Monitoring Changes to Arctic Vegetation and Glaciers at Ny-Ålesund, Svalbard, Based on Time Series Remote Sensing
Abstract
:1. Introduction
2. Study Area and Materials
2.1. Study Area
2.2. Remote Sensing Data
2.3. Field Survey Data
2.4. Temperature and Precipitation Data
3. Methods
3.1. Remote Sensing Analysis of Vegetation Coverage
3.2. Removal of Shadows Caused by Low Solar Altitude
3.3. SVM Classification
4. Results and Analysis
4.1. Spatial and Temporal Changes in Vegetation
4.1.1. Multi-Resolution Monitoring Results for Vegetation
4.1.2. Monitoring of Temporal and Spatial Changes in Vegetation Distribution
4.1.3. Monitoring the Temporal and Spatial Changes in Vegetation Coverage
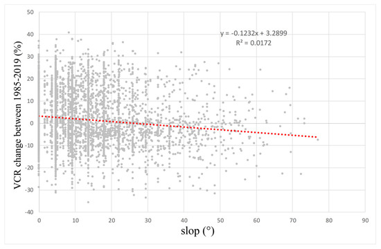
4.1.4. The Relationship between Vegetation Distribution, Change and Elevation
4.2. Spatial and Temporal Changes of Glaciers
4.2.1. Remote Sensing Monitoring of Temporal and Spatial Changes of Glaciers
4.2.2. The Relationship between Glacier Distribution, Change and Elevation
5. Discussion
5.1. Analysis of Temperature and Precipitation on Vegetation and Glaciers
5.2. The Spatial and Temporal Resolution of Images in Arctic Area Monitoring
5.3. The Influences on Vegetation and Gacier Remote Sensing Monitoring in Arctic Areas
5.4. The Role of Topographic Data in Glacier Melting Monitoring
6. Conclusions
Author Contributions
Funding
Institutional Review Board Statement
Informed Consent Statement
Acknowledgments
Conflicts of Interest
References
- Reynolds, J.F.; Tenhunen, J.D. Ecosystem response, resistance, resilience, and recovery in Arctic landscapes: Introduction. In Landscape Function and Disturbance in Arctic Tundra, Ecological Studies; Reynolds, J.F., Tenhunen, J., Eds.; Springer: Heidelberg, Germany, 1996; Volume 120, pp. 3–18. [Google Scholar]
- Stow, D.A.; Hope, A.; McGuire, D.; Verbyla, D.; Gamon, J.; Huemmrich, F.; Houston, S.; Racine, C.; Sturm, M.; Tape, K. Remote sensing of vegetation and land-cover change in Arctic Tundra Ecosystems. Remote Sens. Environ. 2004, 89, 281–308. [Google Scholar] [CrossRef] [Green Version]
- Intergovernmental Panel on Climate Change. Climate Change 2013: The Physical Science Basis; Working Group II Contribution to the IPCC 5th Assessment Report; Cambridge University Press: Cambridge, UK, 2013. [Google Scholar]
- Polyak, L.; Alley, R.B.; Andrews, J.T.; Brigham-Grette, J.; Cronin, T.M.; Darby, D.A.; Dyke, A.S.; Fitzpatrick, J.J.; Funder, S.; Holland, M.; et al. History of sea ice in the Arctic. Quat. Sci. Rev. 2010, 29, 1757–1778. [Google Scholar] [CrossRef]
- Kern, S.; Saleschke, L.; Spreen, G. Climatology of the Nordic (Irminger, Greenland, Barents, Kara and White/Pechora) Seas ice cover ased on 85 GHz satellite microwave radiometry 1992–2008. Tellus Ser. A—Dyn. Meteorol. Oceanogr. 2010, 62, 411–434. [Google Scholar] [CrossRef]
- White, J.W.C.; Alley, R.B.; Brigham-Grette, J.; Fitzpatrick, J.J.; Jennings, A.E.; Johnsen, S.J.; Miller, G.H.; Nerem, R.S.; Polyak, L. Past rates of climate change in the Arctic. Quat. Sci. Rev. 2010, 29, 1716–1727. [Google Scholar] [CrossRef]
- Laffly, D.; Mercier, D. Global change and paraglacial morphodynamic modification in Svalbard. Int. J. Remote Sens. 2002, 23, 4743–4760. [Google Scholar] [CrossRef]
- Anisimov, O.A.; Vaughan, D.G.; Callaghan, T.V.; Furgal, D.; Marchant, H.; Prowse, T.D.; Vilhja lmsson, H.; Walsh, J.E. Climate Change 2007: Impacts, Adaptation and Vulnerability. Contribution of Working Group II to the Fourth Assessment Report of the Intergovernmental Panel on Climate Change. In Polar Regions (Arctic and Antarctic); Parry, M.L., Canziani, O.F., Palutikof, J.P., van der Linden, P.J., Hanson, C.E., Eds.; Cambridge University Press: Cambridge, UK, 2007; pp. 653–685. [Google Scholar]
- Yoshitake, S.; Uchida, M.; Ohtsuka, T. Vegetation development and carbon storage on a glacier foreland in the High Arctic, Ny-Ålesund, Svalbard. Polar Sci. 2011, 5, 391–397. [Google Scholar] [CrossRef] [Green Version]
- Oechel, W.C.; Vourlitis, G.L. The effects of climatic change on land atmosphere feedbacks in arctic tundra regions. Trends Ecol. 1994, 9, 324–329. [Google Scholar] [CrossRef]
- Williams, M.; Eugster, W.; Rastetter, E.B.; McFadden, J.P.; Chapin III, S.F. The controls on net ecosystem productivity along an Arctic transect: A model comparison with flux measurements. Glob. Chang. Biol. 2000, 6 (Suppl. 1), 116–126. [Google Scholar] [CrossRef]
- Wadham, J.L.; Tranter, M.; Dowdeswell, J.A. Hydrochemistry of meltwaters draining a polythermal-based, high-Arctic glacier, south Svalbard: II. Winter and early Spring. Hydrol. Process. 2015, 14, 1767–1786. [Google Scholar] [CrossRef]
- Pfüller, A.; Ritter, C.; Stock, M.; Shiobara, M.; Lampert, A.; Maturilli, M.; Orgis, T.; Neuber, R.; Herber, A. Ground-based lidar measurements from Ny-Ålesund during ASTAR 2007. Atmos. Chem. Phys. 2009, 9, 9059–9081. [Google Scholar] [CrossRef] [Green Version]
- Hisdal, V. Geography of Svalbard, 2nd ed.; Norsk Polarinstitutt (Polarhandbok 2): Oslo, Norway, 1985. [Google Scholar]
- Brossard, T.; Joly, D. Probability models, remote sensing and field observation: Test for mapping some plant distributions in the Kongsfjord area, Svalbard. Polar Res. 1994, 13, 153–161. [Google Scholar] [CrossRef]
- Brattbakk, I. Flora og vegetasjon. In Svalbardreinen og Dens Livsgrunnlag; Oritsland, A., Ed.; Universitetsforlaget: Oslo, Norway, 1986; pp. 15–34. [Google Scholar]
- Spjelkavik, S. A satellite-based map compared to a traditional vegetation map of Arctic vegetation in the Ny-lesund area, Svalbard. Polar Rec. 1995, 31, 257–269. [Google Scholar] [CrossRef]
- Engeset, R.V.; Weydahl, D.J. Analysis of glaciers and geomorphology on Svalbard using multitemporal ERS-1 SAR images. Geosci. Remote. Sens. IEEE Trans. 1998, 36, 1879–1887. [Google Scholar]
- Winther, J.G.; Oddbjørn, B.; Sand, K.; Gerland, S.; Marechal, D.; Ivanov, B.; Gøowacki, P.; König, M. Snow research in Svalbard–An overview. Polar Res. 2003, 22, 125–144. [Google Scholar]
- Thuestad, A.E.; Tømmervik, H.; Solbø, S.A. Assessing the impact of human activity on cultural heritage in Svalbard: A remote sensing study of London. Polar J. 2015, 5, 428–445. [Google Scholar] [CrossRef]
- Descamps, S.; Aars, J.; Fuglei, E.; Kovacs, K.M.; Lydersen, C.; Pavlova, O.; Pedersen, Å.Ø.; Ravolainen, V.; Strøm, H. Climate change impacts on wildlife in a High Arctic archipelago—Svalbard, Norway. Glob. Chang. Biol. 2017, 23, 490–502. [Google Scholar] [CrossRef] [PubMed]
- Tsay, S.C.; Stamnes, K.; Jayaweera, K. Radiative Energy Budget in the Cloudy and Hazy Arctic. J. Atmos. Sci. 1989, 46, 1002–1018. [Google Scholar] [CrossRef] [Green Version]
- Ananasso, C.; Santoleri, R.; Marullo, S. Remote sensing of cloud cover in the Arctic region from AVHRR data during the ARTIST experiment. Int. J. Remote. Sens. 2003, 24, 437–456. [Google Scholar] [CrossRef]
- Moreau, M.; Laffly, D.; Brossard, T. Recent spatial development of Svalbard strandflat vegetation over a period of 31 years. Polar Res. 2009, 28, 364–375. [Google Scholar] [CrossRef]
- Carlson, T.N.; Ripley, D.A. On the relation between NDVI, fractional vegetation cover, and leaf area index. Remote Sens. Environ. 1997, 62, 241–252. [Google Scholar] [CrossRef]
- Jing, X.; Yao, W.Q.; Wang, J.H.; Song, X.Y. A study on the relationship between dynamic change of vegetation coverage and precipitation in Beijing’s mountainous areas during the last 20 years. Math. Comput. Model. 2011, 54, 1079–1085. [Google Scholar] [CrossRef]
- Zheng, Z.; Zhou, Y.; Tian, B.; Ding, X. The spatial relationship between salt marsh vegetation patterns, soil elevation and tidal channels using remote sensing at Chongming Dongtan Nature Reserve, China. Acta Oceanol. Sin. 2016, 35, 26–34. [Google Scholar] [CrossRef]
- Tang, L.; He, M.; Li, X. Verification of Fractional Vegetation Coverage and NDVI of Desert Vegetation via UAVRS Technology. Remote Sens. 2020, 12, 1742. [Google Scholar] [CrossRef]
- Ding, Y.; Zheng, X.; Zhao, K.; Xin, X.; Liu, H. Quantifying the Impact of NDVIsoil Determination Methods and NDVIsoil Variability on the Estimation of Fractional Vegetation Cover in Northeast China. Remote Sens. 2016, 8, 29. [Google Scholar] [CrossRef] [Green Version]
- Jiang, Z.; Huete, A.R.; Chen, J.; Chen, Y.; Li, J.; Yan, G.; Zhang, X. Analysis of NDVI and scaled difference vegetation index retrievals of vegetation fraction. Remote Sens. Environ. 2006, 101, 366–378. [Google Scholar] [CrossRef]
- Wang, L.; Zhao, G.; Jiang, Y.; Zhu, X.; Chang, C.; Wang, M. Detection of cloud shadow in Landsat 8 OLI image by shadow index and azimuth search method. J. Remote. Sens. 2016, 20, 1461–1469. [Google Scholar] [CrossRef]
- Zhu, Z.; Wang, S.; Woodcock, C.E. Improvement and expansion of the Fmask algorithm: Cloud, cloud shadow, and snow detection for Landsats 4–7, 8, and Sentinel 2 images. Remote Sens. Environ. 2015, 159, 269–277. [Google Scholar] [CrossRef]
- Jiao, J.N.; Shi, J.; Tian, Q.J.; Gao, L.; Xu, N.X. Research on multispectral-image-based NDVI shadow-effect-eliminating model. J. Remote. Sens. 2020, 24, 53–66. [Google Scholar]
- Vapnik, V.N. An overview of statistical learning theory. IEEE Trans. Neural Netw. 1999, 10, 988–999. [Google Scholar] [CrossRef] [Green Version]
- He, J.; Harris, J.R.; Sawada, M. A comparison of classification algorithms using Landsat-7 and Landsat-8 data for mapping lithology in Canada’s Arctic. Int. J. Remote. Sens. 2015, 36, 2252–2276. [Google Scholar] [CrossRef]
- Kesikoglu, M.H.; Atasever, U.H.; Dadaser-Celik, F.; Ozkan, C. Performance of ANN, SVM and MLH techniques for land use/cover change detection at Sultan Marshes wetland, Turkey. Water Sci. Technol. 2019, 80, 466–477. [Google Scholar] [CrossRef]
- Bret-Harte, M.S.; Shaver, G.R.; Chapin, F.S. Primary and secondary stem growth in arctic shrubs: Implications for community response to environmental change. J. Ecol. 2001, 90, 251–267. [Google Scholar] [CrossRef] [Green Version]
- Nakatsubo, T.; Bekku, Y.S.; Uchida, M.; Muraoka, H.; Kume, A.; Ohtsuka, T.; Masuzawa, T.; Kanda, H.; Koizumi, H. Ecosystem development and carbon cycle on a glacier foreland in the high Arctic, Ny-Ålesund, Svalbard. J. Plant Res. 2005, 118, 173–179. [Google Scholar] [CrossRef] [PubMed]
- Elvebakk, A. A survey of plant associations and alliances from Svalbard. J. Veg. Sci. 1994, 5, 791–802. [Google Scholar] [CrossRef]
- Moholdt, G.; Nuth, C.; Hagen, J.O.; Kohler, J. Recent elevation changes of Svalbard glaciers derived from ICESat laser altimetry. Remote Sens. Environ. 2010, 114, 2756–2767. [Google Scholar] [CrossRef]
- Solbø, S.; Storvold, R. Mapping Svalbard Glaciers with the Cryowing Uas. Int. Arch. Photogramm. Remote Sens. Spat. Inf. Sci. 2013, XL-1/W2, 373–377. [Google Scholar] [CrossRef] [Green Version]
- Lefauconnier, B.; Hagen, J.O.; Ørbæk, J.B.; Melvold, K.; Isaksson, E. Glacier balance trends in the Kongsfjorden area, western Spitsbergen, Svalbard, in relation to the climate. Polar Res. 1999, 18, 307–313. [Google Scholar] [CrossRef]
- Hansen, J.; Ruedy, R.; Glascoe, J.; Sato, M. GISS analysis of surface temperature change. J. Geophys. Res. Atmos. 1999, 104, 30997–31022. [Google Scholar] [CrossRef]
- Minami, Y.; Kanda, H. Bryophyte community dynamics on moraine at deglaciated Arctic terrain in Ny-Ålesund, Spitsbergen (in Japanese with English summary). Proc. Bryol. Soc. Jpn. 1995, 6, 157–161. [Google Scholar]
- Hope, A.S.; Stow, D.A. Shortwave Reflectance Properties of Arctic Tundra Landscapes. In Landscape Function and Disturbance in Arctic Tundra; Springer: Berlin/Heidelberg, Germany, 1996; pp. 155–164. [Google Scholar]
- Groisman, P.Y.; Karl, T.R.; Knight, R.W. Observed Impact of Snow Cover on the Heat Balance and the Rise of Continental Spring Temperatures. Science 1994, 263, 198–200. [Google Scholar] [CrossRef]
- Myneni, R.B.; Keeling, C.D.; Tucker, C.J.; Asrar, G.; Nemani, R.R. Increased plant growth in the northern high latitudes from 1981 to 1991. Nature 1997, 386, 698–702. [Google Scholar] [CrossRef]
- Johansen, B.; Tømmervik, H. The relationship between phytomass, NDVI and vegetation communities on Svalbard. Int. J. Appl. Earth Obs. Geoinf. 2014, 27, 20–30. [Google Scholar] [CrossRef]
- Mulac, B.; Storvold, R.; Weatherhead, E. Remote sensing in the arctic with unmanned aircraft: Helping scientists to achieve their goals. In Proceedings of the 34th International Symposium on Remote Sensing of Environment—The GEOSS Era: Towards Operational Environmental Monitoring, Sydney, Australia, 10–15 April 2011. [Google Scholar]
- Frank, T.D.; Isard, S.A. Alpine vegetation classification using high resolution aerial imagery and topoclimatic index values. Photogramm. Eng. Remote Sens. 1986, 52, 381–388. [Google Scholar]
- McGuffie, K.; Henderson-Sellers, A. Technical note. Illustration of the influence of shadowing on high latitude information derived from satellite imagery. Int. J. Remote Sens. 1986, 7, 1359–1365. [Google Scholar] [CrossRef]
- Huete, A.R.; Liu, H.Q.; Batchily, K.; Van Leeuwen, W. A comparison of vegetation indices over a global set of TM images for EOS-MODIS. Remote Sens. Environ. 1997, 59, 440–451. [Google Scholar] [CrossRef]
- Díaz, B.M.; Blackburn, G.A. Remote sensing of mangrove biophysical properties: Evidence from a laboratory simulation of the possible effects of background variation on spectral vegetation indices. Int. J. Remote Sens. 2003, 24, 53–73. [Google Scholar] [CrossRef]
- Hope, A.S. Estimating lake area in an Arctic landscape using linear mixture modelling with AVHRR data. Int. J. Remote Sens. 1999, 20, 829–835. [Google Scholar] [CrossRef]




















| Data Type | Imaging Date | Imaging Time UTC | Sun Azimuth | Solar Elevation Angle | Spatial Resolution (m) | Cloud Cover |
|---|---|---|---|---|---|---|
| Landsat 5 | 1 August 1985 | 12:11:19 | −166.77015 | 30.19881 | 30 | 0 |
| Landsat 5 | 31 July 1989 | 11:49:59 | −167.66081 | 28.80918 | 30 | 0 |
| Landsat 7 | 26 July 2000- | 12:32:39 | −161.04422 | 29.62142 | 30 | 15% |
| Landsat 7 | 25 July 2011 | 12:34:57 | −160.27123 | 29.94874 | 30 | 0 |
| Landsat 8 | 1 August 2015 | 12:16:45 | −164.11969 | 29.49601 | 30 | 0 |
| Landsat 8 | 28 July 2019 | 17:52:42 | −73.55563 | 16.13456 | 30 | 0 |
| Gaofen-2 | 28 August 2015 | 12:47:44 | 204.552 | 19.9377 | 4 | 30% |
| UAV | 21 August 2019 | 10:00–11:00 | --- | --- | 0.03 | 0 |
| ASTER GDEM | 30 June 2009 | --- | --- | --- | 30 | -- |
Publisher’s Note: MDPI stays neutral with regard to jurisdictional claims in published maps and institutional affiliations. |
© 2021 by the authors. Licensee MDPI, Basel, Switzerland. This article is an open access article distributed under the terms and conditions of the Creative Commons Attribution (CC BY) license (https://creativecommons.org/licenses/by/4.0/).
Share and Cite
Ren, G.; Wang, J.; Lu, Y.; Wu, P.; Lu, X.; Chen, C.; Ma, Y. Monitoring Changes to Arctic Vegetation and Glaciers at Ny-Ålesund, Svalbard, Based on Time Series Remote Sensing. Remote Sens. 2021, 13, 3845. https://doi.org/10.3390/rs13193845
Ren G, Wang J, Lu Y, Wu P, Lu X, Chen C, Ma Y. Monitoring Changes to Arctic Vegetation and Glaciers at Ny-Ålesund, Svalbard, Based on Time Series Remote Sensing. Remote Sensing. 2021; 13(19):3845. https://doi.org/10.3390/rs13193845
Chicago/Turabian StyleRen, Guangbo, Jianbu Wang, Yunfei Lu, Peiqiang Wu, Xiaoqing Lu, Chen Chen, and Yi Ma. 2021. "Monitoring Changes to Arctic Vegetation and Glaciers at Ny-Ålesund, Svalbard, Based on Time Series Remote Sensing" Remote Sensing 13, no. 19: 3845. https://doi.org/10.3390/rs13193845
APA StyleRen, G., Wang, J., Lu, Y., Wu, P., Lu, X., Chen, C., & Ma, Y. (2021). Monitoring Changes to Arctic Vegetation and Glaciers at Ny-Ålesund, Svalbard, Based on Time Series Remote Sensing. Remote Sensing, 13(19), 3845. https://doi.org/10.3390/rs13193845
