CSBBNet: A Specialized Detection Method for Corner Reflector Targets via a Cross-Shaped Bounding Box Network
Abstract
1. Introduction
- (1)
- HBB encompasses substantial redundant background regions, often introducing side-lobe clutter and interference from adjacent targets. This leads to feature confusion during training and hinders accurate network detection.
- (2)
- The principal axes of CRT cross-shaped patterns remain consistent aligned with coordinate axes in SAR images, rendering OBB rotational degrees of freedom unnecessary. This yields no additional information gain while needlessly increasing model complexity and computational burden.
- Leveraging the inherent cross-shaped prior of corner reflectors, a novel bounding box annotation strategy called cross-shaped bounding box (CSBB) is proposed. As illustrated in Figure 1, when two CRTs are spatially adjacent in SAR images, traditional annotation approaches using HBB or OBB inevitably produce ground-truth labels containing substantial background redundancy and coupled features from neighboring targets. In stark contrast, the CSBB format maximally suppresses such interference to guide neural networks to focus on intrinsic target feature extraction during training, enhancing detection robustness. Notably, differing from HBB-based methods (regressing four parameters) and OBB-based methods (regressing five parameters), CSBB requires regression of six spatial parameters to precisely characterize CRTs with distinct cross-shaped features. Although these six parameters substantially enhance spatial representation capability, they also introduce new challenges of higher inter-parameter coupling and increased regression difficulty.
- 2.
- We propose a dedicated CRT detection network based on CSBB, naming it CSBBNet. This network directly regresses six parameters in an end-to-end manner using the CSBB strategy and decodes them to form cross-shaped target areas. Such processing significantly reduces mutual interference between features of adjacent targets, thereby improving CRT detection accuracy.
- 3.
- We propose the cross-shaped spatial feature perception (CSSFP) module and the wavelet cross-shaped attention downsampling (WCSAD) module. CSSFP combines convolution and a cross-shaped self-attention (CSSA) mechanism to achieve fine-grained feature extraction of cross shaped regions. WCSAD first applies Haar wavelet transform to the input feature map to obtain approximate, horizontal, vertical, and diagonal sub feature maps. Subsequently, the CSSA is constructed using horizontal and vertical channels to achieve lossless downsampling of the input feature map.
- 4.
- We modify the existing decoupled detection head by integrating the CSSA mechanism into the coordinate prediction branch, thereby forming a cross-shaped attention decoupling head (CSAD-Head). Furthermore, to ensure stable model training, we propose a cross-shaped IoU (CS-IoU) loss function that effectively guides the network in regression prediction of the six-dimensional parameters required for constructing CSBB.
2. Related Works
2.1. Sea-Surface Corner Reflector Target Detection and Recognition
2.2. Ship Target Detection
3. Materials and Methods
3.1. Overview
3.2. Cross-Shaped Spatial Feature Perception Module
3.3. Wavelet Cross-Shaped Attention Downsampling Module
3.4. Cross-Shaped Attention Decoupling Head
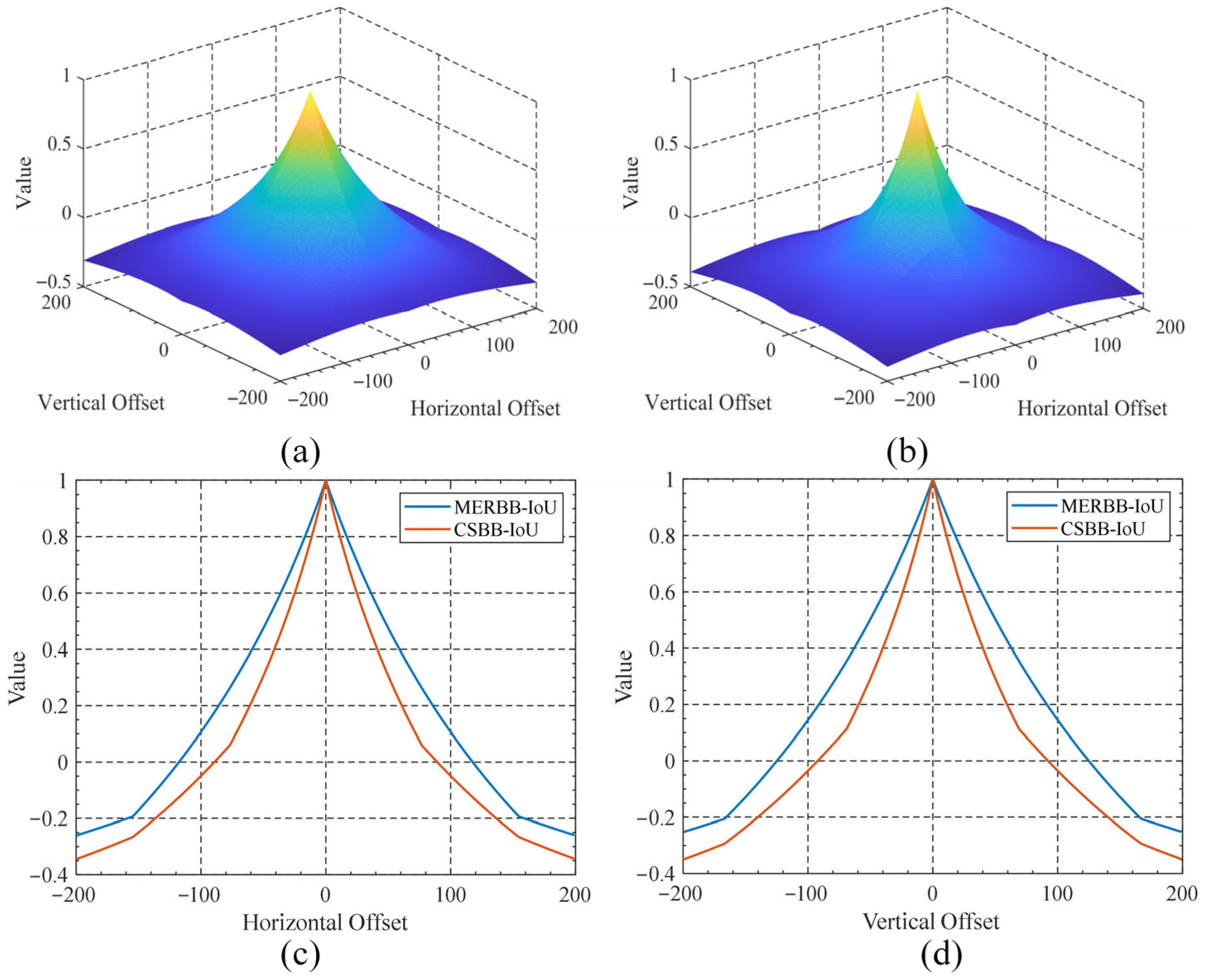
3.5. Cross-Shaped Intersection over Union Loss
4. Results
4.1. Introduction of Experimental Datasets
4.2. Experimental Evaluation Criteria
- (1)
- Precision: Refers to the proportion of correctly detected positive samples relative to the total number of positive samples in the detection results. Its mathematical expression is as follows:where (true positive) represents the target of correct detection and (false positive) represents the target of error detection. In the object detection tasks, this metric reflects the effective proportion of the real target in the detection result, which is used to measure the ability of the algorithm to eliminate false alarms.
- (2)
- Recall: Refers to the proportion of the number of correctly detected positive samples to the total number of true positive samples; its mathematical expression is as follows:where (false negative) represents the target of missed detection. This metric represents the algorithm’s ability to cover real targets and reflects the effectiveness of the detection system in discovering targets.
- (3)
- F1-Score: Defined as the harmonic mean of precision and recall, particularly when the sample distribution is imbalanced or when both types of errors (FP and FN) need to be considered simultaneously, providing a more comprehensive performance measure. Its mathematical expression is as follows:
- (4)
- Average precision (AP): Obtained by integrating the area under the precision–recall curve, calculated using the following formula:
- (5)
- Mean average precision (mAP): As a unified evaluation standard for multi class detection, it is defined as follows:
4.3. Comparative Experimental Results and Analysis
4.4. Ablation Experiment
5. Discussion
5.1. The Impact of Different Scenarios on the Performance of Various Detectors
- (1)
- The strong scattering scenario
- (2)
- The multi-target complex scenario
- (3)
- The interference scenario in adjacent areas
- (4)
- The land background scenario
5.2. Proposal for Future Work
6. Conclusions
Author Contributions
Funding
Data Availability Statement
Conflicts of Interest
References
- Wu, Q.; Wang, Y.; Liu, X.; Gu, Z.; Xu, Z.; Xiao, S. ISAR Image Transform via Joint Intra pulse and Inter pulse Periodic coded Phase Modulation. IEEE Sens. J. 2025, 25, 28788–28799. [Google Scholar] [CrossRef]
- Xu, Z.; Wu, Q.; Ai, X.; Liu, X.; Wu, J.; Zhao, F. Micromotion Frequency Estimation of Multiple Space Targets Based on RCD Spectrum. IEEE Trans. Aerosp. Electron. Syst. 2025, 1–13. [Google Scholar] [CrossRef]
- Liu, X.; Wu, Q.; Pan, X.; Wang, J.; Zhao, F. SAR Image Transform Based on Amplitude and Frequency Shifting Joint Modulation. IEEE Sens. J. 2025, 25, 7043–7052. [Google Scholar] [CrossRef]
- Liu, W.; Li, H.; Zhang, J.; Sun, G.; Bian, H.; Xiang, J.; Xing, M. On the Role of Scene Coordinate System in Focusing of GEO SAR Data With Fast Time-Domain Algorithm. IEEE J. Sel. Top. Appl. Earth Obs. Remote Sens. 2025, 18, 2355–2369. [Google Scholar] [CrossRef]
- Lou, Y.; Lin, H.; Chen, Q.; Xing, M.; Zhou, S.; Sun, G. 2-D Autofocus for High-Squint SAR Based on Affine Coordinate Back-Projection Algorithm. IEEE Trans. Geosci. Remote Sens. 2024, 62, 5228217. [Google Scholar] [CrossRef]
- Sun, G.; Lan, P.; Deng, Y.; Xiang, J.; Wang, Y.; Xing, M.; Zhang, Y. Multichannel Back Projection (MC-BP) Algorithm and Its Accelerated Form for HRWS SAR. IEEE Trans. Geosci. Remote Sens. 2024, 62, 5222116. [Google Scholar] [CrossRef]
- Hui, X.; Liu, Z.; Wang, L.; Zhang, Z.; Yao, S. Bidirectional Interaction Fusion Network Based on EC-Maps and SAR Images for SAR Target Recognition. IEEE Trans. Instrum. Meas. 2025, 74, 2519313. [Google Scholar] [CrossRef]
- Gou, C.; Zheng, H.; Zhang, J. Estimating Oil–Water Mixing Ratios of Marine Oil Spills From L-Band Fully Polarimetric SAR Images. IEEE Geosci. Remote Sens. Lett. 2023, 20, 4010505. [Google Scholar] [CrossRef]
- Young, D.L. Deep Nets Spotlight Illegal, Unreported, Unregulated (IUU) Fishing. In Proceedings of the 2019 IEEE Applied Imagery Pattern Recognition Workshop (AIPR), Washington, DC, USA, 15–17 October 2019. [Google Scholar]
- LI, H.; Chen, S. Electromagnetic Scattering Characteristics and Radar Identification of Sea Corner Reflectors: Advances and Prospects. J. Radars. 2023, 12, 738. [Google Scholar]
- Jiang, T.; Luo, J.; Yu, Z. Research on Corner Reflector Array Fitting Method for Ship Scattering Characteristics. In Proceedings of the 2023 IEEE 2nd International Conference on Electrical Engineering, Big Data and Algorithms (EEBDA), Changchun, China, 24–26 February 2023. [Google Scholar]
- Chen, Y.; Yuan, X.; Wang, J.; Wu, R.; Li, X.; Hou, Q.; Cheng, M.-M. YOLO-MS: Rethinking Multi-Scale Representation Learning for Real-Time Object Detection. IEEE Trans. Pattern Anal. Mach. Intell. 2025, 47, 4240–4252. [Google Scholar] [CrossRef] [PubMed]
- Zeng, Y.; Wang, X.; Zou, J.; Wu, H. YOLO-Ssboat: Super-Small Ship Detection Network for Large-Scale Aerial and Remote Sensing Scenes. Remote Sens. 2025, 17, 1948. [Google Scholar] [CrossRef]
- Gu, Y.; Fang, M.; Peng, D. TIAR-SAR: An Oriented SAR Ship Detector Combining a Task Interaction Head Architecture with Composite Angle Regression. Remote Sens. 2025, 17, 2049. [Google Scholar] [CrossRef]
- Wu, Q.; Zhang, D.; Pan, Y.; Zhou, H. Center-Symmetry Representation-Based High-Quality Localization Detector for Oriented Object Detection. IEEE Trans. Geosci. Remote Sens. 2025, 63, 5617614. [Google Scholar] [CrossRef]
- Qian, L.; Hu, J.; Ren, H.; Lin, J.; Luo, X.; Zou, L.; Zhou, Y. Cross-Level Adaptive Feature Aggregation Network for Arbitrary-Oriented SAR Ship Detection. Remote Sens. 2025, 17, 1770. [Google Scholar] [CrossRef]
- Chen, C.; Liu, W.; Gao, Y.; Cui, L.; Chen, Q.; Fu, J.; Xing, M. An Imaging Method for Marine Targets in Corner Reflector Jamming Scenario Based on Time–Frequency Analysis and Modified Clean Technique. Remote Sens. 2025, 17, 310. [Google Scholar] [CrossRef]
- Zhu, H.; Wang, Q.; Pan, Y.; Tai, N.; Yuan, N. A sea corner-reflector jamming identification method based on time-frequency feature. In Proceedings of the 2015 IEEE International Conference on Signal Processing, Communications and Computing (ICSPCC), Ningbo, China, 19–22 September 2015. [Google Scholar]
- Xia, L.; Wang, F.; Pang, C.; Li, N.; Peng, R.; Song, Z.; Li, Y. An Identification Method of Corner Reflector Array Based on Mismatched Filter through Changing the Frequency Modulation Slope. Remote Sens. 2024, 16, 2114. [Google Scholar] [CrossRef]
- Wang, M.; Xie, M.; Su, Q.; Fu, X. Identification of Ship and Corner Reflector Based on Invariant Features of the Polarization. In Proceedings of the 2019 IEEE 4th International Conference on Signal and Image Processing (ICSIP), Wuxi, China, 19–21 July 2019. [Google Scholar]
- Liang, Z.; Wang, Y.; Zhang, X.; Xie, M.; Fu, X. Identification of Ship and Corner Reflector In sea clutter environment. In Proceedings of the 2020 15th IEEE International Conference on Signal Processing (ICSP), Beijing, China, 6–9 December 2020. [Google Scholar]
- Yuan, H.; Fu, X.; Zhao, C.; Xie, M.; Gao, X. Ship and Corner Reflector Identification Based on Extreme Learning Machine. In Proceedings of the 2019 IEEE International Conference on Signal, Information and Data Processing (ICSIDP), Chongqing, China, 11–13 December 2019. [Google Scholar]
- Lv, Q.; Fan, H.; Zhao, Y.; Quan, Y.; Xing, M. Agile Frequency RCS-Based Deep Fusion Network for Ship and Corner Reflector Identification. IEEE Geosci. Remote Sens. Lett. 2024, 21, 3504505. [Google Scholar] [CrossRef]
- Liang, Z.; Yu, Y.; Zhang, B. Anti-Corner Reflector Array Method Based on Pauli Polarization Decomposition and BP Neural Network. In Proceedings of the 2021 IEEE 2nd International Conference on Pattern Recognition and Machine Learning (PRML), Chengdu, China, 16–18 July 2021. [Google Scholar]
- Wang, Y.; Deng, X.; Dong, J.; Zhao, Z.; Liu, Y.; Fu, X. Combined corner reflector array interference recognition based on improved TCN and DGRU. In Proceedings of the IET International Radar Conference (IRC 2023), Chongqing, China, 3–5 December 2023. [Google Scholar]
- Guan, S.; Fu, X.; Dong, J. Corner Reflector Identification Based on Improved Temporal Convolutional Network and LSTM. In Proceedings of the 2023 8th International Conference on Signal and Image Processing (ICSIP), Wuxi, China, 8–10 July 2023. [Google Scholar]
- Huangfu, H.; Meng, X.; Shen, J.; Zhang, J.; Zhang, P. RCS Recognition Method of Corner Reflectors based on 1D-CNN. In Proceedings of the 2021 International Applied Computational Electromagnetics Society (ACES-China) Symposium, Chengdu, China, 28–31 July 2021. [Google Scholar]
- Guan, S.; Gao, X.; Lang, P.; Dong, J. The Corner Reflector Array Recognition based on Multi-domain Features Extraction and CatBoost. In Proceedings of the 2023 8th International Conference on Intelligent Computing and Signal Processing (ICSP), Xi’an, China, 21–23 April 2023. [Google Scholar]
- Ren, S.; He, K.; Girshick, R.; Sun, J. Faster R-CNN: Towards Real-Time Object Detection with Region Proposal Networks. IEEE Trans. Pattern Anal. Mach. Intell. 2017, 39, 1137–1149. [Google Scholar] [CrossRef]
- Joseph, R.; Santosh, D.; Ross, G.; Ali, F. You Only Look Once: Unified, Real-Time Object Detection. In Proceedings of the 2016 IEEE Conference on Computer Vision and Pattern Recognition (CVPR), Las Vegas, NV, USA, 27–30 June 2016. [Google Scholar]
- Liu, W.; Anguelov, D.; Erhan, D.; Szegedy, C.; Reed, S.; Fu, C.-Y.; Berg, A.C. SSD: Single Shot MultiBox Detector. Comput. Vision ECCV 2016 2016, 9905, 21–37. [Google Scholar]
- Dong, T.; Wang, T.; Li, X.; Hong, J.; Jing, M.; Wei, T. A Large Ship Detection Method Based on Component Model in SAR Images. IEEE J. Sel. Top. Appl. Earth Obs. Remote Sens. 2025, 18, 4108–4123. [Google Scholar] [CrossRef]
- Fan, X.; Hu, Z.; Zhao, Y.; Chen, J.; Wei, T.; Huang, Z. A Small-Ship Object Detection Method for Satellite Remote Sensing Data. IEEE J. Sel. Top. Appl. Earth Obs. Remote Sens. 2024, 17, 11886–11898. [Google Scholar] [CrossRef]
- Huang, D.; Zhou, H.; Tian, Y.; Yang, Z.; Huang, W. A Deep Learning-Based Time-Frequency Scheme for Ship Detection Using HFSWR. IEEE J. Sel. Top. Appl. Earth Obs. Remote Sens. 2025, 18, 2718–2736. [Google Scholar] [CrossRef]
- Min, L.; Dou, F.; Zhang, Y.; Shao, D.; Li, L.; Wang, B. CM-YOLO: Context Modulated Representation Learning for Ship Detection. IEEE Trans. Geosci. Remote Sens. 2025, 63, 4202414. [Google Scholar] [CrossRef]
- Tang, X.; Zhang, J.; Xia, Y.; Xiao, H. DBW-YOLO: A High-Precision SAR Ship Detection Method for Complex Environments. IEEE J. Sel. Top. Appl. Earth Obs. Remote Sens. 2024, 17, 7029–7039. [Google Scholar] [CrossRef]
- Jiang, L.; Li, Y.; Bai, T. DSFPAP-Net: Deeper and Stronger Feature Path Aggregation Pyramid Network for Object Detection in Remote Sensing Images. IEEE Geosci. Remote Sens. Lett. 2024, 21, 6010505. [Google Scholar] [CrossRef]
- Gao, G.; Wang, Y.; Chen, Y.; Yang, G.; Yao, L.; Zhang, X.; Li, H.; Li, G. An Oriented Ship Detection Method of Remote Sensing Image With Contextual Global Attention Mechanism and Lightweight Task-Specific Context Decoupling. IEEE Trans. Geosci. Remote Sens. 2025, 63, 4200918. [Google Scholar] [CrossRef]
- Zhan, W.; Liu, F.; Li, Y.; Xiao, L. Computational Oriented Proposal for Fine-Grained Ship Detection in Complex Remote Sensing Images. IEEE Trans. Instrum. Meas. 2024, 73, 2524118. [Google Scholar] [CrossRef]
- Chen, Y.; Wang, J.; Zhang, Y.; Liu, Y.; Wang, J. P2RNet: Fast Maritime Object Detection From Key Points to Region Proposals in Large-Scale Remote Sensing Images. IEEE J. Sel. Top. Appl. Earth Obs. Remote Sens. 2024, 17, 9294–9308. [Google Scholar] [CrossRef]
- Dong, X.; Bao, J.; Chen, D.; Zhang, W.; Yu, N.; Yuan, L.; Chen, D.; Guo, B. CSWin Transformer: A General Vision Transformer Backbone with Cross-Shaped Windows. In Proceedings of the 2022 IEEE/CVF Conference on Computer Vision and Pattern Recognition (CVPR), New Orleans, LA, USA, 18–24 June 2022. [Google Scholar]
- Qiu, H.; Li, H.; Wu, Q.; Cui, J.; Song, Z.; Wang, L.; Zhang, M. CrossDet++: Growing Crossline Representation for Object Detection. IEEE Trans. Circuits Syst. Video Technol. 2023, 33, 1093–1108. [Google Scholar] [CrossRef]
- Tian, Y.; Ye, Q.; Doermann, D. YOLOv12: Attention-Centric Real-Time Object Detectors. arXiv 2025, arXiv:2502.12524. [Google Scholar]
- Shahaf, E.; Finder Roy, A.; Eran, T.; Oren, F. Wavelet Convolutions for Large Receptive Fields. arXiv 2024, arXiv:2407.05848. [Google Scholar]
- Xu, G.; Liao, W.; Zhang, X.; Li, C.; He, X.; Wu, X. Haar wavelet downsampling: A simple but effective downsampling module for semantic segmentation. Pattern Reco. 2023, 143, 109819. [Google Scholar] [CrossRef]
- Li, X.; Wang, W.; Wu, L.; Chen, S.; Hu, X. Generalized Focal Loss: Learning Qualified and Distributed Bounding Boxes For Dense Object Detection. arXiv 2020, arXiv:2006.04388. [Google Scholar]
- Li, X.; Wang, W.; Hu, X.; Li, J.; Tang, J.; Yang, J. Generalized Focal Loss V2: Learning Reliable Localization Quality Estimation for Dense Object Detection. In Proceedings of the 2021 IEEE/CVF Conference on Computer Vision and Pattern Recognition (CVPR), Nashville, TN, USA, 20–25 June 2021. [Google Scholar]
- Lin, T.-Y.; Goyal, P.; Girshick, R.; He, K.; Dollár, P. Focal Loss for Dense Object Detection. In Proceedings of the 2017 IEEE International Conference on Computer Vision (ICCV), Venice, Italy, 22–29 October 2017. [Google Scholar]
- Fernández López, P.; Arcambal, C.; Baudry, D.; Verdeyme, S.; Mazari, B. Simple Electromagnetic Modeling Procedure: From Near-Field Measurements to Commercial Electromagnetic Simulation Tool. IEEE Trans. Instrum. Meas. 2010, 59, 3111–3121. [Google Scholar] [CrossRef]
- Hao, J.-W.; Sheng, X.-Q. Accurate and Efficient Simulation Model for the Scattering From a Ship on a Sea-Like Surface. IEEE Geosci. Remote Sens. Lett. 2017, 14, 2375–2379. [Google Scholar] [CrossRef]
- Wu, Z.; Pang, C.; Li, D. Identification Method For Icosahedron Triangular Trihedral Corner Reflector And Vessels Based on Polarization Feature-Range Joint Matrix. J. Radars. 2025, 14, 1–16. [Google Scholar]
- Zhang, J.; Hu, S.; Yang, Q.; Fan, X.; Wang, P. On Optimization of Heterotypic Corner Reflector Arrays. J. Nav. Univ. Eng. 2019, 31, 6. [Google Scholar]
- Wu, Y.; Suo, Y.; Meng, Q.; Dai, W.; Miao, T.; Zhao, W.; Yan, Z.; Diao, W.; Xie, G.; Ke, Q.; et al. FAIR-CSAR: A Benchmark Dataset for Fine-Grained Object Detection and Recognition Based on Single-Look Complex SAR Images. IEEE Trans. Geosci. Remote Sens. 2025, 63, 5201022. [Google Scholar] [CrossRef]
- Zhu, L.; Wang, J.; Feng, D. An Approach for SAR Feature Reconfiguring Based on Periodic Phase Modulation with Inter-Pulse Time Bias. Remote Sens. 2025, 17, 991. [Google Scholar] [CrossRef]
- Mu, H.; Ding, C.; Guan, C.; Zhang, Y.; Cai, T.; Meng, F.; Wang, J. Subsection-Shift-Doppler-Frequency Jamming Based on Phase-Tunable Metasurface Against SAR Imaging. IEEE Geosci. Remote Sens. 2024, 62, 5223415. [Google Scholar] [CrossRef]
- Chen, L.; Wang, J.; Liu, X.; Feng, D.; Sun, G. A Flexible Range-Doppler Modulation Method for Pulse-Doppler Radar Using Phase-Switched Screen. IEEE Trans. Antennas Propag. 2025, 1. [Google Scholar] [CrossRef]
- Li, H.; Li, Z.; Liu, K.; Xu, K.; Luo, C.; Lv, Y.; Deng, Y. A Broadband Information Metasurface-Assisted Target Jamming System for Synthetic Aperture Radar. Remote Sens. 2024, 16, 1499. [Google Scholar] [CrossRef]

















| Method | Parameters (M) | FLOPs (G) @640 (B) |
|---|---|---|
| YOLOv5-n | 1.9 | 4.5 |
| YOLOv8-n | 3.2 | 8.7 |
| YOLOv8-s | 11.2 | 28.6 |
| YOLOv12-n | 2.6 | 6.5 |
| CSBBNet | 1.7 | 6.4 |
| Method | P (CR) | R (CR) | F1 (CR) | AP50 (CR) | P (SH) | R (SH) | F1 (SH) | AP50 (SH) | mAP50 | mAP50-0.95 |
|---|---|---|---|---|---|---|---|---|---|---|
| YOLOv5-n | 0.8466 | 0.5191 | 0.6436 | 0.6718 | 0.8812 | 0.5246 | 0.6577 | 0.5973 | 0.6346 | 0.2788 |
| YOLOv8-n | 0.8695 | 0.7884 | 0.8270 | 0.8033 | 0.8115 | 0.7119 | 0.7584 | 0.7466 | 0.7750 | 0.3272 |
| YOLOv8-s | 0.9024 | 0.8125 | 0.8551 | 0.8306 | 0.8806 | 0.8317 | 0.8555 | 0.8763 | 0.8535 | 0.3887 |
| YOLOv12-n | 0.8233 | 0.7095 | 0.7622 | 0.7390 | 0.8570 | 0.8123 | 0.8341 | 0.8259 | 0.7825 | 0.3151 |
| CSBBNet | 0.9227 | 0.8734 | 0.8974 | 0.8817 | 0.9036 | 0.9040 | 0.9038 | 0.8927 | 0.8872 | 0.4533 |
| Baseline | CSSFP | WCSAD | CSAD-Head | mAP50 | mAP50-0.95 |
|---|---|---|---|---|---|
| ✔ | 0.8128 | 0.4062 | |||
| ✔ | ✔ | 0.8559 | 0.4443 | ||
| ✔ | ✔ | 0.8471 | 0.4368 | ||
| ✔ | ✔ | 0.8252 | 0.4112 | ||
| ✔ | ✔ | ✔ | 0.8750 | 0.4515 | |
| ✔ | ✔ | ✔ | 0.8624 | 0.4353 | |
| ✔ | ✔ | ✔ | 0.8709 | 0.4476 | |
| ✔ | ✔ | ✔ | ✔ | 0.8872 | 0.4533 |
Disclaimer/Publisher’s Note: The statements, opinions and data contained in all publications are solely those of the individual author(s) and contributor(s) and not of MDPI and/or the editor(s). MDPI and/or the editor(s) disclaim responsibility for any injury to people or property resulting from any ideas, methods, instructions or products referred to in the content. |
© 2025 by the authors. Licensee MDPI, Basel, Switzerland. This article is an open access article distributed under the terms and conditions of the Creative Commons Attribution (CC BY) license (https://creativecommons.org/licenses/by/4.0/).
Share and Cite
Tang, W.; Gao, Y.; Xing, M.; Xue, M.; Liu, H.; Sun, G. CSBBNet: A Specialized Detection Method for Corner Reflector Targets via a Cross-Shaped Bounding Box Network. Remote Sens. 2025, 17, 2760. https://doi.org/10.3390/rs17162760
Tang W, Gao Y, Xing M, Xue M, Liu H, Sun G. CSBBNet: A Specialized Detection Method for Corner Reflector Targets via a Cross-Shaped Bounding Box Network. Remote Sensing. 2025; 17(16):2760. https://doi.org/10.3390/rs17162760
Chicago/Turabian StyleTang, Wangshuo, Yuexin Gao, Mengdao Xing, Min Xue, Huitao Liu, and Guangcai Sun. 2025. "CSBBNet: A Specialized Detection Method for Corner Reflector Targets via a Cross-Shaped Bounding Box Network" Remote Sensing 17, no. 16: 2760. https://doi.org/10.3390/rs17162760
APA StyleTang, W., Gao, Y., Xing, M., Xue, M., Liu, H., & Sun, G. (2025). CSBBNet: A Specialized Detection Method for Corner Reflector Targets via a Cross-Shaped Bounding Box Network. Remote Sensing, 17(16), 2760. https://doi.org/10.3390/rs17162760

