Next Article in Journal
Generating Accurate De-Noising Vectors for Sentinel-1: 10 Years of Continuous Improvements
Previous Article in Journal
Spatiotemporal Variations and Seasonal Climatic Driving Factors of Stable Vegetation Phenology Across China over the Past Two Decades
 
 
Font Type:
Arial Georgia Verdana
Font Size:
Aa Aa Aa
Line Spacing:
Column Width:
Background:
This is an early access version, the complete PDF, HTML, and XML versions will be available soon.
Article

Latent Heat Flux and Turbulent Kinetic Energy Measurements by Lidar in the Frame of the WaLiNeAs Campaign

1
Dipartimento di Scienze della Salute, Università degli Studi della Basilicata, Via Ateneo Lucano, 85100 Potenza, Italy
2
Consiglio Nazionale delle Ricerche—Istituto di Metodologie per l’Analisi Ambientale CNR-IMAA, 85050 Potenza, Italy
3
Consiglio Nazionale delle Ricerche—Istituto di Scienze Marine CNR-ISMAR, Via Fosso del Cavaliere, 00133 Roma, Italy
4
LATMOS/IPSL, Observations Spatiales, UMR 8190 CNRS—Sorbonne Universite, 75006 Paris, France
*
Author to whom correspondence should be addressed.
Remote Sens. 2025, 17(20), 3473; https://doi.org/10.3390/rs17203473
Submission received: 20 August 2025 / Revised: 21 September 2025 / Accepted: 9 October 2025 / Published: 17 October 2025

Abstract

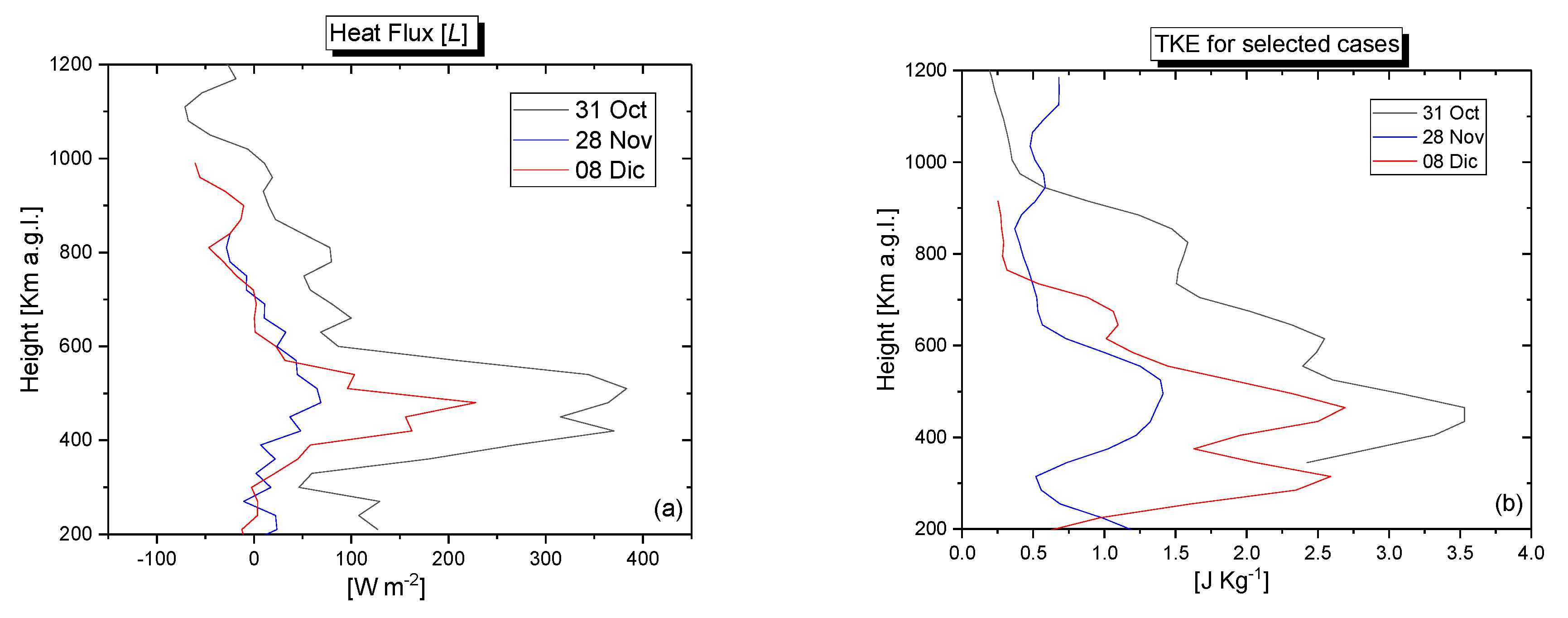
In the present work, we report daytime latent heat flux profile measurements in the convective boundary layer (CBL) obtained from the combined use of a wind lidar and a thermodynamic Raman lidar. Water vapour flux profiles and, consequently, latent heat flux profiles were obtained as the covariance between the vertical profiles of the water vapour mixing ratio and vertical wind fluctuations. Profile measurements of the water vapour mixing ratio were carried out by the thermodynamic Raman lidar CONCERNING, while simultaneous profile measurements of the vertical wind speed were carried out by a co-located Doppler wind lidar. The considered dataset was collected in the frame of the international field campaign “Water Vapor Lidar Network Assimilation” (WaLiNeAs). Three cloud-free time intervals on 31 October, 28 November, and 8 December 2022 were selected as case studies. Measurements of turbulent kinetic energy (TKE) were also carried out over the same time intervals based on the use of wind lidar data. The three selected case studies were characterised by different atmospheric stability conditions and, consequently, by a different potential for the occurrence of convective activity. More specifically, the atmospheric conditions on 31 October 2022 were very unstable, with intensive convective activity taking place in the area and ultimately leading to relatively intense thunderstorms and rainfall events. The atmospheric conditions on 28 November 2022 were moderately unstable, ultimately leading to light convective activity, with scattered rain episodes observed throughout the day but with no severe thunderstorms taking place. Stratiform precipitations were present on 8 December 2022, with weak embedded convective processes taking place within stratiform clouds and leading to moderate additional precipitation. In all three selected case studies, representative of pre-convective conditions, both latent heat flux and TKE profiles are characterised by values increasing with altitude up to approx. 500 m, while both latent heat flux and TKE are found to decrease, with a steeper negative gradient up to approx. 600 m and more gradually above this altitude, returning to zero just above the top of the CBL. In all three cases, peak values of TKE appear to be strongly correlated with corresponding peak values of the latent heat flux; the higher the maximum values of TKE and latent heat flux, the more intense the following precipitation events.
Keywords: lidar; wind lidar; flux; water vapour; TKE lidar; wind lidar; flux; water vapour; TKE

Share and Cite

MDPI and ACS Style

Di Girolamo, P.; Summa, D.; Gandolfi, I.; Di Paolantonio, M.; Rosoldi, M.; De Rosa, B.; Dionisi, D.; Flamant, C.; D’Amico, G. Latent Heat Flux and Turbulent Kinetic Energy Measurements by Lidar in the Frame of the WaLiNeAs Campaign. Remote Sens. 2025, 17, 3473. https://doi.org/10.3390/rs17203473

AMA Style

Di Girolamo P, Summa D, Gandolfi I, Di Paolantonio M, Rosoldi M, De Rosa B, Dionisi D, Flamant C, D’Amico G. Latent Heat Flux and Turbulent Kinetic Energy Measurements by Lidar in the Frame of the WaLiNeAs Campaign. Remote Sensing. 2025; 17(20):3473. https://doi.org/10.3390/rs17203473

Chicago/Turabian Style

Di Girolamo, Paolo, Donato Summa, Ilaria Gandolfi, Marco Di Paolantonio, Marco Rosoldi, Benedetto De Rosa, Davide Dionisi, Cyrille Flamant, and Giuseppe D’Amico. 2025. "Latent Heat Flux and Turbulent Kinetic Energy Measurements by Lidar in the Frame of the WaLiNeAs Campaign" Remote Sensing 17, no. 20: 3473. https://doi.org/10.3390/rs17203473

APA Style

Di Girolamo, P., Summa, D., Gandolfi, I., Di Paolantonio, M., Rosoldi, M., De Rosa, B., Dionisi, D., Flamant, C., & D’Amico, G. (2025). Latent Heat Flux and Turbulent Kinetic Energy Measurements by Lidar in the Frame of the WaLiNeAs Campaign. Remote Sensing, 17(20), 3473. https://doi.org/10.3390/rs17203473

Note that from the first issue of 2016, this journal uses article numbers instead of page numbers. See further details here.

Article Metrics

Back to TopTop