Error in Figure
In the original publication [1], there was a mistake in the legend for Figures 11a–h, 12a–d and 13a–d. All 16 Figures have the headline “Incidence Angle” which is wrong and was removed in the corrected figures below. The correct Figure 11, Figure 12 and Figure 13 appears below.

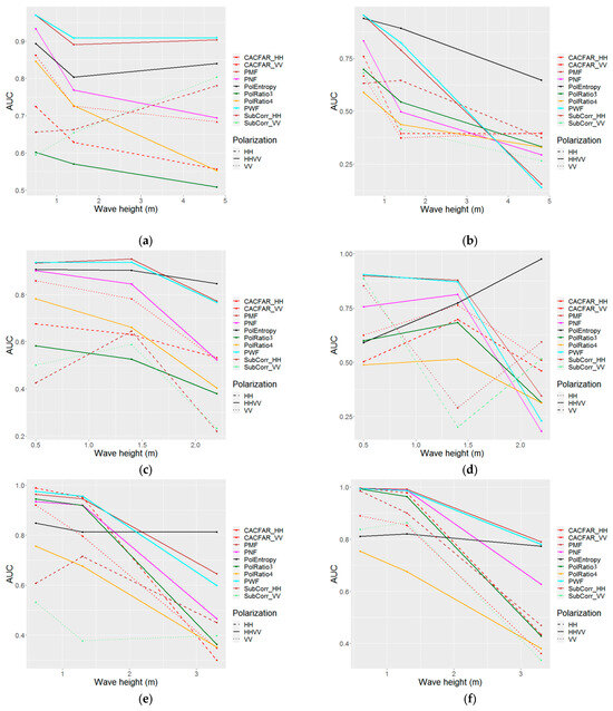
Figure 11.
Comparison of the detector AUCs for different wave heights for HH VV. (a) Wind: cross, incidence angle: low and boat orientation: 45°. (b) Wind: cross, incidence angle: low and boat orientation: 90°. (c) Wind: up/down, incidence angle: low and boat orientation: 45°. (d) Wind: up/down, incidence angle: low and boat orientation: 90°. (e) Wind: up/down, incidence angle: medium and boat orientation: 45°. (f) Wind: up/down, incidence angle: medium and boat orientation: 90°. (g) Wind: up/down, incidence angle: high and boat orientation: 45°. (h) Wind: up/down, incidence angle: high and boat orientation: 90°.
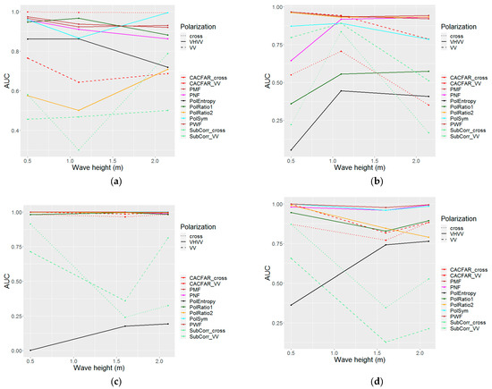
Figure 12.
Comparison of the detector AUCs for different wave height for HV HH. (a) Wind: up/down, incidence angle: medium and boat orientation: 45°. (b) Wind: up/down, incidence angle: medium and boat orientation: 90°. (c) Wind: up/down, incidence angle: high and boat orientation: 45°. (d) Wind: up/down, incidence angle: high and boat orientation: 90°.
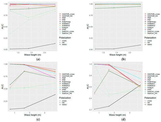
Figure 13.
Comparison of the detector AUCs for different wave heights for VH VV. (a) Wind: up/down, incidence angle: medium and boat orientation: 45°. (b) Wind: up/down, incidence angle: medium and boat orientation: 90°. (c) Wind: up/down, incidence angle: high and boat orientation: 45°. (d) Wind: up/down, incidence angle: high and boat orientation: 90°.
Error in Table
In the original publication, there was a mistake in Tables 11–13 as published. The names of the detectors in row 5 (“PolRatio1”) and in row 6 (“PolRatio2”) are incomplete. The corrected Table 11, Table 12 and Table 13 appears below.
Table 11.
The AUCs of the vessel-detection algorithms with different sensor parameters. The background colours indicate different AUCs from white (low AUCs) to dark green (very high AUCs).
Table 12.
The AUCs of the vessel-detection algorithms with high sea states (SPAN > −17 dB). The background colours indicate different AUCs from white (low AUCs) to dark green (very high AUCs).
Table 13.
The AUCs of the vessel-detection algorithms with different orientations of the rubber vessel. The blue background colours indicate better AUCs for the 45° inclined vessel, the orange colours show higher AUCs for the vessel oriented at 90°.
The authors state that the scientific conclusions are unaffected. This correction was approved by the Academic Editor. The original publication has also been updated.
Reference
- Lanz, P.; Marino, A.; Simpson, M.D.; Brinkhoff, T.; Köster, F.; Möller, M. The InflateSAR Campaign: Developing Refugee Vessel Detection Capabilities with Polarimetric SAR. Remote Sens. 2023, 15, 2008. [Google Scholar] [CrossRef]
Disclaimer/Publisher’s Note: The statements, opinions and data contained in all publications are solely those of the individual author(s) and contributor(s) and not of MDPI and/or the editor(s). MDPI and/or the editor(s) disclaim responsibility for any injury to people or property resulting from any ideas, methods, instructions or products referred to in the content. |
© 2023 by the authors. Licensee MDPI, Basel, Switzerland. This article is an open access article distributed under the terms and conditions of the Creative Commons Attribution (CC BY) license (https://creativecommons.org/licenses/by/4.0/).