Diurnal Variation of the Diffuse Attenuation Coefficient for Downwelling Irradiance at 490 nm in Coastal East China Sea
Abstract
1. Introduction
2. Materials and Methods
2.1. Study Area
2.2. Structure and Measurements of the Optical Buoy
2.3. Optical Buoy Data Processing
2.4. Satellite Data Processing
2.5. Ancillary Data Acquisition
2.6. Performance Assessment
3. Results
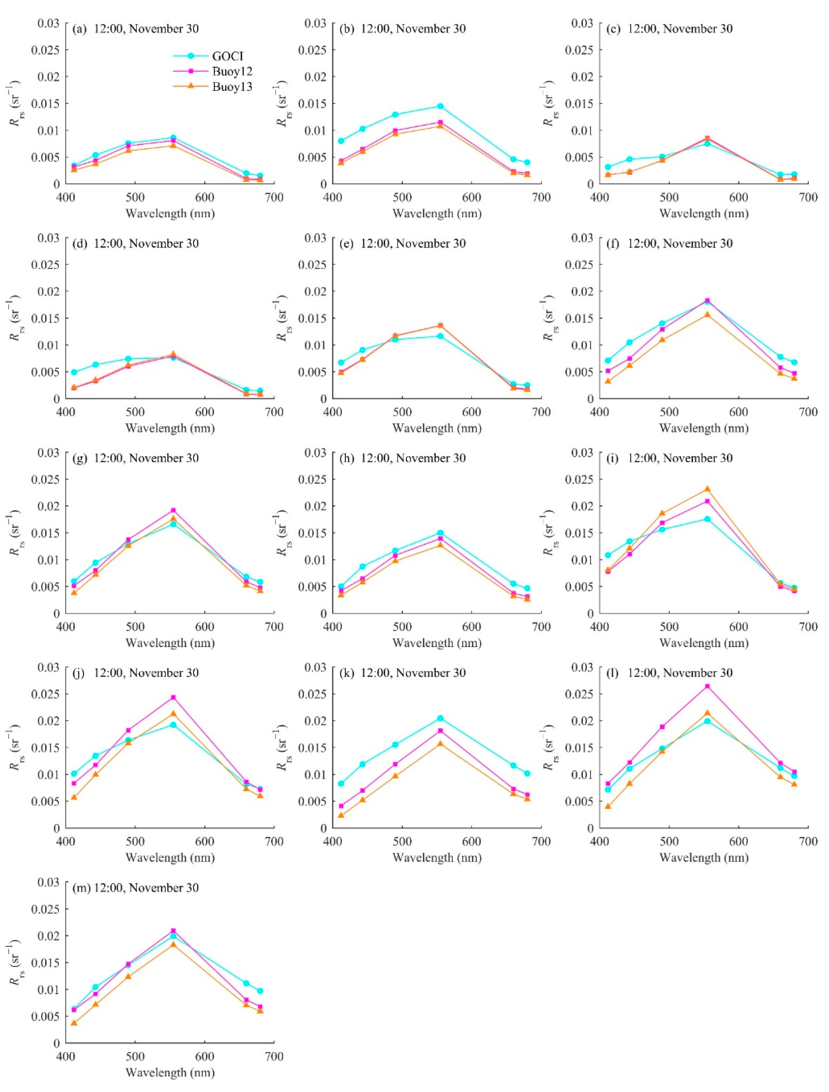
3.1. Reliability and Uncertainty of the Optical Buoy Data
3.2. Overview of In Situ Buoy Measurement
3.3. Evaluation and Correction of the Official GOCI L2
3.3.1. Error of the GOCI L2
3.3.2. Evaluation of Six Empirical Algorithms
3.3.3. Improvement of GOCI L2
3.4. Diurnal Variations of Obtained by Buoy
3.4.1. Statistics of Diurnal Variations
3.4.2. Four Kinds of Diurnal Variation
3.4.3. Diurnal Variations of in a Spring–Neap Tide Cycle
4. Discussion
4.1. Sources of Uncertainty in Official GOCI L2
4.1.1. Uncertainty of GOCI L2
4.1.2. Uncertainty from the Algorithm
4.2. Application of NDRA to GICI Imagery
4.3. Dynamic Factors Affecting Diurnal Variations
4.3.1. Hourly Variations
4.3.2. Daily Variation
5. Conclusions
Author Contributions
Funding
Acknowledgments
Conflicts of Interest
References
- Cahoon, L.B.; Beretich, G.R.; Thomas, C.J.; McDonald, A.M. Benthic microalgal production at Stellwagen Bank, Massachusetts Bay, USA. Mar. Ecol. Prog. Ser. 1993, 102, 179–185. [Google Scholar] [CrossRef]
- IOCCG. Remote Sensing of Ocean Colour in Coastal, and Other Optically-Complex, Waters; IOCCG: Dartmouth, NS, Canada, 2000. [Google Scholar]
- Lee, Z.; Weidemann, A.; Kindle, J.; Arnone, R.; Carder, K.L.; Davis, C. Euphotic zone depth: Its derivation and implication to ocean-color remote sensing. J. Geophys. Res. Ocean. 2007, 112, 11. [Google Scholar] [CrossRef]
- Li, G.; Ping, G.; Fang, W.; Qiang, L. Estimation of ocean primary productivity and its spatio-temporal variation mechanism for East China Sea based on VGPM model. J. Geogr. Sci. 2004, 14, 32–40. [Google Scholar] [CrossRef]
- Majozi, N.P.; Salama, M.S.; Bernard, S.; Harper, D.M.; Habte, M.G. Remote sensing of euphotic depth in shallow tropical inland waters of Lake Naivasha using MERIS data. Remote Sens. Environ. 2014, 148, 178–189. [Google Scholar] [CrossRef]
- Jerlov, N.G. CLASSIFICATION OF SEA-WATER IN TERMS OF QUANTA IRRADIANCE. J. Mar. Sci. 1977, 37, 281–287. [Google Scholar] [CrossRef]
- Saulquin, B.; Hamdi, A.; Gohin, F.; Populus, J.; Mangin, A.; d’Andon, O.F. Estimation of the diffuse attenuation coefficient KdPAR using MERIS and application to seabed habitat mapping. Remote Sens. Environ. 2013, 128, 224–233. [Google Scholar] [CrossRef]
- Son, S.; Wang, M.H. Water properties in Chesapeake Bay from MODIS-Aqua measurements. Remote Sens. Environ. 2012, 123, 163–174. [Google Scholar] [CrossRef]
- Shi, W.S.; Wang, M.H. Satellite observations of the seasonal sediment plume in central East China Sea. J. Mar. Syst. 2010, 82, 280–285. [Google Scholar] [CrossRef]
- Shi, W.; Wang, M.H.; Jiang, L.D. Spring-neap tidal effects on satellite ocean color observations in the Bohai Sea, Yellow Sea, and East China Sea. J. Geophys. Res. Ocean. 2011, 116, 13. [Google Scholar] [CrossRef]
- Liu, X.M.; Wang, M.H. Analysis of ocean diurnal variations from the Korean Geostationary Ocean Color Imager measurements using the DINEOF method. Estuar. Coast. Shelf Sci. 2016, 180, 230–241. [Google Scholar] [CrossRef]
- Wang, M.H.; Ahn, J.H.; Jiang, L.D.; Shi, W.; Son, S.; Park, Y.J.; Ryu, J.H. Ocean color products from the Korean Geostationary Ocean Color Imager (GOCI). Opt. Express 2013, 21, 3835–3849. [Google Scholar] [CrossRef] [PubMed]
- Yu, X.L.; Salama, M.S.; Shen, F.; Verhoef, W. Retrieval of the diffuse attenuation coefficient from GOCI images using the 2SeaColor model: A case study in the Yangtze Estuary. Remote Sens. Environ. 2016, 175, 109–119. [Google Scholar] [CrossRef]
- Tiwari, S.P.; Shanmugam, P. A Robust Algorithm to Determine Diffuse Attenuation Coefficient of Downwelling Irradiance From Satellite Data in Coastal Oceanic Waters. IEEE J. Sel. Top. Appl. Earth Obs. Remote Sens. 2014, 7, 1616–1622. [Google Scholar] [CrossRef]
- Wang, J.H.; Wu, J.Y. Occurrence and potential risks of harmful algal blooms in the East China Sea. Sci. Total Environ. 2009, 407, 4012–4021. [Google Scholar] [CrossRef] [PubMed]
- Zhang, T.; Fell, F. An empirical algorithm for determining the diffuse attenuation coefficient Kd in clear and turbid waters from spectral remote sensing reflectance. Limnol. Oceanogr. Methods 2007, 5, 457–462. [Google Scholar] [CrossRef]
- Cui, T.; Cao, W.; Jie, Z.; Hao, Y.; Yu, Y.; Zu, T.; Wang, D. Diurnal variability of ocean optical properties during a coastal algal bloom: Implications for ocean colour remote sensing. Int. J. Remote Sens. 2013, 34, 8301–8318. [Google Scholar] [CrossRef]
- Zhao, J.; Cao, W.X.; Xu, Z.T.; Ai, B.; Yang, Y.Z.; Jin, G.Z.; Wang, G.F.; Zhou, W.; Chen, Y.; Chen, H.Y.; et al. Estimating CDOM Concentration in Highly Turbid Estuarine Coastal Waters. J. Geophys. Res. Oceans 2018, 123, 5856–5873. [Google Scholar] [CrossRef]
- Zhao, J.; Cao, W.X.; Xu, Z.T.; Ye, H.B.; Yang, Y.Z.; Wang, G.F.; Zhou, W.; Sun, Z.H. Estimation of suspended particulate matter in turbid coastal waters: Application to hyperspectral satellite imagery. Opt. Express 2018, 26, 10476–10493. [Google Scholar] [CrossRef] [PubMed]
- Mao, Z.H.; Chen, J.Y.; Pan, D.L.; Tao, B.Y.; Zhu, Q.K. A regional remote sensing algorithm for total suspended matter in the East China Sea. Remote Sens. Environ. 2012, 124, 819–831. [Google Scholar] [CrossRef]
- Shi, J.Z. Tidal resuspension and transport processes of fine sediment within the river plume in the partially-mixed Changjiang River estuary, China: A personal perspective. Geomorphology 2010, 121, 133–151. [Google Scholar] [CrossRef]
- Zhou, M.J.; Shen, Z.L.; Yu, R.C. Responses of a coastal phytoplankton community to increased nutrient input from the Changjiang (Yangtze) River. Cont. Shelf Res. 2008, 28, 1483–1489. [Google Scholar] [CrossRef]
- Lu, M.; Zhu, Y. Whether and Cliamate characteristics of the Coastal Gale in Zhejiang. J. Hangzhou Norm. Univ. Nat. Sci. Ed. 2011, 10, 474–480. [Google Scholar]
- Liu, J.P.; Li, A.C.; Xu, K.H.; Veiozzi, D.M.; Yang, Z.S.; Milliman, J.D.; DeMaster, D. Sedimentary features of the Yangtze River-derived along-shelf clinoform deposit in the East China Sea. Cont. Shelf Res. 2006, 26, 2141–2156. [Google Scholar] [CrossRef]
- Shang, D.H.; Xu, H.P. Qualitative Dynamics of Suspended Particulate Matter in the Changjiang Estuary from Geostationary Ocean Color Images: An Empirical, Regional Modeling Approach. Sensors 2018, 18, 4186. [Google Scholar] [CrossRef]
- Bai, X.; Yang, Y.; Zhou, L.; Ren, S.; Liu, D.; Liu, Z.; Wang, Z. Variations in Shell Frame Characteristic among Three Species of Mytilus in Shengsi Waters of the East China Sea. Oceanol. Limnol. Sin. 2014, 45, 1078–1084. [Google Scholar]
- Austin, R.W. The Remote Sensing of Spectral Radiance from Below the Ocean Surface; Optical Aspects of Oceanography; Academic Press: London, UK; New York, NY, USA, 1974; Volume 14. [Google Scholar]
- Huang, X.C.; Zhu, J.H.; Han, B.; Jamet, C.; Tian, Z.; Zhao, Y.L.; Li, J.; Li, T.J. Evaluation of Four Atmospheric Correction Algorithms for GOCI Images over the Yellow Sea. Remote Sens. 2019, 11, 27. [Google Scholar] [CrossRef]
- Bailey, S.W.; Werdell, P.J. A multi-sensor approach for the on-orbit validation of ocean color satellite data products. Remote Sens. Environ. 2006, 102, 12–23. [Google Scholar] [CrossRef]
- Choi, J.K.; Park, Y.J.; Ahn, J.H.; Lim, H.S.; Eom, J.; Ryu, J.H. GOCI, the world’s first geostationary ocean color observation satellite, for the monitoring of temporal variability in coastal water turbidity. J. Geophys. Res. Ocean. 2012, 117, 10. [Google Scholar] [CrossRef]
- Moon, J.E.; Park, Y.J.; Ryu, J.H.; Choi, J.K.; Ahn, J.H.; Min, J.E.; Son, Y.B.; Lee, S.J.; Han, H.J.; Ahn, Y.H. Initial Validation of GOCI Water Products against in situ Data Collected around Korean Peninsula for 2010–2011. Ocean Sci. J. 2012, 47, 261–277. [Google Scholar] [CrossRef]
- Ruddick, K.G.; Voss, K.; Boss, E.; Castagna, A.; Frouin, R.; Gilerson, A.; Hieronymi, M.; Johnson, B.C.; Kuusk, J.; Lee, Z.; et al. A Review of Protocols for Fiducial Reference Measurements of Water-Leaving Radiance for Validation of Satellite Remote-Sensing Data over Water. Remote Sens. 2019, 11, 38. [Google Scholar]
- Zaneveld, J.R.V.; Boss, E.; Barnard, A. Influence of Surface Waves on Measured and Modeled Irradiance Profiles. Appl. Opt. 2001, 40, 1442–1449. [Google Scholar] [CrossRef] [PubMed]
- Cao, W.; Yang, Y.; Zhang, J.; Ke, T.; Lu, G.; Li, C.; Guo, C.; Sun, Z. Design and test of moored optical buoy. J. Trop. Oceanogr. 2010, 29, 1–6. [Google Scholar]
- Yang, Y.; Cao, W.; Sun, Z.; Wang, G.F. Development of Real-Time Hyperspectral Radiation Sea-Observation System. Acta Opt. Sin. 2009, 29, 102–107. [Google Scholar] [CrossRef]
- Yang, Y.; Sun, Z.; Cao, W.X.; Li, C.; Zhao, J.; Zhou, W.; Lu, G.; Ke, T.; Guo, C. Design and Experimentation of Marine Optical Buoy. Spectrosc. Spectr. Anal. 2009, 29, 565–569. [Google Scholar]
- Zhang, Y.; Wang, G.; Xu, Z.; Yang, Y.; Zhou, W.; Zheng, W.; Zeng, K.; Deng, L. Retrieval of diffuse attenuation coefficient in high frequency red tide area of the East China Sea based on buoy observation. J. Trop. Oceanogr. 2020, 39, 71–83. [Google Scholar]
- Voss, K.J.; Flora, S. Spectral Dependence of the Seawater-Air Radiance Transmission Coefficient. J. Atmos. Ocean. Technol. 2017, 34, 1203–1205. [Google Scholar] [CrossRef]
- Wang, X.M.; Tang, J.W.; Ding, J.; Ma, C.F.; Li, T.J.; Wang, X.Y.; Bi, D.Y. The retrieval algorithms of diffuse attenuation and transparency for the case-II waters of the Huanghai Sea and the East China Sea. Acta Oceanol. Sin. 2005, 27, 5. [Google Scholar]
- Chen, Y.; Shen, F. Diffuse attenuation coefficient of remote sensing inversion in Yangtze River Estuary’s adjacent sea area in winter. Trans. Oceanol. Limnol. 2014, 4, 27–34. [Google Scholar]
- Wang, M.H.; Son, S.; Harding, L.W. Retrieval of diffuse attenuation coefficient in the Chesapeake Bay and turbid ocean regions for satellite ocean color applications. J. Geophys. Res. Ocean. 2009, 114. [Google Scholar] [CrossRef]
- Kim, W.; Moon, J.E.; Park, Y.J.; Ishizaka, J. Evaluation of chlorophyll retrievals from Geostationary Ocean Color Imager (GOCI) for the North-East Asian region. Remote Sens. Environ. 2016, 184, 482–495. [Google Scholar] [CrossRef]
- Zhao, J.; Barnes, B.; Melo, N.; English, D.; Lapointe, B.; Muller-Karger, F.; Schaeffer, B.; Hu, C.M. Assessment of satellite-derived diffuse attenuation coefficients and euphotic depths in south Florida coastal waters. Remote Sens. Environ. 2013, 131, 38–50. [Google Scholar] [CrossRef]
- Melin, F.; Zibordi, G.; Berthon, J.F. Assessment of satellite ocean color products at a coastal site. Remote Sens. Environ. 2007, 110, 192–215. [Google Scholar] [CrossRef]
- Concha, J.; Mannino, A.; Franz, B.; Kim, W. Uncertainties in the Geostationary Ocean Color Imager (GOCI) Remote Sensing Reflectance for Assessing Diurnal Variability of Biogeochemical Processes. Remote Sens. 2019, 11, 295. [Google Scholar] [CrossRef]
- Chen, S. Seasonal, neap-spring variation of sediment concentration in the joint area between Yangtze Estuary and Hangzhou Bay. Sci. China 2001, 44, 57–62. [Google Scholar] [CrossRef]
- Zuo, S.H.; Zhang, N.C.; Bei, L.I.; Chen, S.L. A study of suspended sediment concentration in Yangshan deep-water port in Shanghai, China. Int. J. Sediment Res. 2012, 27, 50–60. [Google Scholar] [CrossRef]
- Cao, P.; Yan, S. Suspended Sediments front and its Impacts on the Materials Transport of the Changjiang Estuary. J. East. China Norm. Univ. Nat. Sci. 1996, 1, 85–94. [Google Scholar]















| ID | Algorithm |
|---|---|
| Wang X.M. [39] | |
| Chen [40] | |
| Wang M.H. [41] | |
| Zhang [16] | |
| Tiwari [14] | |
| NneDRA [37] |
| Algorithm | MAPE (%) | Slope | Intercept | R2 | N | |
|---|---|---|---|---|---|---|
| Wang X.M. [39] | 0.50 | 43.89 | 0.15 | 0.69 | 0.15 | 568 |
| Chen [40] | 0.40 | 28.87 | 0.86 | 0.12 | 0.60 | 568 |
| Wang M.H. [41] | 0.40 | 43.65 | 0.79 | −0.11 | 0.76 | 568 |
| Zhang [16] | 0.78 | 49.91 | 1.88 | −0.68 | 0.74 | 568 |
| Tiwari [14] | 0.30 | 28.15 | 0.66 | 0.32 | 0.71 | 568 |
| NDRA [37] | 0.29 | 27.31 | 0.76 | 0.24 | 0.72 | 568 |
| Mean Ratio | MAPE (%) | Slope | Intercept | N | |||
|---|---|---|---|---|---|---|---|
| 412 | 1.45 | 47.29 | 0.0022 | 0.60 | 0.82 | 0.0026 | 13 |
| 443 | 1.40 | 41.01 | 0.0026 | 0.77 | 0.80 | 0.0037 | 13 |
| 490 | 1.05 | 13.51 | 0.0019 | 0.81 | 0.71 | 0.0036 | 13 |
| 555 | 0.95 | 12.70 | 0.0029 | 0.80 | 0.70 | 0.0037 | 13 |
| 660 | 1.48 | 50.25 | 0.0019 | 0.85 | 0.96 | 0.0015 | 13 |
| 680 | 1.49 | 49.73 | 0.0017 | 0.85 | 0.98 | 0.0013 | 13 |
Publisher’s Note: MDPI stays neutral with regard to jurisdictional claims in published maps and institutional affiliations. |
© 2021 by the authors. Licensee MDPI, Basel, Switzerland. This article is an open access article distributed under the terms and conditions of the Creative Commons Attribution (CC BY) license (https://creativecommons.org/licenses/by/4.0/).
Share and Cite
Zhang, Y.; Xu, Z.; Yang, Y.; Wang, G.; Zhou, W.; Cao, W.; Li, Y.; Zheng, W.; Deng, L.; Zeng, K.; et al. Diurnal Variation of the Diffuse Attenuation Coefficient for Downwelling Irradiance at 490 nm in Coastal East China Sea. Remote Sens. 2021, 13, 1676. https://doi.org/10.3390/rs13091676
Zhang Y, Xu Z, Yang Y, Wang G, Zhou W, Cao W, Li Y, Zheng W, Deng L, Zeng K, et al. Diurnal Variation of the Diffuse Attenuation Coefficient for Downwelling Irradiance at 490 nm in Coastal East China Sea. Remote Sensing. 2021; 13(9):1676. https://doi.org/10.3390/rs13091676
Chicago/Turabian StyleZhang, Yu, Zhantang Xu, Yuezhong Yang, Guifen Wang, Wen Zhou, Wenxi Cao, Yang Li, Wendi Zheng, Lin Deng, Kai Zeng, and et al. 2021. "Diurnal Variation of the Diffuse Attenuation Coefficient for Downwelling Irradiance at 490 nm in Coastal East China Sea" Remote Sensing 13, no. 9: 1676. https://doi.org/10.3390/rs13091676
APA StyleZhang, Y., Xu, Z., Yang, Y., Wang, G., Zhou, W., Cao, W., Li, Y., Zheng, W., Deng, L., Zeng, K., & Zhang, Y. (2021). Diurnal Variation of the Diffuse Attenuation Coefficient for Downwelling Irradiance at 490 nm in Coastal East China Sea. Remote Sensing, 13(9), 1676. https://doi.org/10.3390/rs13091676

