overall Kappa: 52% Overall | Accuracy: 65% | Overall Kappa: 57% | Overall Accuracy: 69% | ||||
| Reflectance Bands + MSAVI | Reflectance Bands + PV | ||||||
| PA | UA | KIA | PA | UA | KIA | ||
| PEU1 | 78 | 82 | 70 | PEU1 | 78 | 77 | 70 |
| PEU2 | 58 | 67 | 46 | PEU2 | 58 | 65 | 45 |
| PEU3 | 78 | 68 | 68 | PEU3 | 74 | 63 | 62 |
| PEU4 | 62 | 60 | 48 | PEU4 | 54 | 60 | 41 |
| Overall Kappa: 58% | Overall Accuracy: 69% | Overall Kappa: 54% | Overall Accuracy: 66% | ||||
| Reflectance Bands + TC-W | Reflectance Bands + PCAs | ||||||
| PA | UA | KIA | PA | UA | KIA | ||
| PEU1 | 85 | 83 | 79 | PEU1 | 83 | 85 | 76 |
| PEU2 | 72 | 70 | 61 | PEU2 | 78 | 78 | 70 |
| PEU3 | 69 | 69 | 58 | PEU3 | 78 | 65 | 68 |
| PEU4 | 57 | 60 | 43 | PEU4 | 57 | 70 | 45 |
| Overall Kappa: 60% | Overall Accuracy: 71% | Overall Kappa: 65% | Overall Accuracy: 74% | ||||
| Reflectance Bands + DEM | Reflectance Bands + PCAs-DEM | ||||||
| PA | UA | KIA | PA | UA | KIA | ||
| PEU1 | 89 | 86 | 84 | PEU1 | 87 | 90 | 82 |
| PEU2 | 72 | 69 | 60 | PEU2 | 76 | 80 | 67 |
| PEU3 | 76 | 73 | 66 | PEU3 | 85 | 74 | 75 |
| PEU4 | 69 | 79 | 59 | PEU4 | 69 | 74 | 58 |
| Overall Kappa: 68% | Overall Accuracy: 76% | Overall Kappa: 71% | Overall Accuracy: 79% | ||||
| PEUs Accuracy | Signification | Auxiliary Dataset Accuracy | Signification |
|---|---|---|---|
| UA | 0.021 * | Reflectance bands-EVI | 0.613 |
| Reflectance bands-MSAVI | 0.665 | ||
| Reflectance bands-PV | 0.773 | ||
| Reflectance bands-TC-W | 0.248 | ||
| Reflectance bands-PCAs | 0.194 | ||
| Reflectance bands-DEM | 0.036 * | ||
| Reflectance bands-PCAs-DEM | 0.004 * | ||
| PA | 0.025 * | Reflectance bands-EVI | 0.665 |
| Reflectance bands-MSAVI | 0.470 | ||
| Reflectance bands-PV | 0.773 | ||
| Reflectance bands-TC-W | 0.427 | ||
| Reflectance bands-PCAs | 0.112 | ||
| Reflectance bands-DEM | 0.030 * | ||
| Reflectance bands-PCAs-DEM | 0.008 * | ||
| KIA | 0.021 * | Reflectance bands-EVI | 0.773 |
| Reflectance bands-MSAVI | 0.665 | ||
| Reflectance bands-PV | 0.613 | ||
| Reflectance bands-TC-W | 0.248 | ||
| Reflectance bands-PCAs | 0.194 | ||
| Reflectance bands-DEM | 0.036 * | ||
| Reflectance bands-PCAs-DEM | 0.004 * |
Disclaimer/Publisher’s Note: The statements, opinions and data contained in all publications are solely those of the individual author(s) and contributor(s) and not of MDPI and/or the editor(s). MDPI and/or the editor(s) disclaim responsibility for any injury to people or property resulting from any ideas, methods, instructions or products referred to in the content. |
© 2025 by the authors. Licensee MDPI, Basel, Switzerland. This article is an open access article distributed under the terms and conditions of the Creative Commons Attribution (CC BY) license (https://creativecommons.org/licenses/by/4.0/).
Share and Cite
Aghababaei, M.; Ebrahimi, A.; Naghipour, A.A.; Asadi, E.; Verrelst, J. Enhancing Plant Ecological Unit Mapping Accuracy with Auxiliary Data from Landsat-8 in a Heterogeneous Rangeland. Remote Sens. 2025, 17, 4025. https://doi.org/10.3390/rs17244025
Aghababaei M, Ebrahimi A, Naghipour AA, Asadi E, Verrelst J. Enhancing Plant Ecological Unit Mapping Accuracy with Auxiliary Data from Landsat-8 in a Heterogeneous Rangeland. Remote Sensing. 2025; 17(24):4025. https://doi.org/10.3390/rs17244025
Chicago/Turabian StyleAghababaei, Masoumeh, Ataollah Ebrahimi, Ali Asghar Naghipour, Esmaeil Asadi, and Jochem Verrelst. 2025. "Enhancing Plant Ecological Unit Mapping Accuracy with Auxiliary Data from Landsat-8 in a Heterogeneous Rangeland" Remote Sensing 17, no. 24: 4025. https://doi.org/10.3390/rs17244025
APA StyleAghababaei, M., Ebrahimi, A., Naghipour, A. A., Asadi, E., & Verrelst, J. (2025). Enhancing Plant Ecological Unit Mapping Accuracy with Auxiliary Data from Landsat-8 in a Heterogeneous Rangeland. Remote Sensing, 17(24), 4025. https://doi.org/10.3390/rs17244025





