Abstract
During reentry, the high temperatures experienced by near-space hypersonic vehicles result in surface ablation, generating ablative particles. These particles become part of a plasma, commonly referred to as a “dusty plasma sheath” in radar remote sensing. The dusty plasma model, integral in radar studies, involves extensive charge and dynamic interactions among dust particles. Previous derivations assumed that the dust particle radius significantly surpassed the Debye radius, leading to the neglect of dust radius effects. This study, however, explores scenarios where the dust particle radius is not markedly smaller than the Debye radius, thereby deducing the charging process of dusty plasma. The derived equations encompass the Debye radius, charging process, surface potential, and charging frequency, particularly considering larger dust particle radii. Comparative analysis of the dusty plasma model, both before and after modification, reveals improvements when dust particles approach or exceed the Debye length. In essence, our study provides essential equations for understanding dusty plasma under realistic conditions, offering potential advancements in predicting electromagnetic properties and behaviors, especially in scenarios where dust particles closely align with or surpass the Debye radius.
1. Introduction
Radar remote sensing of hypersonic vehicles entails investigating the electromagnetic characteristics of the plasma flow field [1,2,3]. When a hypersonic vehicle moves at high speed, the air around it is heated and squeezed, and then ionized, forming a layer of plasma around the vehicle called the plasma sheath. The ablative insulation applied to the vehicle will be too hot to ablate into small particles, which will interact with the plasma sheath to form a dusty plasma sheath. The interaction between dust particles and plasma introduces novel properties [4,5,6,7]. This dusty plasma sheath, influenced by the charging effect of dust particles, disrupts electromagnetic waves used for detection or communication. It absorbs energy, induces attenuation, alters phase, and may deviate the electromagnetic wave from its original path, causing intricate variations in received signals and potentially obscuring vital target information. This poses considerable challenges for radar remote sensing, detection, and communication of hypersonic targets [8,9,10,11].
NASA’s exploration of the RAM-C blunt cone reentry vehicle, yielding a wealth of valuable and reliable data containing both ablative and non-ablative materials [12,13], has been a costly endeavor. However, in light of advancing computer technology and the availability of trustworthy electromagnetic numerical methods, scholars are increasingly turning to cost-effective alternatives. Various electromagnetic simulation techniques have been explored, including the finite-difference time-domain (FDTD) method [14,15,16,17], discontinuous Galerkin time-domain (DGTD) method [18], vector–scalar integral equation (VSIE)-based method of moment (MOM) [19,20], and physical optics (PO) method [4].
Dusty plasmas manifest in diverse settings, such as interstellar molecular clouds, rocket flares, hypersonic vehicle sheaths, low-temperature laboratory discharges, and tokamak devices [21]. Extensive theoretical exploration in this domain has been documented [22,23,24]. Reference [25] provides analytical expressions for the complex conductivity and attenuation constant of weakly ionized dusty plasma. The fundamental physical attributes and collective processes of dusty plasmas are discussed in [26]. Reference [27] presents experimental investigations into the propagation characteristics of electromagnetic waves within glow-discharge plasma containing dust particles. Electrification of micron dust particles in plasma is experimentally examined in Reference [28], while the absorption of electromagnetic waves by dust particles is scrutinized using the Mie–Debye scattering model in [29]. Reference [30], accounting for dust particle collision and charging effects, derives the dielectric relationship for electromagnetic wave propagation in fully ionized dusty plasma based on the Boltzmann distribution law. Numerical calculations explore the propagation characteristics of electromagnetic waves in dusty plasma.
In environments such as rocket flames and hypersonic vehicle sheaths, the assumption that dust particles are significantly smaller than the Debye radius, a key condition in the dusty plasma model [31,32], may not hold true. Building upon the dusty plasma model detailed in [21,27] and acknowledging the presence of sizable dust particles, this study infers the charging process of dusty plasma. It provides formulations for the Debye radius, charging frequency, and surface potential equation of non-isolated/isolated large dust particles. Employing the method outlined in [33,34], the electromagnetic scattering of the Mie–Debye model is calculated and analyzed before and after modification. This underscores the necessity for adjustments to the dusty plasma model when dust particles approach or surpass the Debye length.
2. Materials and Methods
2.1. Charging Equation
We adopted the order-limited motion (OLM) method to calculate the charging current of plasma particle of dust particles. Figure 1 illustrates the scenario wherein a plasma particle approaches a dust particle with radius and charge from an infinite distance. Upon entering the Debye sphere, the charged particle experiences the influence of the dust particle, causing a modification in its trajectory due to the Coulomb force. Assuming that the plasma and dust particle nearly collide before and after, with velocities and , for a certain velocity less than the collision parameter , the plasma particle collides with the dust particle. The charging collision cross-section of dust particles and plasma particles is .
Figure 1.
Order-limited motion (OLM) model.
Conservation of angular momentum and conservation of energy are given as follows:
The dust particle charge for , where is the electric potential difference between the dust particle potential and the plasma potential, and the capacitance of a spherical dust particle are . The charging cross-section can be acquired by substituting the following formula:
Assuming that the velocity distribution of an electron or ion at an infinite distance from the dust particle in the dusty plasma is , the dust charging current generated by the motion of the charged particle towards the dust particle can be written as:
In the above equation, represents the minimum speed at which a charged particle collides with a dust particle. The value of can be discussed in two cases: when , charged particle attracts dust particles to it, and the minimum speed required for collision is zero, that is, . When , charged particles and dust particles will repel each other due to the Coulomb force, and only charged particles with kinetic energy greater than the Coulomb potential energy can get close to the dust particle to charge it, that is, .
The velocity distribution in plasma adheres to a Maxwell distribution:
The electronic current and ionic current, obtained via integration, are respectively expressed as
2.2. Debye Radius
Within a plasma, the presence of the surrounding charged particles creates a shielding effect on any individual charged particle. This shielding, occurring at a specific distance, implies that the Coulomb interaction between two charged particles is either completely or partially mitigated by the surrounding particles in their vicinity. This critical distance, denoted as the Debye radius, represents the effective interaction distance for two charged particles in the plasma. Interactions beyond this radius are deemed negligible. Upon introducing dust particles as additional charged entities into the plasma, a new Debye length specific to the dusty plasma is established.
Figure 2 illustrates the Debye radius of dust particles in plasma, characterized by the presence of both dust particles and a multitude of surrounding charged particles. The determination of the Debye radii for large dust particles is based on the assumption of local thermal equilibrium between electrons and ions within the Debye cloud, considering their respective number densities and following a Boltzmann distribution:
Figure 2.
Schematic diagram of the dusted plasma Debye sphere.
The electric potential at a given position r, , and the concentrations of electrons and ions migrating away from the Debye cloud, and , respectively, result in Poisson’s equation assuming the following form:
The dust particles under investigation are micron-sized, significantly larger than the electrons and ions in the plasma. Consequently, their discernible motion relative to electrons or ions is typically disregarded. The concentration of dust particles inside and outside the cloud can be considered equal (). Considering the dust particles as negatively charged, the prerequisite for on-time neutrality in the dusty plasma is:
Assuming , taking into account the influence of particle size and the dust surface potential as , the potential of the dusty plasma decays to 1/e of the dust particle surface potential at the Debye radius. The Poisson equation can be solved as follows:
where and are Debye radii for electrons and ions, respectively.
2.3. Surface Potential of Dust Particles
As charged particles approach a stable state and cease charging the dust particles, the surface potential of the dust particles reaches an equilibrium state. The equilibrium potential of the dust particle’s charge can be determined by satisfying both the charge equilibrium condition and the quasi-neutral condition. Incorporating the radius of the dust particle enables the calculation of the electric charge associated with the dust particle.
Within the charged particles of the dusty plasma, electrons exhibit significantly smaller mass compared to ions, coupled with a thermal motion speed much higher than that of ions. Therefore, in the initial process of charging, the charging current caused by the movement of electrons to dust particles is much larger than the ion current caused by the movement of ions to dust particles. The result is that the dust particles are negatively charged at the beginning of the charging process, that is, for the electrons . For ion , as can be obtained from Equations (6) and (7), the charging current of the electron and ion is, respectively:
During the charging process, dust particles commence with a negative charge, initially attracting ions, thereby amplifying the charging current of ions. Simultaneously, this negative charge repels electrons, diminishing the charging current of electrons. When the charging current of electrons is equal to the charging current of ions, that is, , the dust particles are in a state of charging equilibrium. The conditions of charge balance can be written as:
The electric neutral condition in dusty plasma diverges from that in conventional plasma, necessitating the incorporation of the electric charge of the dust particle itself. This can be expressed as:
where is the electric charge of dust particles and is the density of dust particles. As shown in Equation (15), when , the density of dust particles is much less than the ion density, and can be considered as . With a high density of dust particles, the reduced spacing between them results in increased interaction among the dust particles. When the condition of is not met, dust particles cannot be regarded as isolated.
Applying the charge equilibrium conditions allows us to ascertain the surface potential of isolated dust particles, expressed as follows:
Under the conditions of local thermal equilibrium, where the electron temperature equals the ion temperature, the charge and surface potential of non-isolated particles can be determined through an implicit function:
where and are the mass and density of particle , respectively. The surface potential of dust particles is and the number of dust charges is .
2.4. Charging Frequency
During the charging process, a longitudinal wave emerges in the dusty plasma, influencing the charged particles. Consequently, the charging current experiences fluctuations, leading to corresponding variations in the surface potential or surface charge of dust particles. Assuming equilibrium in the absence of fluctuations, dust charge is . The presence of the longitudinal wave induces a disturbance, causing the dust charge to fluctuate around , written as , where is the disturbance value of the charge of the dust particle surface due to the action of the longitudinal field. When charging is balanced:
The distribution function in the presence of longitudinal waves is expressed as:
The charging cross-section in the presence of longitudinal waves is represented as:
where is the fluctuation of dust particle potential. The charging current in the presence of longitudinal waves is expressed as:
where:
The first term on the right is:
The second term on the right is:
If ,
where ,
If
Herein, , , , , and .
The charging frequency is obtained as follows:
2.5. Scattering Cross-Section
Drawing from references [8,12,13], the investigation into the electromagnetic properties of dusty plasma is categorized into scattering cross-section and absorption cross-section. The scattering cross-section encompasses the Mie scattering cross-section, Debye scattering cross-section, and Mie–Debye coherent cross-section. The absorption cross-section includes the Debye scattering cross-section and Mie absorption cross-section. It is worth noting that since Mie scattering cross-sections and absorption cross-sections caused by dust particles remain unchanged before and after correction, we only focus on Debye scattering cross-sections , coherent scattering cross-sections , and Debye absorption cross-sections [34].
where and are the Mie scattering coefficients, and are the Debye scattering coefficients, are the calculation parameters, is the volume of the particle, is the volume of the hollow sphere from the particle radius to the Debye radius, and is the Debye longitudinal field [34].
3. Results
Figure 3 illustrates the Debye radius and charging frequency of the dusty plasma under certain conditions (, , ). The charge numbers of isolated dust particles and non-isolated dust particles vary with the dust radius. represents the pre-revision data, and represents the post-revision data. As illustrated in Figure 3a, the Debye radius of dusty plasma exhibits a notable difference before and after correction. Owing to the approximation of dust particles as point charges, the Debye radius remains constant despite variations in dust radius. In the sheath, rocket flame, and other environments, the size of the dust particles is . A large dust radius will be close to or even greater than the modified Debye radius, which does not compound the previous study of the dusty plasma physical model, which is obviously abnormal. The adjusted Debye radius considers the impact of dust particle size, resulting in a gradual increase with the radius of dust particles, consistently surpassing the size of the dust particles. This outcome aligns more closely with the physical model. Figure 3b depicts the charging frequency of the dusty plasma before and after correction. The charging frequency, a parameter indicative of the charging time, exhibits a trend akin to that of isolated dust particles with varying particle sizes. While the charging frequency before and after correction remains consistent, the analysis focuses on its changing trend with different parameters. As the size of the dust particles increases, the charging frequency also gradually increases because the larger dust particles have a larger surface potential and have a stronger charging ability.
Figure 3.
Changes in Debye radius (a) and charging frequency (b) with dust particle size before and after correction.
In Figure 4a, the variation of the surface charge of isolated dust with the radius of the dust particle is depicted. The difference between non-isolated dust particles and isolated dust particles in this study mainly refers to whether there is interaction between dust particles. To be clear, the density of dust is high, and the influence between dust particles is obvious, so the surface potential of non-isolated dust particles is low. Mathematically, dust particles can be considered as isolated dust particles only if is satisfied. The background of this study is not satisfied. The surface potential of non-isolated dust particles is independent of dust density, which is calculated to analyze its law and discuss the difference before and after correction. The surface charge of the dust before correction remains unchanged with alterations in the dust particle radius. This constancy arises from treating the dust particle as a point charge without volume when considering the surface potential of the isolated dust particle. Notably, when the dust particles are extremely small, the data before and after correction align due to the negligible contribution of the small dust particles to the surface charge of isolated dust. However, as the dust particles gradually increase in size, the accuracy of data before correction diminishes since it fails to account for the influence of the dust particle radius. The revised data increase with the increase in the radius of the dust particle, because with the increase in the radius of the dust particle, the surface area of the dust particle will also increase, and more electrons will be adsorbed at the initial stage of charging, which will also produce a greater Coulomb force on the ion, and its charging frequency will be stronger.
Figure 4.
Surface potential of the isolated particles (a) and surface potential of the non-isolated particles (b) with dust particle size before and after correction.
In Figure 4b, the variations in non-isolated dust with the radius of dust particles are depicted. The surface potential of non-isolated dust, both before and after correction, decreases as the size of dust particles increases. This decline is attributed to the mutual influence of surface potentials among non-isolated dust particles. As the radius of dust particles increases, the reduced distance between them intensifies mutual influence. This heightened interaction fosters a more competitive environment among charged particles in the plasma. The forces acting on charged particles become more balanced among two or more dust particles rather than concentrating around a single dust particle. Consequently, each dust particle adsorbs fewer charged particles, leading to a reduction in surface potential. The surface potential of non-isolated dust particles after correction aligns with that before correction when the dust particle radius is small, given the relatively minor impact on the charging process. However, as the dust particles increase in size, the influence of the changing dust particle radius becomes more significant, and the surface potential of corrected dust particles surpasses the data before correction.
As shown in Figure 5a (, , ), the Debye scattering cross-section is used to describe the scattering cross-section generated by the Debye cloud. The Debye scattering cross-section changes slowly with the increase in frequency. A reasonable physical explanation for this phenomenon could be that the relationship between Debye scattering and plasma parameters is relatively large. The scattering cross-section, both before and after correction, increases with the enlargement of dust particle size. The adjusted Debye scattering cross-section aligns with data before correction when the dust particle radius is small and is smaller than the scattering cross-section before correction when the dust particle size is large. This disparity arises due to factors such as particle size effects and variations in Debye radius, dust surface potential, and charging frequency. The modified model, by accounting for the particle size of dust, accentuates the disturbance at the same incident electromagnetic wave frequency, leading to enhanced absorption of electromagnetic waves. Consequently, the scattering cross-section after modification is smaller than that before modification. This law also applies to the coherent scattering cross-section, as shown in Figure 5b. The difference is that for incident electromagnetic waves of different frequencies, the absorption and scattering effects of dusty plasma on electromagnetic waves are also different, which are reflected in the coherent scattering cross-section and Debye absorption cross-section, and the coherent scattering cross-section increases with the increase in frequency.
Figure 5.
Changes of Debye scattering cross-sections (a), coherent scattering cross-sections (b), and absorption cross-sections (c) with the particle size before and after correction.
As depicted in Figure 5c, Debye absorption cross-sections of dust particles typically decrease as the radius of dust particles increases. This reduction is attributed to the heightened ability of larger isolated dust particles to adsorb surrounding electrons and ions. Simultaneously, the absorption of dusty plasma, predominantly influenced by the disturbance of free charged particles, weakens in its interaction with the incident electromagnetic wave. Similar to the scattering cross-section, the absorption cross-sections before and after correction coincide when the dust particle size is compared. For larger dust particles, the absorption cross-section before correction exhibits a singular point followed by an increase. This point corresponds to the situation where the Debye radius before correction approximates and becomes smaller than the dust particle radius. The absence of consideration for the dust particle radius in the charging process before correction leads to an inaccurate absorption cross-section before correction. However, after correction, the absorption cross-section becomes relatively stable. The higher the frequency, the smaller the Debye absorption cross-section and the smaller the absorption effect of dusty plasma on electromagnetic waves.
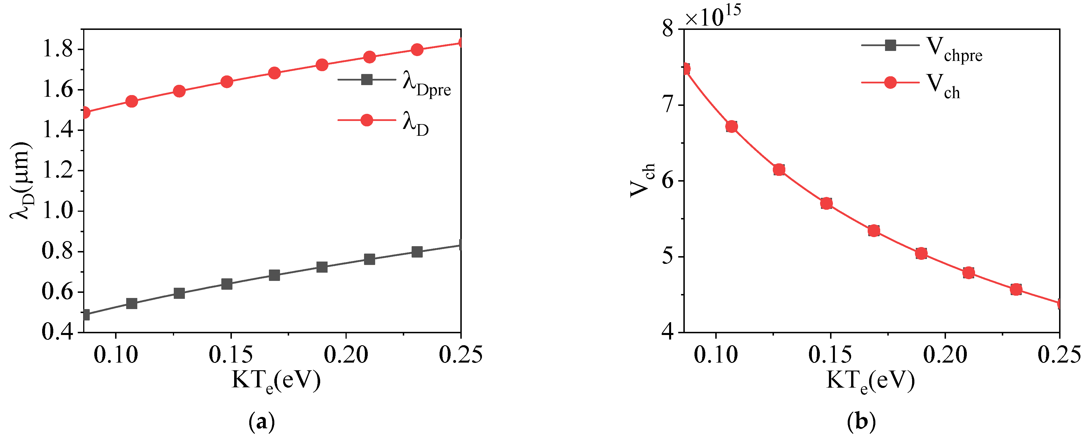
Figure 6 shows the Debye radius and charging frequency, and Figure 7 shows variations in the surface potential of isolated/non-isolated dust particles with electron density (, , ) before and after correction. As shown in Figure 6a, the Debye radius before and after correction decreases with the increase in electron density. This phenomenon arises because, as the electron density increases, dust particles are more prone to adsorbing charged particles. The elevated density of charged particles, in turn, intensifies the shielding effect on the electric field of the dust particle, resulting in a reduction of the Debye radius that characterizes the shielding range of the dusty plasma. The particle size used for calculation is 1 micron, and the Debye radius before correction is less than 1 micron when the electron density is very large, which is not in line with the physical model, and the corrected Debye radius is constant as is size of the dust particle. In Figure 6b, it is observed that the charging frequency rises with an increase in electron density. This effect occurs because the augmented number of charged particles results in a higher adsorbed charge on the surface of dust particles during the initial stages of charging. For dust particles of the same size, a greater amount of charge corresponds to increased charging capability and, consequently, a higher charging frequency.
Figure 6.
Debye radius (a) and charging frequency (b) change with electron density before and after correction.
Figure 7.
Surface potential of the isolated particles (a) and surface potential of the non-isolated particles (b) with electron density before and after correction.
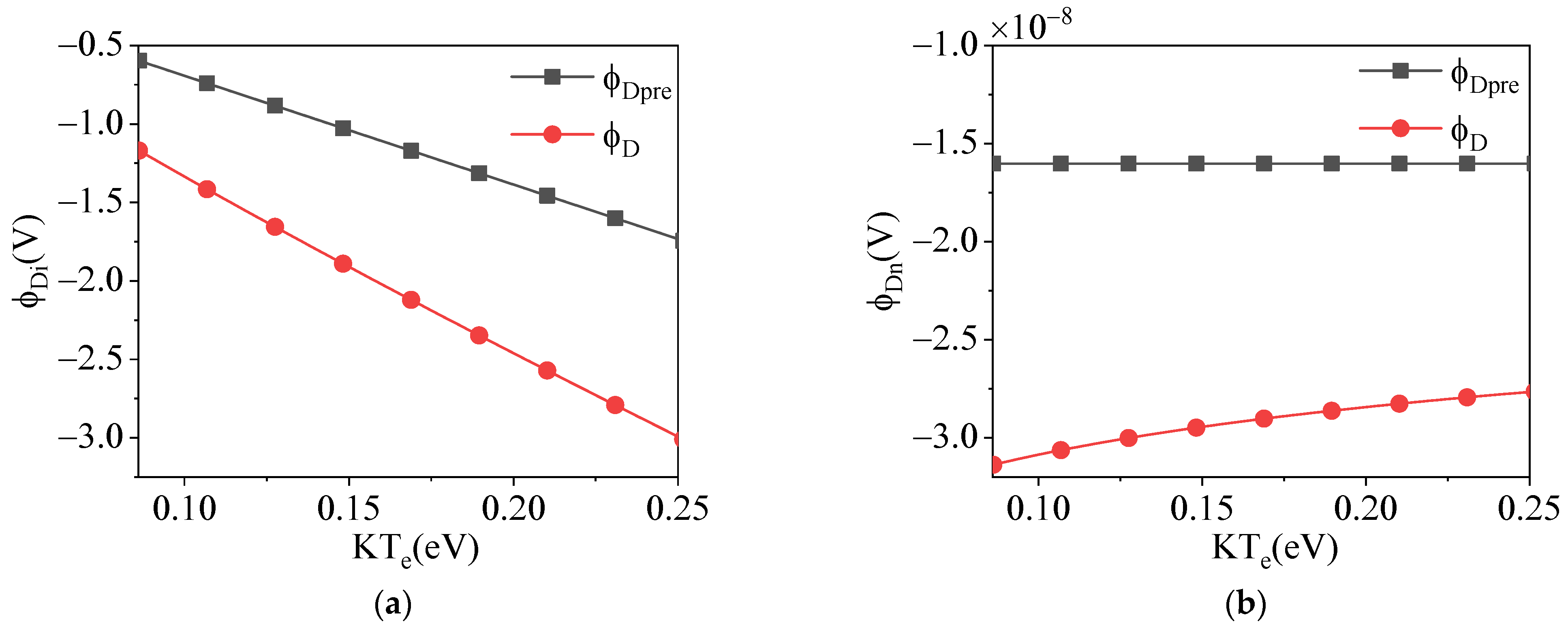
In Figure 7a, the variation of the surface potential of an isolated dust particle with electron density is depicted. When considering the surface potential of isolated dust particles, which are approximated as point charges without volume, the adsorption capacity of point charges to charged particles is not substantially enhanced. Consequently, the surface charge of dust before correction remains unaffected by changes in electron density. However, the corrected surface potential of dust particles increases with the rise in electron density, aligning with the change in charging frequency. Both trends indicate that a higher electron density enhances the charging ability of dust particles. Both the non-isolated dust surface potential before correction and the corrected surface potential increase with the increase in electron density. The increase in electron density will increase the shielding effect between any two charged dust particles, the interaction of non-isolated dust particles will decrease, and the surface potential will increase. At low electron density, the data before and after correction are relatively close. However, with increasing electron density, the reduction in the Debye radius becomes pronounced, emphasizing the impact of particle size. Consequently, the data before and after correction exhibit significant differences.
Figure 8 shows the variation of Debye scattering (a), coherent scattering cross-sections (b), and Debye absorption cross-sections (c) with electron density (, , ). From Figure 8a,b, the Debye cross-section and the coherent cross-section before and after correction are very close and have a peak value when the electron density ratio is low. This behavior is primarily attributed to the heightened plasma frequency associated with increased electron density. As electron density gradually rises, both types of scattering cross-sections decrease to a valley value before correction and then exhibit an abnormal increase. This anomaly can be explained by the fact that, with an increase in electron density, the plasma frequency also rises. Consequently, the scattering cross-section of the incident electromagnetic wave with the same frequency initially increases and then decreases, mirroring the pattern observed in the corrected data. Additionally, a higher frequency of the incident electromagnetic wave implies a stronger ability to penetrate the plasma, and accordingly, the scattering cross-section should be larger.
Figure 8.
Changes of Debye scattering cross-sections (a), coherent scattering cross-sections (b), and absorption cross-sections (c) with electron density before and after correction.
From Figure 8c, the Debye absorption cross-sections before and after correction are also very close at low electron density ratios. When the electron density is high, the data before correction are inaccurate because the Debye radius is smaller than the dust particle size, which leads to the confusion of the integral in calculating the absorption cross-section. In the corrected data, as electron density gradually increases, the absorption cross-section reaches a peak when the plasma frequency aligns with the frequency of the incident electromagnetic wave. This position represents the point where the absorption effect is most pronounced. Following this peak, as the electromagnetic wave encounters greater difficulty in penetrating the plasma, the absorption cross-section gradually decreases. Also, the higher the frequency of the incident electromagnetic wave, the weaker the absorption effect of the plasma on it, and the absorption cross-section should be smaller.
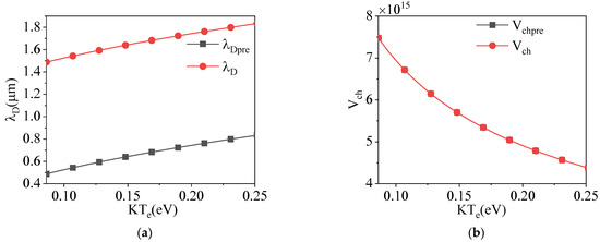
Figure 9 illustrates variations in the Debye radius and charging frequency, while Figure 10 depicts the surface potential of isolated and non-isolated dust particles under specific conditions of electron temperature in the dusty plasma (, , and ). Figure 9a shows the trend of the Debye radius with respect to the electron temperature. The Debye radius increases with the increase in electron temperature before and after correction. With an increase in electron temperature, the disorderly thermal motion of electrons and ions intensifies, causing the surface of dust particles to adsorb more electrons and ions during the initial charging stage. However, the thermal motion of charged particles can compete with the surface potential of the dust particles, leading to weaker charging ability and a larger Debye radius. Notably, the Debye radius before correction increases with electron temperature but remains consistently smaller than the diameter of the dust particle. As depicted in Figure 9b, the charging frequency decreases with the rise in electron temperature. This decline is attributed to the heightened intensity of electron thermal motion, making it more challenging for the electric field of dust particles to capture free charged particles, resulting in a slower charging frequency.
Figure 9.
The Debye radius (a) and charging frequency (b) change with electron temperature before and after correction.
Figure 10.
Surface potential of the isolated particles (a) and surface potential of the non-isolated particles (b) with electron temperature before and after correction.
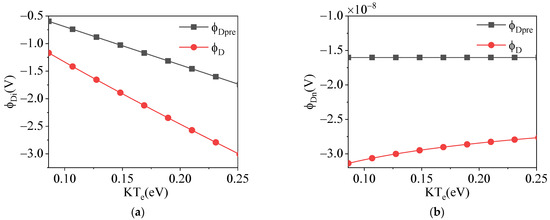
In Figure 10a, the surface charge of an isolated dust particle is shown to increase with rising electron temperature for data both before and after correction. This increase is attributed to the fact that the smaller mass of electrons, compared to ions, results in a much higher degree of thermal motion for electrons with an increase in electron temperature. Consequently, dust particles have a greater opportunity to adsorb more electrons during the initial charging stage, leading to an augmentation in the surface potential of isolated dusty plasma. Notably, the surface potential of isolated dust particles before correction is smaller than the corrected data and exhibits a slower increase. This is because the surface potential of isolated dust particles before correction is approximated as a point charge, and the impact of the increase in electron temperature and the disorderly thermal motion of electrons on the point charge is relatively limited. In Figure 10b, the surface potential of a non-isolated dust particle demonstrates a contrasting behavior. Before correction, the surface potential of non-isolated dust particles remains nearly constant with an increase in electron temperature. In contrast, the corrected data show a decrease with increasing electron temperature, opposite to the trend observed for isolated dust particles. This discrepancy arises because the surface potential of non-isolated dust particles is interconnected; two charged dust particles mutually influence each other. The intensified thermal motion of electrons results in a greater balance of electrons between two or more dust particles, inevitably leading to a reduction in the surface potential of two or more dust particles.
Figure 11 shows the Debye scattering cross-sections, coherent scattering cross-sections, and absorption cross-sections of the dusty plasma with the electron temperature (, , ). In Figure 11a,b, both the Debye and dry scattering cross-sections, before and after correction, increase with rising electron temperature. This escalation occurs because the heightened electron temperature results in increased speed of charged particles engaged in disorderly thermal motion within the dusty plasma. Consequently, the interaction between the charged particles and the incident electromagnetic wave intensifies, leading to a significant increase in the scattering cross-section. Given that dust particles are approximated as point charges, the scattering cross-section before correction exhibits minimal change with variations in electron temperature. However, as electron temperature gradually increases and the Debye radius surpasses the particle size, the scattering cross-sections before and after correction tend to converge. The scattering cross-sections for incident waves with different frequencies mirror those shown in Figure 8, with larger frequencies corresponding to larger scattering cross-sections.
Figure 11.
Changes of Debye scattering cross-sections (a), coherent scattering cross-sections (b), and absorption cross-sections (c) with electron temperature before and after correction.
As depicted in Figure 11c, the Debye absorption cross-section decreases with an increase in electron temperature before correction, while the Debye absorption cross-section increases with a rise in electron temperature after correction. The analysis of the Debye radius in Figure 9 reveals that the Debye radius before correction treated the dust particle approximately as a point charge, neglecting its volume. As a result, the Debye radius under the calculation conditions of our actual environment was less than the particle size of the dust particle, resulting in the confusion of the upper and lower limits of the integral when calculating the absorption cross-section, which showed a completely opposite trend to the corrected absorption cross-section. From the physical mechanism, the incident electromagnetic wave will cause the charged particles of disorderly thermal motion in the dusty plasma to oscillate, resulting in the dissipation of electromagnetic wave energy. The escalation of electron temperature intensifies the disorderly thermal motion of charged particles in the dusty plasma, leading to increased energy dissipation of the incident electromagnetic wave. This enhancement of the absorption effect results in an increase in the Debye absorption cross-section with the rise of electron temperature, aligning with the trends observed in the corrected data.
4. Conclusions
Building upon the original dust isolator model, this study takes into account scenarios where the dusty plasma includes relatively large dust particles. In such cases, the approximate condition that the dust particles are much smaller than the Debye radius may not be satisfied. Consequently, the charging process of dust particles in the dusty plasma is derived, considering the presence of large-sized dust particles. The study calculates and analyzes the charging parameters of these large-sized dust particles, along with the electromagnetic characteristic scattering of the Mie–Debye model. The improvement of the dusty plasma model is demonstrated when the dust particles are in close proximity to or larger than the Debye length.
The Debye radius before correction does not change with the radius of dust particles, decreases with the increase in electron density, and increases with the increase in electron temperature. The corrected Debye radius increases with the increase in dust particle radius, decreases with the increase in electron density, and increases with the increase in electron temperature. The charging frequency is directly proportional to the dust radius and electron density and inversely proportional to the electron temperature. The surface potential of the corrected isolated dust is directly proportional to the dust radius, electron density, and electron temperature. Moreover, the surface charge of the corrected isolated dust consistently exceeds the data before correction, as the surface potential of isolated dust particles before correction approximates a point charge. The surface potential of the corrected non-isolated dust particles is inversely proportional to the dust particle radius, proportional to the electron density, and inversely proportional to the electron temperature. The Debye and coherent scattering cross-sections of a single dusty plasma model exhibit clear and intriguing differences in absorption cross-sections before and after modification. The modified data align more closely with the properties of the physical model and the explanations provided by the physical mechanisms. This alignment reflects that the modified dusty plasma model is more comprehensive in terms of electromagnetic characteristics compared to the pre-modification model.
The calculation results indicate that, when dust particles are significantly smaller than the Debye length, the charging process, charging equilibrium state, and electromagnetic characteristics of the dusty plasma before modification exhibit no significant modifications compared with those in the case where dust particle size is considered. This alignment adheres to the approximate conditions. However, various real-world scenarios deviate from the approximation that dust particles are significantly smaller than the Debye length, making the dust radius in the dusty plasma a pivotal factor. In the revised charging process, distinct advantages are evident when the dust particle radius approaches or even exceeds the Debye length, as it takes into account the influence of the dust particle radius. The model was optimized under these conditions.
Author Contributions
Conceptualization, D.Y.; methodology, D.Y.; formal analysis, D.Y.; investigation, J.L. and L.G.; resources, J.L. and L.G.; project administration, J.L., K.L., and L.G.; writing—original draft preparation, D.Y. and Y.Z; and writing—review and editing, D.Y., Y.Z. and K.L. All authors have read and agreed to the published version of the manuscript.
Funding
This work was supported by the National Natural Science Foundation of China (Grant No. U20B2059, 62231021, U21A20457, 62071348, 62201435).
Data Availability Statement
Data are contained within the article.
Conflicts of Interest
The authors declare no conflicts of interest.
References
- Tao, S.; Fan, Z.; Liu, W.; Chen, R. Electromagnetic scattering analysis of a conductor coated by multilayer thin materials. IEEE Antennas Wirel. Propag. Lett. 2013, 12, 1033–1036. [Google Scholar] [CrossRef]
- Bian, Z.; Li, J.; Guo, L. Simulation and feature extraction of the dynamic electromagnetic scattering of a hypersonic vehicle covered with plasma sheath. Remote Sens. 2020, 12, 2740. [Google Scholar] [CrossRef]
- Bai, B.; Ding, Y.; Li, X.; Liu, Y. A Radar Detection Method of Plasma-Sheath-Covered Target Based on the Improved Keystone Algorithm. Remote Sens. 2022, 14, 4869. [Google Scholar] [CrossRef]
- Chang, Y.; Chen, W.F.; Luo, N.; Wu, Q.F. Analysis of the spatial scattering characteristic for the reentry target cloaked by plasma based on the physical optics method. J. Microw. 2008, 24, 1–6. [Google Scholar]
- Roy, K.; Chatterjee, P.; Kausik, S.S.; Wong, C.S. Shock waves in a dusty plasma having q-nonextensive electron velocity distribution. Astrophys. Space Sci. 2014, 350, 599–605. [Google Scholar] [CrossRef]
- Shahmansouri, M.; Rezaei, M. Shock structures in dusty plasma in the presence of strong electrostatic interaction. Astrophys. Space Sci. 2014, 351, 197–205. [Google Scholar] [CrossRef]
- Arp, O.; Caliebe, D.; Piel, A. Cavity dynamics and particle alignment in the wake of a supersonic projectile penetrating a dusty plasma. Phys. Rev. E Stat. Nonlinear Soft Matter Phys. 2011, 83, 066404. [Google Scholar] [CrossRef]
- Chen, J.; Tang, G.X.; Zhang, J.B.; Huo, L. Analysis of electromagnetic wave propagation in unmagnetized hypersonic vehicle plasma sheath using the variational method. IEEE Trans. Plasma Sci. 2019, 47, 5259–5263. [Google Scholar] [CrossRef]
- Keidar, M.; Kim, M.; Boyd, I.D. Electromagnetic reduction of plasma density during atmospheric reentry and hypersonic flights. J. Spacecr. Rocket. 2008, 45, 445–453. [Google Scholar] [CrossRef]
- Rybak, J.P.; Churchill, R.J. Progress in reentry communications. IEEE Trans. Aerosp. Electron. Syst. 1971, AES–7, 879–894. [Google Scholar] [CrossRef]
- Song, L.; Bai, B.; Li, X.; Niu, G.; Liu, Y.; Zhao, L.; Zhou, H. Analysis of Hypersonic Platform-Borne SAR Imaging: A Physical Perspective. Remote Sens. 2021, 13, 4943. [Google Scholar] [CrossRef]
- Jones, W.L.; Cross, A.E. Electrostatic Probe Measurements of Plasma Parameters for Two Reentry Flight Experiments at 25000 Feet per Second [Technical Report]; National Aeronautics and Space Administration: Washington, DC, USA, 1972; p. 6617.
- Swift, C.T.; Beck, F.B.; Thomson, J.; Castellow, S.L. RAM C-III S-band diagnostic experiment. In Proceedings of the NASA SP-252 4th Plasma Sheath Symposium; National Aeronautics and Space Administration: Washington, DC, USA, 1971; pp. 137–155. [Google Scholar]
- Luebbers, R.J.; Hunsberger, F.; Kunz, K.S. A frequency-dependent finite-difference time-domain formulation for transient propagation in plasma. IEEE Trans. Antennas Propag. 1991, 39, 29–34. [Google Scholar] [CrossRef]
- Wei, H.L.; Liu, Y.M.; Shi, L.; Yao, B.; Li, X.P.A. A 3-D Total-Field/Scattered-Field Plane-Wave Source for the FDTD Analysis of Reentry Plasma Sheath. IEEE Trans. Antennas Propag. 2020, 68, 6214–6225. [Google Scholar] [CrossRef]
- Lim, Y.; Seo, B.; Nam, S. FDTD simulation of three-wave scattering process in time-varying cold plasma sheath. IEEE Access 2019, 7, 106713–106720. [Google Scholar] [CrossRef]
- Zhang, Y.; Liu, Y.M.; Li, X.P. A 2-D FDTD model for analysis of plane wave propagation through the reentry plasma sheath. IEEE Trans. Antennas Propag. 2017, 65, 5940–5948. [Google Scholar] [CrossRef]
- Wang, H.; Xu, L.; Li, B.; Descombes, S.; Lanteri, S. An exponential-based DGTD method for modeling 3-D plasma-surrounded hypersonic vehicles. IEEE Trans. Antennas Propag. 2020, 68, 3847–3858. [Google Scholar] [CrossRef]
- Qian, J.W.; Zhang, H.L.; Xia, M.Y. Modelling of electromagnetic scattering by a hypersonic cone-like body in near space. Int. J. Antennas Propag. 2017, 2017, 3049532. [Google Scholar] [CrossRef]
- Sha, Y.X.; Zhang, H.L.; Guo, X.Y.; Xia, M.Y. Analyses of electromagnetic properties of a hypersonic object with plasma sheath. IEEE Trans. Antennas Propag. 2019, 67, 2470–2481. [Google Scholar] [CrossRef]
- Merlino, R.L.; Goree, J.A. Dusty plasmas in the laboratory, industry, and space. Phys. Today 2004, 57, 32–38. [Google Scholar] [CrossRef]
- Shukla, P.K.; Mamun, A.A. Introduction to Dusty Plasma Physics; CRC Press: Boca Raton, FL, USA, 2015. [Google Scholar]
- Tsytovich, V.N.; Havnes, O. Charging processes, dispersion properties and anomalous transport in dusty plasma. Comments Plasma Phys. Control. Fusion 1993, 15, 267–280. [Google Scholar]
- Ma, J.X.; Yu, M.Y. Langmuir wave instability in a dusty plasma. Phys. Rev. E Stat. Phys. Plasmas Fluids Relat. Interdiscip. Top. 1994, 50, R2431. [Google Scholar] [CrossRef]
- Barkan, A.; D’Angelo, N.; Merlino, R.L. Charging of dust grains in a plasma. Phys. Rev. Lett. 1994, 73, 3093. [Google Scholar] [CrossRef]
- Shukla, P.K. A survey of dusty plasma physics. Phys. Plasmas 2001, 8, 1791–1803. [Google Scholar] [CrossRef]
- Jia, J.; Yuan, C.; Gao, R.; Liu, S.; Yue, F.; Wang, Y.; Zhou, Z.; Wu, J.; Li, H. Transmission characteristics of microwave in a glow-discharge dusty plasma. Phys. Plasmas 2016, 23, 073705. [Google Scholar] [CrossRef]
- Shi, Y.X.; Ge, D.B.; Wu, J. Theoretical analysis of microwave attenuation constant of weakly ionized dusty plasma. Chin. J. Geophys. 2007, 50, 877–883. [Google Scholar] [CrossRef]
- Li, F. Absorption of electromagnetic waves by the dust particles in a plasma. Sci. China Ser. E. 2004, 47, 461–469. [Google Scholar] [CrossRef]
- Jia, J.; Yuan, C.; Liu, S.; Yue, F.; Gao, R.; Wang, Y.; Zhou, Z.; Wu, J.; Li, H. Propagation of electromagnetic waves in a weak collisional and fully ionized dusty plasma. Phys. Plasmas 2016, 23, 043302. [Google Scholar] [CrossRef]
- Shi, L.; Yao, B.; Zhao, L.; Liu, Y.; Li, X. Electromagnetic coupling effect in the complex integrated channel of hypersonic vehicles and experimental verification. Phys. Plasmas 2019, 26, 043501. [Google Scholar] [CrossRef]
- Guo, L.; Chen, W.; Li, J.; Ren, Y.; Liu, S. Scattering characteristics of electromagnetic waves in time and space inhomogeneous weakly ionized dusty plasma sheath. Phys. Plasmas 2018, 25, 053707. [Google Scholar] [CrossRef]
- Yue, D.; Guo, L.; Li, J. Mie–Debye–Monte Carlo method to analyze the transmission characteristics of electromagnetic waves in dusty plasma. IEEE Trans. Plasma Sci. 2022, 50, 2448–2454. [Google Scholar] [CrossRef]
- Guerra, R.; Mendonça, J.T. Mie and Debye scattering in dusty plasmas. Phys. Rev. E Stat. Phys. Plasmas Fluids Relat. Interdiscip. Top. 2000, 62, 1190. [Google Scholar] [CrossRef] [PubMed]
Disclaimer/Publisher’s Note: The statements, opinions and data contained in all publications are solely those of the individual author(s) and contributor(s) and not of MDPI and/or the editor(s). MDPI and/or the editor(s) disclaim responsibility for any injury to people or property resulting from any ideas, methods, instructions or products referred to in the content. |
© 2024 by the authors. Licensee MDPI, Basel, Switzerland. This article is an open access article distributed under the terms and conditions of the Creative Commons Attribution (CC BY) license (https://creativecommons.org/licenses/by/4.0/).










