Hybrid Machine Learning and SBAS-InSAR Integration for Landslide Susceptibility Mapping Along the Balakot–Naran Route, Pakistan
Abstract
Highlights
- Hybrid ensemble (AdaBoost + LightGBM + XGBoost) with RFE-10 achieved the best accuracy (AUC 0.88).
- Adding SBAS-InSAR Vslope sharpened the LSM and improved spatial completeness.
- The workflow reveals previously unmapped active zones for targeted mitigation.
- The reduced-factor ensemble is transferable and computationally efficient for mountainous LSM.
Abstract
1. Introduction
2. Materials and Methods
2.1. Study Area and Geological Settings
2.2. Landslide Inventory Map
2.3. Landslide Conditioning Factors (LCFs)
2.4. Modeling
2.4.1. Adaptive Boosting (AdaBoost)
2.4.2. Light Gradient Boosting (LightGBM)
2.4.3. Extreme Gradient Boosting (XGBoost)
2.4.4. Hybrid (ADA + LGBM + XGB)
- (1)
- Fit a weak classifier ht(x) ∈ {−1, +1} on weighted data Dt.
- (2)
- Weighted error , with 0 < ε_t < 0.5.
- (3)
- Learner weight
- (4)
- Update and renormalize:Dt+1(i) ∝ Dt(i) exp{ −αtỹi ht(xi)}.Final score F(x) = ΣTt=1 αt ht(x);probability:p(y = 1|x) = σ(2F(x))Gradient Boosting Trees
2.5. Key Indicators of Landslide Conditioning Factors
2.5.1. Recursive Feature Elimination and Multicollinearity Analysis
2.5.2. Shapley Additive Explanations (SHAP)
2.6. Model Evaluation and Validation
2.7. SBAS-InSAR
3. Results
3.1. RFE Technique and Multicollinearity Analysis
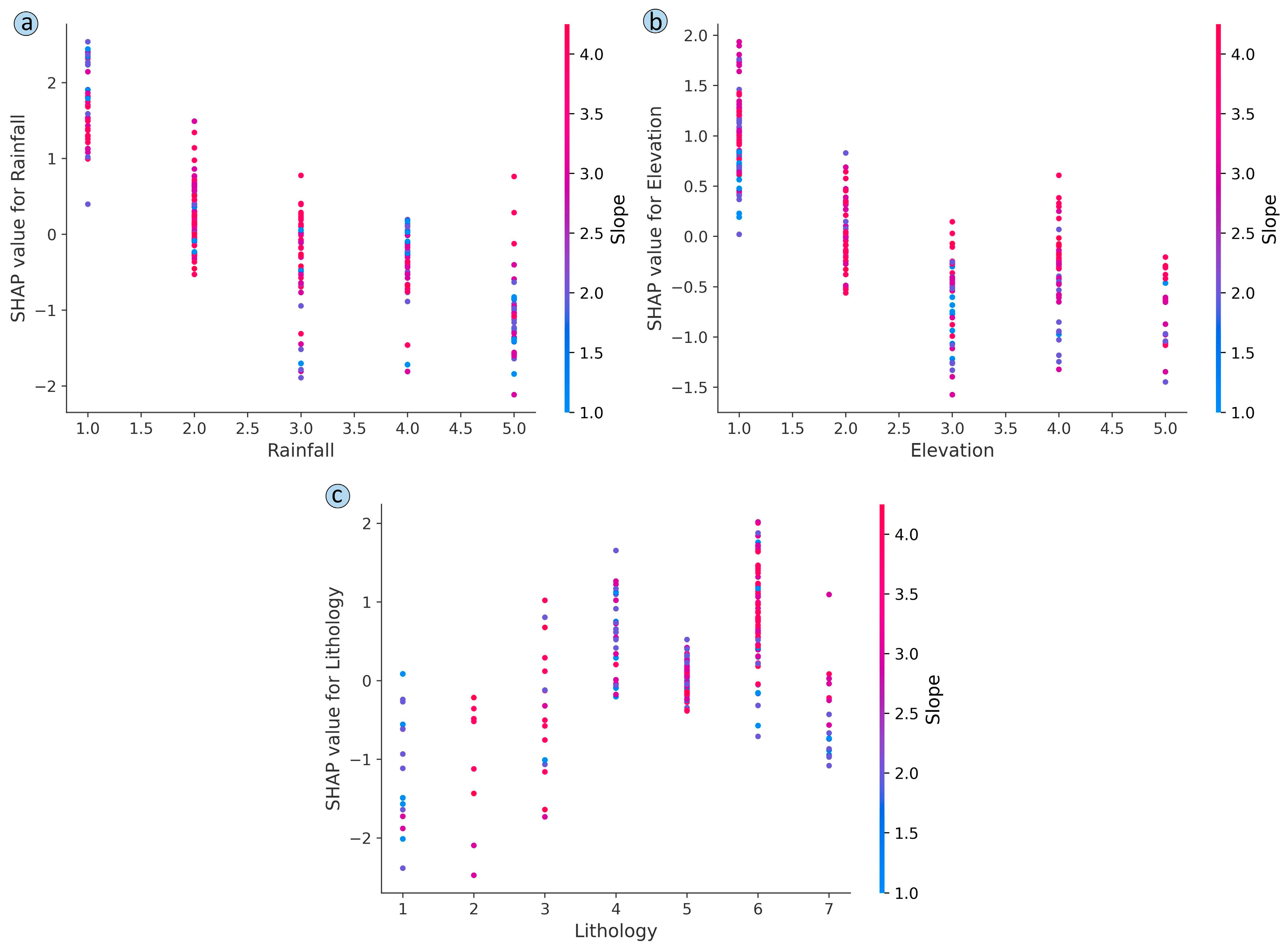
3.2. Shapley Additive Explanations (SHAP) Value
3.3. Landslide Susceptibility Mapping
3.4. SBAS-InSAR Results



4. Discussion
Future Directions
5. Conclusions
Author Contributions
Funding
Data Availability Statement
Conflicts of Interest
References
- Liu, T.; Liu, Y.; Zhang, C.; Yuan, L.; Sui, X.; Chen, Q. Hyperspectral image super-resolution via dual-domain network based on hybrid convolution. IEEE Trans. Geosci. Remote Sens. 2024, 62, 5512518. [Google Scholar] [CrossRef]
- Yang, Z.Q.; Zhu, Y.Y.; Zou, D.S.; Liao, L.P. Activity degree evaluation of glacial debris flow along international Karakorum Highway (KKH) based on fuzzy theory. Adv. Mater. Res. 2011, 261, 1167–1171. [Google Scholar] [CrossRef]
- Dey, S.; Das, S.; Roy, S.K. Demystifying the predictive capability of advanced heterogeneous machine learning ensembles for landslide susceptibility assessment and mapping in the Eastern Himalayan Region, India. Nat. Hazards 2025, 121, 13407–13446. [Google Scholar] [CrossRef]
- Meena, S.R.; Hussain, M.A.; Ullah, H.; Ullah, I. Landslide susceptibility mapping using hybrid machine learning classifiers: A case study of Neelum Valley, Pakistan. Bull. Eng. Geol. Environ. 2025, 84, 242. [Google Scholar] [CrossRef]
- Yang, Z.; Fan, X.; Yang, Y.; Hou, K.; Du, J.; Chen, X.; Mi, Y.; Jiang, C.; Zhang, J.; Guo, Y. Deformation patterns and failure mechanism of high and steep stratified rock slopes with upper steep and lower gentle style induced by step-by-step excavations. Environ. Earth Sci. 2022, 81, 229. [Google Scholar] [CrossRef]
- Yang, Z.; Zhao, X.; Chen, M.; Zhang, J.; Yang, Y.; Chen, W.; Bai, X.; Wang, M.; Wu, Q. Characteristics, dynamic analyses and hazard assessment of debris flows in Niumiangou Valley of Wenchuan County. Appl. Sci. 2023, 13, 1161. [Google Scholar] [CrossRef]
- Yu, Z.; Ning, Z.; Chang, W.-Y.; Chang, S.J.; Yang, H. Optimal harvest decisions for the management of carbon sequestration forests under price uncertainty and risk preferences. For. Policy Econ. 2023, 151, 102957. [Google Scholar] [CrossRef]
- Alcántara-Ayala, I. Landslides in a changing world. Landslides 2025, 22, 2851–2865. [Google Scholar] [CrossRef]
- Raihan, A. A comprehensive review of the recent advancement in integrating deep learning with geographic information systems. Res. Briefs Inf. Commun. Technol. Evol. 2023, 9, 98–115. [Google Scholar] [CrossRef]
- Zhong, C.; Liu, Y.; Gao, P.; Chen, W.; Li, H.; Hou, Y.; Nuremanguli, T.; Ma, H. Landslide mapping with remote sensing: Challenges and opportunities. Int. J. Remote Sens. 2020, 41, 1555–1581. [Google Scholar] [CrossRef]
- Hong, Y.; Adler, R.; Huffman, G. Use of satellite remote sensing data in the mapping of global landslide susceptibility. Nat. Hazards 2007, 43, 245–256. [Google Scholar] [CrossRef]
- Ghorbanzadeh, O.; Blaschke, T.; Aryal, J.; Gholaminia, K. A new GIS-based technique using an adaptive neuro-fuzzy inference system for land subsidence susceptibility mapping. J. Spat. Sci. 2020, 65, 401–418. [Google Scholar] [CrossRef]
- Sestraș, P.; Bilașco, Ș.; Roșca, S.; Naș, S.; Bondrea, M.V.; Gâlgău, R.; Vereș, I.; Sălăgean, T.; Spalević, V.; Cîmpeanu, S.M. Landslides susceptibility assessment based on GIS statistical bivariate analysis in the hills surrounding a metropolitan area. Sustainability 2019, 11, 1362. [Google Scholar] [CrossRef]
- Ding, Q.; Chen, W.; Hong, H. Application of frequency ratio, weights of evidence and evidential belief function models in landslide susceptibility mapping. Geocarto Int. 2017, 32, 619–639. [Google Scholar] [CrossRef]
- Youssef, A.M.; Pourghasemi, H.R. Landslide susceptibility mapping using machine learning algorithms and comparison of their performance at Abha Basin, Asir Region, Saudi Arabia. Geosci. Front. 2021, 12, 639–655. [Google Scholar] [CrossRef]
- Constantin, M.; Bednarik, M.; Jurchescu, M.C.; Vlaicu, M. Landslide susceptibility assessment using the bivariate statistical analysis and the index of entropy in the Sibiciu Basin (Romania). Environ. Earth Sci. 2011, 63, 397–406. [Google Scholar] [CrossRef]
- Habiballah, R.; Witam, O.; Ibnoussina, M. An Ensemble modeling of frequency ratio (FR) with evidence belief function (EBF) for GIS-based landslide susceptibility mapping: A case study of the coastal cliff of Safi, Morocco. J. Indian Soc. Remote Sens. 2023, 51, 2243–2263. [Google Scholar] [CrossRef]
- Wang, Y.; Nanehkaran, Y.A. GIS-based fuzzy logic technique for mapping landslide susceptibility analyzing in a coastal soft rock zone. Nat. Hazards 2024, 120, 10889–10921. [Google Scholar] [CrossRef]
- Oleng, M.; Ozdemir, Z.; Pilakoutas, K. Co-seismic and rainfall-triggered landslide hazard susceptibility assessment for Uganda derived using fuzzy logic and geospatial modelling techniques. Nat. Hazards 2024, 120, 14049–14082. [Google Scholar] [CrossRef]
- Kotzé, J.; Le Roux, J.; van Tol, J. Creating a landslide inventory in the Eastern Cape Province, South Africa: A pixel-based change detection method using fuzzy membership functions. Nat. Hazards 2025, 121, 18249–18274. [Google Scholar] [CrossRef]
- Kucuker, D.M. lyzing landslide susceptibility of forest roads by analytical hierarchy process (AHP) in of forest planning unit of Turkiye. Nat. Hazards 2025, 121, 2323–2345. [Google Scholar] [CrossRef]
- Chicas, S.D.; Li, H.; Mizoue, N.; Ota, T.; Du, Y.; Somogyvári, M. Landslide susceptibility mapping core-base factors and models’ performance variability: A systematic review. Nat. Hazards 2024, 120, 12573–12593. [Google Scholar] [CrossRef]
- Nwazelibe, V.E.; Egbueri, J.C.; Unigwe, C.O.; Agbasi, J.C.; Ayejoto, D.A.; Abba, S.I. GIS-based landslide susceptibility mapping of Western Rwanda: An integrated artificial neural network, frequency ratio, and Shannon entropy approach. Environ. Earth Sci. 2023, 82, 439. [Google Scholar] [CrossRef]
- Chen, Y. Spatial prediction and mapping of landslide susceptibility using machine learning models. Nat. Hazards 2025, 121, 8367–8385. [Google Scholar] [CrossRef]
- Abdelkader, M.M.; Csámer, Á. Comparative assessment of machine learning models for landslide susceptibility mapping: A focus on validation and accuracy. Nat. Hazards 2025, 121, 10299–10321. [Google Scholar] [CrossRef]
- Mao, Y.; Qin, H.; Yaojun, S.; Zilong, H.; Zhaohui, G.; Decheng, M.; Kouhdaragh, M. Implementing an explored advanced and integrated deep random forest learning-based model to monitor the enhanced landslide susceptibility mapping. Nat. Hazards 2025, 121, 15655–15677. [Google Scholar] [CrossRef]
- Liu, B.; Guo, H.; Li, J.; Ke, X.; He, X. Application and interpretability of ensemble learning for landslide susceptibility mapping along the Three Gorges Reservoir area, China. Nat. Hazards 2024, 120, 4601–4632. [Google Scholar] [CrossRef]
- Nguyen, C.Q.; Nguyen, D.A.; Tran, H.T.; Nguyen, T.T.; Thao, B.T.P.; Cong, N.T.; Van Phong, T.; Van Le, H.; Prakash, I.; Pham, B.T. Predicting landslide and debris flow susceptibility using Logitboost alternating decision trees and ensemble techniques. Nat. Hazards 2025, 121, 1661–1686. [Google Scholar] [CrossRef]
- Shang, H.; Liu, S.; Zhong, J.; Tsangaratos, P.; Ilia, I.; Chen, W.; Chen, Y.; Liu, Y. Application of Naive Bayes, kernel logistic regression and alternation decision tree for landslide susceptibility mapping in Pengyang County, China. Nat. Hazards 2024, 120, 12043–12079. [Google Scholar] [CrossRef]
- Hussain, M.A.; Chen, Z.; Zhou, Y.; Meena, S.R.; Ali, N.; Shah, S.U. Landslide susceptibility mapping using artificial intelligence models: A case study in the Himalayas. Landslides 2025, 22, 2089–2103. [Google Scholar] [CrossRef]
- Pawar, N.S.; Sharma, K.V. Comprehensive review of remote sensing integration with deep learning in landslide forecasting and future directions. Nat. Hazards 2025, 1, 1–35. [Google Scholar] [CrossRef]
- Xu, Z.; Che, A.; Zhou, H. Seismic landslide susceptibility assessment using principal component analysis and support vector machine. Sci. Rep. 2024, 14, 3734. [Google Scholar] [CrossRef] [PubMed]
- Wu, Y.; Ke, Y.; Chen, Z.; Liang, S.; Zhao, H.; Hong, H. Application of alternating decision tree with AdaBoost and bagging ensembles for landslide susceptibility mapping. Catena 2020, 187, 104396. [Google Scholar] [CrossRef]
- Youssef, K.; Shao, K.; Moon, S.; Bouchard, L.-S. Landslide susceptibility modeling by interpretable neural network. Commun. Earth Environ. 2023, 4, 162. [Google Scholar] [CrossRef]
- Hussain, M.A.; Chen, Z.; Wang, R.; Shoaib, M. PS-InSAR-based validated landslide susceptibility mapping along Karakorum Highway, Pakistan. Remote Sens. 2021, 13, 4129. [Google Scholar] [CrossRef]
- Zhao, F.; Meng, X.; Zhang, Y.; Chen, G.; Su, X.; Yue, D. Landslide susceptibility mapping of Karakorum highway combined with the application of SBAS-InSAR technology. Sensors 2019, 19, 2685. [Google Scholar] [CrossRef] [PubMed]
- Rehman, M.U.; Zhang, Y.; Meng, X.; Su, X.; Catani, F.; Rehman, G.; Yue, D.; Khalid, Z.; Ahmad, S.; Ahmad, I. Analysis of landslide movements using interferometric synthetic aperture radar: A case study in Hunza-Nagar Valley, Pakistan. Remote Sens. 2020, 12, 2054. [Google Scholar] [CrossRef]
- Oliveira, S.; Zêzere, J.; Catalão, J.; Nico, G. The contribution of PSInSAR interferometry to landslide hazard in weak rock-dominated areas. Landslides 2015, 12, 703–719. [Google Scholar] [CrossRef]
- Piacentini, D.; Devoto, S.; Mantovani, M.; Pasuto, A.; Prampolini, M.; Soldati, M. Landslide susceptibility modeling assisted by Persistent Scatterers Interferometry (PSI): An example from the northwestern coast of Malta. Nat. Hazards 2015, 78, 681–697. [Google Scholar] [CrossRef]
- Berardino, P.; Fornaro, G.; Lanari, R.; Sansosti, E. A new algorithm for surface deformation monitoring based on small baseline differential SAR interferograms. IEEE Trans. Geosci. Remote Sens. 2002, 40, 2375–2383. [Google Scholar] [CrossRef]
- Lanari, R.; Mora, O.; Manunta, M.; Mallorquí, J.J.; Berardino, P.; Sansosti, E. A small-baseline approach for investigating deformations on full-resolution differential SAR interferograms. IEEE Trans. Geosci. Remote Sens. 2004, 42, 1377–1386. [Google Scholar] [CrossRef]
- Zhang, Y.; Meng, X.; Jordan, C.; Novellino, A.; Dijkstra, T.; Chen, G. Investigating slow-moving landslides in the Zhouqu region of China using InSAR time series. Landslides 2018, 15, 1299–1315. [Google Scholar] [CrossRef]
- Shrestha, M.; Sharma, S.; Pradhan Shrestha, R. Landslides in the Himalayas: A Comprehensive Review of Hazards, Impacts, and Adaptive Strategies. Rural Reg. Dev. 2025, 3, 10002. [Google Scholar] [CrossRef]
- Roy, J.; Saha, S.; Arabameri, A.; Blaschke, T.; Bui, D.T. A novel ensemble approach for landslide susceptibility mapping (LSM) in Darjeeling and Kalimpong districts, West Bengal, India. Remote Sens. 2019, 11, 2866. [Google Scholar] [CrossRef]
- Hong, H.; Pradhan, B.; Xu, C.; Bui, D.T. Spatial prediction of landslide hazard at the Yihuang area (China) using two-class kernel logistic regression, alternating decision tree and support vector machines. Catena 2015, 133, 266–281. [Google Scholar] [CrossRef]
- Kavzoglu, T.; Sahin, E.K.; Colkesen, I. Landslide susceptibility mapping using GIS-based multi-criteria decision analysis, support vector machines, and logistic regression. Landslides 2014, 11, 425–439. [Google Scholar] [CrossRef]
- Tien Bui, D.; Ho, T.-C.; Pradhan, B.; Pham, B.-T.; Nhu, V.-H.; Revhaug, I. GIS-based modeling of rainfall-induced landslides using data mining-based functional trees classifier with AdaBoost, Bagging, and MultiBoost ensemble frameworks. Environ. Earth Sci. 2016, 75, 1101. [Google Scholar] [CrossRef]
- Khan, S.F.; Kamp, U.; Owen, L.A. Documenting five years of landsliding after the 2005 Kashmir earthquake, using repeat photography. Geomorphology 2013, 197, 45–55. [Google Scholar] [CrossRef]
- Searle, M.; Khan, M.A.; Fraser, J.; Gough, S.; Jan, M.Q. The tectonic evolution of the Kohistan-Karakoram collision belt along the Karakoram Highway transect, north Pakistan. Tectonics 1999, 18, 929–949. [Google Scholar] [CrossRef]
- Guzzetti, F.; Carrara, A.; Cardinali, M.; Reichenbach, P. Landslide hazard evaluation: A review of current techniques and their application in a multi-scale study, Central Italy. Geomorphology 1999, 31, 181–216. [Google Scholar] [CrossRef]
- Abbas, H.; Hussain, D.; Khan, G.; ul Hassan, S.N.; Kulsoom, I.; Hussain, S. Landslide Inventory and Landslide Susceptibility Mapping for China Pakistan Economic Corridor (CPEC)’s main route (Karakorum Highway). J. Appl. Emerg. Sci. 2021, 11, 18–30. [Google Scholar]
- Jacobs, L.; Dewitte, O.; Poesen, J.; Maes, J.; Mertens, K.; Sekajugo, J.; Kervyn, M. Landslide characteristics and spatial distribution in the Rwenzori Mountains, Uganda. J. Afr. Earth Sci. 2017, 134, 917–930. [Google Scholar] [CrossRef]
- Zêzere, J.; Pereira, S.; Melo, R.; Oliveira, S.; Garcia, R.A. Mapping landslide susceptibility using data-driven methods. Sci. Total Environ. 2017, 589, 250–267. [Google Scholar] [CrossRef] [PubMed]
- Hussain, M.A.; Chen, Z.; Zheng, Y.; Zhou, Y.; Daud, H. Deep learning and machine learning models for landslide susceptibility mapping with remote sensing data. Remote Sens. 2023, 15, 4703. [Google Scholar] [CrossRef]
- Tsangaratos, P.; Ilia, I. Comparison of a logistic regression and Naïve Bayes classifier in landslide susceptibility assessments: The influence of models complexity and training dataset size. Catena 2016, 145, 164–179. [Google Scholar] [CrossRef]
- Sajid, T.; Maimoon, S.K.; Waseem, M.; Ahmed, S.; Khan, M.A.; Tränckner, J.; Pasha, G.A.; Hamidifar, H.; Skoulikaris, C. Integrated Risk Assessment of Floods and Landslides in Kohistan, Pakistan. Sustainability 2025, 17, 3331. [Google Scholar] [CrossRef]
- Dahal, R.K.; Hasegawa, S.; Nonomura, A.; Yamanaka, M.; Dhakal, S.; Paudyal, P. Predictive modelling of rainfall-induced landslide hazard in the Lesser Himalaya of Nepal based on weights-of-evidence. Geomorphology 2008, 102, 496–510. [Google Scholar] [CrossRef]
- He, Q.; Jiang, Z.; Wang, M.; Liu, K. Landslide and wildfire susceptibility assessment in Southeast Asia using ensemble machine learning methods. Remote Sens. 2021, 13, 1572. [Google Scholar] [CrossRef]
- Pham, B.T.; Bui, D.T.; Prakash, I.; Dholakia, M. Hybrid integration of Multilayer Perceptron Neural Networks and machine learning ensembles for landslide susceptibility assessment at Himalayan area (India) using GIS. Catena 2017, 149, 52–63. [Google Scholar] [CrossRef]
- Ke, G.; Meng, Q.; Finley, T.; Wang, T.; Chen, W.; Ma, W.; Ye, Q.; Liu, T.-Y. LightGBM: A highly efficient gradient boosting decision tree. In Proceedings of the 31st International Conference on Neural Information Processing Systems, Long Beach, CA, USA, 4–9 December 2017; pp. 3149–3157. [Google Scholar]
- Ma, B.; Meng, F.; Yan, G.; Yan, H.; Chai, B.; Song, F. Diagnostic classification of cancers using extreme gradient boosting algorithm and multi-omics data. Comput. Biol. Med. 2020, 121, 103761. [Google Scholar] [CrossRef] [PubMed]
- Hussain, M.A.; Chen, Z.; Pradhan, B.; Meena, S.R.; Zhou, Y. Hybrid heterogeneous ensemble learning framework for flood susceptibility mapping in Balochistan, Pakistan. J. Hydrol. Reg. Stud. 2025, 61, 102718. [Google Scholar] [CrossRef]
- LeDell, E.; Poirier, S. H2O AutoML: Scalable automatic machine learning. In Proceedings of the AutoML Workshop at ICML, Vienna, Austria, 17 July 2020; p. 24. [Google Scholar]
- Shapley, L.S. A Value for N-Person Games. In Contribution to the Theory of Games; Kuhn, H., Tucker, A., Eds.; Princeton University Press: Princeton, NJ, USA, 1953. [Google Scholar]
- Chelgani, S.C.; Nasiri, H.; Alidokht, M. Interpretable modeling of metallurgical responses for an industrial coal column flotation circuit by XGBoost and SHAP-A “conscious-lab” development. Int. J. Min. Sci. Technol. 2021, 31, 1135–1144. [Google Scholar] [CrossRef]
- Wang, K.; Tian, J.; Zheng, C.; Yang, H.; Ren, J.; Liu, Y.; Han, Q.; Zhang, Y. Interpretable prediction of 3-year all-cause mortality in patients with heart failure caused by coronary heart disease based on machine learning and SHAP. Comput. Biol. Med. 2021, 137, 104813. [Google Scholar] [CrossRef] [PubMed]
- Das, S.; Datta, S.; Zubaidi, H.A.; Obaid, I.A. Applying interpretable machine learning to classify tree and utility pole related crash injury types. IATSS Res. 2021, 45, 310–316. [Google Scholar] [CrossRef]
- Lundberg, S.M.; Lee, S.-I. A unified approach to interpreting model predictions. In Proceedings of the 31st International Conference on Neural Information Processing Systems, Long Beach, CA, USA, 4–9 December 2017; pp. 4768–4777. [Google Scholar]
- Amich, A.; Eshete, B. Explanation-guided diagnosis of machine learning evasion attacks. In Security and Privacy in Communication Networks, Proceedings of the 17th EAI International Conference, SecureComm 2021, Virtual Event, 6–9 September 2021; Springer: Cham, Switzerland, 2021; pp. 207–228. [Google Scholar]
- Molinari, D.; De Bruijn, K.M.; Castillo-Rodríguez, J.T.; Aronica, G.T.; Bouwer, L.M. Validation of flood risk models: Current practice and possible improvements. Int. J. Disaster Risk Reduct. 2019, 33, 441–448. [Google Scholar] [CrossRef]
- Ilia, I.; Tsangaratos, P.; Tzampoglou, P.; Chen, W.; Hong, H. Flash flood susceptibility mapping using stacking ensemble machine learning models. Geocarto Int. 2022, 37, 15010–15036. [Google Scholar] [CrossRef]
- Zhu, A.-X.; Miao, Y.; Wang, R.; Zhu, T.; Deng, Y.; Liu, J.; Yang, L.; Qin, C.-Z.; Hong, H. A comparative study of an expert knowledge-based model and two data-driven models for landslide susceptibility mapping. Catena 2018, 166, 317–327. [Google Scholar] [CrossRef]
- Hussain, M.A.; Chen, Z.; Wang, R.; Shah, S.U.; Shoaib, M.; Ali, N.; Xu, D.; Ma, C. Landslide susceptibility mapping using machine learning algorithm. Civ. Eng. J. 2022, 8, 209–224. [Google Scholar] [CrossRef]
- Matthews, B.W. Comparison of the predicted and observed secondary structure of T4 phage lysozyme. Biochim. Biophys. Acta Protein Struct. 1975, 405, 442–451. [Google Scholar] [CrossRef] [PubMed]
- Chen, W.; Peng, J.; Hong, H.; Shahabi, H.; Pradhan, B.; Liu, J.; Zhu, A.-X.; Pei, X.; Duan, Z. Landslide susceptibility modelling using GIS-based machine learning techniques for Chongren County, Jiangxi Province, China. Sci. Total Environ. 2018, 626, 1121–1135. [Google Scholar] [CrossRef] [PubMed]
- Ferretti, A.; Prati, C.; Rocca, F. Nonlinear subsidence rate estimation using permanent scatterers in differential SAR interferometry. IEEE Trans. Geosci. Remote Sens. 2000, 38, 2202–2212. [Google Scholar] [CrossRef]
- Balzter, H.; Cole, B.; Thiel, C.; Schmullius, C. Mapping CORINE land cover from Sentinel-1A SAR and SRTM digital elevation model data using random forests. Remote Sens. 2015, 7, 14876–14898. [Google Scholar] [CrossRef]
- Goldstein, R.M.; Werner, C.L. Radar interferogram filtering for geophysical applications. Geophys. Res. Lett. 1998, 25, 4035–4038. [Google Scholar] [CrossRef]
- Costantini, M. A novel phase unwrapping method based on network programming. IEEE Trans. Geosci. Remote Sens. 2002, 36, 813–821. [Google Scholar] [CrossRef]
- Gaber, A.; Darwish, N.; Koch, M. Minimizing the residual topography effect on interferograms to improve DInSAR results: Estimating land subsidence in Port-Said City, Egypt. Remote Sens. 2017, 9, 752. [Google Scholar] [CrossRef]
- Sun, D.; Wang, J.; Wen, H.; Ding, Y.; Mi, C. Landslide susceptibility mapping (LSM) based on different boosting and hyperparameter optimization algorithms: A case of Wanzhou District, China. J. Rock Mech. Geotech. Eng. 2024, 16, 3221–3232. [Google Scholar] [CrossRef]
- Zhou, X.; Wen, H.; Zhang, Y.; Xu, J.; Zhang, W. Landslide susceptibility mapping using hybrid random forest with GeoDetector and RFE for factor optimization. Geosci. Front. 2021, 12, 101211. [Google Scholar] [CrossRef]
- Cha, Y.; Shin, J.; Go, B.; Lee, D.-S.; Kim, Y.; Kim, T.; Park, Y.-S. An interpretable machine learning method for supporting ecosystem management: Application to species distribution models of freshwater macroinvertebrates. J. Environ. Manag. 2021, 291, 112719. [Google Scholar] [CrossRef] [PubMed]
- Mangalathu, S.; Hwang, S.-H.; Jeon, J.-S. Failure mode and effects analysis of RC members based on machine-learning-based SHapley Additive exPlanations (SHAP) approach. Eng. Struct. 2020, 219, 110927. [Google Scholar] [CrossRef]
- Jenks, G.F.; Caspall, F.C. Error on choroplethic maps: Definition, measurement, reduction. Ann. Assoc. Am. Geogr. 1971, 61, 217–244. [Google Scholar] [CrossRef]
- Bui, D.T.; Ngo, P.-T.T.; Pham, T.D.; Jaafari, A.; Minh, N.Q.; Hoa, P.V.; Samui, P. A novel hybrid approach based on a swarm intelligence optimized extreme learning machine for flash flood susceptibility mapping. Catena 2019, 179, 184–196. [Google Scholar] [CrossRef]
- Song, Y.; Niu, R.; Xu, S.; Ye, R.; Peng, L.; Guo, T.; Li, S.; Chen, T. Landslide susceptibility mapping based on weighted gradient boosting decision tree in Wanzhou section of the Three Gorges Reservoir Area (China). ISPRS Int. J. Geo-Inf. 2018, 8, 4. [Google Scholar] [CrossRef]
- Hussain, S.; Pan, B.; Hussain, W.; Sajjad, M.M.; Ali, M.; Afzal, Z.; Abdullah-Al-Wadud, M.; Tariq, A. Integrated PSInSAR and SBAS-InSAR analysis for landslide detection and monitoring. Phys. Chem. Earth Parts A/B/C 2025, 139, 103956. [Google Scholar] [CrossRef]
- Ali, N.; Chen, J.; Fu, X.; Ali, R.; Hussain, M.A.; Daud, H.; Hussain, J.; Altalbe, A. Integrating machine learning ensembles for landslide susceptibility mapping in Northern Pakistan. Remote Sens. 2024, 16, 988. [Google Scholar] [CrossRef]
- Solanki, A.; Gupta, V.; Joshi, M. Application of machine learning algorithms in landslide susceptibility mapping, Kali Valley, Kumaun Himalaya, India. Geocarto Int. 2022, 37, 16846–16871. [Google Scholar] [CrossRef]
- Kadavi, P.R.; Lee, C.-W.; Lee, S. Application of ensemble-based machine learning models to landslide susceptibility mapping. Remote Sens. 2018, 10, 1252. [Google Scholar] [CrossRef]
- Abbas, F.; Zhang, F.; Hussain, M.A.; Abbas, H.; Alrefaei, A.F.; Albeshr, M.F.; Iqbal, J.; Ghani, J. Landslide susceptibility assessment along the Karakoram highway, Gilgit Baltistan, Pakistan: A comparative study between ensemble and neighbor-based machine learning algorithms. Sci. Remote Sens. 2024, 9, 100132. [Google Scholar] [CrossRef]
- Rehman, A.; Song, J.; Haq, F.; Mahmood, S.; Ahamad, M.I.; Basharat, M.; Sajid, M.; Mehmood, M.S. Multi-hazard susceptibility assessment using the analytical hierarchy process and frequency ratio techniques in the Northwest Himalayas, Pakistan. Remote Sens. 2022, 14, 554. [Google Scholar] [CrossRef]
- Ullah, K.; Zhang, J. GIS-based flood hazard mapping using relative frequency ratio method: A case study of Panjkora River Basin, eastern Hindu Kush, Pakistan. PLoS ONE 2020, 15, e0229153. [Google Scholar] [CrossRef]
- Ayalew, L.; Yamagishi, H. The application of GIS-based logistic regression for landslide susceptibility mapping in the Kakuda-Yahiko Mountains, Central Japan. Geomorphology 2005, 65, 15–31. [Google Scholar] [CrossRef]
- McColl, S.T. Landslide causes and triggers. In Landslide Hazards, Risks, and Disasters; Elsevier: Amsterdam, The Netherlands, 2022; pp. 13–41. [Google Scholar]
- Wang, X.; Clague, J.J.; Crosta, G.B.; Sun, J.; Stead, D.; Qi, S.; Zhang, L. Relationship between the spatial distribution of landslides and rock mass strength, and implications for the driving mechanism of landslides in tectonically active mountain ranges. Eng. Geol. 2021, 292, 106281. [Google Scholar] [CrossRef]
- Ndayisaba, F.; Guo, H.; Bao, A.; Guo, H.; Karamage, F.; Kayiranga, A. Understanding the spatial temporal vegetation dynamics in Rwanda. Remote Sens. 2016, 8, 129. [Google Scholar] [CrossRef]
- Gentilucci, M.; Pelagagge, N.; Rossi, A.; Domenico, A.; Pambianchi, G. Landslide susceptibility using climatic–environmental factors using the weight-of-evidence method—A study area in Central Italy. Appl. Sci. 2023, 13, 8617. [Google Scholar] [CrossRef]













| S.NO | Variables | Sources | Resolution | Description |
|---|---|---|---|---|
| 1 | Slope, elevation, aspect, profile curvature, curvature, TWI, plan curvature, distance to streams | Digital elevation model | 12.5 m | ALOS-PALSAR-DEM (https://search.asf.alaska.edu/) |
| 2 | Geology, distance to faults, distance to roads | Geological Map | / | Geological Survey of Pakistan |
| 3 | Landcover | Sentinel-2 imagery | 10 m | Landcover (https://earthexplorer.usgs.gov/) |
| 4 | NDVI | Sentinel-2 imagery | 10 m | Normalized Different Vegetation Index |
| 5 | Rainfall | GIOVANNI | 0.25° | (https://giovanni.gsfc.nasa.gov/) |
| Datasets | Ascending | Descending |
|---|---|---|
| Product type | Sentinel 1 SLC | |
| Polarization | VV | |
| Acquisition mode | IW | |
| No of images | 24 | 24 |
| Time period | January 2022–December 2023 | |
| Frame | 112 | 473 |
| Track | 100 | 103 |
| Feature | RF Weight (Normalized) | RFE Rank | Selection Frequency |
|---|---|---|---|
| Slope | 0.178 | 1 | 1 |
| Aspect | 0.104 | 1 | 1 |
| Lithology | 0.103 | 1 | 1 |
| NDVI | 0.099 | 1 | 1 |
| Landcover | 0.096 | 1 | 1 |
| Elevation | 0.086 | 1 | 1 |
| Rainfall | 0.086 | 1 | 1 |
| Distance to Fault | 0.067 | 1 | 1 |
| Distance to Stream | 0.062 | 1 | 1 |
| Distance to Road | 0.056 | 1 | 0.833 |
| TWI | 0.044 | 2 | 0.167 |
| Plan Curvature | 0.017 | 3 | 0 |
| Profile Curvature | 0.002 | 4 | 0 |
| Curvature | 0.001 | 5 | 0 |
| Model | AdaBoost | LightGBM | XGBoost | Hybrid | ||||
|---|---|---|---|---|---|---|---|---|
| Full-14 | RFE-10 | Full-14 | RFE-10 | Full-14 | RFE-10 | Full-14 | RFE-10 | |
| AUC | 78.72 | 79.55 | 84.00 | 84.34 | 81.92 | 84.83 | 83.66 | 88.00 |
| Accuracy | 72.40 | 73.70 | 77.92 | 79.55 | 76.62 | 76.30 | 77.27 | 80.52 |
| Precision | 78.17 | 78.33 | 82.65 | 84.10 | 78.97 | 82.54 | 82.47 | 84.69 |
| Recall | 78.57 | 81.12 | 82.65 | 83.67 | 86.22 | 79.59 | 81.63 | 84.70 |
| F1 Score | 78.37 | 79.69 | 82.65 | 83.17 | 82.44 | 81.03 | 82.05 | 84.69 |
| MCC | 40.25 | 42.45 | 52.00 | 55.88 | 48.10 | 49.52 | 51.09 | 57.90 |
| MSE | 27.59 | 26.19 | 22.00 | 20.45 | 23.37 | 23.70 | 22.73 | 19.48 |
| RMSE | 52.53 | 51.28 | 47.00 | 45.22 | 48.34 | 48.68 | 47.67 | 44.13 |
Disclaimer/Publisher’s Note: The statements, opinions and data contained in all publications are solely those of the individual author(s) and contributor(s) and not of MDPI and/or the editor(s). MDPI and/or the editor(s) disclaim responsibility for any injury to people or property resulting from any ideas, methods, instructions or products referred to in the content. |
© 2025 by the authors. Licensee MDPI, Basel, Switzerland. This article is an open access article distributed under the terms and conditions of the Creative Commons Attribution (CC BY) license (https://creativecommons.org/licenses/by/4.0/).
Share and Cite
Ullah, I.; Chen, Z.; Hussain, M.A.; Shah, S.U.; Ali, N. Hybrid Machine Learning and SBAS-InSAR Integration for Landslide Susceptibility Mapping Along the Balakot–Naran Route, Pakistan. Remote Sens. 2025, 17, 3464. https://doi.org/10.3390/rs17203464
Ullah I, Chen Z, Hussain MA, Shah SU, Ali N. Hybrid Machine Learning and SBAS-InSAR Integration for Landslide Susceptibility Mapping Along the Balakot–Naran Route, Pakistan. Remote Sensing. 2025; 17(20):3464. https://doi.org/10.3390/rs17203464
Chicago/Turabian StyleUllah, Ibad, Zhanlong Chen, Muhammad Afaq Hussain, Safeer Ullah Shah, and Nafees Ali. 2025. "Hybrid Machine Learning and SBAS-InSAR Integration for Landslide Susceptibility Mapping Along the Balakot–Naran Route, Pakistan" Remote Sensing 17, no. 20: 3464. https://doi.org/10.3390/rs17203464
APA StyleUllah, I., Chen, Z., Hussain, M. A., Shah, S. U., & Ali, N. (2025). Hybrid Machine Learning and SBAS-InSAR Integration for Landslide Susceptibility Mapping Along the Balakot–Naran Route, Pakistan. Remote Sensing, 17(20), 3464. https://doi.org/10.3390/rs17203464

