A Semi-Analytical–Empirical Hybrid Model for Shallow Water Bathymetry Using Multispectral Imagery Without In Situ Data
Highlights
- A novel semi-analytical–empirical hybrid model was developed to retrieve shallow-water bathymetry from multispectral imagery containing only three visible bands, without relying on in situ depth measurements.
- The proposed model outperformed traditional physics-based methods across four coral reef environments, achieving root-mean-square error (RMSE) values ranging from 0.98 to 1.62 m, mean absolute error (MAE) values between 0.73 and 1.13 m, and coefficients of determination (R2) from 0.91 to 0.95.
- The model enables reliable and highly accurate bathymetric mapping in regions lacking field measurements, providing a robust alternative to existing physics-based approaches.
- The findings offer practical guidance for bathymetric retrieval using band-limited satellite imagery and contribute to advancing optical remote sensing of underwater topography.
Abstract
1. Introduction
2. Study Area and Data
2.1. Study Area
2.2. Data
2.3. Data Preprocessing
- Atmospheric correction: To minimize atmospheric effects and accurately retrieve surface reflectance, atmospheric correction was performed separately for the Gaofen-2 and Sentinel-2 images. For Gaofen-2 imagery, the open-source Py6S program, based on the 6S radiative transfer model, was employed. During correction, parameters were configured according to the sensor characteristics, imaging geometry, and geographic coordinates of the study area. The aerosol optical depth at 550 nm was fixed at 0.14497, corresponding to a visibility of approximately 40 km. Prior to atmospheric correction, the Gaofen-2 Level-1A product was radiometrically calibrated to convert the original digital numbers into radiance values. For Sentinel-2 imagery, atmospheric correction was performed using the Dark Spectrum Fitting (DSF) algorithm implemented in the ACOLITE processor, with all parameters set to their default values. The DSF algorithm has been widely applied in aquatic remote sensing and has demonstrated strong performance in coastal and inland water studies [30,37]. Notably, in this study, Sentinel-2 Level-1C data were selected for atmospheric correction instead of directly using the Level-2A products, which have already undergone atmospheric correction. This decision was made because the DSF algorithm is specifically designed for water applications and has been shown to outperform the standard Sen2Cor processor (used to generate Level-2A products) in retrieving high-resolution bathymetry in coral reef waters [19]. Consequently, applying the ACOLITE-based DSF to Sentinel-2 Level-1C data ensures a more reliable input for our bathymetry retrieval model.
- Geo-rectification: Accurate spatial co-registration between satellite imagery and in situ bathymetric data is essential for reliable model performance assessment. Sentinel-2 imagery offers geo-location accuracy better than 11 m (at a 95.5% confidence level) without the need for ground control points. Its sub-pixel geo-location accuracy eliminates the requirement for additional geo-rectification. In contrast, Gaofen-2 imagery exhibits relatively lower geo-location accuracy, and misalignment between the imagery and in situ depth points can significantly compromise the reliability of model evaluation. Therefore, Gaofen-2 imagery was geo-rectified using higher-accuracy Google satellite imagery as a reference to remove spatial offsets and ensure spatial consistency across datasets.
- Environmental noise masking: Environmental noise sources—such as clouds, cloud shadows, vessels, ship wakes, and whitecaps—create areas where the seafloor is obscured, potentially causing errors in bathymetry retrieval. These noise sources were manually masked in the imagery to ensure accurate bathymetric mapping.
- Sea–land segmentation: To effectively mask land areas and reduce computational load, the Normalized Difference Water Index (NDWI) was applied to separate land and marine regions [38]. Pixels with NDWI values greater than zero were classified as marine areas, while the remaining pixels were classified as land. Only the marine pixels were retained for subsequent processing and analysis. The NDWI is calculated as follows:
- Identification of shallow water regions: Optical remote sensing bathymetry is primarily applicable to optically shallow water regions. In optically deep-water regions, light cannot effectively penetrate to the seafloor and return to the sensor, resulting in pseudo-shallow signals that compromise retrieval accuracy. Therefore, accurately identifying shallow water regions is essential for delineating the valid bathymetric retrieval range. In the blue and green spectral bands—where water penetration is relatively strong—optically shallow water regions generally exhibit higher brightness than optically deep-water regions. Based on this characteristic, shallow water regions were identified manually through visual interpretation. Additionally, turbid nearshore waters in Kaneohe Bay were manually masked prior to identifying shallow water regions, since physics-based bathymetric approaches are typically designed for clear-water environments and tend to underestimate depths in turbid waters.
3. Methods
3.1. Traditional Physics-Based Approaches
3.1.1. Semi-Analytical Model
3.1.2. Physics-Based Dual-Band Model
3.1.3. L-S Model
3.2. Establishment of the Novel Semi-Analytical-Empirical Hybrid Model
3.2.1. Model Overview
3.2.2. Determining Physically Valid Depth by Combining Semi-Analytical and Dual-Band Models
- Step 1: Randomly select a specific number of pixels (e.g., 200) within the shallow-water region. These pixels serve as Self-Inference Points (SIPs) to assess whether the relative depth relationships among pixels are maintained.
- Step 2: Set the initial values of the parameters P, G, and X (e.g., P = 0.005, G = 0.005, X = 0.003).
- Step 3: Input the initial values of P, G, and X into the semi-analytical model to derive the corresponding bottom reflectance B and depth H for each SIP.
- Step 4: For each SIP, the semi-analytical model produces retrieved values of B and H. Additionally, the depth of each SIP can be expressed analytically using the dual-band model:
- Step 5: Adjust parameters P, G, and X according to their predefined ranges and step sizes, and repeat step 4 until all combinations of P, G, and X have been searched. This is a brute-force search process. When the coefficient of determination R2 between and reaches its maximum value, the corresponding values of P, G, and X are considered optimal. Notably, the ranges of P, G, and X are determined with References [32,34], and their search step sizes are empirical values chosen to balance accuracy and computational efficiency. The parameter ranges and step sizes of the model are provided in Table 1.
- Step 6: After determining the optimal P, G, and X parameters, retrieve the depths of all SIPs using the semi-analytical model with these parameters.
3.2.3. Bathymetry Mapping Using the Optimal Bathymetry Retrieval Model
3.3. Accuracy Evaluation Indicators
4. Results
4.1. Selection Results of the Optimal Bathymetry Retrieval Model
4.2. Bathymetric Map
4.3. Overall Accuracy Evaluation
- Buck Island: The proposed model demonstrated excellent performance, achieving an RMSE of 1.20 m, an MAE of 0.89 m, and an R2 of 0.93. Compared to the physics-based dual-band model, the RMSE decreased by 55%, the MAE by 56%, and the R2 increased by 0.29. Relative to the L-S model, the RMSE was 22% lower, the MAE was 27% lower, and the R2 improved by 0.05.
- Yongxing Island: The proposed model achieved an RMSE of 1.62 m, an MAE of 1.13 m, and an R2 value of 0.95. This represents a 28% reduction in RMSE and a 34% reduction in MAE compared to the physics-based dual-band model, along with a 0.04 increase in R2. Compared to the L-S model, the RMSE and MAE decreased by 10% and 16%, respectively, while the R2 improved by 0.01.
- Kaneohe Bay: The proposed model achieved an RMSE of 0.98 m, an MAE of 0.73 m, and an R2 value of 0.95. It outperformed the physics-based dual-band model, exhibiting 25% and 27% reductions in RMSE and MAE, respectively, along with a 0.04 increase in R2. Compared to the L-S model, the improvements were even more significant: RMSE and MAE both decreased by 47%, while R2 increased by 0.13.
- Yongle Atoll: The proposed model achieved an RMSE of 1.30 m, an MAE of 0.77 m, and an R2 of 0.91. Compared to the physics-based dual-band model, the RMSE and MAE were reduced by 28% and 31%, respectively, while the R2 increased by 0.08. Compared to the L-S model, it demonstrated a 9% lower RMSE, a 4% lower MAE, and a 0.02 higher R2.
4.4. Accuracy Evaluation in Different Depth Intervals
- Buck Island: The proposed model achieves the highest retrieval accuracy across all depth intervals. In the 0–5 m interval, its performance is comparable to that of the physics-based dual-band model, with RMSE and MAE differences within 0.1 m. However, at depths greater than 5 m, the proposed model significantly outperforms the physics-based dual-band model, reducing RMSE by approximately 0.5–2.6 m and MAE by 0.4–2.6 m. Compared to the L-S model, the proposed model performs similarly within the 5–10 m interval but demonstrates clear advantages in both the 0–5 m and >10 m intervals, reducing RMSE by approximately 0.3–0.5 m and MAE by 0.4–0.6 m.
- Yongxing Island: The proposed model achieves the highest or second-highest retrieval accuracy across all depth intervals. Specifically, in the 0–5 m and >15 m intervals, its accuracy is significantly superior to that of the other two models, with RMSE reductions of at least 0.3 m and MAE reductions of at least 0.2 m. Within the 5–15 m interval, the proposed model performs slightly worse than the L-S model; however, it clearly outperforms the physics-based dual-band model, achieving reductions in RMSE and MAE of at least 0.8 m.
- Kaneohe Bay: The proposed model achieves the highest retrieval accuracy across all depth intervals. Compared to the physics-based dual-band model, it demonstrates a significant advantage, reducing the RMSE by approximately 0.3–0.5 m and the MAE by 0.2–0.5 m. Relative to the L-S model, its performance advantage is particularly pronounced in the 5–15 m interval, reducing both RMSE and MAE by at least 1.0 m. In the 0–5 m and >15 m intervals, the proposed model also performs slightly better than the L-S model.
- Yongle Atoll: The proposed model achieves the best or near-best retrieval accuracy across all depth intervals. In the 0–5 m interval, its performance is comparable to that of the other two models. Within the 5–15 m interval, the proposed model performs similarly to the L-S model, with RMSE and MAE differences not exceeding 0.1 m, but it clearly outperforms the physics-based dual-band model, reducing both RMSE and MAE by at least 0.3 m. In the >15 m interval, the accuracy advantage of the proposed model is pronounced, with RMSE and MAE reductions of at least 1.2 m compared to the other two models.
5. Discussion
5.1. Impact of the Optimal Band-Rotation Coefficient Unit Vector on Retrieval Accuracy
- Prioritize selecting adjacent pixel pairs that exhibit distinct boundaries between bright and dark pixels, as illustrated in Figure 11a. Avoid selecting adjacent pixel pairs within the same bottom type or in regions where the boundaries between different bottom types are blurred, as shown in Figure 11b.
- Ensure that the selected adjacent pixel pairs span different depth intervals. If a clearly defined waterline exists in the study area, select adjacent pixel pairs at varying distances from the waterline. In the absence of a waterline (e.g., in submerged reef environments), an isobath can be constructed based on the logarithmic ratio of blue to green band reflectance, expressed as . Pixels with equal values of this ratio are assumed to have the same depth. Adjacent pixel pairs should then be selected at varying distances from the same isobath.
5.2. Impact of the Number of SIPs on Model Performance
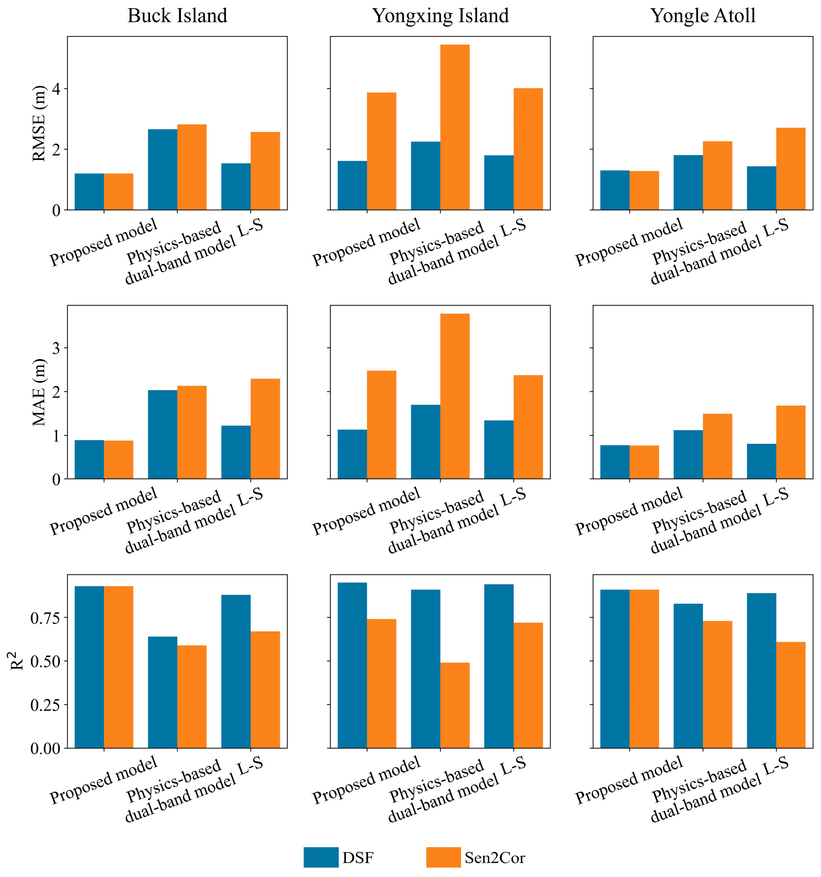
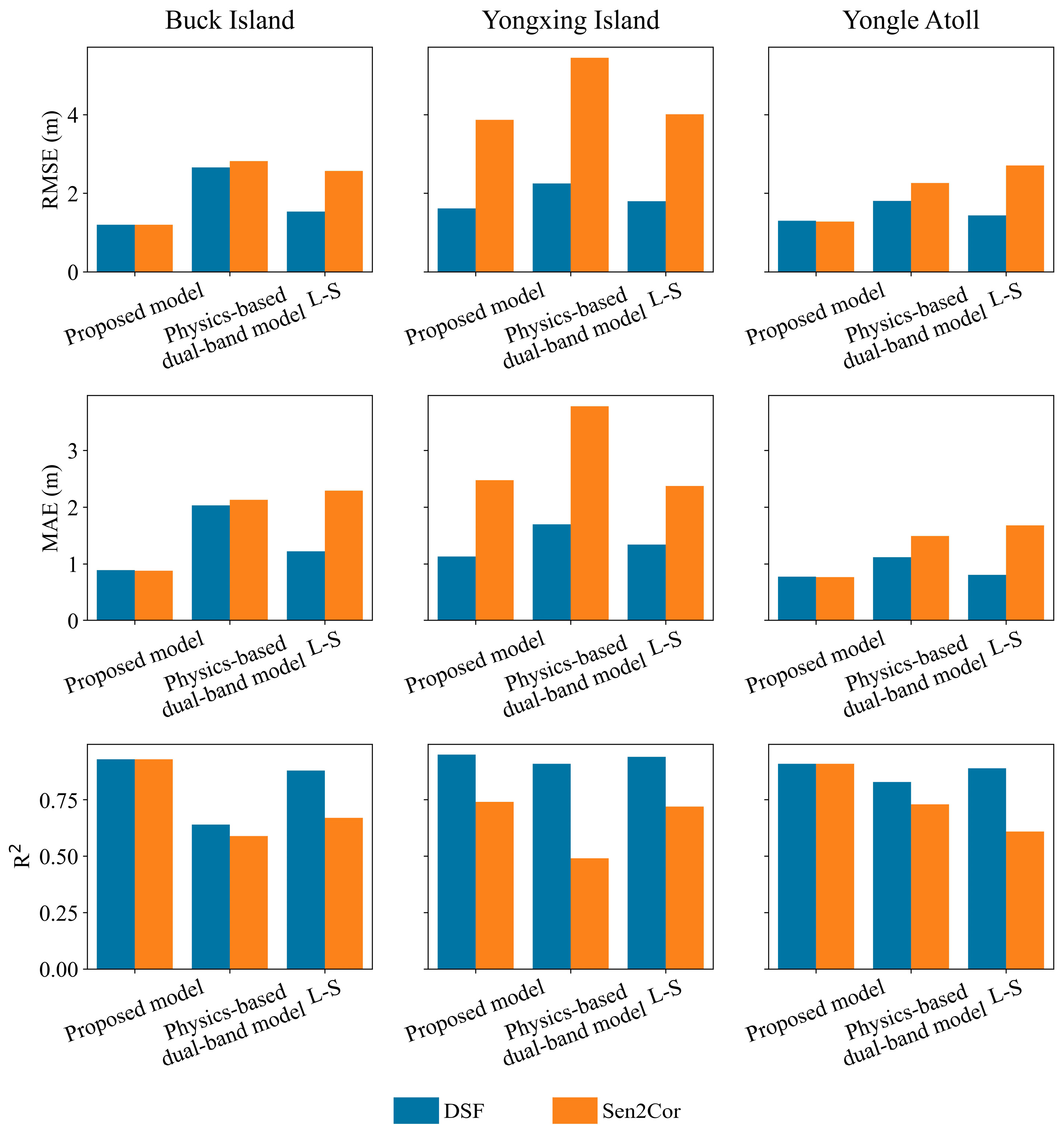
5.3. Impact of Atmospheric Correction on Retrieval Accuracy
- Buck Island: The proposed model achieved an RMSE of 1.20 m, an MAE of 0.88 m, and an R2 value of 0.93. Compared to the physics-based dual-band model, this represents reductions of 57% in RMSE and 59% in MAE, along with an increase of 0.34 in R2. Relative to the L-S model, the improvements include a 53% lower RMSE, a 62% lower MAE, and a 0.26 higher R2.
- Yongxing Island: The proposed model achieved an RMSE of 3.87 m, an MAE of 2.48 m, and an R2 value of 0.74. These results correspond to a 29% reduction in RMSE and a 0.25 increase in R2 compared to the physics-based dual-band model, as well as a 3% decrease in RMSE and a 0.02 increase in R2 relative to the L-S model. Regarding MAE, the proposed model demonstrates a 34% reduction compared to the physics-based dual-band model (from 3.78 m to 2.48 m), but is approximately 5% higher than the L-S model (2.37 m).
- Yongle Atoll: The proposed model achieved an RMSE of 1.28 m, an MAE of 0.76 m, and an R2 of 0.91. This corresponds to a 43% reduction in RMSE, a 49% reduction in MAE, and a 0.18 increase in R2 compared to the physics-based dual-band model, as well as a 53% lower RMSE, a 55% lower MAE, and a 0.30 higher R2 relative to the L-S model.
5.4. Limitations of the Proposed Model and Future Work
6. Conclusions
- The proposed model demonstrates exceptional accuracy and robustness across several typical coral reef environments, consistently producing stable bathymetric maps. In the four study areas—Buck Island, Yongxing Island, Kaneohe Bay, and Yongle Atoll—the model’s retrieval results (with RMSE values ranging from 0.98 to 1.62 m, MAE values from 0.73 to 1.13 m, and R2 values between 0.91 and 0.95) significantly outperform existing mainstream bathymetry retrieval methods, such as the physics-based dual-band model and the L-S model, which do not rely on in situ depth measurements. Notably, the proposed model maintains excellent retrieval accuracy across all depth intervals, especially in deeper waters (>15 m), underscoring its robustness and broad applicability.
- Sensitivity analysis of the optimal band rotation coefficient unit vector reveals that, although the proposed model is sensitive to this vector in most regions, it can reliably obtain equivalent optimal solutions by adhering to a clear set of criteria for selecting adjacent pixel pairs. This ensures the method’s reproducibility. Furthermore, the analysis identifies the minimum number of SIPs required for stable model performance—ranging from 30 to 70—offering practical guidance for sampling strategies in future applications. Additionally, the proposed model maintains a significant accuracy advantage under both the ACOLITE DSF and Sen2Cor atmospheric correction algorithms, further demonstrating its robustness for real-world applications.
Author Contributions
Funding
Data Availability Statement
Acknowledgments
Conflicts of Interest
References
- Yang, J.; Ma, Y.; Zheng, H.; Xu, N.; Zhu, K.; Wang, X.H.; Li, S. Derived Depths in Opaque Waters Using ICESat-2 Photon-Counting Lidar. Geophys. Res. Lett. 2022, 49, e2022GL100509. [Google Scholar] [CrossRef]
- Su, H.; Liu, H.; Wang, L.; Filippi, A.M.; Heyman, W.D.; Beck, R.A. Geographically Adaptive Inversion Model for Improving Bathymetric Retrieval From Satellite Multispectral Imagery. IEEE Trans. Geosci. Remote Sens. 2014, 52, 465–476. [Google Scholar] [CrossRef]
- Zhang, M.; Yang, F.; Wang, R.; Qi, C. High-Precision Water Depth Inversion in Nearshore Waters with SAR and Machine Learning. IEEE Geosci. Remote Sens. Lett. 2024, 21, 4003505. [Google Scholar] [CrossRef]
- Li, N.; Tang, Q.; Chen, Y.; Dong, Z.; Li, J.; Fu, X. Satellite-derived bathymetry integrating spatial and spectral information of multispectral images. Appl. Opt. 2023, 62, 2017–2029. [Google Scholar] [CrossRef]
- Wang, Y.; Zhou, X.; Li, C.; Chen, Y.; Yang, L. Bathymetry Model Based on Spectral and Spatial Multifeatures of Remote Sensing Image. IEEE Geosci. Remote Sens. Lett. 2020, 17, 37–41. [Google Scholar] [CrossRef]
- Xu, N.; Ma, X.; Ma, Y.; Zhao, P.; Yang, J.; Wang, X.H. Deriving Highly Accurate Shallow Water Bathymetry From Sentinel-2 and ICESat-2 Datasets by a Multitemporal Stacking Method. IEEE J. Sel. Top. Appl. Earth Obs. Remote Sens. 2021, 14, 6677–6685. [Google Scholar] [CrossRef]
- Chen, A.; Ma, Y.; Zhang, J. Partition satellite derived bathymetry for coral reefs based on spatial residual information. Int. J. Remote Sens. 2021, 42, 2807–2826. [Google Scholar] [CrossRef]
- Cheng, J.; Chu, S.; Cheng, L. Advancing Shallow Water Bathymetry Estimation in Coral Reef Areas via Stacking Ensemble Machine Learning Approach. IEEE J. Sel. Top. Appl. Earth Obs. Remote Sens. 2025, 18, 12511–12530. [Google Scholar] [CrossRef]
- Zhu, J.; Qin, J.; Yin, F.; Ren, Z.; Qi, J.; Zhang, J.; Wang, R. An APMLP Deep Learning Model for Bathymetry Retrieval Using Adjacent Pixels. IEEE J. Sel. Top. Appl. Earth Obs. Remote Sens. 2022, 15, 235–246. [Google Scholar] [CrossRef]
- Lumban-Gaol, Y.; Ohori, K.A.; Peters, R. Extracting Coastal Water Depths from Multi-Temporal Sentinel-2 Images Using Convolutional Neural Networks. Mar. Geod. 2022, 45, 615–644. [Google Scholar] [CrossRef]
- Duan, Z.; Cheng, L.; Mao, Q.; Song, Y.; Zhou, X.; Li, M.; Gong, J. MIWC: A multi-temporal image weighted composition method for satellite-derived bathymetry in shallow waters. ISPRS J. Photogramm. Remote Sens. 2024, 218, 430–445. [Google Scholar] [CrossRef]
- Caballero, I.; Stumpf, R.P. Retrieval of nearshore bathymetry from Sentinel-2A and 2B satellites in South Florida coastal waters. Estuar. Coast. Shelf Sci. 2019, 226, 106277. [Google Scholar] [CrossRef]
- Lowell, K.; Rzhanov, Y. Global and local magnitude and spatial pattern of uncertainty from geographically adaptive empirical and machine learning satellite-derived bathymetry models. GISci. Remote Sens. 2024, 61, 2297549. [Google Scholar] [CrossRef]
- Casal, G.; Monteys, X.; Hedley, J.; Harris, P.; Cahalane, C.; McCarthy, T. Assessment of empirical algorithms for bathymetry extraction using Sentinel-2 data. Int. J. Remote Sens. 2018, 40, 2855–2879. [Google Scholar] [CrossRef]
- Eugenio, F.; Marcello, J.; Mederos-Barrera, A.; Marques, F. High-Resolution Satellite Bathymetry Mapping: Regression and Machine Learning-Based Approaches. IEEE Trans. Geosci. Remote Sens. 2022, 60, 5407614. [Google Scholar] [CrossRef]
- Hartmann, D.; Gravey, M.; Price, T.D.; Nijland, W.; de Jong, S.M. Surveying Nearshore Bathymetry Using Multispectral and Hyperspectral Satellite Imagery and Machine Learning. Remote Sens. 2025, 17, 291. [Google Scholar] [CrossRef]
- Qi, J.; Zhang, D.; Ren, Z.; Cui, A.; Yin, F.; Qin, J.; Zhan, J.; Zhu, J. Determination of the Initial Value Ranges of Nonlinear Solutions for a Log Ratio Bathymetric Inversion Model and Bathymetry Retrieval. IEEE J. Sel. Top. Appl. Earth Obs. Remote Sens. 2021, 14, 10875–10888. [Google Scholar] [CrossRef]
- Albright, A.; Glennie, C. Nearshore Bathymetry From Fusion of Sentinel-2 and ICESat-2 Observations. IEEE Geosci. Remote Sens. Lett. 2021, 18, 900–904. [Google Scholar] [CrossRef]
- Huang, Y.; Yang, H.; Tang, S.; Liu, Y.; Liu, Y. An Appraisal of Atmospheric Correction and Inversion Algorithms for Mapping High-Resolution Bathymetry Over Coral Reef Waters. IEEE Trans. Geosci. Remote Sens. 2023, 61, 4204511. [Google Scholar] [CrossRef]
- Zhang, X.; Chen, Y.; Le, Y.; Zhang, D.; Yan, Q.; Dong, Y.; Han, W.; Wang, L. Nearshore Bathymetry Based on ICESat-2 and Multispectral Images: Comparison Between Sentinel-2, Landsat-8, and Testing Gaofen-2. IEEE J. Sel. Top. Appl. Earth Obs. Remote Sens. 2022, 15, 2449–2462. [Google Scholar] [CrossRef]
- Xu, C.; Ruan, X.; Shen, C.; Tao, Z.; Xu, X.; Zheng, J.; Wu, W. A subregional shallow water bathymetry derivation method for coral reef using ICESat-2 and Sentinel-2 combined with sediment information. Int. J. Appl. Earth Obs. Geoinf. 2025, 142, 104698. [Google Scholar] [CrossRef]
- Jay, S.; Guillaume, M.; Minghelli, A.; Deville, Y.; Chami, M.; Lafrance, B.; Serfaty, V. Hyperspectral remote sensing of shallow waters: Considering environmental noise and bottom intra-class variability for modeling and inversion of water reflectance. Remote Sens. Environ. 2017, 200, 352–367. [Google Scholar] [CrossRef]
- He, J.; Zhang, S.; Cui, X.; Feng, W. Remote sensing for shallow bathymetry: A systematic review. Earth-Sci. Rev. 2024, 258, 104957. [Google Scholar] [CrossRef]
- Lee, Z.; Carder, K.L.; Mobley, C.D.; Steward, R.G.; Patch, J.S. Hyperspectral remote sensing for shallow waters. I. A semianalytical model. Appl. Opt. 1998, 37, 6329–6338. [Google Scholar] [CrossRef]
- Lee, Z.; Carder, K.L.; Mobley, C.D.; Steward, R.G.; Patch, J.S. Hyperspectral remote sensing for shallow waters: 2. Deriving bottom depths and water properties by optimization. Appl. Opt. 1999, 38, 3831–3843. [Google Scholar] [CrossRef] [PubMed]
- Cao, B.; Deng, R.; Xu, Y.; Cao, B.; Liu, Y.; Zhu, S. Practical Differences Between Photogrammetric Bathymetry and Physics-Based Bathymetry. IEEE Geosci. Remote Sens. Lett. 2022, 19, 8016705. [Google Scholar] [CrossRef]
- Liu, Y.; Deng, R.; Li, J.; Qin, Y.; Xiong, L.; Chen, Q.; Liu, X. Multispectral Bathymetry via Linear Unmixing of the Benthic Reflectance. IEEE J. Sel. Top. Appl. Earth Obs. Remote Sens. 2018, 11, 4349–4363. [Google Scholar] [CrossRef]
- Liu, Y.; Deng, R.; Qin, Y.; Cao, B.; Liang, Y.; Liu, Y.; Tian, J.; Wang, S. Rapid estimation of bathymetry from multispectral imagery without in situ bathymetry data. Appl. Opt. 2019, 58, 7538–7551. [Google Scholar] [CrossRef]
- Liu, Y.; Zhao, J.; Deng, R.; Liang, Y.; Gao, Y.; Chen, Q.; Xiong, L.; Liu, Y.; Tang, Y.; Tang, D. A downscaled bathymetric mapping approach combining multitemporal Landsat-8 and high spatial resolution imagery: Demonstrations from clear to turbid waters. ISPRS J. Photogramm. Remote Sens. 2021, 180, 65–81. [Google Scholar] [CrossRef]
- Lei, C.; Deng, R.; Liu, R.; Li, J.; Guo, Y.; Yang, J.; Hua, Z.; Zhang, R. Advancing Multispectral Image-Derived Physics-Based Bathymetry: Multi-Objective Evolutionary Computation for Shallow Water Depth Retrieval. IEEE J. Sel. Top. Appl. Earth Obs. Remote Sens. 2025, 18, 23858–23878. [Google Scholar] [CrossRef]
- Li, J.; Knapp, D.E.; Schill, S.R.; Roelfsema, C.; Phinn, S.; Silman, M.; Mascaro, J.; Asner, G.P. Adaptive bathymetry estimation for shallow coastal waters using Planet Dove satellites. Remote Sens. Environ. 2019, 232, 111302. [Google Scholar] [CrossRef]
- Xia, H.; Li, X.; Zhang, H.; Wang, J.; Lou, X.; Fan, K.; Shi, A.; Li, D. A Bathymetry Mapping Approach Combining Log-Ratio and Semianalytical Models Using Four-Band Multispectral Imagery Without Ground Data. IEEE Trans. Geosci. Remote Sens. 2020, 58, 2695–2709. [Google Scholar] [CrossRef]
- Chen, B.; Yang, Y.; Xu, D.; Huang, E. A dual band algorithm for shallow water depth retrieval from high spatial resolution imagery with no ground truth. ISPRS J. Photogramm. Remote Sens. 2019, 151, 1–13. [Google Scholar] [CrossRef]
- Xu, Y.; Cao, B.; Deng, R.; Cao, B.; Liu, H.; Li, J. Bathymetry over broad geographic areas using optical high-spatial-resolution satellite remote sensing without in-situ data. Int. J. Appl. Earth Obs. Geoinf. 2023, 119, 103308. [Google Scholar] [CrossRef]
- McCarthy, M.J.; Otis, D.B.; Hughes, D.; Muller-Karger, F.E. Automated high-resolution satellite-derived coastal bathymetry mapping. Int. J. Appl. Earth Obs. Geoinf. 2022, 107, 102693. [Google Scholar] [CrossRef]
- Zhu, W.; Ye, L.; Qiu, Z.; Luan, K.; He, N.; Wei, Z.; Yang, F.; Yue, Z.; Zhao, S.; Yang, F. Research of the Dual-Band Log-Linear Analysis Model Based on Physics for Bathymetry without In-Situ Depth Data in the South China Sea. Remote Sens. 2021, 13, 4331. [Google Scholar] [CrossRef]
- Duan, Z.; Chu, S.; Cheng, L.; Ji, C.; Li, M.; Shen, W. Satellite-derived bathymetry using Landsat-8 and Sentinel-2A images: Assessment of atmospheric correction algorithms and depth derivation models in shallow waters. Opt. Express 2022, 30, 3238–3261. [Google Scholar] [CrossRef] [PubMed]
- Zhu, W.; Huang, Y.; Cao, T.; Zhang, X.; Xie, Q.; Luan, K.; Shen, W.; Zou, Z. Satellite-Derived Bathymetry Combined with Sentinel-2 and ICESat-2 Datasets Using Deep Learning. IEEE J. Sel. Top. Appl. Earth Obs. Remote Sens. 2025, 18, 18376–18390. [Google Scholar] [CrossRef]
- Yang, Q.; Chen, J.; Chen, B.; Tao, B. Evaluation and Improvement of No-Ground-Truth Dual Band Algorithm for Shallow Water Depth Retrieval: A Case Study of a Coastal Island. Remote Sens. 2022, 14, 6231. [Google Scholar] [CrossRef]
- Legleiter, C.J.; Harrison, L.R. Remote Sensing of River Bathymetry: Evaluating a Range of Sensors, Platforms, and Algorithms on the Upper Sacramento River, California, USA. Water Resour. Res. 2019, 55, 2142–2169. [Google Scholar] [CrossRef]
- Kerr, J.M.; Purkis, S. An algorithm for optically-deriving water depth from multispectral imagery in coral reef landscapes in the absence of ground-truth data. Remote Sens. Environ. 2018, 210, 307–324. [Google Scholar] [CrossRef]















| Parameter | Initial Value | Range | Step |
|---|---|---|---|
| P | 0.005 | 0.005–0.1 | 0.002 |
| G | 0.005 | 0.005–0.03 | 0.002 |
| X | 0.003 | 0.003–0.15 | 0.002 |
| B | 0.5 | 0.002–1.0 | |
| H | 3 | 0–30 |
| Model Option | Buck Island | Yongxing Island | Kaneohe Bay | Yongle Atoll |
|---|---|---|---|---|
| Optimal depth factor x | ||||
| Optimal empirical model | Power model | Quadratic polynomial model | Exponential model | Power model |
| Model expression |
Disclaimer/Publisher’s Note: The statements, opinions and data contained in all publications are solely those of the individual author(s) and contributor(s) and not of MDPI and/or the editor(s). MDPI and/or the editor(s) disclaim responsibility for any injury to people or property resulting from any ideas, methods, instructions or products referred to in the content. |
© 2025 by the authors. Licensee MDPI, Basel, Switzerland. This article is an open access article distributed under the terms and conditions of the Creative Commons Attribution (CC BY) license (https://creativecommons.org/licenses/by/4.0/).
Share and Cite
He, C.; Zhang, S.; Jiang, Q.; Gao, X.; Zhang, Z. A Semi-Analytical–Empirical Hybrid Model for Shallow Water Bathymetry Using Multispectral Imagery Without In Situ Data. Remote Sens. 2025, 17, 3879. https://doi.org/10.3390/rs17233879
He C, Zhang S, Jiang Q, Gao X, Zhang Z. A Semi-Analytical–Empirical Hybrid Model for Shallow Water Bathymetry Using Multispectral Imagery Without In Situ Data. Remote Sensing. 2025; 17(23):3879. https://doi.org/10.3390/rs17233879
Chicago/Turabian StyleHe, Chunlong, Sen Zhang, Qigang Jiang, Xin Gao, and Zhenchao Zhang. 2025. "A Semi-Analytical–Empirical Hybrid Model for Shallow Water Bathymetry Using Multispectral Imagery Without In Situ Data" Remote Sensing 17, no. 23: 3879. https://doi.org/10.3390/rs17233879
APA StyleHe, C., Zhang, S., Jiang, Q., Gao, X., & Zhang, Z. (2025). A Semi-Analytical–Empirical Hybrid Model for Shallow Water Bathymetry Using Multispectral Imagery Without In Situ Data. Remote Sensing, 17(23), 3879. https://doi.org/10.3390/rs17233879
